Abstract
The consumption of pharmaceuticals during the COVID-19 pandemic increased significantly. As such, over-the-counter drugs such as acetaminophen (ACT), ibuprofen (IBU), metoprolol (MET), and propranolol (PRO) were among the pharmaceuticals that were widely used to contain COVID-19 symptoms. Therefore, this study investigated the occurrence of ACT, IBU, MET, and PRO in wastewater and river water systems, focusing on two provinces in South Africa (Gauteng (GP) and KwaZulu-Natal (KZN)). Generally, WWTP influents had the highest concentrations in both provinces. ACT, MET, and PRO were frequently detected compared to ibuprofen, particularly in KZN, during the second wave of the COVID-19 pandemic. However, a low detection occurred during the fourth wave of the COVID-19 pandemic. The concentrations of ACT, IBU, MET, and PRO in influent wastewater samples ranged from ND-480 µg/L, ND-54.1 µg/L, ND-52.8 µg/L, to ND-13.1 µg/L, respectively. In comparison with influent samples, ACT, IBU, MET, and PRO concentrations of effluent wastewater samples were generally at lower concentration levels: ACT (ND-289 µg/L), IBU (ND-36.1 µg/L), MET (ND-13.9 µg/L), and PRO (ND-5.53 µg/L). The removal efficiencies of the selected pharmaceuticals in KZN WWTPs ranged from 6.1 to 100% and −362.6 to 100% in the GP province. The ecological risk assessment results showed a low to high ecological risk against fish, Daphnia magna, and algae due to the presence of these pharmaceuticals.
1. Introduction
The increased use of pharmaceuticals, linked with unknown ecological risks of pre-existing and active pharmaceutical ingredients (APIs), has attracted more concern [1]. Contrary to other environmental pollutants, pharmaceuticals are generally designed to possess a high degree of stability, thus facilitating their bioaccumulative effect and persistence in the environment even at trace concentrations [2]. There are different artificial and natural causes behind water quality decline, but human interference has been one of the major reasons [3]. During the COVID-19 epidemic, an increasing tendency in the use of over-the-counter and self-medication was noticed [4]. As a result, consumer demand for over-the-counter (OTC) pharmaceuticals has grown, as seen by a considerable increase in global sales. This trend was evident globally, with COVID-19-affected countries experiencing higher demand and scarcity of self-prescription drugs. The spike in OTC drug sales was largely driven by people stockpiling medicines out of fear of lockdowns, a significant impulse to treat minor illnesses to indirectly reduce COVID-19 exposure from hospital visits, and the use of OTC drugs as a preventative measure against viral infection [5]. ACT and ibuprofen (IBU) were widely used as first-line antipyretics and analgesics for COVID-19 patients, with no consideration of any related potential risks or toxicity they may pose [6].
Amongst micropollutants, ACT is frequently detected in wastewater, as it is one of the most used drugs recently [7]. It has significant adverse impacts on aquatic and ecological systems. Additionally, it can enter the human body through drinking water and food consumption and could cause significant public health effects [8]. Long-term exposure could result in cancer, endocrine disruption, and several chronic diseases [7]. Ibuprofen in effluent water and its biologically degraded products in the aquatic environment can cause significant negative effects on the environment and human health. Fish are mainly affected by the presence of ibuprofen in river water, and it may also alter the post-embryonic development of anuran (toads or frogs) in systems [9].
β-Blockers are considered one of the most widely prescribed drugs for treating different symptoms such as hypertension and cardiac dysfunction. Amongst all the β-blockers, metoprolol (MET), propranolol (PRO), atenolol (ATE), and sotalol (SOT) are currently the most used [10]. With the growing treatment of cardiovascular illnesses, the use of β-blockers has also increased, which may pose risks to the environment, as rapid drug production is usually accompanied by ineffective wastewater treatments [11,12]. MET and PRO have been reported to be the most frequently detected β-blockers in environmental water, with PRO being the most hydrophobic (log Kow of 3.48), showing bioaccumulation potential [13]. Additionally, over 80% of PRO is excreted via urine in humans, hence its abundance in wastewater, surface water, and groundwater [14].
Other organic substances have been frequently detected in wastewater and surface water, which includes pesticides [15], hormones [16], among others. Additionally, recent studies have shown the increased use of pharmaceuticals worldwide during the COVID-19 pandemic. Chen et al. [15] evaluated the occurrence and seasonal distribution of COVID-19-associated pharmaceuticals and personal care products in the aquatic environment. The study found that the concentration levels of PPCPs in the investigated river samples were similar to historical reports; however, some pharmaceuticals, such as ribavirin and azithromycin, were frequently detected with higher concentrations. Another study by [16] investigated the concentration levels of various pharmaceuticals in environmental water during the COVID-19 pandemic. High levels of pharmaceuticals were observed in environmental waters, suggesting the excessive use of these compounds in COVID-19 treatment. Ref. [17] conducted a study on the occurrence of various pharmaceuticals in South African water bodies, including metformin, caffeine, antibiotics, and their metabolites; however, currently, there is no available data on the occurrence of over-the-counter pharmaceuticals such as ibuprofen, acetaminophen, and beta-blockers in South African water bodies.
These compounds are consumed regularly, and after consumption, they enter water bodies through sewage systems, along with partial metabolic products [3]. The major concern is that these pharmaceuticals are in water at low amounts, ranging from ng/L to μg/L. Furthermore, pharmaceuticals are designed to be physiologically active and durable to preserve therapeutic efficacy in humans and animals. In this regard, their physicochemical properties, such as strong polarity, volatility, high lipophilicity, and persistence, influence their removal rate during WWTP treatment operations [18]. Once these compounds reach wastewater treatment plants (WWTPs), their fate in an aqueous environment may differ. Those that are stable and polar cannot be easily retained or degraded in WWTPs and thus end up in an aquatic environment [19]. Consequently, conventional wastewater treatment plants are not efficient at completely removing these compounds [20]. The potential risks connected with the discharge of these compounds into the environment are attributable not just to their acute ecotoxicity, but also genotoxicity, pathogen resistance development, and endocrine disruption [21]. Even though these compounds have demonstrated possible detrimental effects on the ecosystem, in Africa, there is still no legislation regarding pharmaceutical pollutants in the ecosystem [22].
The quantification and identification of pharmaceuticals in different water samples provide useful data not limited to pollution status. For example, wastewater analysis can provide information about a community’s pharmaceutical usage, evaluate the effectiveness of a wastewater treatment facility, and identify the most difficult substances to eradicate. Low pharmaceutical concentrations in environmental samples make direct chromatographic analysis difficult; hence, the sample preparation (preconcentration) step is critical. The preconcentration step is necessary not only for detecting these pollutants at low concentrations but also to eliminate the matrix impact during analysis [23].
Therefore, in the present study, the aims were as follows: (1) To apply solid phase extraction (SPE) coupled with a high-performance liquid chromatography–diode array detector (HPLC-DAD) to investigate the occurrence of ACT, IBU, MET, and PRO in wastewater and river water samples collected during the COVID-19 pandemic in two South African provinces (Gauteng and KwaZulu-Natal). (2) To compare the concentrations of ACT, IBU, MET, and PRO obtained in this study with those reported in the literature carried out in South African environmental water. (3) To evaluate the probable ecological risk of the detected pharmaceuticals in the aquatic environment. The findings of this research cover a knowledge gap regarding the presence of pharmaceuticals during the COVID-19 pandemic in wastewater and river water.
2. Materials and Methods
2.1. Chemicals and Standards
Acetonitrile (LC-MS grade), acetaminophen (ACT), ibuprofen (IBU), metoprolol(MET), and propranolol (PRO) and C18 SPE cartridges were purchased from Merck. Milli-Q water was obtained from the Direct-Q® 3UV-R purifier system (Millipore, Merck, Darmstadt, Germany). The stock solutions of acetaminophen (ACT), ibuprofen (IBU), metoprolol (MET), and propranolol (PRO) were prepared by dissolving the analytes in acetonitrile. Then, the working standard solutions were prepared daily using an appropriate dilution.
2.2. Sample Collection, Pretreatment, and Analysis
Gauteng and KwaZulu-Natal provinces of South Africa were selected as model provinces for sample collection. The selected provinces are two of the most populated provinces in South Africa. Gauteng province accounts for up to 1.5% of South Africa’s landmass (18,178 km2) and 26% (15.9/59.6 million) of its population. The city of Johannesburg in Gauteng is one of the top ten most densely populated cities globally, with a population density of 3400 people per km2 [24]. KwaZulu-Natal province is listed as the second most populated province in South Africa, accounting for around 20% of the overall population. Furthermore, Gauteng and KwaZulu-Natal provinces were the epicentres of the COVID-19 pandemic [24]. Both provinces are characterised by different human settlements, including urban, semi-urban, and townships, and a large network of WWTPs serves them, with the final effluent being released into the river water systems. All the water samples were collected in precleaned 1-litre glass bottles after rinsing each bottle with the respective water sample to be collected.
In Gauteng province, water samples were taken from six WWTPs in Baviaanspoort WWTP, Babelegi WWTP, Refilwe WWTP, Rooiwal East WWTP, Themba WWTP, and Zooegat WWTP. The river samples were also collected from eight nearby rivers. In KwaZulu-Natal, the samples were collected from nine WWTPs, Darvil WWTP, Mpumalanga WWTP, Dassenhoek WWTP, Umdloti WWTP, Hammersdale WWTP, Howick WWTP, Albert Falls WWTP, KwaNdengezi WWTP, Verulam WWTP, and from six rivers that were close to the WWTPs. After the fourth wave, samples were taken from six WWTPs in KwaZulu-Natal, including Mpumalanga WWTP, Howick WWTP, Hammersdale WWTP, Darvil WWTP, and Northern and Southern WWTP, as well as the rivers that received effluent from the WWTPs. The descriptions of sampling sites in KwaZulu-Natal and Gauteng provinces are presented in Table S1 (Figure S1) and Table S2. After collection, the samples were filtered right away using glass microfiber filters (0.45 μm, Whatman, UK), and the samples were kept in a refrigerator at 4 °C until analysis. The samples were extracted using the previous method [17]. After preconcentration, the samples were analysed using an Agilent HPLC 1200 Infinity series (Agilent Technologies, Waldbronn, Germany) equipped with a diode array detector. Specific details of the SPE method and chromatographic separations are presented in Figure S1.
2.3. Solid Phase Extraction Method and Chromatographic Conditions
The offline SPE method was adopted from previous studies [25] to extract chemicals from aqueous samples (including effluent and river water). Before extraction, C18 SPE cartridges (200 mg) were conditioned with 5 mL acetonitrile and 5 mL Milli-Q water. Then, 50 mL of the sample was placed into the cartridges. The elution was accomplished by adding 2 mL of acetonitrile to the loaded cartridges. The elute was then filtered into HPLC vials with 0.45 µm syringe filters. A similar process was used to prepare procedure blank samples, but Milli-Q water was utilised instead of the sample. Each extraction was performed in triplicate for the analysed samples. An Agilent HPLC 1200 Infinity series (Agilent Technologies, Waldbronn, Germany) equipped with a diode array detector was used. The separation was accomplished by a Zorbax Eclipse Plus C18 column (3.5 μm × 150 mm × 4.6 mm) (Agilent, Newport, CA, USA) operating at a temperature of 25 °C. An isocratic elution programme was used, containing a mobile phase composition of 70% of 1% phosphoric acid in water and 30% acetonitrile. The flow rate and sample injection were kept at 0.5 mL/min and 10 µL, respectively, throughout the analysis. The chromatograms were recorded at 233 nm.
2.4. Method Validation
The linearity, accuracy, precision, limits of detection (LODs), limits of quantification (LOQs), specificity, and matrix effect (ME) were used to validate the SPE/HPLC-DAD method. These analytical parameters were established before the analysis of real samples. The linearity of the method was evaluated by processing eight standard mixtures of the analytes (0–300 μg/L) prepared in different sample matrices using the technique described in Section 2.3. The choice of the initial standard concentration range was based on the preconcentration factor of the SPE method. The quantification of preconcentrated standards was performed using standard mixtures of the analytes prepared in acetonitrile at concentrations ranging from 1 to 5000 µg/L. The accuracy and precision of the method were investigated by spiking influent and effluent wastewater as well as ultrapure and river water samples with the analytes of interest at a concentration of 5 μg/L. This concentration level was chosen considering the previously documented environmental measured concentrations in South African water. The concentration value of 5 μg/L was also used to minimise interference due to the background presence of the analytes in the samples used. Six replicates of each spiked sample were subjected to the analytical method described in Section 2.3. The accuracy was expressed as percentage recovery (%R) estimated using the following expression:
where Ci, Cf, and Cs are the initial (before spiking), final (after spiking), and spiking concentrations of the target analytes.
The LODs and LOQs of the method were determined by spiking six replicates of ultrapure water, river water, and wastewater with a concentration of 1.0 µg/L of the analytes, after which each of the samples was subjected to the SPE method described in Section 2.4. LODs and LOQs were calculated according to previous studies [18].
where Sd is the standard deviation of 6 replicate determinations of the lowest concentration of calibration curves, and the slope of each calibration curve is represented as b.
Matrix effects (MEs) were examined by spiking three replicates of each studied water sample at 5 g/L, and the SPE method in Section 2.4 was applied. The %ME values for the SPE/HPLC-DAD method were calculated according to previous studies [26,27].
2.5. Quality Assurance and Quality Control
The quality of the results obtained was guaranteed by adopting various procedures during sample preparation and analysis. First, procedure blank samples were prepared daily from ultrapure water and processed in the same way as real samples. The blank samples were injected into the HPLC-DAD, and the results indicated that the concentrations of the analytes were below the detection limits in all the procedure blank samples. In addition, during the sample extraction process, three selected samples (river water, influent wastewater, and effluent wastewater) were spiked with known concentrations of the target analytes. This was conducted to monitor the method extraction efficiency and confirm its accuracy. Furthermore, a QC standard containing the analytes at 500 µg/L, spiked samples, and procedure blank samples were analysed after every ten samples. This was conducted to monitor quantification errors that might be due to extraction process failures as well as probable instrumental variations.
2.6. Environmental Risk Assessment
In this study, ecological risk assessment for ACT, IBU, and β-blockers was estimated using risk quotients (RQs) [28]. The RQ values were calculated using the following expression:
where MEC is the measured environmental concentration (MEC) of each target analyte, and PNEC is the predicted no-effect concentration. To avoid incorrect postulation and bias, the concentrations of analytes below the quantification limits were treated as zero. The PNEC values of the analytes for the three most widely used trophic levels (fish, Daphnia, and algae) were estimated by dividing EC50 by an appropriate assessment factor (AF). The toxicity data and PNECs of fish, Daphnia, and algae were adopted from the published literature (Table S3). In this study, AF was chosen to be 1000 as acute toxicity data was used. The AF measures the uncertainty in extrapolating from a restricted number of test species to complex ecosystems in the environment. It accounts for species sensitivity, variability, and laboratory to field impact extrapolation [29]. Based on RQs, the risk levels are divided into three categories.
2.7. Validation of Analytical Method
Results for the analytical performance of the analytical method are listed in Tables S4 and S5. As seen in Tables S4 and S5, the linearity of the SPE/HPLC-DAD method ranged from 0.03 to 250 µg/L with R2 values greater than 0.99. These results showed that the method had a good linear range for the investigated concentration levels prepared in different sample matrices. The method also showed relatively low LODs and LOQs obtained by the analysis of spiked ultrapure water and real water samples (river water influent and effluent). The results suggest that the method is suitable for application in various real water samples. The average %R of ACE and IBU in all the studied sample matrices was >90%, and the %RSD was <5%, therefore suggesting that the SPE/HPLC-DAD method is accurate and precise. The matrix effects detected for the target analytes were suppressed (0.9–8.4%) in real water samples. However, %ME was within ± 20% (Table S4), which is an acceptable range for water samples. Overall, the results obtained demonstrated that the SPE/HPLC-DAD method was suitable for the extraction, preconcentration, detection, and quantification of ACE and IBU at low ng/L levels in various water bodies without any matrix effect.
3. Results and Discussion
3.1. Occurrence of ACE and IBU in River Water and Wastewater
In this study, KZN and Gauteng were selected as model provinces to assess the usefulness of WBE in identifying changes in ACE and IBU consumption during different waves of COVID-19. Typical chromatographs showing the concentration in water samples are presented in Figure S2.
3.1.1. Concentrations of ACE and IBU in Wastewater and River Water Samples from Selected Sites in KwaZulu-Natal Province
Figure 1 shows the concentrations of ACT and IBU in wastewater influents, effluent, and river water during the second wave of the COVID-19 pandemic. Generally, during the second wave of the COVID-19 pandemic, elevated concentrations of ACT were detected in wastewater influents compared to effluents, except for Dassenhoek WWTP. As can be seen, ACT was dominant in almost all the sampling sites. This might be due to the higher doses consumed by patients and easy accessibility. In contrast to ACT, moderate concentrations of IBU were observed in a few sampling areas and were mostly below the quantification limit in samples collected downstream of wastewater discharge points. The concentrations and detection frequencies of ACT in river water were much higher than those of IBU. High concentrations of non-prescribed medication were expected during the second wave of the COVID-19 pandemic because the number of active cases had started to rise exponentially. Additionally, during the early stages of the COVID-19 pandemic, when little was known about it, the use of pharmaceuticals as a treatment for infected people with different symptoms may have influenced the high levels of ACT detected in aqueous water.
Figure 1.
Concentrations (μg/L) of acetaminophen (ACT) and ibuprofen (IBU) in (A) influent wastewater, (B) effluent wastewater, and (C) river water samples collected from selected KwaZulu-Natal sampling sites during the second wave of the COVID-19 pandemic. The sampling sites are as follows: 1―Howick WWTP; 2―Darvil WWTP; 3―Albert WWTP; 4―Mpumalanga WWTP; 5―Hammersdale WWTP; 6―Dassenhoek WWTP; 7―KwaNdengezi WWTP; 8―Umdloti WWTP; 9―Verulam WWTP; 10―Howick WWTP; 11―Darvil WWTP; 12―Albert WWTP; 13―Mpumalanga WWTP; 14―Hammersdale WWTP; 15―Dassenhoek WWTP; 16―KwaNdengezi WWTP; 17―Umdloti WWTP; 18―Verulam WWTP; 19―Umgeni River (Albert Falls WWTP) downstream; 20―Umlazi River (Mpumalanga WWTP) downstream; 21―Umlazi River (Hammersdale WWTP) downstream; 22―Umlazi River (Dassenhoek WWTP) downstream; 23―Umlazi River (KwaNdengezi WWTP) downstream.
During the fourth wave of the COVID-19 pandemic, ACT was detected in a large portion of the influent (Figure 2A) and effluent (Figure 2B) samples, and the highest concentrations were detected in the Hammersdale WWTP. However, the concentration levels were seen to be lower when compared to those during the second wave, except for the Hammersdale WWTP. The low detection frequency of IBU was comparable to second wave observations. Additionally, it was observed that during the fourth wave of the COVID-19 pandemic, ACT and IBU in river water were not detected. This was likely due to the low concentrations measured in the effluent samples and the resulting dilution effect once the effluent reached the river, as the fourth COVID-19 pandemic wave was observed during the rainy summer season in KZN. The province receives most of its rainfall in the austral summer period, between October and March [30].
Figure 2.
Concentrations (μg/L) of acetaminophen (ACT) and ibuprofen (IBU) in (A) influent wastewater and (B) effluent wastewater samples collected from selected KwaZulu-Natal WWTPs during the fourth wave of the COVID-19 pandemic. Sampling sites are 1―Howick; 2―Darvil; 3―Mpumalanga WWTP; 4―Hammersdale; 5―Northern WWTP; 6―Southern WWTP industrial; 7―Southern WWTP domestic influent; 8―Howick WWTP; 9―Darvil WWTP; 10―Mpumalanga WWTP; 11―Hammersdale WWTP; 12―Northern WWTP; 13―Southern WWTP.
3.1.2. Concentrations of ACE and IBU in Wastewater and River Water Samples from Selected Sites in Gauteng During Third Wave of COVID-19 Pandemic
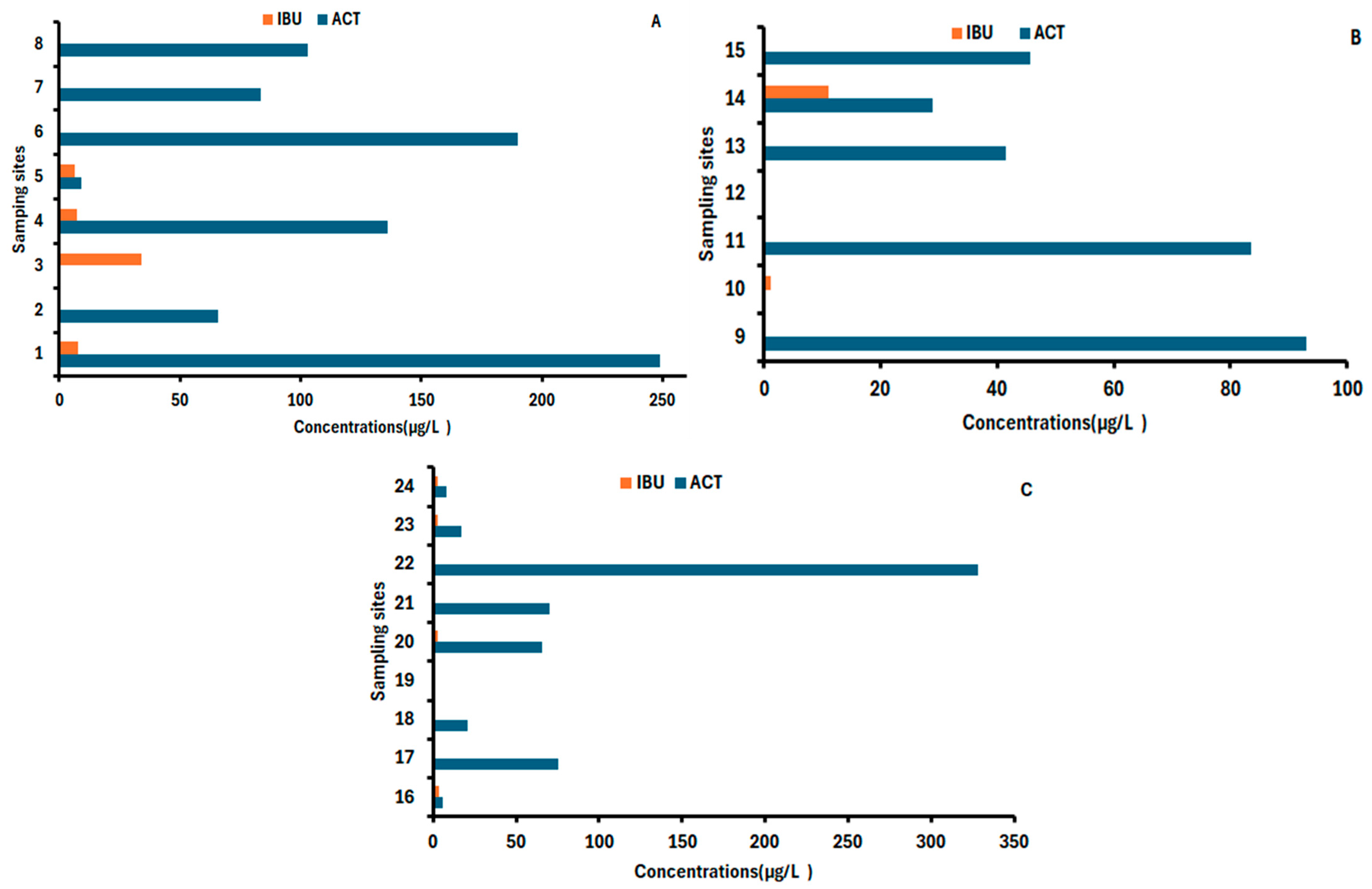
The results obtained in Gauteng during the third wave (Figure 3) of the COVID-19 pandemic show that the detection frequency of ACT in Gauteng province during the third wave was higher compared to KwaZulu-Natal during the second and fourth waves. This may be linked to the fact that Gauteng province generally had a higher number of COVID-19 cases than other provinces in South Africa [31]. ACT was detected at concentrations of 0.097–328 μg/L (Figure 3C). It was noticeable that most river water in Gauteng had higher concentrations that exceeded most of the WWTP samples. This suggests that the contamination in the river system cannot be solely attributed to the WWTP effluents [32]. Furthermore, these results indicate that the increased concentrations might be due to sources located near the river systems investigated. In Gauteng province, the detection frequency of IBU in the selected study areas was lower than that of ACT. Low measured concentration levels show that this was low. The highest measured concentration was from Refilwe WWTP at 34.0 µg/L.
Figure 3.
Concentrations (μg/L) of acetaminophen (ACT) and ibuprofen (IBU) in (A) influent wastewater (B), effluent wastewater, and (C) river water samples collected from selected Gauteng sampling sites during the third wave of the COVID-19 pandemic. Sampling sites during the third wave are 1―Baviaanspoort WWTP; 2-Babelegi WWTP; 3―Refilwe WWTP; 4―Rooiwal East WWTP; 5―Rooiwal East WWTP (Composite sample); 6―Themba WWTP; 7―Themba clarifier 2 WWTP; 8―Zooegat WWTP; 9―Baavianspoot WWTP, 10―Babelegi WWTP effluent; 11―Refilwe WWTP effluent; 12―Rooiwal East WWTP; 13―Rooiwal East WWTP; 14―Themba WWTP effluent; 15―Zooegat WWTP effluent; 16―Apies River (below Rooiwal East); 17―Apies River, 18―Pienaars River (Mamelodi); 19―Pienaars River (Zooekgat WWTP) upstream; 20―Pienaars River (Zooekgat WWTP) downstream; 21―Pienaars river (before Baavianspoot WWTP); 22―Pienaars River (Moloto road); 23―Hennops River; 24―Tolwane River (after Klipgat WWTP) downstream.
3.2. Occurrence of β-Blockers in River Water and Wastewater
WBE was also used to evaluate the variations in consumption of two β-blockers, metoprolol and propranolol, during COVID-19 pandemic waves in South African provinces, KwaZulu-Natal and Gauteng. Typical chromatographs showing the concentration in water samples are presented in Figure S2.
3.2.1. Concentrations of β-Blockers in Wastewater and River Water Samples from Selected Sites in KwaZulu-Natal Province
Figure 4 shows the concentration levels of β-blockers measured in wastewater treatment plants and river samples in KZN during the second wave. Overall, both compounds had high-frequency detection in WWTP influents, followed by WWTP effluents. However, it was observed that MET had the highest concentration levels compared to PRO. The highest concentration was measured in Dassenhoek WWTP influent (52.8 µg/L), followed by Hammersdale WWTP influent (40.3 µg/L), Umdloti WWTP influent (39.9 µg/L), and KwaNdengezi WWTP influent (17.1 µg/L) (Figure 4A). The abundance of this compound in wastewater influents could be an indication of its high consumption during the COVID-19 pandemic, as it has been reported that cardiac complications were one of the most common health problems during the COVID-19 pandemic [33]. It was also detected in WWTP effluents as follows: Albert Falls WWTP effluent (2.71 µg/L), Darvil WWTP effluent (1.51 µg/L), and KwaNdengezi WWTP effluent (2.79 µg/L) (Figure 4B). The presence of MET in wastewater effluents is probably due to its poor removal during the wastewater treatment process. River samples had low detection frequency for MET, and it could only be detected in a few river samples: Msunduzi River (Darvil) upstream (1.94 µg/L), Umlazi River (Dassenhoenk) downstream (1.61 µg/L), Umlazi River (KwaNdengezi) downstream (1.58 µg/L), and Umlazi River (Mpumalanga) upstream (2.30 µg/L). In some cases, higher concentrations were observed in river samples than in effluents. For example, this could be noticed in the Msunduzi River (Darvil) upstream (1.94 µg/L) and Darvil WWTP effluent (1.51 µg/L). A similar trend can be seen in the Dassenhoek WWTP effluent (0.38 µg/L) and Umlazi River (Dassenhoek) downstream (1.61 µg/L) (Figure 4B).
Figure 4.
Concentrations (μg/L) of metoprolol (MET) and propranolol (PRO) in (A) influent wastewater, (B) effluent wastewater, and (C) river water samples collected from the selected KZN sampling site during the second wave of the COVID-19 pandemic. Sampling sites are 1―Howick WWTP; 2―Darvil WWTP influent; 3―Albert Falls WWTP; 4―Mpumalanga WWTP; 5―Hammersdale WWTP; 6―Dassenhoek WWTP; 7―KwaNdengezi WWTP, 8―Umdlothi WWTP; 9―Verum WWTP; 10―Howick WWTP effluent; 11―Darvil WWTP; 12―Albert falls WWTP, 13―Mpumalanga WWTP; 14―Hammersdale WWTP; 15―Dassenhoek WWTP; 16―KwaNdengezi WWTP; 17―Umdlothi WWTP; 18―Verum WWTP; 19―Umgeni River (Howick WWTP) upstream; 20―Msunduzi River (Darvil WWTP) downstream; 21―Umgeni River (Albert Falls WWTP) downstream; 22―Umlazi River (Mpumalanga WWTP) upstream; 23―Umlazi River (Mpumalanga WWTP) downstream; 24―Umlazi River (Hammersdale WWTP) upstream; 25―Umlazi River (Hammersdale WWTP) downstream; 26―Umlazi River (Dassenhoek WWTP) upstream; 27―Umlazi River (Dassenhoenk WWTP) downstream; 28―Umlazi River (KwaNdengezi WWTP) upstream; 29―Umlazi River (KwaNdengezi WWTP) downstream.
Figure 4 shows that propranolol was generally present at low concentrations compared to MET in both WWTP influents and effluents. The highest concentration for PRO was quantified in the Hammersdale WWTP influent at 10.8 µg/L. The lowest concentration was quantified from the Umgeni River (Albert Falls) downstream (0.40 µg/L) (Figure 4C). This could be explained by the lower consumption of this drug in KwaZulu-Natal compared to MET. In general, the occurrence of β-blockers in wastewater might be due to the large amounts of β-blockers prescribed and consumed and their incomplete metabolism. Over 40% of some β-blockers are eliminated through the kidneys, unchanged. However, these compounds were observed at lower concentrations in river systems, thus indicating some extent of removal efficiency during wastewater treatment processes.
During the fourth wave of the COVID-19 pandemic in KZN, MET was detected from all the WWTP influents except for the Hammersdale WWTP influent (Figure 5 ). A slight decrease in MET concentration levels was observed during the fourth wave in KwaZulu-Natal. Its highest concentration was measured at 6.15 µg/L from the Mpumalanga WWTP influent. This could reflect how the number of active cases of COVID-19 correlates with the consumption of these drugs because the fourth wave of the COVID-19 pandemic had fewer active cases compared to the second wave. Both MET and PRO were present in WWTP effluents at high concentration levels. MET was found in the following: Mpumalanga WWTP effluent (1.97 µg/L), Hammersdale effluent (4.56 µg/L), and Southern WWTP effluent (3.37 µg/L). MET was detected in river systems, the Msunduzi River (Darvil) downstream (2.29 µg/L) and the Umlazi River (Mpumalanga) downstream (1.71 µg/L). PRO was detected and quantified in all the WWTP influents: Hammersdale influent (13.06 µg/L), Howick influent (2.34 µg/L), Mpumalanga WWTP influent (4.29 µg/L), Southern WWTP domestic influent (1.64 µg/L), and Southern WWTP industrial influent (2.78 µg/L). However, it was only detected in one river sample, Umlazi River (Mpumalanga) upstream (0.39 µg/L). It was also present in two WWTPs, Hammersdale (0.57 µg/L) and Southern WWTP effluent (0.95 µg/L).
Figure 5.
Concentrations (μg/L) of metoprolol (MET) and propranolol (PRO) in (A) influent wastewater, (B) effluent wastewater, and (C) river water samples collected from selected KZN sampling sites during the fourth wave of the COVID-19 pandemic. Sampling sites are 1―Howick WWTP influent; 2―Darvil WWTP influent; 3―Mpumalanga WWTP influent; 4―Hammersdale WWTP; 5―Northern WWTP influent; 6―Southern WWTP domestic influent; 7―Southern WWTP industrial; 8―Howick WWTP influent; 9―Darvil WWTP influent; 10―Mpumalanga WWTP effluent; 11―Hammersdale WWTP effluent; 12―Northern WWTP effluent; 13―Southern WWTP effluent; 14―Msunduzi (Darvil WWTP) downstream; 15―Umlazi River (Mpumalanga WWTP) downstream; 16―Umlazi River (Hammersdale WWTP) downstream.
Overall, MET was detected at higher concentrations than PRO in wastewater and river water, except for Hammersdale influent (13.1 µg/L). In comparison with the second wave of the COVID-19 pandemic in KZN, a significant decrease in concentrations was detected during the fourth wave. The major variations observed between the two waves can be linked to numerous factors, one of which could include variations in the human consumption of these pharmaceuticals based on the number of COVID-19 patients who were using these drugs. For instance, during the second wave, COVID-19 cases were higher than in the fourth wave. Hence, we can deduce that the consumption of β-blockers was correlated with COVID-19 active cases.
3.2.2. Concentrations of β-Blockers in Wastewater and River Water Samples from Selected Sites in Gauteng During Third Wave of COVID-19 Pandemic
The concentrations of MET and PRO in Gauteng wastewater and river samples were investigated, and the results are presented in Figure 6 It was observed that MET was mostly detected in influent samples: Refilwe WWTPs (2.09 µg/L), Themba WWTPs (3.63 µg/L), Rooiwal WWTPs East (12.6 µg/L), Babelegi WWTPs (7.84 µg/L), and Zooegat WWTPs (2.09 µg/L) (Figure 6A). The highest PRO concentration was detected in Rooiwal East (3.31 µg/L) (Figure 6A)./L). MET and PRO were only detected in one effluent sample (Babelegi WWTP effluent). In contrast, PRO was detected in a few river water samples, Apies River (below Rooiwal East), Apies River (Hammaskraal), and Pienaars River (Moloto road), with concentrations ranging from 0.65 to 1.23 µg/L (Figure 6C).
Figure 6.
Concentrations (μg/L) of metoprolol (MET) and propranolol (PRO) in (A) influent wastewater, (B) effluent wastewater, and (C) river water samples collected from selected Gauteng sampling sites during the third wave of the COVID-19 pandemic. Sampling sites are 1―Baviaanspoort WWTP influent; 2―Babelegi WWTP influent; 3―Refilwe WWTP influent; 4―Rooiwal East WWTP influent; 5―Rooiwal East WWTP (Composite sample) influent; 6―Themba WWTP influent; 7―Themba clarifier 2-WWTP influent; 8―Zooegat WWTP influent; 9―Babelegi WWTP effluent; 10―Apies River (below Rooiwal East); 11―Apies River (Hammaskraal); 12―Pienaars River (Moloto road).
3.3. Comparison Pre-Pandemic vs. Pandemic
The presence of ACT and IBU in effluents, influents, and river water from different South African provinces had been previously documented pre-COVID-19 pandemic. Therefore, in this study, the concentrations measured prior to the COVID-19 outbreak served as a benchmark to assess the impacts of the COVID-19 pandemic on the occurrence of ACT and IBU in the aquatic environment. The concentration levels of ACT obtained in the study were generally higher in most cases than those reported in previous studies [34]. This could be due to the increased use of self-medication drugs during the COVID-19 pandemic. The variations in the number of infections during pandemic times could also influence the concentrations of these compounds. In addition, Gauteng and KwaZulu provinces had higher numbers of infections than other provinces [35], which in turn may have led to an increase in drug consumption. From previous studies, ACT and IBU were mostly quantified in ng/L levels in aquatic environmental matrices. Occurrence data of ACT in the South African aquatic environment are limited compared to other drugs. With the little data that is available, it was observed that the levels of ACT in water have increased during different pandemic waves in both provinces.
While there is limited data available on the concentration levels of ACT in South African aquatic environments, some researchers have reported its occurrence in wastewater and river water. For instance, ref. [36] reported the concentrations of ACT in river water to be 58 μg/L, while [37] detected ACT in wastewater inflow at a concentration level of 119 μg/L. According to Matongo et al. [38], the lowest concentration of ACT (7.89 μg/L) was reported by. In the present study, the highest concentrations of ACT were found in wastewater, and the lowest concentrations were in river water. Table 7 [38] shows that during the pre-pandemic era, the concentration of IBU, ranging from 0.8 to 221 μg/L, has been reported in wastewater and river water bodies. In the present study, the detection frequency of IBU was lower than that of ACT. The concentrations of IBU were mostly detected in wastewater samples. Compared to previous studies, the concentration of IBU in river water ranged from 0 to 39.5 μg/L. These results suggested that the consumption of ACT during the second wave of the COVID-19 pandemic increased significantly compared to previous studies. At the same time, there is no significant increase in the consumption of IBU.
3.4. Environmental Risk Assessment
Ecological or environmental risk assessment has become an important tool for evaluating the ecological risk linked to the occurrence of pharmaceuticals in the various aquatic matrices. Poor water quality has been linked to several issues in South Africa, including high fish mortality rates, changes in the habitat template that result in a reduction in the diversity of riverine macroinvertebrates, changes in the structures of microbial communities with severe ecological repercussions, and the evolution of antibiotic-resistant genes [39].
In this study, environmental risk assessment was conducted on the different river systems located in both provinces and the RQ values were used as a marker of risk to estimate the harmful dose of ACT or IBU to selected sensitive organisms present in the receiving aquatic environment. Table S6 presents RQ values for ACT and IBU in river water. In the case of ACT, the RQ values ranged from 0.90 to 75.7, 0.02 to 7.81, and 0.0003 to 0.13 against fish, D. magna, and green algae, respectively. As seen, these results suggest a high risk of ACT against fish in most of the rivers except the Umlazi River (KwaNdengezi) downstream and the Pienaars River (Zooekgat WWTP) upstream, where medium risk was observed. On the other hand, low to high risk was found against D. magna. RQ values for ACT were found to be ≤0.1 against green algae, and these values implied that there is quite a low risk to this species, except for the Pienaars River (Moloto road), with RQ > 0.1 posing a medium risk to green algae. The RQ values of IBU against fish, D. magna, and green algae ranged from 0.05 to 0.07, 0.004 to 0.005, and 0.20 to 0.29, respectively. These values suggested that IBU pose a low risk to both fish and D. magna, whereas a medium risk was observed against green algae. Overall, the exposure to the most prevalent NSAIDs found in the aquatic environment, particularly ibuprofen and paracetamol, may pose a risk to non-target freshwater invertebrates. Ibuprofen has been shown to impair endocrine function in living organisms, harm aquatic vertebrate reproduction, and be harmful to algae. It can bioaccumulate and can cause severe biological harm to species, even at low concentrations over time [40].
Ecological risks were also investigated for the two β-blockers (MET and PRO) according to toxic data reported for aquatic organisms (green algae, D. magna, and fish). The PNEC values of the two β-blockers were obtained based on the assessment factor approach. The RQ was calculated for the two compounds to estimate their potential adverse effects on aquatic organisms in river water, which are reported in Table S7. The RQ values for MET were in the ranges of 0.05–0.07, 0.004–0.005, and 0.0003–0.03 for fish, D. magna, and algae, respectively. According to this range, MET poses a low risk to all three aquatic organisms. For PRO, the RQ values ranged from fish (0.005–0.05), D. magna (0.02–0.25), and green algae (0.02–0.17). These results suggest that PRO poses a low risk against fish, while a low to medium risk could be observed for both Daphnia and green algae.
It has also been reported that propranolol has the highest toxicity of all β-blockers. It has been reported to significantly lower the fertility and reproduction rate of Daphnia magna [41]. Despite being designed for human health uses, exposure to metoprolol and propranolol can harm non-target organisms (e.g., fish and shellfish species) by interrupting important physiological functions and jeopardising the health and sustainability of aquatic organisms [17].
The biodegradability of these pharmaceuticals has been widely tested. To assess the biodegradability of compounds, industrial and scientific communities and standardisation organisations have created and standardised a number of test methods and established test hierarchies (e.g., Organisation for Economic Co-operation and Development, OECD) [42]. The biodegradability of these pharmaceuticals from previous studies is presented in Table S10, which shows that ACT, PRO, and PRO had a high extent of degradation, suggesting they can be biodegradable to a certain extent. MET showed low biodegradability of 13.8% over 28 days, implying that it is not readily biodegradable. The microbial toxicity of ACT [43], IBU [44], MET [45], and PRO [46] is also presented in Table S10. The data showed that IBU had moderate toxicity against Vibrio fischeri after 15 min exposure, whereas, on the other hand, ACT showed high toxicity to Pseudomonas strain PrS10 observed over 7 days period. MET exhibited low toxicity to Vibrio fischeri with EC50 of 39.9mg/L, whereas PRO demonstrated moderate toxicity after 24 h of exposure.
3.5. Removal of Selected Pharmaceuticals from WWTPs in Gauteng and KwaZulu-Natal Provinces
The concentration levels of pharmaceuticals in effluents are usually explained by their removal rate in WWTPs, which is determined by their physicochemical properties (primarily hydrophobicity, which affects their ability to be sorbed on sludges or suspended particulates) and degradation. Therefore, removal efficiencies vary significantly amongst WWTPs. The concentrations of raw influent and final effluent were used to calculate the removal efficiency for each target analyte in various WWTPs (Tables S8 and S9). In KZN, the removal efficiency ranged from 4.0% (Dassenhoek WWTP influent) to 100% (Mpumalanga WWTP) for ACT. Overall, ACT showed high removal efficiency compared to Ibu, with a range of 31–100%. In the majority of WWTPs in Gauteng, IBU had 100% removal efficiencies. ACT also showed good %RE (Tables S8 and S9). The negative removal efficiencies are typically attributed to signal suppression caused by strong matrix effects in raw water, as well as deconjugation and abiotic retransformation of metabolites and transformational products in WWTPs [47]. Additionally, the poor removal efficiency could also be explained by variances in the WWTPs’ designs or the desorption of pharmaceuticals from particulate matter during the wastewater treatment process [48]. The %RE for both MET and PRO in different WWTPs in KZN ranged from −34.1 to 100%. As can be seen, some of these pharmaceuticals had lower concentration levels in the influent than in the effluent, resulting in a removal efficiency of less than 0%. However, a high %RE was observed for propranolol compared to MET, excluding a few WWTPs: Umdloti WWTP (3.8%) and Darvil WWTP (37.3%). In Gauteng WWTPs, good %RE could be observed, with %RE up to 100% for the majority of the WWTPs (Table S9).
4. Conclusions
In this study, solid phase extraction coupled with HPLC-DAD was used to monitor and quantify ACT, IBU, MET, and PRO in wastewater and river water during the COVID-19 pandemic. All four compounds were present in various wastewater and river samples in both provinces. The results showed that ACT and IBU had higher concentration levels than the beta-blockers. The data highlighted that the COVID-19 pandemic influenced the increased use of some pharmaceuticals in aquatic environments, which, in turn, may influence the quality of the water bodies that receive them. Ultimately, the results showed that the wastewater treatment process brought about a reduction rather than an elimination of these pharmaceuticals in the influent water samples, highlighting the known fact that conventional wastewater treatment processes are ineffective in removing these pharmaceuticals from environmental water.
Despite high removal efficiencies in some WWTPs (up to 100%), ACT, IBU, and beta-blockers were still found in effluent samples at high concentrations; hence, all these compounds were also present in some river samples. This could pose a major risk to aquatic organisms’ abilities to grow and their survival in the receiving water bodies. The risks posed by the presence of ACT, IBU, MET, and PRO in the environment were assessed using risk quotient. The RQ values for ACT indicated a medium to high risk against fish, low to high risk against D. magna, and low risk against green algae. At the same time, IBU indicated a low risk against fish and D. magna, as well as a medium risk against green algae. MET poses a minimal risk to all three aquatic organisms. For PRO, minimal risk could be observed against fish, but it poses a low to medium risk for both daphnia and green algae.
Supplementary Materials
The following supporting information can be downloaded at: https://www.mdpi.com/article/10.3390/environments12080278/s1, Table S1: Description of KwaZulu Natal sampling sites; Table S2: De-scription of Gauteng sampling sites; Table S3: Aquatic toxicity data and PNEC values of selected pharmaceuticals on sensitive aquatic organisms; Table S4: Analytical performance of SPE/HPLC-DAD method used for determination of acetaminophen and ibuprofen in water; Table S5: Analytical performance of SPE/HPLC-DAD method used for determination of metoprolol and propranolol in water; Table S6: Ecological risk assessment of water samples from various river systems in Gauteng and KwaZulu Natal provinces, South Africa; Table S7: Ecological risk assessment of water samples from various river systems in Gauteng and KwaZulu Natal provinces, South Africa; Table S8: The concentration and removal efficiency of four pharmaceuticals selected Gauteng and KwaZulu Natal WWTPs; Table S9: The concentration and removal efficiency of four pharmaceuticals in selected Gauteng and KwaZulu Natal WWTPs; Table S10: Biodegradation and microbial toxicity data for the selected pharmaceuticals; Figure S1: A typical chromatogram for selected pharmaceuticals; Figure S2: Distribution of sampling sites from wastewater and river water sampling sites from KwaZulu-Natal. Samples taken after the 3rd and 4th COVID waves. The references [22,23,24,25,43,44,45,46,47,48,49,50,51,52] were cited in the Supplementary Materials.
Author Contributions
N.M.: conceptualisation of the work, formal analysis investigation, methodology, validation, visualisation of the data, writing—original draft. A.M.: Visualisation of the data, methodology, investigation, supervision, validation, writing—review and editing. N.E.M.: Visualisation of the data, methodology, resources; P.N.N.: Conceptualisation of the work; funding acquisition, methodology, project administration, resources, software, supervision, validation, visualisation, writing—review and editing. All authors have read and agreed to the published version of the manuscript.
Funding
This study was financially supported by the Department of Science, Technology and Innovation-National Research Foundation South African Research Chair Initiative (DSTI-NRF SARChI) funding instrument, grant number 91230, and the Water Research Commission (South Africa), grant number C2020-2021-00387.
Data Availability Statement
The raw data supporting the conclusions of this article will be made available by the author on request.
Acknowledgments
The authors wish to acknowledge the University of Johannesburg, Faculty of Science, and Department of Chemical Sciences for laboratory space. The authors also want to thank N. Musee for his immense contribution to the success of this study.
Conflicts of Interest
The authors declare no conflict of interest.
Correction Statement
This article has been republished with a minor correction to the Data Availability Statement. This change does not affect the scientific content of the article.
References
- Tahar, A.; Tiedeken, E.J.; Clifford, E.; Cummins, E.; Rowan, N. Development of a semi-quantitative risk assessment model for evaluating environmental threat posed by the three first EU watch-list pharmaceuticals to urban wastewater treatment plants: An Irish case study. Sci. Total Environ. 2017, 603–604, 627–638. [Google Scholar] [CrossRef] [PubMed]
- O’Flynn, D.; Lawler, J.; Yusuf, A.; Parle-Mcdermott, A.; Harold, D.; Mc Cloughlin, T.; Holland, L.; Regan, F.; White, B. A review of pharmaceutical occurrence and pathways in the aquatic environment in the context of a changing climate and the COVID-19 pandemic. Anal. Methods 2021, 13, 575–594. [Google Scholar] [CrossRef] [PubMed]
- Chopra, S.; Kumar, D. Ibuprofen as an emerging organic contaminant in environment, distribution and remediation. Heliyon 2020, 6, e04087. [Google Scholar] [CrossRef]
- Ray, I.; Bardhan, M.; Hasan, M.M.; Sahito, A.M.; Khan, E.; Patel, S.; Jani, I.; Bhatt, P.K.; Sp, R.; Swed, S. Over the counter drugs and self-medication: A worldwide paranoia and a troublesome situation in India during the COVID-19 pandemic. Ann. Med. Surg. 2022, 78, 103797. [Google Scholar] [CrossRef] [PubMed]
- Singh, D.S.; Pflugmacher, S.; Riddell, C.H. Ecotoxicological assessments of over-the-counter NSAID (diclofenac, ibuprofen, aspirin) and antipyretic (acetaminophen) pharmaceuticals: A review of their toxicity effects on aquatic crustaceans. Integr. Environ. Assess. Manag. 2025, vjaf082. [Google Scholar] [CrossRef]
- Mostafa, E.M.A.; Tawfik, A.M.; Abd-Elrahman, K.M. Egyptian perspectives on potential risk of paracetamol/acetaminophen-induced toxicities: Lessons learnt during COVID-19 pandemic. Toxicol. Rep. 2022, 9, 541–548. [Google Scholar] [CrossRef]
- Vo, H.N.P.; Koottatep, T.; Chapagain, S.K.; Panuvatvanich, A.; Polprasert, C.; Nguyen, T.M.H.; Chaiwong, C.; Nguyen, N.L. Removal and monitoring acetaminophen-contaminated hospital wastewater by vertical flow constructed wetland and peroxidase enzymes. J. Environ. Manag. 2019, 250, 109526. [Google Scholar] [CrossRef]
- Baron, P.A.; Love, D.C.; Nachman, K.E. Pharmaceuticals and personal care products in chicken meat and other food animal products: A market-basket pilot study. Sci. Total Environ. 2014, 490, 296–300. [Google Scholar] [CrossRef]
- Borthakur, P.; Boruah, P.K.; Das, M.R. Facile synthesis of CuS nanoparticles on two-dimensional nanosheets as efficient artificial nanozyme for detection of Ibuprofen in water. J. Environ. Chem. Eng. 2021, 9, 104635. [Google Scholar] [CrossRef]
- Xu, J.; Sun, H.; Zhang, Y.; Alder, A.C. Occurrence and enantiomer profiles of β-blockers in wastewater and a receiving water body and adjacent soil in Tianjin, China. Sci. Total Environ. 2019, 650, 1122–1130. [Google Scholar] [CrossRef]
- Hasanah, A.N.; Susanti, I.; Mutakin, M. An Update on the Use of Molecularly Imprinted Polymers in Beta-Blocker Drug Analysis as a Selective Sep-aration Method in Biological and Environmental Analysis. Molecules 2022, 27, 2880. [Google Scholar] [CrossRef]
- Heriansyah, T.; Chomsy, I.N.; Febrianda, L.; Hadi, T.F.; Wihastuti, T.A. The potential benefit of beta-blockers for the management of COVID-19 protocol therapy-induced qt prolonga-tion: A literature review. Sci. Pharm. 2020, 88, 55. [Google Scholar] [CrossRef]
- Maszkowska, J.; Stolte, S.; Kumirska, J.; Łukaszewicz, P.; Mioduszewska, K.; Puckowski, A.; Caban, M.; Wagil, M.; Stepnowski, P.; Białk-Bielińska, A. Beta-blockers in the environment: Part I. Mobility and hydrolysis study. Sci. Total Environ. 2014, 493, 1112–1121. [Google Scholar] [CrossRef]
- Di Lorenzo, T.; Di Cicco, M.; Di Censo, D.; Galante, A.; Boscaro, F.; Messana, G.; Paola Galassi, D.M. Environmental risk assessment of propranolol in the groundwater bodies of Europe. Environ. Pollut. 2019, 255, 113189. [Google Scholar] [CrossRef] [PubMed]
- Chen, X.; Lei, L.; Liu, S.; Han, J.; Li, R.; Men, J.; Li, L.; Wei, L.; Sheng, Y.; Yang, L.; et al. Occurrence and risk assessment of pharmaceuticals and personal care products (PPCPs) against COVID-19 in lakes and WWTP-river-estuary system in Wuhan, China. Sci. Total Environ. 2021, 792, 148352. [Google Scholar] [CrossRef]
- Munzhelele, E.P.; Mudzielwana, R.; Ayinde, W.B.; Gitari, W.M. Pharmaceutical Contaminants in Wastewater and Receiving Water Bodies of South Africa: A Review of Sources, Pathways, Occurrence, Effects, and Geographical Distribution. Water 2024, 16, 796. [Google Scholar] [CrossRef]
- Salinas, A.; Rahman, M.S. Exposure to metoprolol and propranolol mixtures on biochemical, immunohistochemical, and molecular alterations in the American oyster, Crassostrea virginica. Toxicol. Rep. 2025, 14, 101979. [Google Scholar] [CrossRef] [PubMed]
- Khasawneh, O.F.S.; Palaniandy, P. Occurrence and removal of pharmaceuticals in wastewater treatment plants. Vol. 150, Process Safety and Environmental Protection. Inst. Chem. Eng. 2021, 150, 532–556. [Google Scholar]
- Jakimska, A.; Śliwka-Kaszyńska, M.; Reszczyńska, J.; Namieśnik, J.; Kot-Wasik, A. Elucidation of transformation pathway of ketoprofen, ibuprofen, and furosemide in surface water and their occurrence in the aqueous environment using UHPLC-QTOF-MS Euroanalysis XVII. Anal. Bioanal. Chem. 2014, 406, 3667–3680. [Google Scholar] [CrossRef]
- Tambosi, J.L.; Yamanaka, L.Y.; José, H.J.; De Fátima Peralta Muniz Moreira, R.; Schröder, H.F. Recent research data on the removal of pharmaceuticals from sewage treatment plants (STP). Quim. Nova 2010, 33, 411–420. [Google Scholar] [CrossRef]
- Ortiz de García, S.A.; Pinto Pinto, G.; García-Encina, P.A.; Irusta-Mata, R. Ecotoxicity and environmental risk assessment of pharmaceuticals and personal care products in aquatic environments and wastewater treatment plants. Ecotoxicology 2014, 23, 1517–1533. [Google Scholar] [CrossRef]
- Ngqwala, N.P.; Muchesa, P. Occurrence of pharmaceuticals in aquatic environments: A review and potential impacts in South Africa. S. Afr. J. Sci. 2020, 116, 1–7. [Google Scholar] [CrossRef]
- María Baena-Nogueras, R.; G Pintado-Herrera, M.; González-Mazo, E.; Lara-Martín, P.A. Determination of Pharmaceuticals in Coastal Systems Using Solid Phase Extraction (SPE) Followed by Ultra Performance Liquid Chromatography—Tandem Mass Spectrometry (UPLC-MS/MS). Curr. Anal. Chem. 2015, 12, 183–201. [Google Scholar] [CrossRef]
- Desai, R.; Onwubu, S.; Lutge, E.; Buthelezi, N.P.; Moodley, N.; Haffejee, F.; Segobe, B.; Krishna, S.B.N.; Sibiya, M.N.; Jinabhai, C.C. Provision of HIV testing services and its impact on the HIV positivity rate in the public health sector in KwaZulu-Natal: A ten-year review. Sahara J. 2024, 21, 2318797. [Google Scholar] [CrossRef]
- Almeida, C.M.M. Overview of sample preparation and chromatographic methods to analysis pharmaceutical active compounds in waters matrices. Separations 2021, 8, 16. [Google Scholar] [CrossRef]
- Mosekiemang, T.T.; Stander, M.A.; de Villiers, A. Simultaneous quantification of commonly prescribed antiretroviral drugs and their selected metabolites in aqueous environmental samples by direct injection and solid phase extraction liquid chromatography—Tandem mass spectrometry. Chemosphere 2019, 220, 983–992. [Google Scholar] [CrossRef]
- Stahnke, H.; Kittlaus, S.; Kempe, G.; Alder, L. Reduction of Matrix Effects in Liquid Chromatography-Electrospray Ionization-Mass Spectrometry by Dilution of the Sample Extracts: How Much Dilution is Needed? Anal. Chem. 2012, 84, 1474–1482. [Google Scholar] [CrossRef]
- Godoy, A.A.; Domingues, I.; Arsénia Nogueira, A.J.; Kummrow, F. Ecotoxicological effects, water quality standards and risk assessment for the anti-diabetic metformin. Environ. Pollut. 2018, 243, 534–542. [Google Scholar] [CrossRef] [PubMed]
- Ema. Committee for Medicinal Products for Human Use (CHMP) Guideline on the Environmental Risk Assessment of Medicinal Products for Human Use. 2024. Available online: https://www.ema.europa.eu/contact (accessed on 3 August 2024).
- Ndlovu, M.; Clulow, A.D.; Savage, M.J.; Nhamo, L.; Magidi, J.; Mabhaudhi, T. An assessment of the impacts of climate variability and change in Kwazulu-Natal province, South Africa. Atmosphere 2021, 12, 427. [Google Scholar] [CrossRef]
- Gillian, M.; Culwick Fatti, C.; Götz, G.; Hamann, C.; Parker, A. Effects of the COVID-19 Pandemic on the Gauteng City-Region; Gauteng City-Region Observatory: Johannesburg, South Africa, 2021; Available online: https://cdn.gcro.ac.za/media/documents/2021.09.08_GCRO_DataBrief_Effects_of_COVID_on_the_GCR_final_v2.pdf (accessed on 3 August 2024).
- Mhuka, V.; Dube, S.; Nindi, M.M. Occurrence of pharmaceutical and personal care products (PPCPs) in wastewater and receiving waters in South Africa using LC-OrbitrapTM MS. Emerg. Contam. 2020, 6, 250–258. [Google Scholar] [CrossRef]
- Conceicao, K.C.; Villamar-Ayala, C.A.; Plaza-Garrido, A.; Toledo-Neira, C. Seasonal behavior of pharmaceuticals and personal care products within Chilean rural WWTPs under COVID-19 pandemic conditions. J. Environ. Chem. Eng. 2023, 11, 110984. [Google Scholar] [CrossRef]
- Godoy, A.A.; Kummrow, F.; Pamplin, P.A.Z. Occurrence, ecotoxicological effects and risk assessment of antihypertensive pharmaceutical residues in the aquatic environment—A review. Chemosphere 2015, 138, 281–291. [Google Scholar] [CrossRef]
- Yang, W.; Shaman, J.L. COVID-19 pandemic dynamics in South Africa and epidemiological characteristics of three variants of concern (Beta, Delta, and Omicron). Elife 2022, 11, e78933. [Google Scholar] [CrossRef]
- Agunbiade, F.O.; Moodley, B. Pharmaceuticals as emerging organic contaminants in Umgeni River water system, KwaZulu-Natal, South Africa. Env. Monit Assess 2014, 186, 7273–7291. [Google Scholar] [CrossRef] [PubMed]
- Kanama, K.M.; Daso, A.P.; Mpenyana-Monyatsi, L.; Coetzee, M.A.A. Assessment of pharmaceuticals, personal care products, and hormones in wastewater treatment plants receiving inflows from health facilities in North West Province, South Africa. J. Toxicol. 2018, 2018, 3751930. [Google Scholar] [CrossRef] [PubMed]
- Matongo, S.; Birungi, G.; Moodley, B.; Ndungu, P. Occurrence of selected pharmaceuticals in water and sediment of Umgeni River, KwaZulu-Natal, South Africa. Environ. Sci. Pollut. Res. 2015, 22, 10298–10308. [Google Scholar] [CrossRef]
- Rivers-Moore, N.A.; Goodman, P.S.; Nel, J.L. Scale-based freshwater conservation planning: Towards protecting freshwater biodiversity in KwaZulu-Natal, South Africa. Freshw. Biol. 2011, 56, 125–141. [Google Scholar] [CrossRef]
- Osman, A.I.; Ayati, A.; Farghali, M.; Krivoshapkin, P.; Tanhaei, B.; Karimi-Maleh, H.; Krivoshapkina, E.; Taheri, P.; Tracey, C.; Al-Fatesh, A.; et al. Advanced adsorbents for ibuprofen removal from aquatic environments: A review. Environ. Chem. Lett. 2024, 22, 373–418. [Google Scholar] [CrossRef]
- Yi, M.; Sheng, Q.; Sui, Q.; Lu, H. β-blockers in the environment: Distribution, transformation, and ecotoxicity. Environ. Pollut. 2020, 266, 115269. [Google Scholar] [CrossRef]
- Strotmann, U.; Thouand, G.; Pagga, U.; Gartiser, S.; Heipieper, H.J. Toward the future of OECD/ISO biodegradability testing-new approaches and developments. Appl. Microbiol. Biotechnol. 2023, 107, 2073–2095. [Google Scholar] [CrossRef]
- Poddar, K.; Sarkar, D.; Chakraborty, D.; Patil, P.B.; Maity, S.; Sarkar, A. Paracetamol biodegradation by Pseudomonas strain PrS10 isolated from pharmaceutical effluents. Int. Biodeterior. Biodegrad. 2022, 175, 105490. [Google Scholar] [CrossRef]
- Gheorghe, S.; Petre, J.; Lucaciu, I.; Stoica, C.; Nita-Lazar, M. Risk screening of pharmaceutical compounds in Romanian aquatic environment. Environ. Monit. Assess. 2016, 188, 379. [Google Scholar] [CrossRef]
- Maszkowska, J.; Stolte, S.; Kumirska, J.; Łukaszewicz, P.; Mioduszewska, K.; Puckowski, A.; Caban, M.; Wagil, M.; Stepnowski, P.; Białk-Bielińska, A. Beta-blockers in the environment: Part II. Ecotoxicity study. Sci. Total Environ. 2014, 493, 1122–1126. [Google Scholar] [CrossRef]
- Menz, J.; Toolaram, A.P.; Rastogi, T.; Leder, C.; Olsson, O.; Kümmerer, K.; Schneider, M. Transformation products in the water cycle and the unsolved problem of their proactive assessment: A combined in vitro/in silico approach. Environ. Int. 2017, 98, 171–180. [Google Scholar] [CrossRef]
- Paranhos, J.; De Vargas, R.; Camotti Bastos, M.; Al Badany, M.; Gonzalez, R.; Wolff, D.; Dos Santos, D.R.; Labanowski, J. Pharmaceutical compound removal efficiency by a small constructed wetland located in south Brazil. Environ. Sci. Pollut. Res. 2021, 28, 30955–30974. [Google Scholar] [CrossRef]
- Madikizela, L.M.; Ncube, S.; Chimuka, L. Analysis, occurrence and removal of pharmaceuticals in African water resources: A current status. J. Environ. Manag. 2020, 253, 109741. [Google Scholar] [CrossRef]
- Pandey, B.; Dubey, S.K. Delineating acetaminophen biodegradation kinetics and metabolomics using bacterial community. Biodegradation 2024, 35, 951–967. [Google Scholar] [CrossRef]
- Baginska, E.; Haiß, A.; Kümmerer, K. Biodegradation screening of chemicals in an artificial matrix simulating the water-sediment interface. Chemosphere 2015, 119, 1240–1246. [Google Scholar] [CrossRef]
- Gartiser, S.; Brunswik-Titze, A.; Flach, F.; Junker, T.; Sättler, D.; Jöhncke, U. Enhanced ready biodegradability screening tests for the evaluation of potential PBT substances. Sci. Total Environ. 2022, 833, 155134. [Google Scholar] [CrossRef]
- Wilde, M.L.; Mahmoud, W.M.M.; Kümmerer, K.; Martins, A.F. Oxidation-coagulation of β-blockers by K2FeVIO4 in hospital wastewater: Assessment of degradation products and biodegradability. Sci. Total Environ. 2013, 452–453, 137–147. [Google Scholar] [CrossRef]
Disclaimer/Publisher’s Note: The statements, opinions and data contained in all publications are solely those of the individual author(s) and contributor(s) and not of MDPI and/or the editor(s). MDPI and/or the editor(s) disclaim responsibility for any injury to people or property resulting from any ideas, methods, instructions or products referred to in the content. |
© 2025 by the authors. Licensee MDPI, Basel, Switzerland. This article is an open access article distributed under the terms and conditions of the Creative Commons Attribution (CC BY) license (https://creativecommons.org/licenses/by/4.0/).





