Natural Frequency Characteristics of the Beam with Different Cross Sections Considering the Shear Deformation Induced Rotary Inertia
Abstract
1. Introduction
2. Modification of the Timoshenko Beam Model
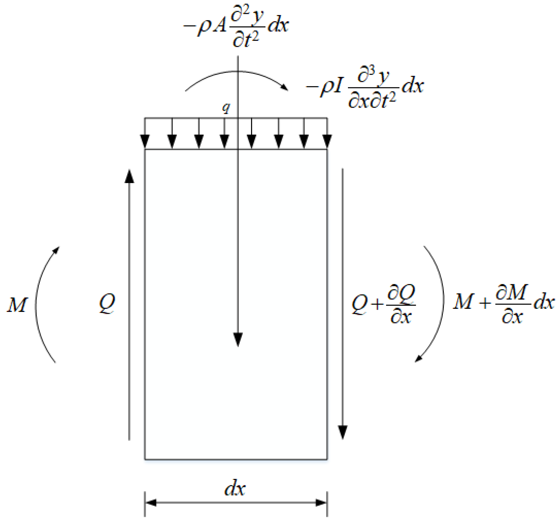
2.1. Equation of Motion for Modified Timoshenko Beam
- The motion of the beam is only restricted in the x–y plane with a small displacement in the y dimension.
- During the deformation, the cross section still sticks to the planer assumption with a symmetric axis in the y direction.
- Flexural deformation, shear deformation, and the rotary inertia they caused are all concerned.
- Lateral shear stress is distributed uniformly along the height of the beam.
2.2. Solution to Natural Frequencies under Different Boundary Conditions
3. Effect of the Cross-Sectional Types on Natural Frequencies
- (1)
- Rectangular section beam: Width: height:.
- (2)
- Rectangular hollow section beam: Width: , height: , web thickness: , and flange plate thickness:.
- (3)
- Circular section beam: Radius: .
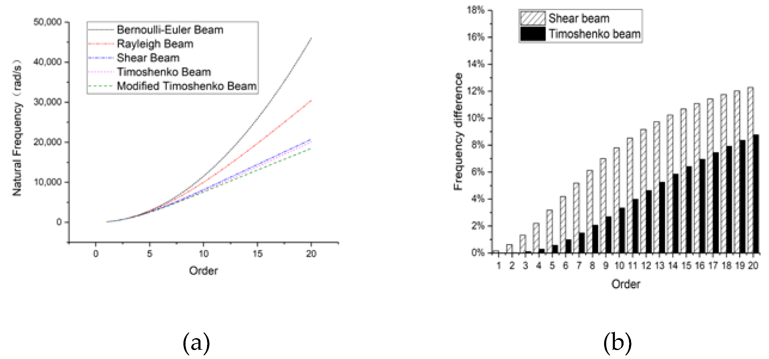
3.1. Rectangular Section Beam
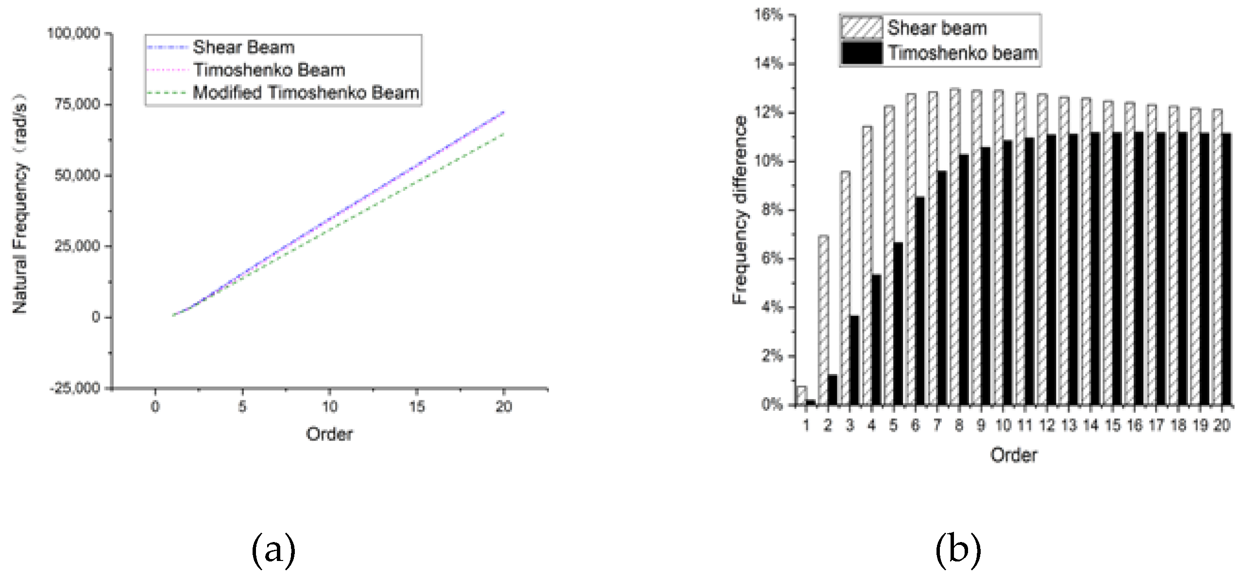
3.1.1. Hinged-Hinged
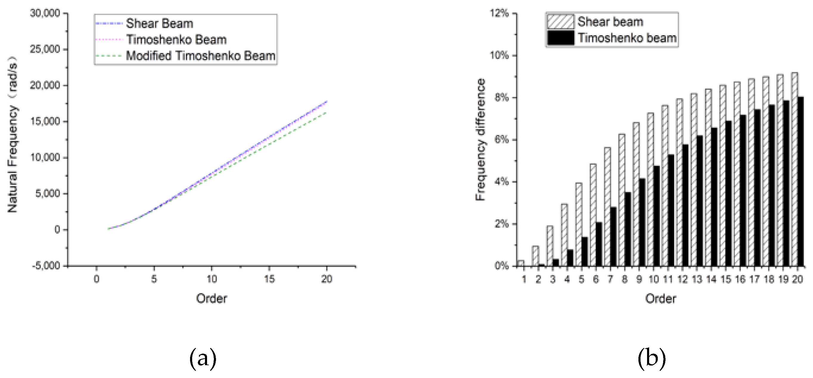
3.1.2. Clamped-Clamped
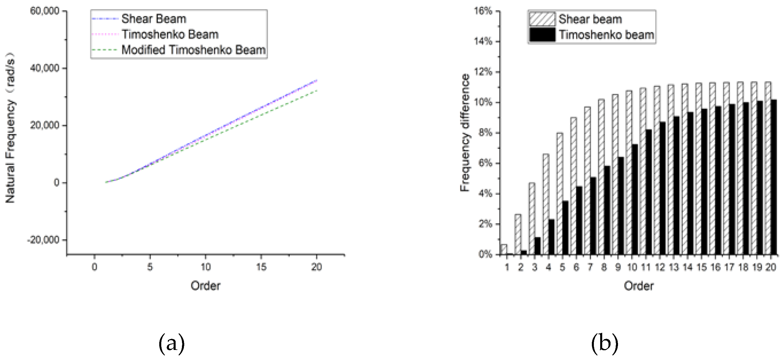
3.1.3. Clamped-Free
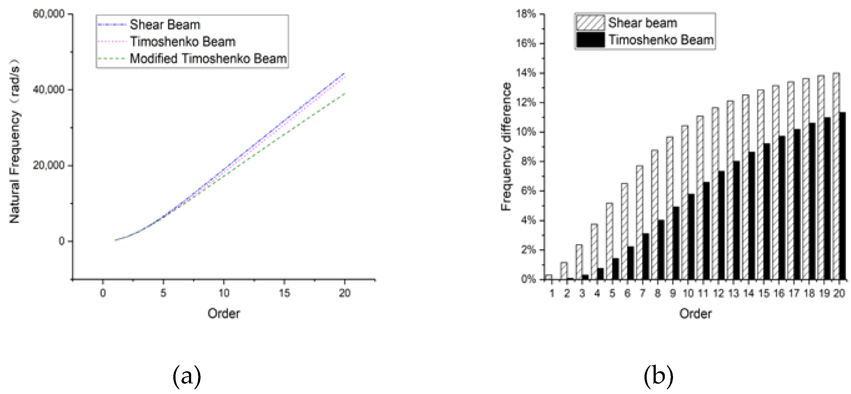
3.2. Rectangular Hollow Section Beam
3.2.1. Hinged-Hinged
3.2.2. Clamped-Clamped
3.2.3. Clamped-Free
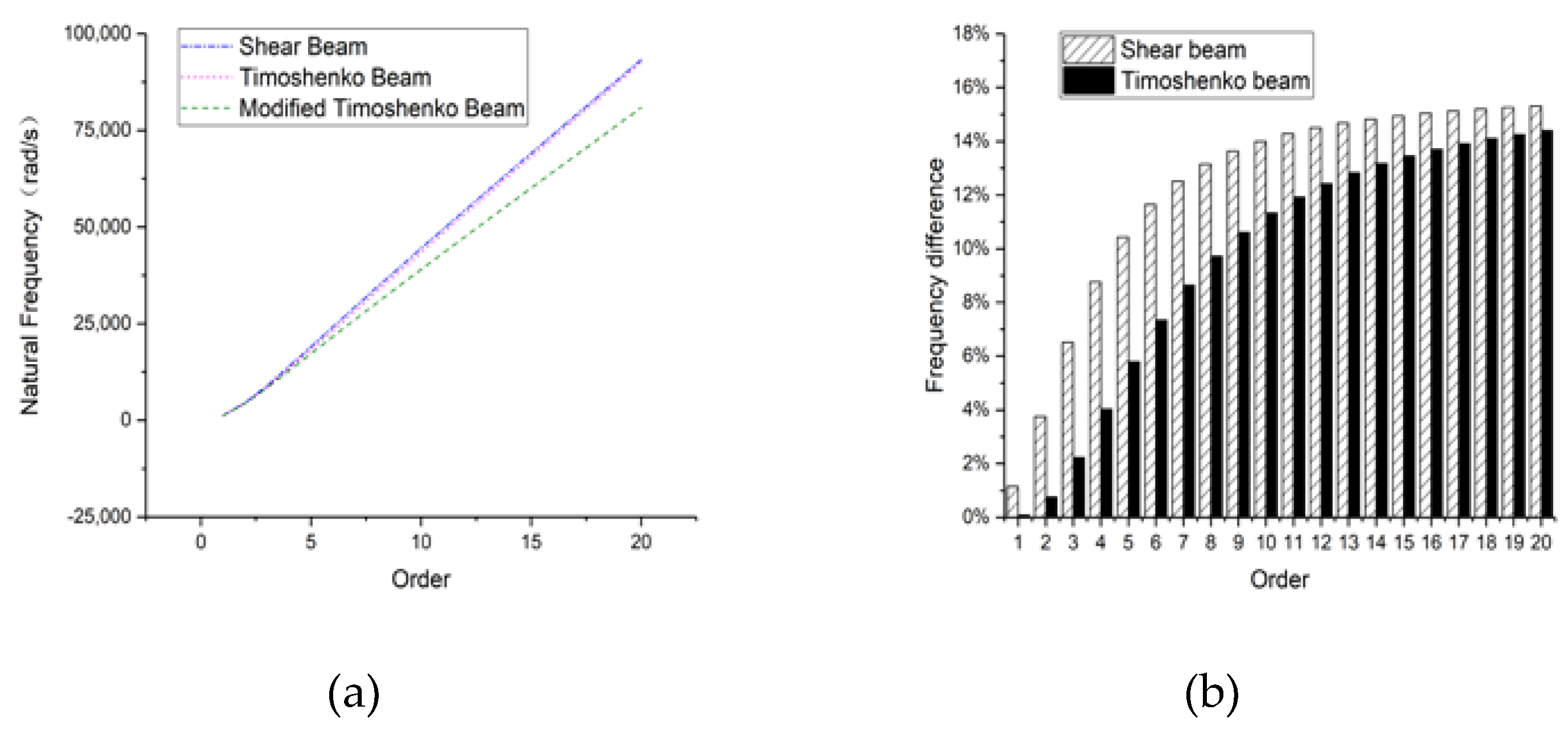
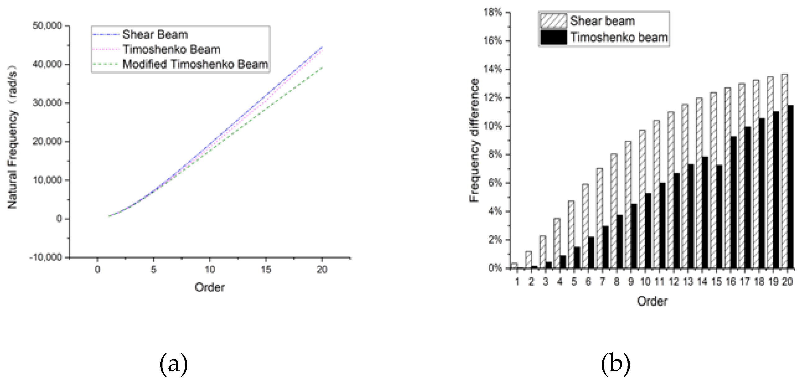
3.3. Circular Section Beam
3.3.1. Hinged-Hinged
3.3.2. Clamped-Clamped
3.3.3. Clamped-Free
4. Conclusions
Author Contributions
Funding
Conflicts of Interest
References
- Timoshenko, S.P. History of Strength of Materials; Dover Publications: New York, NY, USA, 1953. [Google Scholar]
- Strutt, J.W. Theory of Sound; Macmillan Publications Co.: London, UK, 1877. [Google Scholar]
- Abbas, B.A.H.; Thomas, J. The second frequency spectrum of Timoshenko beams. J. Sound Vib. 1977, 51, 123–137. [Google Scholar] [CrossRef]
- Timoshenko, S.P. On the correction for shear of the differential equation for transverse vibrations of bars of uniform cross-section. Philos. Mag. 1921, 41, 744–746. [Google Scholar] [CrossRef]
- Timoshenko, S.P. On the transverse vibrations of bars of uniform cross-section. Philos. Mag. 1922, 43, 125–131. [Google Scholar] [CrossRef]
- Traill-Nash, R.W.; Collar, A.R. The effects of shear flexibility and rotatory inertia on the bending vibrations of beams. Q. J. Mech. Appl. Math. 1953, 2, 186–222. [Google Scholar] [CrossRef]
- Dolph, C.L. On the Timoshenko theory of transverse beam vibrations. Q. Appl. Math. 1954, 12, 175–187. [Google Scholar] [CrossRef]
- Herrmann, G. Forced motions of Timoshenko beams. J. Appl. Mech. Trans. ASME 1955, 77, 53–56. [Google Scholar]
- Boley, B.A.; Chao, C.C. Some Solutions of the Timoshenko Beam Equations; Department of Civil Engineering and Engineering Mechanics, Institute of Air Flight Structures, Columbia University: New York, NY, USA, 1954. [Google Scholar]
- Huang, T.C. The effect of rotatory inertia and of shear deformation on the frequency and normal mode equations of uniform beams with simple end conditions. J. Appl. Mech. 1961, 28, 579–584. [Google Scholar] [CrossRef]
- Reismann, H.; Pawlik, P.S. Elastokinetics; West Publishing Co.: New York, NY, USA, 1974. [Google Scholar]
- Anderson, R.A. Flexural vibrations in uniform beams according to the Timoshenko theory. J. Appl. Mech. Trans. ASME 1953, 20, 504–510. [Google Scholar]
- Downs, B. Transverse vibration of a uniform, simply supported Timoshenko beam without transverse deflection. J. Appl. Mech. Trans. ASME 1977, 99, 103. [Google Scholar] [CrossRef]
- Levinson, M.; Cooke, D.W. On the two frequency spectra of Timoshenko beams. J. Sound Vib. 1982, 84, 319–326. [Google Scholar] [CrossRef]
- Abbas, B.A.H.; Thomas, J. Finite element model for dynamic analysis of Timoshenko beam. J. Sound Vib. 1975, 41, 291–299. [Google Scholar]
- Stephen, N.G. On the variation of Timoshenko’s shear coefficient with frequency. J. Appl. Mech. 1978, 45, 695–696. [Google Scholar] [CrossRef]
- Stephen, N.G. Timoshenko’s shear coefficient from a beam subjected to gravity loading. J. Appl. Mech. 1980, 47, 121–127. [Google Scholar] [CrossRef]
- Stephen, N.G. The second spectrum of Timoshenko beam theory—Further assessment. J. Sound Vib. 1980, 292, 372–389. [Google Scholar] [CrossRef]
- Murin, J.; Aminbaghai, M.; Kutis, V. Exact solution of the bending vibration problem of FGM beams with variation of material properties. Eng. Struct. 2010, 32, 1631–1640. [Google Scholar] [CrossRef]
- Wan, C. The Modification of Motion Equation of Timoshenko Beam and Its Application in Impact Responses of Structures. Master thesis, Tongji University, Shanghai, China, 2003. (In Chineses). [Google Scholar]
- Wan, C.; Chen, R.; Xue, S.; Wu, Z. Development of a novel beam model and its dynamic characteristics. Mech. Adv. Mater. Struct. 2014, 2, 402–412. [Google Scholar] [CrossRef]
- Chen, R.; Wan, C.; Xue, S.; Tang, H. Modification of motion equation of Timoshenko beam and Its effect. J. Tongji Univ. Nat. Sci. 2005, 33, 711–715. [Google Scholar]






























© 2020 by the authors. Licensee MDPI, Basel, Switzerland. This article is an open access article distributed under the terms and conditions of the Creative Commons Attribution (CC BY) license (http://creativecommons.org/licenses/by/4.0/).
Share and Cite
Wan, C.; Jiang, H.; Xie, L.; Yang, C.; Ding, Y.; Tang, H.; Xue, S. Natural Frequency Characteristics of the Beam with Different Cross Sections Considering the Shear Deformation Induced Rotary Inertia. Appl. Sci. 2020, 10, 5245. https://doi.org/10.3390/app10155245
Wan C, Jiang H, Xie L, Yang C, Ding Y, Tang H, Xue S. Natural Frequency Characteristics of the Beam with Different Cross Sections Considering the Shear Deformation Induced Rotary Inertia. Applied Sciences. 2020; 10(15):5245. https://doi.org/10.3390/app10155245
Chicago/Turabian StyleWan, Chunfeng, Huachen Jiang, Liyu Xie, Caiqian Yang, Youliang Ding, Hesheng Tang, and Songtao Xue. 2020. "Natural Frequency Characteristics of the Beam with Different Cross Sections Considering the Shear Deformation Induced Rotary Inertia" Applied Sciences 10, no. 15: 5245. https://doi.org/10.3390/app10155245
APA StyleWan, C., Jiang, H., Xie, L., Yang, C., Ding, Y., Tang, H., & Xue, S. (2020). Natural Frequency Characteristics of the Beam with Different Cross Sections Considering the Shear Deformation Induced Rotary Inertia. Applied Sciences, 10(15), 5245. https://doi.org/10.3390/app10155245

