The Effect of Supplementing Pig Diet with Chestnut Wood Extract or Hops on Fresh Meat and Dry-Cured Products
Abstract
1. Introduction
2. Materials and Methods
2.1. Slaughter, Processing, and Sampling
2.2. Water Holding Capacity
2.3. Objective Color
2.4. Chemical Composition
2.5. Water Activity (aw)
2.6. Protein Oxidation (Carbonyl Groups)
2.7. Thiobarbituric Reactive Substances (TBARS)
2.8. Rancimat
2.9. Statistical Analysis
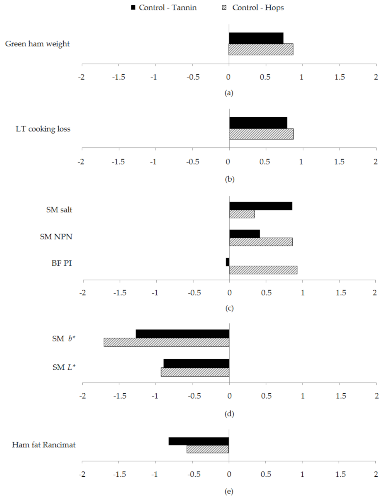
3. Results
3.1. Carcass Traits
3.2. Water Holding Capacity
3.3. Chemical Analysis
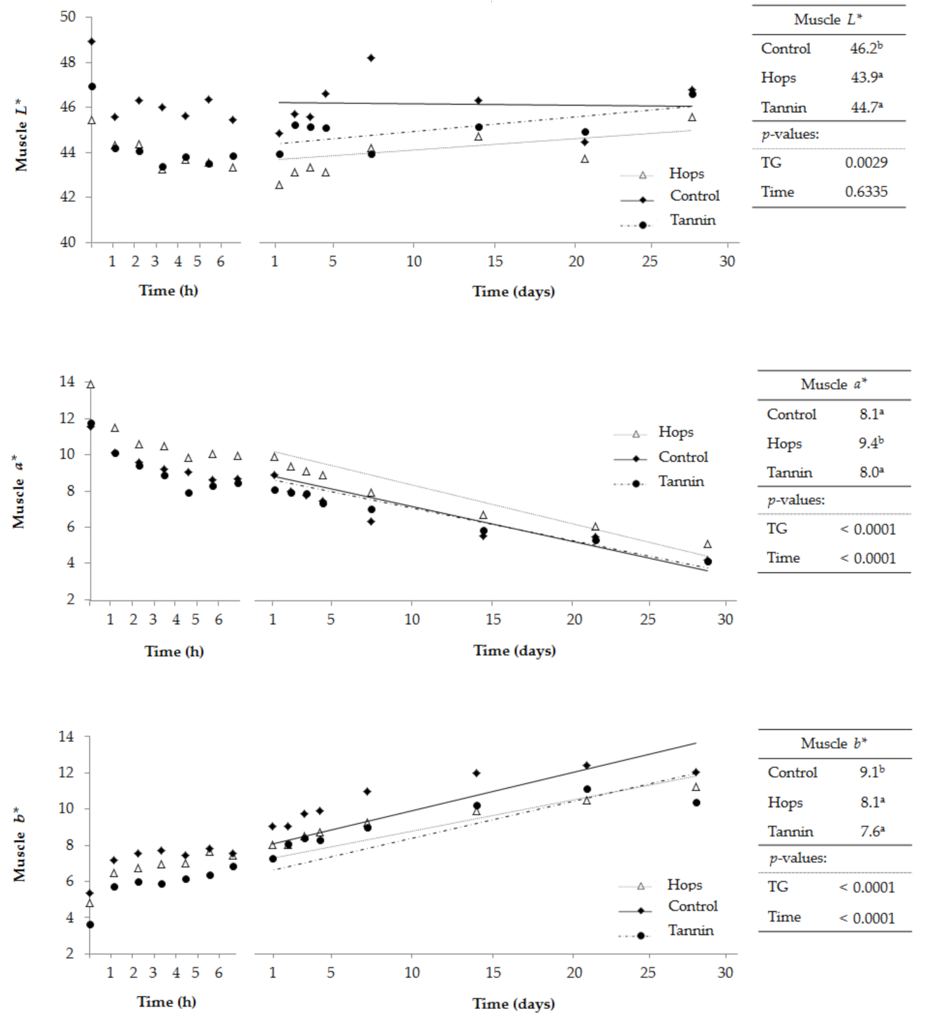
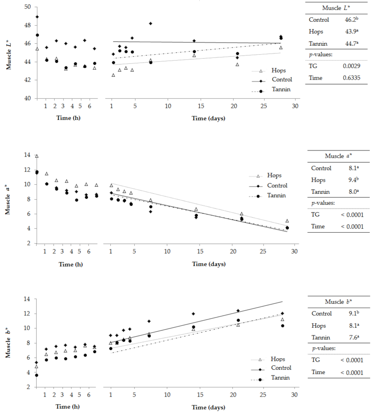
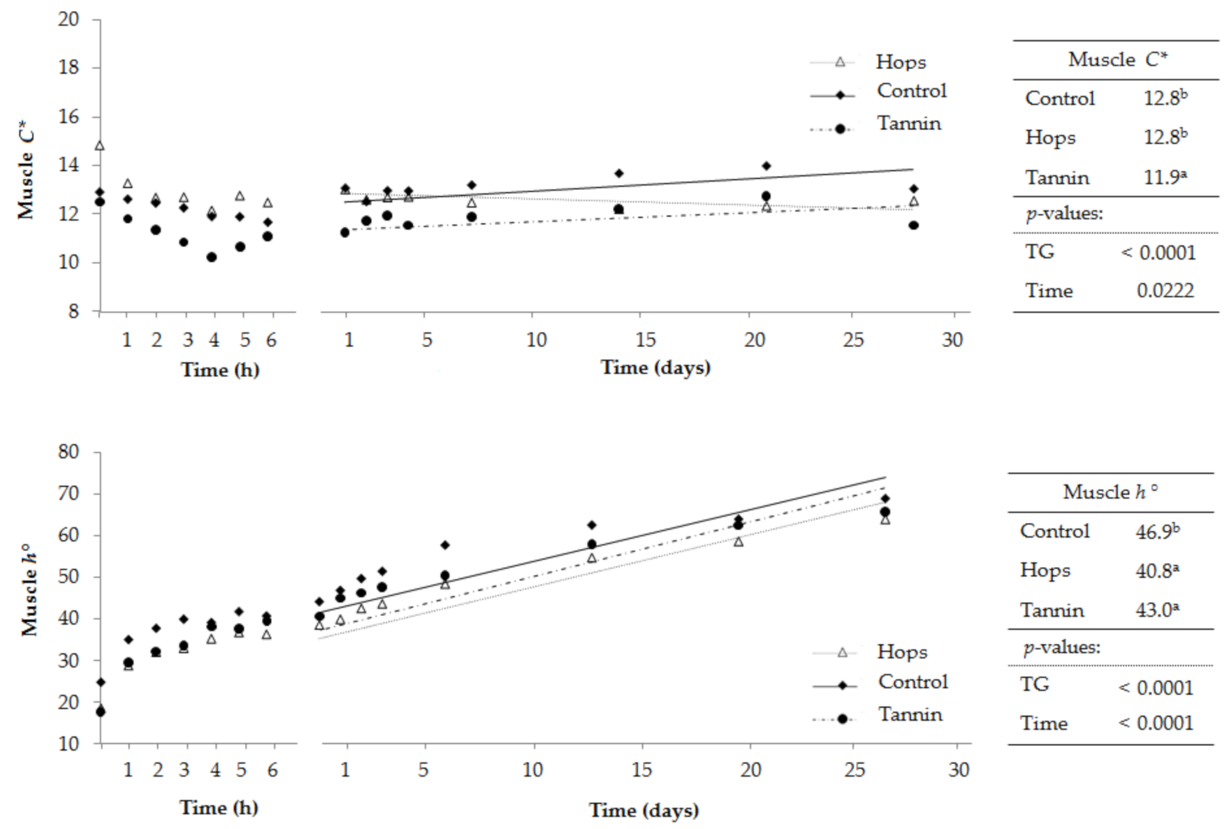
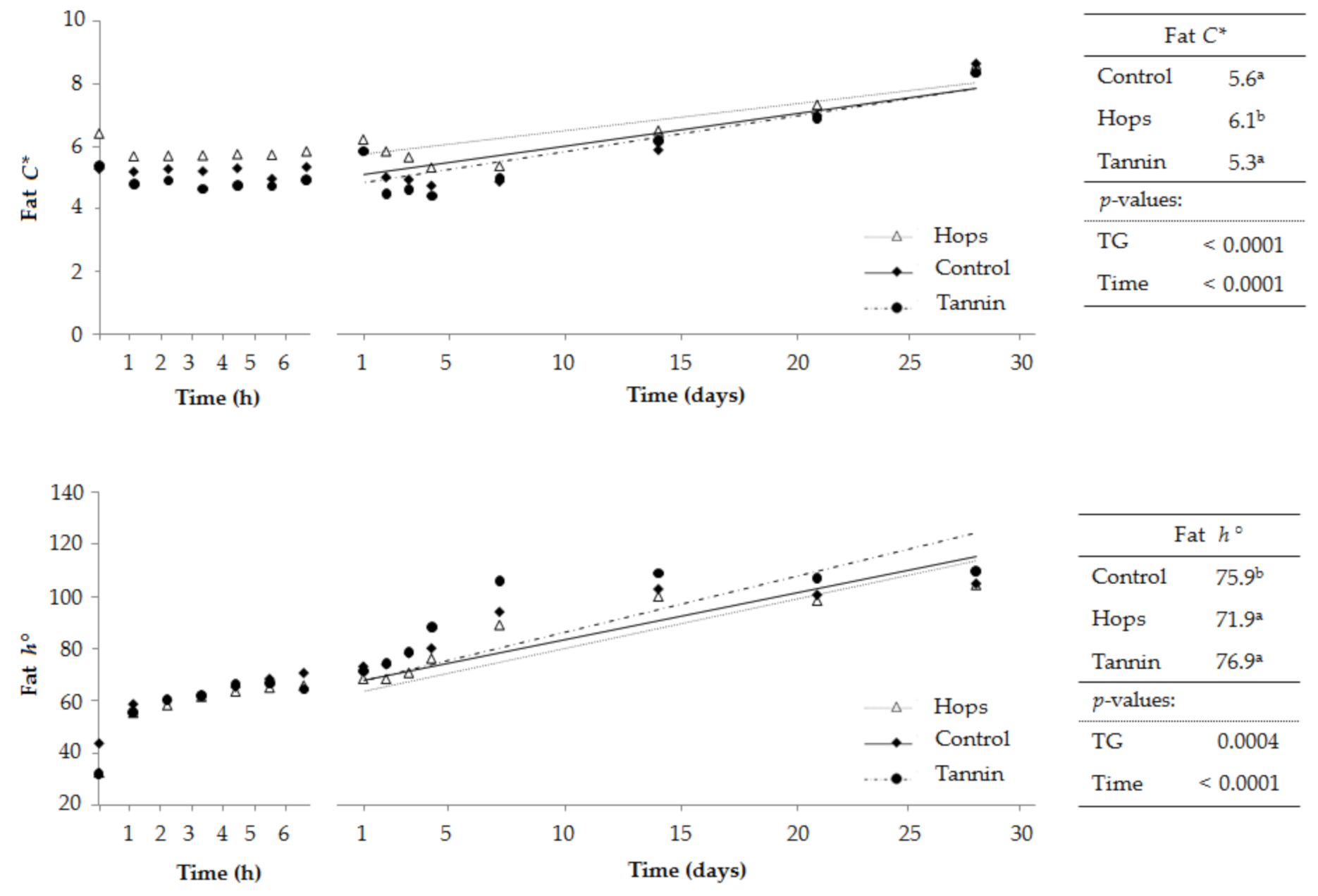
3.4. Color
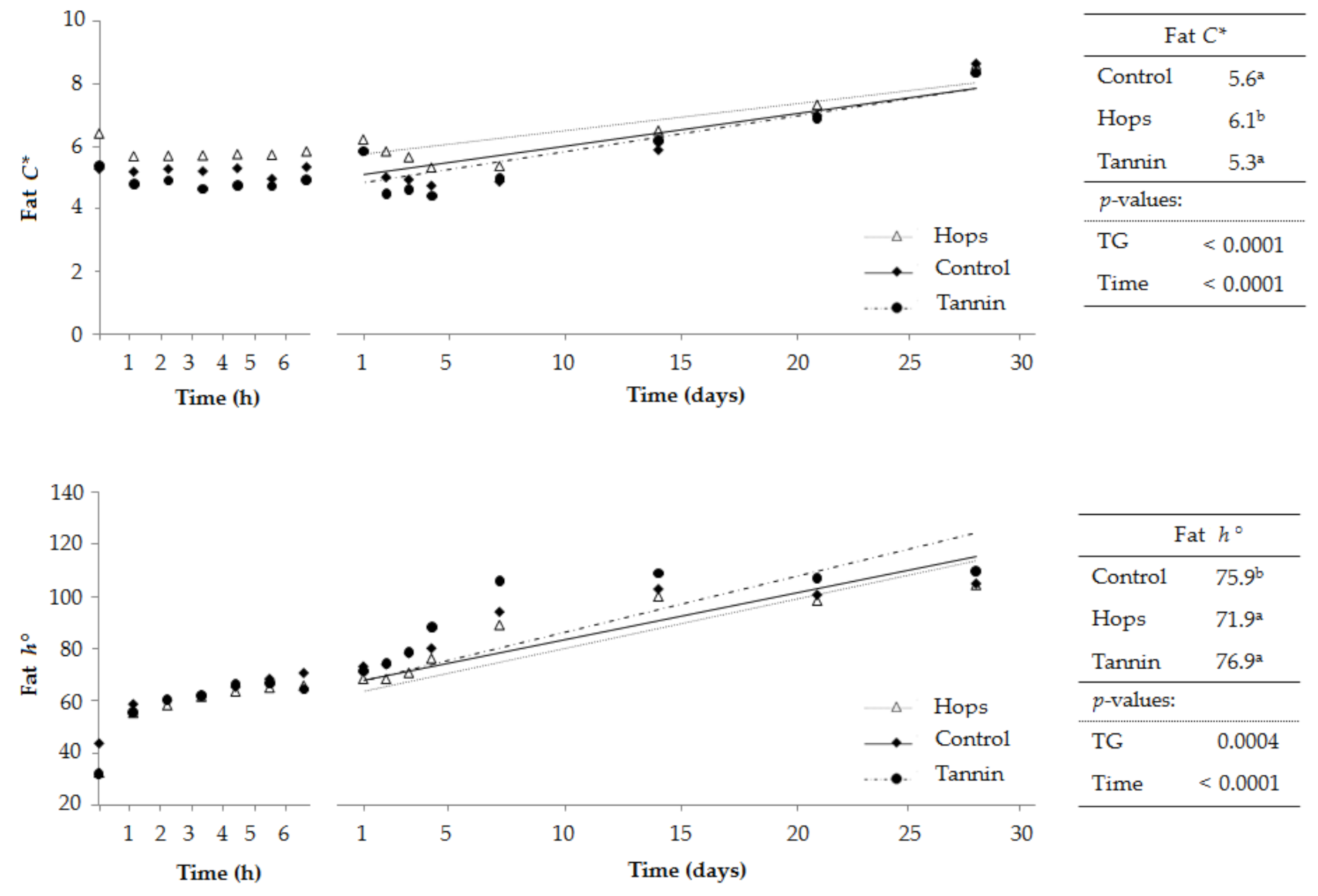
3.5. Oxidation
4. Discussion
5. Conclusions
Supplementary Materials
Author Contributions
Funding
Conflicts of Interest
References
- Falowo, A.B.; Fayemi, P.O.; Muchenje, V. Natural antioxidants against lipid–protein oxidative deterioration in meat and meat products: A review. Food Res. Int. 2014, 64, 171–181. [Google Scholar] [CrossRef] [PubMed]
- Contini, C.; Álvarez, R.; O’Sullivan, M.; Dowling, D.P.; Gargan, S.; Monahan, F.J. Effect of an active packaging with citrus extract on lipid oxidation and sensory quality of cooked turkey meat. Meat Sci. 2014, 96, 1171–1176. [Google Scholar] [CrossRef] [PubMed]
- Shah, M.A.; Don Bosco, S.J.; Mir, S.A. Plant extracts as natural antioxidants in meat and meat products. Meat Sci. 2014, 98, 21–33. [Google Scholar] [CrossRef] [PubMed]
- Jiang, J.; Xiong, Y.L. Natural antioxidants as food and feed additives to promote health benefits and quality of meat products: A review. Meat Sci. 2016, 120, 107–117. [Google Scholar] [CrossRef] [PubMed]
- Lampire, O.; Mila, I.; Raminosoa, M.; Michon, V.; Herve du Penhoat, C.; Faucheur, N.; Laprevote, O.; Scalbert, A. Polyphenols isolated from the bark of Castanea sativa Mill. chemical structures and auto-association. Phytochemistry 1998, 49, 623–631. [Google Scholar] [CrossRef]
- Frankič, T.; Salobir, J. In vivo oxidative potential of sweet chestnut (Castanea sativa Mill) wood extract in young growing pigs exposed to n−3 PUFA-induced oxidative stress. J. Sci. Food Agric. 2011, 91, 1432–1439. [Google Scholar] [PubMed]
- Voljč, M.; Levart, A.; Žgur, S.; Salobir, J. The effect of α-tocopherol, sweet chestnut wood extract and their combination on oxidative stress in vivo and the oxidative stability of meat in broilers. Br. Poult. Sci. 2013, 54, 144–156. [Google Scholar] [CrossRef]
- Liu, H.W.; Gai, F.; Gasco, L.; Brugiapaglia, A.; Lussiana, C.; Guo, K.J.; Tong, M.J.; Zoccarato, I. Effects of chestnut tannins on carcass characteristics, meat quality, lipid oxidation and fatty acid composition of rabbits. Meat Sci. 2009, 83, 678–683. [Google Scholar] [CrossRef]
- Rezar, V.; Salobir, J.; Levart, A.; Tomažin, U.; Škrlep, M.; Batorek Lukač, N.; Čandek-Potokar, M. Supplementing entire male pig diet with hydrolysable tannins: Effect on carcass traits, meat quality and oxidative stability. Meat Sci. 2017, 133, 95–102. [Google Scholar] [CrossRef]
- Krofta, K.; Mikyška, A.; Hašková, D. Antioxidant characteristics of hops and hop products. J. Inst. Brew. 2008, 114, 160–166. [Google Scholar] [CrossRef]
- Van Cleemput, M.; Cattoor, K.; Bosscher, K.; Haegeman, G.; De Keukeleire, D.; Heyerick, A. Hop (Humulus lupulus)-derived bitter acids as multipotent bioactive compounds. J. Nat. Prod. 2009, 72, 1220–1230. [Google Scholar] [CrossRef] [PubMed]
- Karabín, M.; Hudcová, T.; Jelínek, L.; Dostálek, P. Biologically active compounds from hops and prospects for their use. Compr. Rev. Food Sci. Food Saf. 2016, 15, 542–567. [Google Scholar] [CrossRef]
- Lermusieau, G.; Liégeois, C.; Collin, S. Reducing power of hop cultivars and beer ageing. Food Chem. 2001, 72, 413–418. [Google Scholar] [CrossRef]
- Proestos, C.; Komaitis, M. Antioxidant capacity of hops. In Beer in Health and Disease Prevention; Preedy, V.R., Ed.; Elsevier Inc.: Burlington, MA, USA, 2009; pp. 467–474. [Google Scholar]
- Villalobos-Delgado, L.H.; Caro, I.; Blanco, C.; Bodas, R.; Andrés, S.; Giráldez, F.J.; Mateo, J. Effect of the addition of hop (infusion or powder) on the oxidative stability of lean lamb patties during storage. Small Rumin. Res. 2015, 125, 73–80. [Google Scholar] [CrossRef]
- Hanczakowska, E.; Swiątkiewicz, M. The effect of lemon balm (Melissa officinalis L.) or hop (Humulus lupulus L.) extracts on pig meat quality. Anim. Sci. 2006, 1, 168–169. [Google Scholar]
- Sbardella, M.; Racanicci, A.M.C.; Gois, F.D.; de Lima, C.B.; Migotto, D.L.; Costa, L.B.; Miyada, V.S. Effects of dietary hop (Humulus lupulus L.) β-acids on quality attributes, composition and oxidative stability of pork meat. J. Sci. Food Agric. 2017, 98, 2385–2392. [Google Scholar] [CrossRef]
- Blanco, C.; Bodas, R.; Morán, L.; Mateo, J.; Andrés, S.; Giráldez, F.J. Effect of hop (Humulus lupulus L.) inclusion in the diet for fattening lambs on animal performance, ruminal characteristics and meat quality. Food Res. Int. 2018, 108, 42–47. [Google Scholar] [CrossRef]
- Rezar, V.; Levart., A.; Salobir, J. Effect of hop cone supplementation on oxidative stress and oxidative stability of fresh and stored meat in broilers. In Proceedings of the Full Papers of the 20th European Symposium on Poultry Nutrition (ESPN), Prague, Czech Republic, 24–27 August 2015; pp. 440–442. [Google Scholar]
- Uradni list RS, št. 38/13. Zakon o zaščiti živali of 3. May 2013, pp. 440–442. Available online: https://www.uradni-list.si/glasilo-uradni-list-rs/vsebina/2013-01-1457/zakon-o-zasciti-zivali-uradno-precisceno-besedilo-zzziv-upb3?h=zakon%20o%20za%C5%A1%C4%8Diti%20%C5%BEivali (accessed on 5 April 2015).
- Uradni list RS, št. 51/10. Pravilnik o zaščiti rejnih živali of 28. June 2010, pp. 7592–7603. Available online: https://www.uradni-list.si/glasilo-uradni-list-rs/vsebina?urlid=201051&stevilka=2767 (accessed on 5 April 2015).
- Uradni list RS, št. 70/10. Pravilnik o spremembah Pravilnika o zaščiti rejnih živali of 3. September 2010, p. 10422. Available online: https://www.uradni-list.si/glasilo-uradni-list-rs/vsebina/2010-01-3826?sop=2010-01-3826 (accessed on 5 April 2015).
- OJ EU L276 2010. Directive 2010/63/EU of the European Parliament and of the Council of 22 September 2010 on the Protection of Animals Used for Scientific Purposes. pp. 33–79. Available online: https://eur-lex.europa.eu/legal-content/EN/TXT/PDF/?uri=CELEX:32010L0063&from=EN (accessed on 5 April 2015).
- OJ EU L268 2003. Regulation (EC) No 1831/2003 of the European Parliament and of the Council of 22 September 2003 on Additives for Use in Animal Nutrition. pp. 29–43. Available online: https://eur-lex.europa.eu/legal-content/EN/TXT/PDF/?uri=CELEX:32003R1831&from=EN (accessed on 5 April 2015).
- OJ EU L56/28 2008. Commission Decision of 18 February 2008 Amending Decision 2005/879/EC Authorising Methods for Grading Pig Carcasses in Slovenia. pp. 28–30. Available online: https://eur-lex.europa.eu/legal-content/EN/TXT/PDF/?uri=CELEX:32008D0167&rid=7 (accessed on 5 April 2015).
- Christensen, L.B. Drip loss sampling in porcine m. longissimus dorsi. Meat Sci. 2003, 63, 469–477. [Google Scholar] [CrossRef]
- Batorek, N.; Škrlep, M.; Prunier, A.; Louveau, I.; Noblet, J.; Bonneau, M.; Čandek-Potokar, M. Effect of feed restriction on hormones, performance, carcass traits, and meat quality in immunocastrated pigs. J. Anim. Sci. 2012, 90, 4593–4603. [Google Scholar] [CrossRef]
- Škrlep, M.; Čandek-Potokar, M.; Žlender, B.; Robert, N.; Santé-Lhoutellier, V.; Gou, P. PRKAG3 and CAST genetic polymorphisms and quality traits of dry-cured hams-III. Associations in Slovenian dry-cured ham Kraški pršut and their dependence on processing. Meat Sci. 2012, 92, 360–365. [Google Scholar] [CrossRef]
- Pietrzak, M.; Greaser, M.L.; Sosnicki, A.A. Effect of rapid rigor mortis processes on protein functionality in pectoralis major muscle of domestic turkeys. J. Anim. Sci. 1997, 75, 2106–2116. [Google Scholar] [CrossRef] [PubMed]
- Oliver, C.N.; Ahn, B.W.; Moerman, E.J.; Goldstein, S.; Stadtman, E.R. Age related changes in oxidized proteins. J. Biol. Chem. 1987, 262, 5488–5491. [Google Scholar] [PubMed]
- Mercier, Y.; Gatellier, P.; Viau, M.; Remignon, H.; Renerre, M. Effect of dietary fat and vitamin E on colour stability and on lipid and protein oxidation in turkey meat during storage. Meat Sci. 1998, 48, 301–318. [Google Scholar] [CrossRef]
- Lynch, S.M.; Frei, B. Mechanisms of copper-dependent and iron-dependent oxidative modification of human low-density-lipoprotein. J. Lipid Res. 1993, 34, 1745–1753. [Google Scholar]
- Prevolnik, M.; Škrlep, M.; Brus, M.; Pugliese, C.; Čandek-Potokar, M.; Škorjanc, D. Supplementing pig diet with 0.2% sweet chestnut (Castanea sativa Mill.) wood extract had no effect on growth, carcass or meat quality. Acta Agric. Slov. 2012, 3, 83–88. [Google Scholar]
- Antongiovanni, M.; Minieri, S.; Petacchi, F. Effect of tannin supplementation on nitrogen digestibility and retention in growing pigs. Ital. J. Anim. Sci. 2007, 6, 245–247. [Google Scholar] [CrossRef]
- Galassi, G.; Mason, F.; Rapetti, L.; Crovetto, G.M.; Spanghero, M. Digestibility and metabolic utilisation of diets containing chestnut tannins and their effects on growth and slaughter traits of heavy pigs. Ital. J. Anim. Sci. 2019, 18, 746–753. [Google Scholar] [CrossRef]
- Čandek-Potokar, M.; Škrlep, M.; Batorek Lukač, N.; Zamaratskaia, G.; Prevolnik Povše, M.; Velikonja Bolta, Š.; Kubale, V.; Bee, G. Hydrolysable tannin fed to entire male pigs affects intestinal production, tissue deposition and hepatic clearance of skatole. Vet. J. 2015, 204, 162–167. [Google Scholar] [CrossRef]
- Tretola, M.; Maghin, F.; Silacci, P.; Ampuero, S.; Bee, G. Effect of supplementing hydrolysable tannins to a grower–finisher diet containing divergent PUFA levels on growth performance, boar taint levels in back fat and intestinal microbiota of entire males. Animals 2019, 9, 1063. [Google Scholar] [CrossRef]
- Joo, Y.H.; Choi, I.H.; Kim, D.H.; Lee, H.J.; Amanullah, S.M.; Yang, H.S.; Kim, S.C. Effects of chestnut (Castanea sativa) meal supplementation on growth performance, carcass characteristics, and meat quality of pigs. R. Bras. Zootec. 2018, 47, e20170168. [Google Scholar] [CrossRef]
- Hanczakowska, E.; Swiątkiewicz, M.; Grela, E.R. Effect of dietary supplement of herbal extract from hop (Humulus lupulus) on pig performance and meat quality. Czech J. Anim. Sci. 2017, 62, 287–295. [Google Scholar] [CrossRef]
- Fiesel, A.; Gessner, D.K.; Most, E.; Eder, K. Effects of dietary polyphenol-rich plant products from grape or hop on pro-inflammatory gene expression in the intestine, nutrient digestibility and faecal microbiota of weaned pigs. BMC Vet. Res. 2014, 10, 196. [Google Scholar] [CrossRef] [PubMed]
- Sbardella, M.; Perina, D.P.; Andrade, C.; Santos, C.B.; Cairo, P.L.G.; Marques, E.L.S.; Rezende, R.P.; Costa, L.B.; Miyada, V.S. Effects of dietary hop β-acids or colistin on the performance, nutrient digestibility, and intestinal health of weanling pigs. Anim. Feed Sci. Technol. 2016, 217, 67–75. [Google Scholar] [CrossRef]
- Cornelison, J.M.; Yan, F.; Watkins, S.E.; Rigby, L.; Segal, J.B.; Waldroup, P.W. Evaluation of hops (Humulus lupulus) as an antimicrobial in broiler diets. Int. J. Poult. Sci. 2006, 5, 134–136. [Google Scholar]
- Bozkurt, M.; Küçükyılmaz, K.; Çatlı, A.U.; Çınar, M. Effect of dietary mannan oligosaccharide with or without oregano essential oil and hop extract supplementation on the performance and slaughter characteristics of male broilers. S. Afr. J. Anim. Sci. 2009, 39, 223–232. [Google Scholar] [CrossRef]
- Wang, Y.; Chaves, A.V.; Rigby, F.L.; He, M.L.; McAllister, T.A. Effects of hops on ruminal fermentation, growth, carcass traits and shedding of Escherichia coli of feedlot cattle. Livest. Sci. 2010, 129, 135–140. [Google Scholar] [CrossRef]
- Axman, J.E. Effects of Hops β-acid Extract (Humulus lupulus L.) on Cattle Performance and Fermentation by Ruminal Microbes. Master Thesis, Kansas State University, Manhattan, KS, USA, 2015. [Google Scholar]
- Pugliese, C.; Sirtori, F.; Acciaioli, A.; Bozzi, R.; Campodoni, G.; Franci, O. Quality of fresh and seasoned fat of Cinta Senese pigs as affected by fattening with chestnut. Meat Sci. 2013, 93, 92–97. [Google Scholar] [CrossRef]
- Bee, G.; Silacci, P.; Ampuero-Kragten, S.; Čandek-Potokar, M.; Wealleans, A.L.; Litten-Brown, J.; Salminen, J.-P.; Mueller-Harvey, I. Hydrolysable tannin-based diet rich in gallotannins has a minimal impact on pig performance but significantly reduces salivary and bulbourethral gland size. Animal 2017, 11, 1617–1625. [Google Scholar] [CrossRef]
- Dall’Olio, S.; Aboagye, G.; Nanni Costa, L.; Gallo, M.; Fontanesi, L. Effects of 17 performance, carcass and raw ham quality parameters on ham weight loss at first salting in heavy pigs, a meat quality indicator for the production of high quality dry-cured hams. Meat Sci. 2020, 162, 108012. [Google Scholar] [CrossRef]
- Traore, S.; Aubry, L.; Gatellier, P.; Przybylski, W.; Jaworska, D.; Kajak-Siemaszko, K.; Santé-Lhoutellier, V. Effect of heat treatment on protein oxidation in pig meat. Meat Sci. 2012, 91, 14–21. [Google Scholar] [CrossRef]
- Joo, S.T.; Kauffman, R.G.; Kim, B.C.; Park, G.B. The relationship of sarcoplasmic and myofibrillar protein solubility to colour and water-holding capacity in porcine longissimus muscle. Meat Sci. 1999, 52, 291–297. [Google Scholar] [CrossRef]
- Schiavone, A.; Guo, K.; Tassone, S.; Gasco, L.; Hernandez, E.; Denti, R.; Zoccarato, I. Effects of a natural extract of chestnut wood on digestibility, performance traits, and nitrogen balance of broiler chicks. Poult. Sci. 2008, 87, 521–527. [Google Scholar] [CrossRef] [PubMed]
- Zawadzki, A.; Alloo, C.; Grossi, A.B.; do Nascimento, E.S.P.; Almeida, L.C.; Bogusz Junior, S.; Skibsted, L.H.; Cardoso, D.R. Effect of hop β-acids as dietary supplement for broiler chickens on meat composition and redox stability. Food Res. Int. 2018, 105, 210–220. [Google Scholar] [CrossRef] [PubMed]
- Lorenzo, J.M.; González-Rodríguez, R.M.; Sánchez, M.; Amado, I.R.; Franco, D. Effects of natural (grape seed and chestnut extract) and synthetic antioxidants (buthylatedhydroxytoluene, BHT) on the physical, chemical, microbiological and sensory characteristics of dry cured sausage “chorizo”. Food Res. Int. 2013, 54, 611–620. [Google Scholar] [CrossRef]
- Sirtori, F.; Pugliese, C.; Meo Zilio, D.; Campodoni, G.; Pianaccioli, L.; Bonelli, A. Characteristics of cured lard of Cinta Senese pig fed acorn and chestnut. Ital. J. Anim. Sci. 2005, 4, 467–469. [Google Scholar] [CrossRef]
- Pugliese, C.; Sirtori, F.; Ruiz, J.; Martin, D.; Parenti, S.; Franci, O. Effect of pasture on chestnut or acorn on fatty acid composition and aromatic profile of fat of Cinta Senese dry-cured ham. Grasas y Aceites 2009, 60, 271–276. [Google Scholar] [CrossRef]
- Pugliese, C.; Sirtori, F.; D’Adorante, S.; Parenti, S.; Rey, A.; Lopez-Bote, C.; Franci, O. Effect of pasture in oak and chestnut groves on chemical and sensorial traits of cured lard of Cinta Senese pigs. Ital. J. Anim. Sci. 2009, 8, 131–142. [Google Scholar] [CrossRef]
- Gómez, M.; Fonseca, S.; Cachaldora, A.; Carballo, J.; Franco, I. Effect of chestnuts intake by Celta pigs on lipolytic, oxidative and fatty acid profile changes during ripening and vacuum-packed storage of Galician “chorizo”. J. Food Compost. Anal. 2017, 56, 73–83. [Google Scholar] [CrossRef]
- Møller, J.K.S.; Jakobsen, M.; Weber, C.J.; Martinussen, T.; Skibsted, L.H.; Bertelsen, G. Optimisation of colour stability of cured ham during packaging and retail display by a multifactorial design. Meat Sci. 2003, 63, 169–175. [Google Scholar] [CrossRef]
- Resurreccion, A.V.A. Sensory aspects of consumer choices for meat and meat products. Meat Sci. 2003, 66, 11–20. [Google Scholar] [CrossRef]
- Cava, R.; Tárrega, R.; Ramírez, R.; Carrasco, J.A. Decolouration and lipid oxidation changes of vacuum-packed Iberian dry-cured loin treated with E-beam irradiation (5 kGy and 10 kGy) during refrigerated storage. Innov. Food Sci. Emerg. Technol. 2009, 10, 495–499. [Google Scholar] [CrossRef]
- Adamsen, C.E.; Møller, J.K.S.; Hismani, R.; Skibsted, L.H. Thermal and photochemical degradation of myoglobin pigments in relation to colour stability of sliced dry-cured Parma ham and sliced dry-cured ham produced with nitrite salt. Eur. Food Res. Technol. 2004, 218, 403–409. [Google Scholar] [CrossRef]
- Fuentes, V.; Utrera, M.; Estévez, M.; Ventanas, J.; Ventanas, S. Impact of high pressure treatment and intramuscular fat content on colour changes and protein and lipid oxidation in sliced and vacuum-packaged Iberian dry-cured ham. Meat Sci. 2014, 97, 468–474. [Google Scholar] [CrossRef]
- Ruiz, J.; García, C.; Muriel, E.; Andrés, A.I.; Ventanas, J. Influence of sensory characteristics on the acceptability of dry-cured ham. Meat Sci. 2002, 61, 347–354. [Google Scholar] [CrossRef]
- Lindahl, G.; Lundström, K.; Tornberg, E. Contribution of pigment content, myoglobin forms and internal reflectance to the colour of pork loin and ham from pure breed pigs. Meat Sci. 2001, 59, 141–151. [Google Scholar] [CrossRef]





| Experimental Diet | |||
|---|---|---|---|
| Ingredients | Control | Hops | Tannin |
| Corn | 45.56 | 46.16 | 45.56 |
| Wheat | 18.44 | 17.44 | 15.44 |
| Wheat bran | 9.00 | 9.00 | 9.00 |
| Molasses | 3.05 | 3.05 | 3.05 |
| Soybean meal | 9.50 | 9.50 | 9.50 |
| Sunflower meal | 4.11 | 4.11 | 4.11 |
| Rapeseed meal | 4.00 | 4.00 | 4.00 |
| Corn gluten meal | 3.70 | 3.70 | 3.70 |
| Methionine | 0.04 | 0.04 | 0.04 |
| Lysine | 0.35 | 0.35 | 0.35 |
| Limestone | 1.02 | 1.02 | 1.02 |
| Monocalcium phosphate | 0.14 | 0.14 | 0.14 |
| Salt | 0.34 | 0.34 | 0.34 |
| Lignosulphate-Xtreme25 | 0.25 | 0.25 | 0.25 |
| Premix | 0.50 | 0.50 | 0.50 |
| Sweet chestnut wood extract | / | / | 3.00 |
| Hop cones | / | 0.40 | / |
| Chemical Composition | |||
| Dry matter | 873.0 | 867.1 | 873.3 |
| Crude protein | 155.1 | 149.6 | 153.1 |
| Crude fat | 25.3 | 24.4 | 25.2 |
| Crude fiber | 49.6 | 51.0 | 49.9 |
| Crude ash | 59.4 | 48.9 | 47.4 |
| Nitrogen-free extract | 583.4 | 593.2 | 597.7 |
| Category of Traits | Traits with p-Values for the Treatment Group Effect |
|---|---|
| Carcass traits | Warm carcass weight (p = 0.34), Fat thickness over gluteus medius (p = 0.42), Meat percentage (p = 0.83), Green ham weight (p = 0.03), Ham fat thickness (p = 0.37), Belly weight (p = 0.26) |
| Water holding capacity | |
| LT muscle | Drip loss (p = 0.41), Thawing loss (p = 0.36), Cooking loss (p = 0.14) |
| Ham | Water loss after salting (p = 0.10) and ripening (p = 0.57) |
| Belly | Water loss after salting (p = 0.76) and ripening (p = 0.99) |
| Chemical composition | |
| LT muscle | Dry matter (p = 0.98), IMF (p = 0.33), Protein (p = 0.78) |
| Dry-cured ham—BF muscle | Dry matter (p = 0.54), IMF (p = 0.79), Protein (p = 0.80), NPN (p = 0.39), Proteolysis index (p = 0.27), Salt (p = 0.52), aw (p = 0.35) |
| Dry-cured ham—SM muscle | Dry matter (p = 0.70), IMF (p = 0.91), Protein (p = 0.77), NPN (p = 0.43), Proteolysis index (p = 0.39), Salt (p = 0.51), aw (p = 0.45) |
| Dry-cured belly | Dry matter (p = 0.18), IMF (p = 0.76), Protein (p = 0.99), NPN (p = 0.93), Proteolysis index (p = 0.61), Salt (p = 0.42) |
| Objective color | |
| LT muscle | Lightness (p = 0.32), Redness (p = 0.60), Yellowness (p = 0.85), C* (p = 0.37), h° (p = 0.72) |
| Dry-cured ham—BF muscle | Lightness (p = 0.94), Redness (p = 0.80), Yellowness (p = 0.48), C* (p = 0.89), h° (p = 0.89) |
| Dry-cured ham—SM muscle | Lightness (p = 0.20), Redness (p = 0.94), Yellowness (p = 0.06), C* (p = 0.18), h° (p = 0.08) |
| Dry-cured ham—fat | Lightness (p = 0.79), Redness (p = 0.67), Yellowness (p = 0.89), C* (p = 0.71), h° (p = 0.17) |
| Oxidative stability | |
| LT muscle | Carbonyl groups (p = 0.92) |
| Backfat | Rancimat (p = 0.28) |
| Dry-cured ham—BF muscle | TBARS (p = 0.51) |
| Dry-cured ham—fat | Rancimat (p = 0.38) |
| Dry-cured belly | Rancimat (p = 0.38) |
© 2020 by the authors. Licensee MDPI, Basel, Switzerland. This article is an open access article distributed under the terms and conditions of the Creative Commons Attribution (CC BY) license (http://creativecommons.org/licenses/by/4.0/).
Share and Cite
Tomažin, U.; Škrlep, M.; Prevolnik Povše, M.; Batorek-Lukač, N.; Karolyi, D.; Červek, M.; Čandek-Potokar, M. The Effect of Supplementing Pig Diet with Chestnut Wood Extract or Hops on Fresh Meat and Dry-Cured Products. Appl. Sci. 2020, 10, 6922. https://doi.org/10.3390/app10196922
Tomažin U, Škrlep M, Prevolnik Povše M, Batorek-Lukač N, Karolyi D, Červek M, Čandek-Potokar M. The Effect of Supplementing Pig Diet with Chestnut Wood Extract or Hops on Fresh Meat and Dry-Cured Products. Applied Sciences. 2020; 10(19):6922. https://doi.org/10.3390/app10196922
Chicago/Turabian StyleTomažin, Urška, Martin Škrlep, Maja Prevolnik Povše, Nina Batorek-Lukač, Danijel Karolyi, Matjaž Červek, and Marjeta Čandek-Potokar. 2020. "The Effect of Supplementing Pig Diet with Chestnut Wood Extract or Hops on Fresh Meat and Dry-Cured Products" Applied Sciences 10, no. 19: 6922. https://doi.org/10.3390/app10196922
APA StyleTomažin, U., Škrlep, M., Prevolnik Povše, M., Batorek-Lukač, N., Karolyi, D., Červek, M., & Čandek-Potokar, M. (2020). The Effect of Supplementing Pig Diet with Chestnut Wood Extract or Hops on Fresh Meat and Dry-Cured Products. Applied Sciences, 10(19), 6922. https://doi.org/10.3390/app10196922

