Abstract
Reclaimed land refers to artificially created soil formed by filling in seawater, leading to rapid ecological changes. Undeveloped reclaimed areas offer opportunities to explore previously unknown soil ecological resources. The Shihwa reclaimed land is an undeveloped area where microbiome-based studies of the microbial community have not yet been conducted. The soil from the Sihwa reclaimed land (SR, SL) showed higher pH (8.9), EC (7.5 dS/m), and Na+ content (13.4 cmol+/kg), but lower levels of organic matter and phosphorus compared to typical agricultural soils (NL, NS). These unfavorable conditions had a negative effect on lettuce growth, as both fresh and dry weights in the SL treatment (32.5 g and 0.39 g, respectively) were significantly lower than those in the NL treatment (40.4 g and 0.45 g). At the phylum level, Actinobacteria (51.6%) dominated the original reclaimed soil (SR), but after lettuce cultivation (SL), there was an increase in Cyanobacteria (25.3%) and Proteobacteria (29.4%). At the order level, Streptomycetales (35.2%) and Bacillales (13.5%) were predominant in SR, whereas in SL, Oscillatoriales (23.5%)—which have photosynthetic ability—as well as organic matter-degrading orders such as Rhodobacterales and Flavobacteriales, became dominant. For the eukaryotic community at the phylum level, Ascomycota was predominant in all samples; however, in NL, the relative proportions of Chlorophyta (22%) and Mucoromycota (8.9%) were higher, indicating increased diversity. At the order level, Eurotiales (28.5%), Hypocreales (20.2%), and Wallemiales (14.4%) were predominant in SR, but after lettuce cultivation, Wallemiales disappeared and Eurotiales increased to 40.0%. Additionally, Glomerellales and Sordariomycetes_o were detected only in SL and NL, suggesting that symbiotic fungal activity in the rhizosphere was promoted.
1. Introduction
Soil microbial communities play a critical role in soil fertility and crop growth, including nutrient cycling, decomposition of organic matter, and formation of soil structure. In particular, the physicochemical properties of soil and management practices significantly influence the composition and function of microbial communities [1]. The Shihwa reclaimed land has experienced eutrophication, water quality deterioration, and frequent algal blooms due to regulated water flow and the inflow of industrial and domestic wastewater. These environmental changes are expected to influence the structure and function of soil microbial communities within the reclaimed area; however, research on this topic remains limited [2].
Reclaimed land is artificially created by filling tidal flats or sea areas to secure space needed for agriculture or human activities. Such reclamation causes drastic environmental shifts, especially significant changes in biological communities before and after the reclamation process [3,4]. The unique environmental adversities, such as high salinity, nutrient deficiency, and structural instability, greatly impact the structure and function of microbial communities [5]. Additionally, the high concentrations of available salts and exchangeable sodium lower the natural fertility compared to normal soils, negatively affecting crop growth and ultimately reducing agricultural productivity [6].
The soil microbial ecosystem is highly sensitive to both soil organic matter content and salinity levels. The stability and accumulation potential of soil organic matter are not determined by physicochemical properties alone, but rather depend on the composition and metabolic characteristics of the microbial community. Therefore, these factors are closely linked to the diversity of the microbial community and its functional balance [7]. Salinity and soil pH act as major determinants of microbial community composition, with certain tolerant taxa (e.g., Actinobacteria, Proteobacteria) tending to dominate under high-salinity and high-pH conditions. In contrast, sensitive groups such as Acidobacteria decreased in relative abundance, and an overall reduction in microbial diversity was observed [8].
Pseudomonas and Rhizobium, both belonging to the phylum Proteobacteria, are well-known plant growth-promoting rhizobacteria (PGPR) that possess the ability to produce IAA, siderophores, and chitinase, thereby contributing to pathogen suppression and plant growth promotion [9]. Members of the order Streptomycetales, such as Streptomyces spp., also produce secondary metabolites including IAA, antifungal siderophores, and chitinase, which play key roles in disease suppression and enhancement of crop growth [10]. Bacillus subtilis and B. megaterium, belonging to the order Bacillales, are widely recognized as representative PGPR that support root development and pathogen inhibition through the production of IAA, siderophores, and chitinase [11]. It has been reported that moderate soil salinity levels can increase IAA production in Pseudomonas, while levels above a certain threshold suppress its synthesis. This suggests that salinity has a direct effect on the production of secondary metabolites [12]. For example In the rhizosphere of lettuce (Lactuca sativa), root-derived metabolites such as sugars, amino acids, and organic acids are released, which have been reported to significantly influence the composition and diversity of various bacterial communities, including members of Pseudomonadaceae, Firmicutes, and Actinobacteria [13,14].
Lettuce is a crop with a rapid growth cycle, allowing for harvest within 3–4 weeks after transplantation, and it responds sensitively to environmental stresses such as soil salinity, making it a useful indicator for changes in soil physicochemical properties [15,16]. In addition, lettuce exhibits active interactions with the rhizosphere microbial community through a variety of root-derived metabolites, making it an appropriate model crop for investigating shifts in microbial community structure under different soil environments [17]. While previous studies have examined the impact of crop cultivation on rhizosphere microbial communities in various agricultural soils, research focused on reclaimed soils such as those in Shihwa is extremely limited. In particular, our understanding of the structural changes in microbial communities resulting from short-term lettuce cultivation in reclaimed soils remains insufficient.
In this study, we comparatively analyzed the effects of lettuce cultivation on the structure of rhizosphere microbial communities and plant growth in two contrasting soil environments: reclaimed land and conventional agricultural soil. Lettuce was cultivated in soils from both the Shihwa reclaimed land and typical agricultural fields, and changes in the composition and diversity of microbial communities before and after cultivation were evaluated using 16S rRNA-based microbiome analysis. Furthermore, we focused on shifts in microbial community structure in each soil type before and after lettuce cultivation, and additionally assessed how these microbial changes affected plant growth. Through this approach, we aimed to provide a scientific basis for establishing microbe-based soil management strategies in reclaimed land environments.
2. Materials and Methods
2.1. Sampling Area
The Sihwa reclaimed land (Figure 1b), located in Ansan City and Songsan-myeon and Seosin-myeon of Hwaseong County in Gyeonggi Province, Korea (N 37°25′92; E 126°65′37), is a reclamation area developed from 1998 to 2012, covering a total of 4396 ha (3636 ha of terrestrial land and 760 ha of freshwater lake). The soil texture mainly consists of silt loam/silty clay loam (topsoil/subsoil) [18]. Understanding the dynamic changes in microbial communities is essential for enhancing agricultural productivity in this region.
Figure 1.
Sampling area. ★ Red stars indicate the soil sampling points.
The control soil (Figure 1a) was selected from the experimental farm of Kongju National University (N 36°66′77; E 126°86′15), which exhibits the characteristics of typical agricultural soil and has a history of lettuce cultivation. The sampling area was chosen based on the absence of salinity stress prior to sampling, surface debris such as leaves and weeds was removed, and topsoil from the cultivated layer (0–15 cm) was collected using a soil auger.
A total of 9 samples were collected from a 0.114 ha plot of the experimental farm, while for the Shihwa reclaimed land, sampling was conducted in a 1.62 ha area authorized for research purposes, where a total of 14 samples were collected, each weighing 20 kg. all soil samples were collected on 13 September 2019.
2.2. Analysis of Soil Samples
The collected soil samples were air-dried, finely ground using a rubber mallet, and passed through a 2 mm sieve to prepare analytical samples. The chemical properties of the soil were analyzed in accordance with the Soil and Plant Analysis Methods of the Rural Development Administration [19] (NIAST, 2000). Soil texture classification was performed using the method of the U.S. Department of Agriculture (USDA). Soil pH and electrical conductivity (EC) were measured using the 1:5 soil-to-water ratio method; pH was measured with a pH meter (Thermo Scientific Orion) (Thermo Scientific Orion A111, Thermo Fisher Scientific, Waltham, MA, USA), and EC was measured with an EC meter (cm-30G, TOA-DKK, Tokyo, Japan). EC values were adjusted to a standard temperature of 25 °C and used to compare salinity levels. At the time of measurement, the soil temperature was 24 °C, and the corrected EC values were calculated using the following formula.
α is the temperature correction coefficient, and T is the soil temperature.
Total nitrogen (T-N) was determined using the Kjeldahl method [20], while soil organic matter content was analyzed using the Tyrin’s method [21]. Available phosphorus (Av. P2O5) was measured using the Lancaster method [22]. Exchangeable cations, available silicon (Av. SiO2), and exchangeable aluminum (Al) were extracted with ammonium acetate solution and quantified using an inductively coupled plasma optical emission spectrometer (ICP-OES, OPTIMA 2000 DV, PerkinElmer, Waltham, MA, USA) [23].
2.3. Lettuce Used in the Experiment, Cultivation Conditions, and Growth Investigation Method
To investigate changes in microbial community composition before and after crop cultivation, four experimental groups were established: Sihwa reclaimed soil (SR), Siwha reclaimed soil after lettuce cultivation (SL), general agricultural soil (NS), and agricultural soil after lettuce cultivation (NL). The test crop used was Cheongchima lettuce (Asia Seed Co., Ltd., Seoul, Republic of Korea). Collected soil samples were planted with one seedling per 2 L Wagner pot, and the experimental plots were arranged in a completely randomized design with three replicates per treatment. Irrigation was carried out once a day at the same time, and no additional salinity treatment, fertilizer application, or humidity control was performed. The experiment was conducted under natural light conditions. On 14 September 2019, Cheongchima lettuce seedlings were transplanted, and cultivation was carried out for 20 days in a controlled environment facility maintained at 25 °C. Lettuce growth was evaluated according to the Rural Development Administration [24] (RDA, 2012) guidelines, including measurements of plant height, number of leaves, fresh weight, and dry weight.
2.4. Soil DNA Extration and Next Generation Sequencing
DNA was extracted from soil samples collected before and after lettuce cultivation in each treatment group using the FastDNA® Spin Kit for Soil (MP Biomedicals, Solon, OH, USA), following the manufacturer’s protocol. The concentration and purity of the extracted DNA were measured using an Epoch Microplate Spectrophotometer (BioTek, Winooski, VT, USA). For bacterial community analysis, primers targeting the V3–V4 region of the 16S rRNA gene were used, while the ITS2 region was amplified for fungal community analysis via PCR. Sequencing was outsourced to ChunLab (Seoul, Republic of Korea) and performed using the Illumina MiSeq platform (Illumina, San Diego, CA, USA) with the MiSeq Reagent Kit v2 (Illumina, San Diego, CA, USA, 500-cycle). The obtained raw sequencing data were analyzed using the EzBioCloud 16S rRNA database. Taxonomic identification was conducted based on the EzBioCloud database, where sequences with ≥97% similarity were identified at the species level. Operational Taxonomic Units (OTUs) were clustered at a 97% sequence similarity threshold using the open-reference UCLUST algorithm (CL_OPEN_REF_UCLUST_MC2) in the CLcommunity program (ChunLab, Republic of Korea). To minimize bias from differences in sequencing depth, all samples were rarefied to the minimum read count. Diversity indices (Chao1, Shannon, Simpson) were calculated based on the rarefied OTU table. The results showed that Good’s coverage exceeded 97% in all samples, confirming the reliability of the diversity analyses due to sufficient sequencing depth. Prokaryotic and eukaryotic community compositions were visualized using the EzBioCloud Double Pie Chart.
Additionally, for taxonomic levels without official scientific names, suffixes were applied to indicate rank. For example, “Proteobacteria_p” denotes phylum (p), while subsequent ranks were labeled as c (class), o (order), f (family), g (genus), and s (species).
2.5. Statistical Analysis
After measuring lettuce growth parameters, statistical analysis was performed using SAS (ver. 8.0). Analysis of variance (ANOVA) was conducted at a 5% significance level to verify statistical differences. Based on the obtained OTUs, both within-sample diversity (alpha diversity) and between-sample diversity (beta diversity) were assessed. For alpha diversity analysis, Chao1, Shannon, and Simpson indices were calculated.
Sobs is the observed species;
F1 is a singleton;
F2 is a doubleton.
H’ is the Shannon diversity index;
S is the total number of species;
Pi is the proportion of individuals belonging to species I.
D is the Simpson diversity index;
S is the total number of species;
Pi is the proportion of individuals belonging to species I.
For analyzing the diversity between samples, beta diversity analysis was conducted using the Bray–Curtis dissimilarity measure, and the results were visualized through Principal Coordinate Analysis (PCoA).
3. Results
3.1. Physicochemical Characteristics of Sihwa Reclaimed Soil
The physicochemical properties of Sihwa reclaimed land soils (SR, SL) and general agricultural soils (NS, NL) are summarized in Table 1. The Sihwa reclaimed soils (SR, SL) and general agricultural soils (NS, NL) exhibited marked differences in several aspects. The reclaimed soils showed strong alkalinity, high salinity and sodium content, and a sand-dominated particle distribution, resulting in low water and nutrient retention, as well as very low levels of organic matter, available phosphorus, and total nitrogen. In contrast, the general agricultural soils had higher proportions of silt and clay, lower salinity and sodium, and were richer in organic matter, phosphorus, and nitrogen, providing a more favorable environment for crop growth and microbial activity.
Table 1.
Chemical properties of soil in Sihwa reclaimed soil and general agriculture soil.
After lettuce cultivation, the reclaimed soils showed slight improvements in certain physicochemical properties, such as decreases in pH, exchangeable sodium, and magnesium. In the general agricultural soils, there were minor decreases in organic matter and phosphorus, but other parameters remained largely unchanged.
3.2. Lettuce Growth Results
The growth performance of lettuce cultivated in Sihwa reclaimed land soils and general agricultural soils is summarized in Table 2. All growth indicators were significantly higher in the NL treatment compared to the SL treatment, showing statistically significant differences in leaf length, stem diameter, number of leaves, leaf area, fresh weight, and dry weight (p < 0.05).
Table 2.
Growth characteristics of lettuce.
In the case of reclaimed soil, the combined effects of high salinity (EC), low organic matter and nutrient content, and strong alkalinity (pH) are considered to have inhibited lettuce growth. Conversely, the general agricultural soil, with its superior water and nutrient retention capacities and stable pH, effectively supported lettuce growth.
These results quantitatively demonstrate the influence of soil physicochemical properties on lettuce growth and further imply potential changes in soil microbial community structures.
3.3. Changes in Microbial Communities Before and After Lettuce Cultivation
3.3.1. Discovered OTUs
Bacterial and Eukaryotes OTU
The number of observed OTUs in each soil sample was as follows: for the bacteria group, SR had 86,228, NL had 78,120, SL had 71,326, and NS had 34,160 OTUs (Figure 2), with SR showing the highest OTU count. In the eukaryote group, OTU counts were 78,691 in NL, 62,388 in SR, 54,237 in SL, and 23,227 in NS (Figure 3), showing a reversed pattern compared to the bacteria group, with NL exhibiting the highest number of OTUs. Rarefaction curves indicated that general agricultural soil samples (NS, NL) exhibited higher species diversity in both bacterial and eukaryotic communities compared to the reclaimed soil samples (SR, SL). In particular, NL showed the highest number of OTUs for both bacterial and eukaryotic communities, and the rarefaction curves approaching saturation suggested that sequencing depth was sufficient. In contrast, SR and SL did not reach saturation in their curves, indicating the potential to identify additional species with further sequencing. These results suggest that the high salinity of reclaimed soils inhibits microbial community diversity and simplifies community composition.
Figure 2.
OTUs of observed bacterial community. The order of the discovered OTUs was SR > NL > SL > NS, which was found the most in SR (SR: Sihwa reclaimed soil; SL: Sihwa reclaimed soil grown after lettuce; NS: general agriculture soil; NL: general agriculture soil grown after lettuce).
Figure 3.
OTUs of observed Eukarya community. The order of the found OTUs was NL > SR > SL > NS, which was found the most in NL (SR: Sihwa reclaimed soil; SL: Shihwa reclaimed soil grown after lettuce; NS: general agriculture soil; NL: general agriculture soil grown after lettuce).
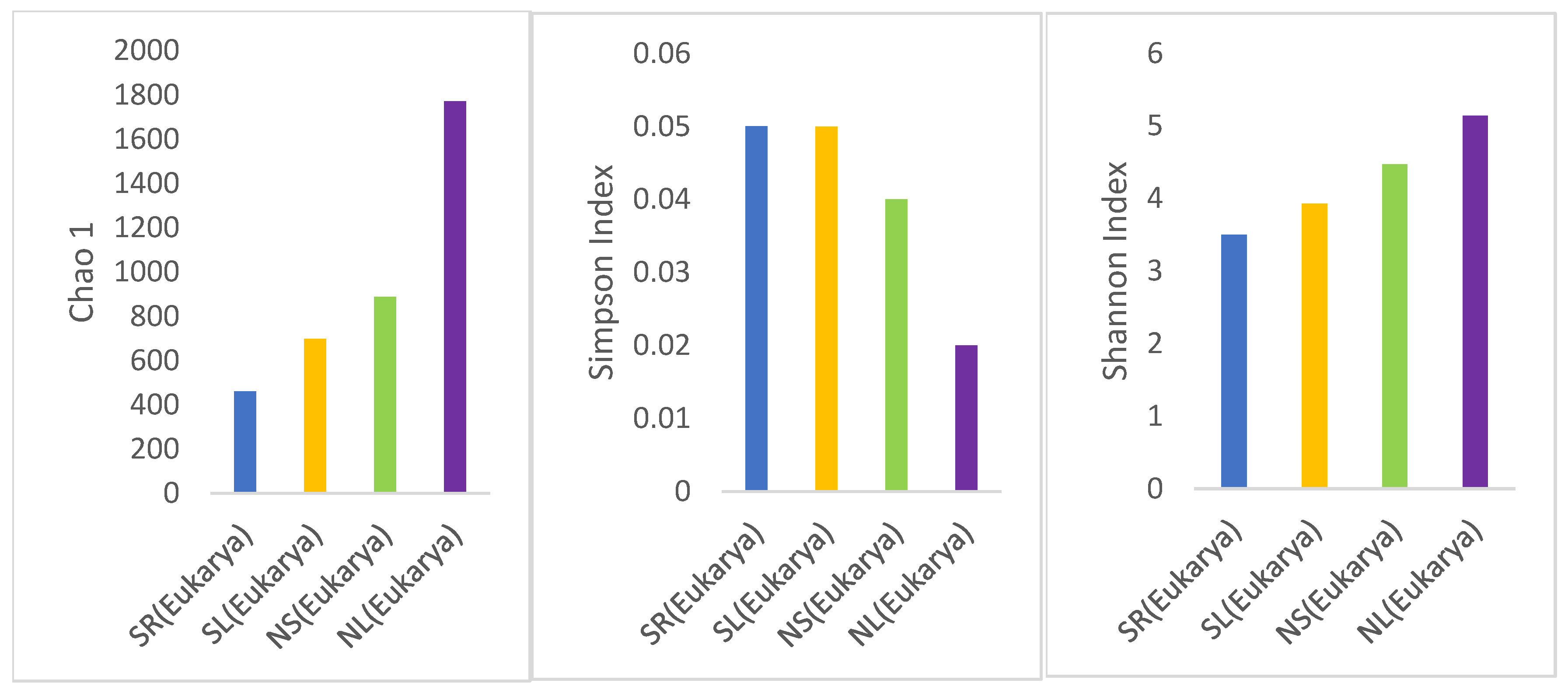
Alpha Diversity Analysis
Based on the identified OTUs, alpha diversity analysis was conducted to assess species richness in each soil sample. The bacterial and eukaryotic community data, calculated using the Chao1, Shannon, and Simpson indices, are presented in Figure 4 and Figure 5. The results of the alpha diversity analysis showed that general agricultural soil samples (NS, NL) exhibited higher species richness and diversity for both bacterial and eukaryotic communities. In particular, the bacterial community of NL had the highest Chao1 and Shannon indices, while SR showed the highest Simpson index, suggesting the dominance of specific species in the reclaimed soil. For the eukaryotic community, NL again recorded the highest Chao1 and Shannon indices, indicating a more balanced fungal community structure compared to reclaimed soils. Conversely, SR exhibited the lowest diversity and evenness in the fungal community, which may be attributed to the high salinity levels of the soil.
Figure 4.
Alpha diversity of bacteria community.
Figure 5.
Alpha diversity of Eukarya community.
Beta Diversity Analysis
The results of the beta diversity analysis showed a clear separation between the microbial communities of Sihwa reclaimed soils (SR, SL) and general agricultural soils (NS, NL) for both bacterial and eukaryotic groups (Figure 6 and Figure 7). In the PCoA analysis based on Bray–Curtis dissimilarity, the bacterial communities displayed 37.3% and 25.9% of the variance explained by PC1 and PC2, respectively, indicating a distinct difference in community structures between the two soil types.
Figure 6.
Beta diversity of bacterial community (SR: Sihwa reclaimed soil; SL: Shihwa reclaimed soil grown after lettuce; NS: general agriculture soil; NL: general agriculture soil grown after lettuce).
Figure 7.
Beta diversity of Eukarya community (SR: Sihwa reclaimed soil; SL: Shihwa reclaimed soil grown after lettuce; NS: general agriculture soil; NL: general agriculture soil grown after lettuce).
Similarly, for the eukaryotic communities, PC1 and PC2 accounted for 47.4% and 27.6% of the variance, respectively. Notably, SR and SL samples were distributed in the positive direction, while NS and NL samples were located in the negative direction of the coordinate space. Although lettuce cultivation may have influenced these patterns, the primary factor driving the separation was interpreted to be the inherent physicochemical characteristics of the soils.
3.3.2. Analysis of Bacteria Community and Eukaryotes Community at the Phylum Level
Phylum level analysis of the bacterial community revealed distinct changes in composition before and after lettuce cultivation (Figure 8). In the reclaimed soil, Actinobacteria dominated SR with a relative abundance of 51.62%. However, after lettuce cultivation, SL showed a significant increase in Cyanobacteria and Proteobacteria, accounting for 25.29% and 29.41%, respectively. This indicates that lettuce cultivation promoted the growth of Cyanobacteria, known for their photosynthetic capabilities, and bacteria involved in organic matter decomposition, suggesting a restructuring of the microbial community in reclaimed soil.
Figure 8.
Double pie chart of phylum level of bacteria community (a): SR (Sihwa reclaimed soil), (b): SL (Sihwa reclaimed soil grown after lettuce), (c): NS (general agriculture soil), (d): NL (general agriculture soil grown after lettuce).
In the general agricultural soil, Proteobacteria (37%) and Actinobacteria (26%) were dominant in NS, while in NL, Proteobacteria (34%), Actinobacteria (15%), and Acidobacteria (13%) were identified as the major phyla. Unlike SR, no single phylum overwhelmingly dominated the community. Particularly in NL, a noticeable balance was observed between Actinobacteria and Cyanobacteria. These shifts are interpreted as the result of root exudates from lettuce and microenvironmental changes in the soil influencing the bacterial community structure.
In the eukaryotic community, distinct structural changes were also observed following lettuce cultivation (Figure 9). In the reclaimed soils (SR and SL), Ascomycota was the dominant phylum, followed by Basidiomycota. Specifically, the relative abundance of Ascomycota increased from 69.80% in SR to 72.96% in SL after lettuce cultivation, while Basidiomycota decreased from 15% in SR to 9% in SL. In the general agricultural soil, Ascomycota (55%) and Chytridiomycota (21%) were dominant in NS. In NL, Ascomycota (43%) remained dominant, but Chlorophyta (22%) also showed a significant presence. Comparing NS and NL, Ascomycota decreased by 12%, while Chlorophyta increased from 2.60% to 14.33%, and Mucoromycota rose from 4.78% to 8.91%. These changes indicate that lettuce cultivation contributed to a more complex and diverse community structure, diversifying the previously balanced microbial community composition.
Figure 9.
Double pie chart of phylum level of Eukarya community. (a): SR (Sihwa reclaimed soil), (b): SL (Sihwa reclaimed soil grown after lettuce), (c): NS (general agriculture soil), (d): NL (general agriculture soil grown after lettuce).
At the phylum level, analysis of both bacterial and eukaryotic communities showed that lettuce cultivation acted as a driving factor in altering microbial community structures in both reclaimed and general agricultural soils. Notably, in reclaimed soils, the microbial community shifted from a structure previously dominated by specific groups to a more biologically active and diversified composition.
3.3.3. Analysis of Bacteria Community and Eukaryotes Community at Order Level
Through order-level community analysis (Figure 10 and Figure 11), more detailed changes in microbial communities were observed according to soil characteristics and lettuce cultivation. In the bacterial community of the reclaimed soil (SR), Streptomycetales dominated with a relative abundance of 35.17%, reflecting the adaptation of microbial groups to extreme environments with high salinity and low organic matter. Bacillales followed at 13.53%. In contrast, Streptomycetales were not detected in SL after lettuce cultivation. Instead, Oscillatoriales emerged as the dominant group, accounting for 23.47%, indicating a significant shift in community structure. Bacillales, which was the second most dominant group in SR, drastically decreased to 2.7% in SL. The increase in Oscillatoriales, Rhodobacterales, and Flavobacteriales groups known for their efficient resource utilization likely reduced the ecological niche for spore forming bacteria such as Bacillales. This microbial community shift is interpreted as a result of increased soil moisture, the supply of root exudates, and temperature changes induced by lettuce cultivation, which facilitated the establishment of fast growing microbial groups.
Figure 10.
Bar chart of order level of bacteria community (SR: Sihwa reclaimed soil; SL: Shihwa reclaimed soil grown after lettuce; NS: general agriculture soil; NL: general agriculture soil grown after lettuce).
Figure 11.
Bar chart of order level of Eukarya community (SR: Sihwa reclaimed soil; SL: Shihwa reclaimed soil grown after lettuce; NS: general agriculture soil; NL: general agriculture soil grown after lettuce).
In the eukaryotic community, Eurotiales dominated SR with a relative abundance of 28.50%, followed by Hypocreales at 20.20% and Wallemiales at 14.37%. Wallemiales, known for its ability to survive in high salinity and low moisture conditions, was not detected in other samples after lettuce cultivation, as its habitat conditions disappeared. Similarly, Hypocreales, which had dominated under conditions of low organic matter and minimal competition, decreased in abundance due to an increase in symbiotic fungi driven by the supply of root exudates and elevated soil moisture after lettuce cultivation. In contrast, Eurotiales further increased after lettuce cultivation, accounting for 40.03% in SL, maintaining its dominance due to its rapid proliferation and decomposition capacity. Interestingly, Glomerellales and Sordariomycetes_o were detected only in NL and SL, suggesting their association with rhizosphere related fungi that thrive through interactions with plant roots. Furthermore, Chlorophyta_o, a group of photosynthetic microorganisms, was absent in SR but showed gradual increases in SL (1.21%), NS (2.47%), and NL (14.32%). The sharp increase observed in NL is presumed to result from multiple factors, including improved soil structure, enhanced light penetration, and increased moisture availability induced by lettuce cultivation.
These results indicate that the emergence of photosynthetic eukaryotes enhances the complexity and functional diversity of the soil ecosystem. Consequently, lettuce cultivation has been shown to drive the reorganization of eukaryotic community structures in soil.
4. Discussion
Soil texture is crucial in lettuce cultivation as it determines the soil’s water retention and nutrient-holding capacities [25]. In this study, SR and SL, representing reclaimed soils, consisted of over 94% sand, failing to form soil aggregates. In reclaimed sandy soils, salt accumulation and soil structure collapse can occur readily. In particular, when exchangeable sodium and leachable salts accumulate excessively, hydrolysis of sodium and cations during processes such as irrigation or rainfall can lead to an increase in pH, as well as soil particle dispersion and swelling, resulting in the easy destruction of soil aggregates [26,27].
In this study, the EC of SL soil was 7.54 dS/m, which greatly exceeded the optimal range for lettuce growth (1.2–4.8 dS/m) [28], whereas the EC of NL soil was 1.9 dS/m, within the appropriate range. It has been reported that when the EC exceeds 6 dS/m, the yield of leafy vegetables such as lettuce may be reduced by more than 50% [28,29]. Consistent with these findings, the fresh weight of lettuce in SL was reduced by about 48% compared to NL, clearly demonstrating the negative impact of high salinity.
Soil pH also greatly affects nutrient availability and nitrogen cycling [30]. In this study, after lettuce cultivation, the pH of SL decreased from 8.4 to 7.7, and that of NL decreased from 7.2 to 6.5. While NL maintained the optimal pH range (5.0–7.0) after lettuce cultivation, providing favorable growth conditions, SL still exceeded the upper limit (7.0), negatively affecting lettuce growth and nutrient uptake. These pH changes are attributed to the accumulation of root-derived organic acids, CO2, various exudates, and respiratory products in the rhizosphere, which promote acidification. In fact, there are reports that plant roots can significantly alter the pH at the soil–rhizosphere interface depending on plant species and nitrogen sources [31]. It has also been suggested that various exudates released by roots and mycorrhizae, including organic compounds and CO2, contribute to the reduction in rhizosphere pH [32]. Therefore, environmental changes in the rhizosphere resulting from crop cultivation play an important role in the decrease in soil pH.
Lettuce is known to be moderately salt-tolerant, but when EC and pH deviate from the optimal range, its growth and yield can decrease sharply [33]. The results of this study confirm previous findings that lettuce growth is severely reduced under conditions of high EC and pH, as observed in SL.
Soil microbial community diversity is closely related to plant diversity and rhizosphere activity [34,35]. In the alpha diversity analysis, SL exhibited a 28% increase in bacterial OTUs and a 34% increase in eukaryotic OTUs compared to SR. Similarly, NL showed a 15% increase in bacterial OTUs and a 17% increase in eukaryotic OTUs compared to NS. These changes are consistent with previous studies [35,36], suggesting that rhizosphere activation and increased root exudates due to lettuce cultivation contribute to increased microbial diversity.
In reclaimed soils, Actinobacteria were dominant before lettuce cultivation, but after cultivation, the proportion of Cyanobacteria increased from 4.2% to 16.7%, and Proteobacteria increased from 9.8% to 22.3%. Cyanobacteria are known to form unique aggregates and biofilms in arid and barren soils, playing an important role in the initial establishment of microbial communities and soil stabilization [37]. Proteobacteria are recognized as a major microbial group responsible for key ecosystem functions such as nitrogen cycling in various soil environments [38]. Such shifts and activations in the community structure contribute to the enhancement of microbial diversity and functionality even under harsh environmental conditions.
In general agricultural soils, Proteobacteria, Actinobacteria, and Acidobacteria remained balanced before and after cultivation, which is consistent with the stable soil microbial structures reported in previous studies [39]. For the eukaryotic community, Ascomycota was dominant in the reclaimed soils, which is consistent with findings from global studies on soil fungal distribution [40]. After lettuce cultivation, the proportion of Glomerellales increased from 2.3% to 10.9%; Glomerellales are known to contribute to nutrient uptake and pathogen suppression in the rhizosphere [41].
At the order level, Streptomycetales dominated in SR at 19.2%, while the proportion of Oscillatoriales (a group of Cyanobacteria) increased to 12.7% in SL. Given that Oscillatoriales and other Cyanobacteria play important roles in the establishment of microbial communities and nitrogen fixation in arid and degraded soils, it is considered that their increased abundance in the Sihwa reclaimed land soil may be due to the relatively low levels of total nitrogen (T-N) and organic matter [42]. Streptomycetales are known as a major group that contributes to various metabolic activities, pathogen suppression, and nitrogen fixation in soils [43], and Rhodobacterales have also been reported to be involved in organic matter decomposition and nitrogen cycling [44]. These structural and functional changes in the microbial community suggest that lettuce cultivation contributes to the recovery and functional enhancement of the soil ecosystem.
Within the Eukarya community, salt-tolerant fungal groups (such as Aspergillus and Penicillium, most of which belong to Eurotiales) tended to dominate the highly saline SR soils, a trend that has been reported in various studies [45]. This increased abundance is likely due to the high salinity of the reclaimed land soil, which provides a relatively favorable environment for their survival. After lettuce cultivation, the proportion of Glomerellales fungi interacting with the rhizosphere increased; these fungi play important roles in promoting plant nutrient uptake and suppressing pathogens [46]. In addition, in general agricultural soils, the proportion of photosynthetic eukaryotes such as Chlorophyta (green algae) increased after lettuce cultivation, which contributed to soil structure stabilization and the enhancement of functional diversity in the microbial community [47].
This study is based on the results from the first year of the research project, and thus has limitations in terms of sample size and observation period. In particular, microbial community changes in reclaimed soils may vary greatly depending on long-term environmental factors, season, and annual soil management. Since microbial community analysis was conducted only at two time points—before planting and after harvest—there is a limitation in that the succession process of microbial communities during the cultivation period was not directly observed. Therefore, future studies should more thoroughly analyze the dynamic patterns of community changes and the long-term effects on soil ecosystem recovery through sampling at various times and repeated observations. Furthermore, while this study focused only on lettuce as a single crop, additional comparative studies using various crops and soil management methods should be conducted.
5. Conclusions
In this study, we comprehensively analyzed changes in the physicochemical properties of soil as well as structural and functional shifts in the microbial community during lettuce cultivation in both reclaimed and conventional agricultural soils. In the reclaimed soil (SL), lettuce growth was significantly suppressed due to high EC and pH, confirming the negative impact of salinity and pH stress on crop development. In contrast, lettuce grew well in the conventional agricultural soil (NL), where the physicochemical conditions were relatively stable.
Microbial community analysis revealed that, in the reclaimed soil, salt- and stress-adapted microorganisms such as Cyanobacteria, Streptomycetales, and Eurotiales were predominant. After lettuce cultivation, the proportion of functional microbes such as Oscillatoriales and Glomerellales increased, contributing to soil recovery and enhanced ecosystem function. Notably, changes in the rhizosphere environment and the influence of root exudates diversified the structure and function of the microbial community, enhancing core ecosystem processes such as nitrogen fixation and organic matter decomposition.
These results suggest that, even in poor soils such as reclaimed land, improvement of the soil environment and increased productivity can be achieved through crop cultivation and microbial community management (e.g., organic matter amendment and rhizosphere activation). Future studies should focus on investigating microbe–soil–plant interactions and developing soil restoration strategies under various crops and long-term cultivation regimes.
Author Contributions
Conceptualization, Y.J.P. and M.-J.J.; methodology, D.-R.Y. and T.S.O.; writing—review and editing, T.S.O., M.-J.J. and Y.J.P.; visualization, D.-R.Y.; supervision, M.-J.J. and Y.J.P.; Y.J.P. and M.-J.J. are co-corresponding authors. All authors have read and agreed to the published version of the manuscript.
Funding
This study was supported by the National Research Foundation of Korea in 2023 (Grant Number: RS-2023-0025145430782064780002) as part of the project titled “Identification of disease occurrence mechanism of bottle-grown mushrooms.
Data Availability Statement
Data is contained within the article: The original contributions presented in this study are included in the article. Further inquiries can be directed to the corresponding author(s).
Acknowledgments
During the preparation of this manuscript, the author(s) used ChatGPT 4o for the purposes of only lexical correction.
Conflicts of Interest
The authors declare no conflicts of interest.
Correction Statement
This article has been republished with a minor correction to the Data Availability Statement. This change does not affect the scientific content of the article.
References
- Schreiter, S.; Ding, G.C.; Heuer, H.; Neumann, G.; Sandmann, M.; Grosch, R.; Kropf, S.; Smalla, K. Effect of the soil type on the microbiome in the rhizosphere of field-grown lettuce. Front. Microbiol. 2014, 5, 144. [Google Scholar] [CrossRef]
- Lee, C.H.; Lee, B.Y.; Chang, W.K.; Hong, S.; Song, S.J.; Park, J.; Kwon, B.O.; Khim, J.S. Environmental and ecological effects of Lake Shihwa reclamation project in South Korea: A review. Ocean. Coast. Manag. 2014, 102, 545–558. [Google Scholar] [CrossRef]
- Choi, Y.R. Modernization, development and underdevelopment: Reclamation of Korean tidal flats, 1950s–2000s. Ocean. Coast. Manag. 2014, 102, 426–436. [Google Scholar] [CrossRef]
- Chen, Y.; Li, G.; Cui, L.; Li, L.; He, L.; Ma, P. The effects of tidal flat reclamation on the stability of the coastal area in the Jiangsu Province, China, from the perspective of landscape structure. Land 2022, 11, 421. [Google Scholar] [CrossRef]
- Li, Y.; Li, W.; Jiang, L.; Li, E.; Yang, X.; Yang, J. Salinity affects microbial function genes related to nutrient cycling in arid regions. Front. Microbiol. 2024, 15, 1407760. [Google Scholar] [CrossRef]
- Lee, S.H.; Yoo, S.H.; Seol, S.I.; An, Y.; Jung, Y.S.; Lee, S.M. Assessment of salt damage for upland-crops in Dae-Ho reclaimed soil. Korean J. Environ. Agric. 2000, 19, 358–363. [Google Scholar]
- Lehmann, J.; Kleber, M. The contentious nature of soil organic matter. Nature 2015, 528, 60–68. [Google Scholar] [CrossRef]
- O’Brien, F.J.; Almaraz, M.; Foster, M.A.; Hill, A.F.; Huber, D.P.; King, E.K.; Langford, H.; Lowe, M.A.; Mickan, B.S.; Miller, V.S.; et al. Soil salinity and pH drive soil bacterial community composition and diversity along a lateritic slope in the Avon River critical zone observatory, Western Australia. Front. Microbiol. 2019, 10, 1486. [Google Scholar] [CrossRef]
- Shi, P.; Zhang, J.; Li, X.; Zhou, L.; Luo, H.; Wang, L.; Zhang, Y.; Chou, M.; Wei, G. Multiple metabolic phenotypes as screening criteria are correlated with the plant growth-promoting ability of rhizobacterial isolates. Front. Microbiol. 2022, 12, 747982. [Google Scholar] [CrossRef]
- Nazari, M.T.; Schommer, V.A.; Braun, J.C.A.; dos Santos, L.F.; Lopes, S.T.; Simon, V.; Machado, B.S.; Ferrari, V.; Colla, L.M.; Piccin, J.S. Using Streptomyces spp. as plant growth promoters and biocontrol agents. Rhizosphere 2023, 27, 100741. [Google Scholar] [CrossRef]
- Cherif-Silini, H.; Silini, A.; Yahiaoui, B.; Ouzari, I.; Boudabous, A. Phylogenetic and plant-growth-promoting characteristics of Bacillus isolated from the wheat rhizosphere. Ann. Microbiol. 2016, 66, 1087–1097. [Google Scholar] [CrossRef]
- Saleem, S.; Iqbal, A.; Ahmed, F.; Ahmad, M. Phytobeneficial and salt stress mitigating efficacy of IAA producing salt tolerant strains in Gossypium hirsutum. Saudi J. Biol. Sci. 2021, 28, 5317–5324. [Google Scholar] [CrossRef]
- Windisch, S.; Sommermann, L.; Babin, D.; Chowdhury, S.P.; Grosch, R.; Moradtalab, N.; Walker, F.; Höglinger, B.; El-Hasan, A.; Armbruster, W.; et al. Impact of long-term organic and mineral fertilization on rhizosphere metabolites, root–microbial interactions and plant health of lettuce. Front. Microbiol. 2021, 11, 597745. [Google Scholar] [CrossRef]
- Neumann, G.; Bott, S.; Ohler, M.A.; Mock, H.P.; Lippmann, R.; Grosch, R.; Smalla, K. Root exudation and root development of lettuce (Lactuca sativa L. cv. Tizian) as affected by different soils. Front. Microbiol. 2014, 5, 2. [Google Scholar] [CrossRef]
- Zhong, J.; Shi, Z.; Zheng, R.; Xiang, H.; Zhang, J. Mitigating acid rain stress on lettuce growth and quality without the root exposure to acid rain. Food Biosci. 2024, 62, 105161. [Google Scholar] [CrossRef]
- Adhikari, N.D.; Simko, I.; Mou, B. Phenomic and physiological analysis of salinity effects on lettuce. Sensors 2019, 19, 4814. [Google Scholar] [CrossRef]
- Hartmann, A.; Schmid, M.; Tuinen, D.V.; Berg, G. Plant-driven selection of microbes. Plant Soil 2009, 321, 235–257. [Google Scholar] [CrossRef]
- National Institute of Crop Science (NICS). Agricultural Status and Soil Explanation of Korean Reclaimed Land; National Institute of Crop Science: Wanju-gun, Republic of Korea, 2009. [Google Scholar]
- Rural Development Administration (RDA). Soil and Plant Analysis Methods; National Institute of Agricultural Science and Technology (NIAST): Suwon, Republic of Korea, 2000. [Google Scholar]
- Bremner, J.M. Determination of nitrogen in soil by the Kjeldahl method. J. Agric. Sci. 1960, 55, 11–33. [Google Scholar] [CrossRef]
- Kononova, M.M. Soil Organic Matter: Its Nature, Its Role in Soil Formation and in Soil Fertility; Elsevier: Amsterdam, The Netherlands, 2013. [Google Scholar]
- NAAS. Methods of Soil Chemical Analysis; National Institute of Agricultural Sciences, RDA: Suwon, Republic of Korea, 2010. [Google Scholar]
- Brenner, I. Inductively coupled plasma-atomic emission spectrometry—An atlas of spectral information. Chem. Geol. 1987, 63, 356–357. [Google Scholar] [CrossRef]
- Rural Development Administration (RDA). Manual for Standard Evaluation Method in Agricultural Experiment and Research; RDA: Suwon, Republic of Korea, 2012. [Google Scholar]
- Brady, N.C.; Weil, R.R. Elements of the Nature and Properties of Soils, 4th ed.; Pearson: New York, NY, USA, 2016. [Google Scholar]
- Qadir, M.; Quillérou, E.; Nangia, V.; Murtaza, G.; Singh, M.; Thomas, R.J.; Drechsel, P.; Noble, A.D. Economics of salt-induced land degradation and restoration. Nat. Resour. Forum 2014, 38, 282–295. [Google Scholar] [CrossRef]
- Rengasamy, P. Soil processes affecting crop production in salt-affected soils. Funct. Plant Biol. 2010, 37, 613–620. [Google Scholar] [CrossRef]
- Shannon, M.C.; Grieve, C.M. Tolerance of vegetable crops to salinity. Sci. Hortic. 1998, 78, 5–38. [Google Scholar] [CrossRef]
- Colla, G.; Roupahel, Y.; Cardarelli, M.; Rea, E. Effect of salinity on yield, fruit quality, leaf gas exchange, and mineral composition of grafted watermelon plants. HortScience 2006, 41, 622. [Google Scholar] [CrossRef]
- Kirkby, E.A. Principles of Plant Nutrition; Springer Science & Business Media: Berlin/Heidelberg, Germany, 2001; Volume 1. [Google Scholar]
- Marschner, H.; Römheld, V. In vivo measurement of root-induced pH changes at the soil-root interface: Effect of plant species and nitrogen source. Z. Für Pflanzenphysiol. 1983, 111, 241–251. [Google Scholar] [CrossRef]
- Jones, D.L.; Hodge, A.; Kuzyakov, Y. Plant and mycorrhizal regulation of rhizodeposition. New Phytol. 2004, 163, 459–480. [Google Scholar] [CrossRef]
- Colla, G.; Rouphael, Y.; Cardarelli, M. Vegetable Crops: Improvement of tolerance to adverse chemical soil conditions by grafting. In Improving Crop Resistance to Abiotic Stress; Wiley: Hoboken, NJ, USA, 2012; pp. 979–994. [Google Scholar]
- Philippot, L.; Raaijmakers, J.M.; Lemanceau, P.; Van Der Putten, W.H. Going back to the roots: The microbial ecology of the rhizosphere. Nat. Rev. Microbiol. 2013, 11, 789–799. [Google Scholar] [CrossRef]
- Shi, S.; Nuccio, E.E.; Shi, Z.J.; He, Z.; Zhou, J.; Firestone, M.K. The interconnected rhizosphere: High network complexity dominates rhizosphere assemblages. Ecol. Lett. 2016, 19, 926–936. [Google Scholar] [CrossRef]
- Badri, D.V.; Vivanco, J.M. Regulation and function of root exudates. Plant Cell Environ. 2009, 32, 666–681. [Google Scholar] [CrossRef] [PubMed]
- Garcia-Pichel, F.; Wojciechowski, M.F. The evolution of a capacity to build supra-cellular ropes enabled filamentous cyanobacteria to colonize highly erodible substrates. PLoS ONE 2009, 4, e7801. [Google Scholar] [CrossRef] [PubMed]
- Fierer, N.; Leff, J.W.; Adams, B.J.; Nielsen, U.N.; Bates, S.T.; Lauber, C.L.; Owens, S.; Gilbert, J.A.; Wall, D.H.; Caporaso, J.G. Cross-biome metagenomic analyses of soil microbial communities and their functional attributes. Proc. Natl. Acad. Sci. USA 2012, 109, 21390–21395. [Google Scholar] [CrossRef]
- Fierer, N.; Bradford, M.A.; Jackson, R.B. Toward an ecological classification of soil bacteria. Ecology 2007, 88, 1354–1364. [Google Scholar] [CrossRef]
- Tedersoo, L.; Bahram, M.; Põlme, S.; Kõljalg, U.; Yorou, N.S.; Wijesundera, R.; Ruiz, L.V.; Vasco-Palacios, A.M.; Thu, P.Q.; Suija, A.; et al. Global diversity and geography of soil fungi. Science 2014, 346, 1256688. [Google Scholar] [CrossRef] [PubMed]
- Smith, S.E.; Read, D.J. Mycorrhizal Symbiosis; Academic Press: New York, NY, USA, 2010. [Google Scholar]
- Garcia-Pichel, F.; López-Cortés, A.; Nubel, U. Phylogenetic and morphological diversity of cyanobacteria in soil desert crusts from the Colorado Plateau. Appl. Environ. Microbiol. 2001, 67, 1902–1910. [Google Scholar] [CrossRef]
- Barka, E.A.; Vatsa, P.; Sanchez, L.; Gaveau-Vaillant, N.; Jacquard, C.; Klenk, H.P.; Clément, C.; Ouhdouch, Y.; van Wezel, G.P. Taxonomy, physiology, and natural products of Actinobacteria. Microbiol. Mol. Biol. Rev. 2016, 80, 1–43. [Google Scholar] [CrossRef]
- Koblížek, M. Ecology of aerobic anoxygenic phototrophs in aquatic environments. FEMS Microbiol. Rev. 2015, 39, 854–870. [Google Scholar] [CrossRef] [PubMed]
- Gostinčar, C.; Lenassi, M.; Gunde-Cimerman, N.; Plemenitaš, A. Fungal adaptation to extremely high salt concentrations. Adv. Appl. Microbiol. 2011, 77, 71–96. [Google Scholar] [PubMed]
- Porras-Alfaro, A.; Bayman, P. Hidden fungi, emergent properties: Endophytes and microbiomes. Annu. Rev. Phytopathol. 2011, 49, 291–315. [Google Scholar] [CrossRef]
- Lewis, L.A.; McCourt, R.M. Green algae and the origin of land plants. Am. J. Bot. 2004, 91, 1535–1556. [Google Scholar] [CrossRef]
Disclaimer/Publisher’s Note: The statements, opinions and data contained in all publications are solely those of the individual author(s) and contributor(s) and not of MDPI and/or the editor(s). MDPI and/or the editor(s) disclaim responsibility for any injury to people or property resulting from any ideas, methods, instructions or products referred to in the content. |
© 2025 by the authors. Licensee MDPI, Basel, Switzerland. This article is an open access article distributed under the terms and conditions of the Creative Commons Attribution (CC BY) license (https://creativecommons.org/licenses/by/4.0/).










