Artificial Intelligence Prediction of Rutting and Fatigue Parameters in Modified Asphalt Binders
Abstract
1. Introduction
2. Materials and Methods
2.1. Case Studies
2.2. Data Preparation and Model Architecture
2.3. Research Model
2.4. Model Evaluation Criteria
3. Results and Discussion
3.1. Prediction of Rutting Parameter (G*/sinδ) Using Unaged Parameters
3.2. Prediction of Fatigue Parameter (G*.sinδ) Using Unaged Parameters
3.3. Prediction of Fatigue Parameter (G*.sinδ) Using Short-Term Aged Parameters
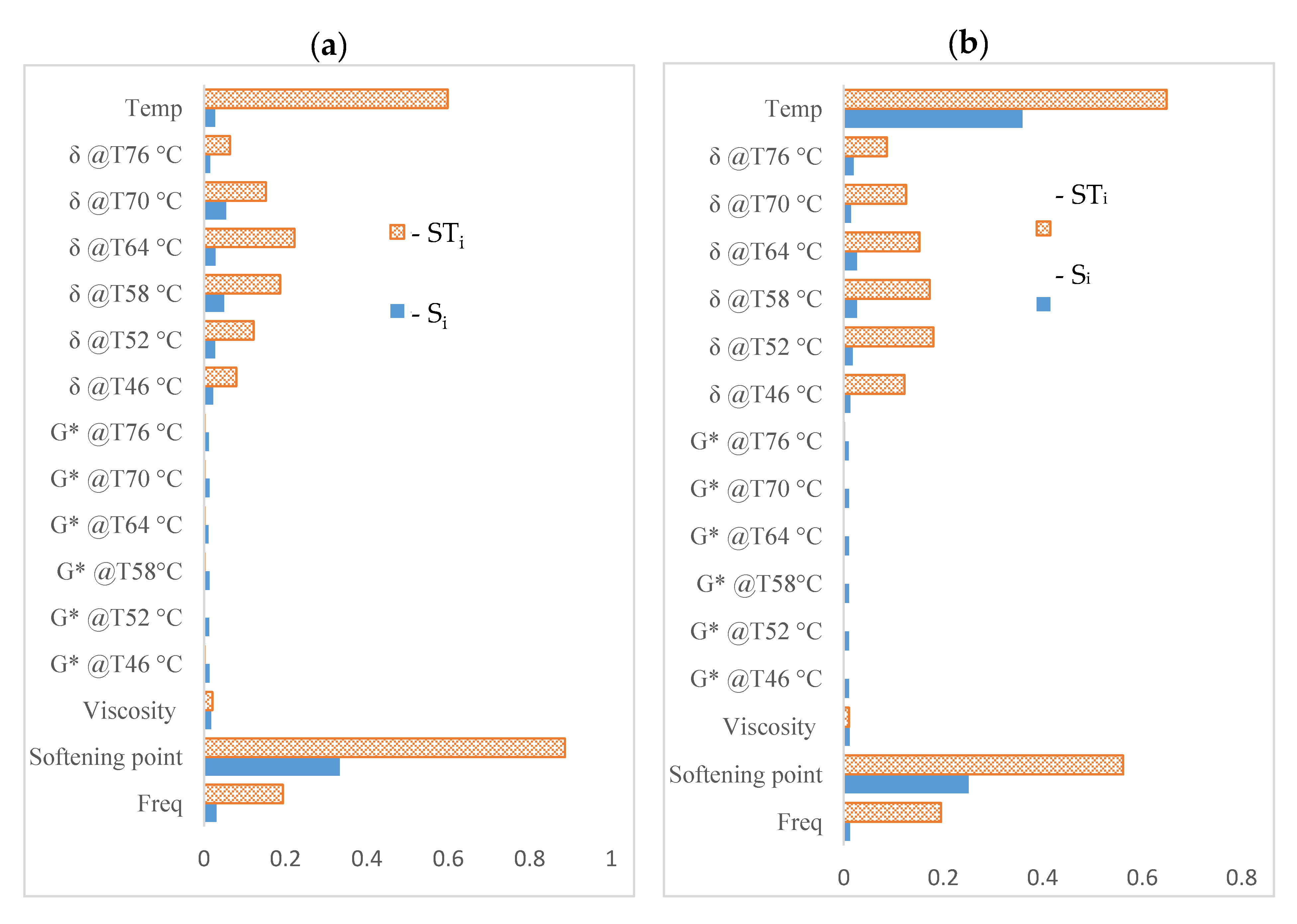
3.4. Parameter Sensitivity Analysis
3.4.1. Sensitivity Analysis of Rutting Model Parameters
3.4.2. Sensitivity Analysis of Fatigue Model Parameters
4. Conclusions
- Prediction of rutting parameter with unaged variables yielded a significant higher accuracy of 97% correlation with measure values with the GPR model on the simulation dataset.
- The selected input variables and database was not sufficient to predict fatigue parameters at intermediate temperature. This resulted to underestimation of the fatigue parameter in Case Studies 2 and 3.
- The results further indicated that the unaged input variables have higher reliability in the prediction of fatigue parameters.
- The phase angle, temperature, viscosity and softening point variables have a significant effect on the model output variance.
- The limitation of the proposed model is the need for large and more comprehensive database to adjust its predictive accuracy.
Author Contributions
Funding
Acknowledgments
Conflicts of Interest
References
- Abu El-Maaty Behiry, A.E. Fatigue and rutting lives in flexible pavement. Ain Shams Eng. J. 2012, 3, 367–374. [Google Scholar] [CrossRef]
- Khan, S.; Nagabhushana, M.; Tiwari, D.; Jain, P. Rutting in Flexible Pavement: An Approach of Evaluation with Accelerated Pavement Testing Facility. Procedia Soc. Behav. Sci. 2013, 104, 149–157. [Google Scholar] [CrossRef]
- Mirzababaei, P.; Nejad, F.M.; Vanaei, V. Investigation of rutting performance of asphalt binders containing warm additive. Pet. Sci. Technol. 2016, 35, 79–85. [Google Scholar] [CrossRef]
- Kim, H.; Wagoner, M.P.; Buttlar, W.G. Micromechanical fracture modeling of asphalt concrete using a single-edge notched beam test. Mater. Struct. 2008, 42, 677–689. [Google Scholar] [CrossRef]
- Sani, A.; Hasan, M.R.M.; Shariff, K.A.; Jamshidi, A.; Ibrahim, A.H.; Poovaneshvaran, S. Engineering and microscopic characteristics of natural rubber latex modified binders incorporating silane additive. Int. J. Pavement Eng. 2019, 1–10. [Google Scholar] [CrossRef]
- Rahman, M.; Gassman, S.L. Effect of resilient modulus of undisturbed subgrade soils on pavement rutting. Int. J. Geotech. Eng. 2017, 13, 152–161. [Google Scholar] [CrossRef]
- Brown, E.R.; Kandhal, P.S.; Roberts, F.L.; Kim, Y.R.; Lee, D.-Y.; Kennedy, T.W. Hot Mix Asphalt Materials, Mixture Design and Construction, 3rd ed.; NAPA Research and Education Foundation: Lanhamm, MD, USA, 2009. [Google Scholar]
- Polacco, G.; Filippi, S.; Merusi, F.; Stastna, G. A review of the fundamentals of polymer-modified asphalts: Asphalt/polymer interactions and principles of compatibility. Adv. Colloid Interface Sci. 2015, 224, 72–112. [Google Scholar] [CrossRef]
- Porto, M.; Caputo, P.; Loise, V.; Eskandarsefat, S.; Teltayev, B.; Rossi, C.O. Bitumen and Bitumen Modification: A Review on Latest Advances. Appl. Sci. 2019, 9, 742. [Google Scholar] [CrossRef]
- Alas, M.; Ali, S.I.A. Prediction of the High-Temperature Performance of a Geopolymer Modified Asphalt Binder using Artificial Neural Networks. Int. J. Technol. 2019, 10, 417. [Google Scholar] [CrossRef]
- Kök, B.V.; Yilmaz, M.; Sengoz, B.; Sengur, A.; Avci, E. Investigation of complex modulus of base and SBS modified bitumen with artificial neural networks. Expert Syst. Appl. 2010, 37, 7775–7780. [Google Scholar] [CrossRef]
- Yan, K.; You, L. Investigation of complex modulus of asphalt mastic by artificial neural networks. Indian J. Eng. Mater. Sci. 2014, 21, 445–450. [Google Scholar]
- Cui, L.; Yang, S.; Chen, F.; Ming, Z.; Lu, N.; Qin, J. A survey on application of machine learning for Internet of Things. Int. J. Mach. Learn. Cybern. 2018, 9, 1399–1417. [Google Scholar] [CrossRef]
- Bjornson, E.; Giselsson, P. Two Applications of Deep Learning in the Physical Layer of Communication Systems [Lecture Notes]. IEEE Signal Process. Mag. 2020, 37, 134–140. [Google Scholar] [CrossRef]
- Qin, Z.; Ye, H.; Li, G.Y.; Juang, B.-H.F. Deep Learning in Physical Layer Communications. IEEE Wirel. Commun. 2019, 26, 93–99. [Google Scholar] [CrossRef]
- Voulodimos, A.; Doulamis, N.; Doulamis, A.; Protopapadakis, E. Deep Learning for Computer Vision: A Brief Review. Comput. Intell. Neurosci. 2018, 2018, 7068349. [Google Scholar] [CrossRef]
- Pingel, J.; Ha, G. Deep Learning for Computer Vision. Available online: https://www.mathworks.com/videos/deep-learning-for-computer-vision-120997.html (accessed on 29 June 2019).
- Li, S.; Zhao, X. Image-Based Concrete Crack Detection Using Convolutional Neural Network and Exhaustive Search Technique. Adv. Civ. Eng. 2019, 2019, 6520620. [Google Scholar] [CrossRef]
- Guo, Y.; Liu, Y.; Oerlemans, A.; Lao, S.; Wu, S.; Lew, M.S. Deep learning for visual understanding: A review. Neurocomputing 2016, 187, 27–48. [Google Scholar] [CrossRef]
- Cao, C.; Liu, F.; Tan, H.; Song, D.; Shu, W.; Li, W.; Zhou, Y.; Bo, X.; Xie, Z. Deep Learning and Its Applications in Biomedicine. Genom. Proteom. Bioinform. 2018, 16, 17–32. [Google Scholar] [CrossRef]
- Lee, T.-L.; Lin, H.-M.; Lu, Y.-P. Assessment of highway slope failure using neural networks. J. Zhejiang Univ. A 2009, 10, 101–108. [Google Scholar] [CrossRef]
- Martinez-Morales, J.; Palacios-Hernández, E.R.; Velázquez-Carrillo, G.A. Modeling and multi-objective optimization of a gasoline engine using neural networks and evolutionary algorithms. J. Zhejiang Univ. A 2013, 14, 657–670. [Google Scholar] [CrossRef]
- Akpinar, P.; Khashman, A. Intelligent classification system for concrete compressive strength. Procedia Comput. Sci. 2017, 120, 712–718. [Google Scholar] [CrossRef]
- Khashman, A.; Akpinar, P. Non-Destructive Prediction of Concrete Compressive Strength Using Neural Networks. Procedia Comput. Sci. 2017, 108, 2358–2362. [Google Scholar] [CrossRef]
- Xi-Zhao, W.; Qing-Yan, S.; Qing, M.; Jun-Hai, Z. Architecture selection for networks trained with extreme learning machine using localized generalization error model. Neurocomputing 2013, 102, 3–9. [Google Scholar] [CrossRef]
- Berka, P.; Rauch, J.; Zighed, D.A. Data Mining and Medical Knowledge Management: Cases and Applications; IGI Global: Hershey, PA, USA, 2009; ISBN 9781605662183. [Google Scholar]
- Asante-Okyere, S.; Shen, C.; Ziggah, Y.Y.; Rulegeya, M.M.; Zhu, X. Investigating the Predictive Performance of Gaussian Process Regression in Evaluating Reservoir Porosity and Permeability. Energies 2018, 11, 3261. [Google Scholar] [CrossRef]
- Caywood, M.S.; Roberts, D.M.; Colombe, J.B.; Greenwald, H.S.; Weiland, M.Z. Gaussian Process Regression for Predictive But Interpretable Machine Learning Models: An Example of Predicting Mental Workload across Tasks. Front. Hum. Neurosci. 2017, 10, 647. [Google Scholar] [CrossRef]
- Richardson, R.R.; Osborne, M.A.; Howey, D. Gaussian process regression for forecasting battery state of health. J. Power Sources 2017, 357, 209–219. [Google Scholar] [CrossRef]
- Aye, S.; Heyns, P. An integrated Gaussian process regression for prediction of remaining useful life of slow speed bearings based on acoustic emission. Mech. Syst. Signal Process. 2017, 84, 485–498. [Google Scholar] [CrossRef]
- Yu, H.; Wang, Z.; Rezaee, R.; Zhang, Y.; Xiao, L.; Luo, X.; Wang, X.; Zhang, L. The Gaussian Process Regression for TOC Estimation Using Wireline Logs in Shale Gas Reservoirs. In Proceedings of the International Petroleum Technology Conference, Society of Petroleum Engineers (SPE), Bangkok, Thailand, 14–16 November 2016. [Google Scholar]
- Fyfe, C.; Der Wang, T.; Chuang, S.J. Comparing Gaussian Processes and Artificial Neural Networks for Forecasting. In Proceedings of the 9th Joint Conference on Information Sciences (JCIS), Kaohsiung, Taiwan, 8–11 October 2006; Atlantis Press: Amsterdam, The Netherlands, 2006; Volume 2006, pp. 29–32. [Google Scholar]
- Chaurasia, P.; Younis, K.; Qadri, O.S.; Srivastava, G.; Osama, K. Comparison of Gaussian process regression, artificial neural network, and response surface methodology modeling approaches for predicting drying time of mosambi (Citrus limetta) peel. J. Food Process. Eng. 2018, 42, e12966. [Google Scholar] [CrossRef]
- Ghasemi, P.; Aslani, M.; Rollins, S.D.K.; Williams, R.C. Principal Component Neural Networks for Modeling, Prediction, and Optimization of Hot Mix Asphalt Dynamics Modulus. Infrastructures 2019, 4, 53. [Google Scholar] [CrossRef]
- El-Badawy, S.M.; El-Hakim, R.T.A.; Awed, A. Comparing Artificial Neural Networks with Regression Models for Hot-Mix Asphalt Dynamic Modulus Prediction. J. Mater. Civ. Eng. 2018, 30, 04018128. [Google Scholar] [CrossRef]
- Liu, J.; Yan, K.; Liu, J.; Zhao, X. Using Artificial Neural Networks to Predict the Dynamic Modulus of Asphalt Mixtures Containing Recycled Asphalt Shingles. J. Mater. Civ. Eng. 2018, 30, 04018051. [Google Scholar] [CrossRef]
- De Souza, V.M.A. Asphalt pavement classification using smartphone accelerometer and Complexity Invariant Distance. Eng. Appl. Artif. Intell. 2018, 74, 198–211. [Google Scholar] [CrossRef]
- Chen, C.-L.; Tai, C.-L. Adaptive fuzzy color segmentation with neural network for road detections. Eng. Appl. Artif. Intell. 2010, 23, 400–410. [Google Scholar] [CrossRef]
- Daneshvar, D.; Behnood, A. Estimation of the dynamic modulus of asphalt concretes using random forests algorithm. Int. J. Pavement Eng. 2020, 1–11. [Google Scholar] [CrossRef]
- Yu, J. Modification of Dynamic Modulus Predictive Models for Asphalt Mixtures Containing Recycled Asphalt Shingles; Iowa State University: Ames, IA, USA, 2018. [Google Scholar]
- Bari, J.; Witczak, M.W. Development of a new revised version of the Witczak E Predictive Model for hot mix asphalt mixtures. Electron. J. Asph. Paving Technol. 2006, 75, 381–423. [Google Scholar]
- Akpinar, P.; Uwanuakwa, I.D. Intelligent prediction of concrete carbonation depth using neural networks. Bull. Transilv. Univ. Braşov. Ser. III Math. Phys. 2016, 9, 99–108. [Google Scholar]
- Akpınar, P.; Uwanuakwa, I.D. Investigation of the parameters influencing progress of concrete carbonation depth by using artificial neural networks. Mater. Constr. 2020, 70, 209. [Google Scholar] [CrossRef]
- Wu, C.; Chau, K. Prediction of rainfall time series using modular soft computingmethods. Eng. Appl. Artif. Intell. 2013, 26, 997–1007. [Google Scholar] [CrossRef]
- Al, R.; Behera, C.R.; Zubov, A.; Gernaey, K.V.; Sin, G. Meta-modeling based efficient global sensitivity analysis for wastewater treatment plants—An application to the BSM2 model. Comput. Chem. Eng. 2019, 127, 233–246. [Google Scholar] [CrossRef]
- Liu, X.; Ren, Y.; Song, X.; Witarto, W. A global sensitivity analysis method based on the Gauss-Lobatto integration and its application in layered periodic foundations with initial stress. Compos. Struct. 2020, 244, 112297. [Google Scholar] [CrossRef]
- Zhang, X.-Y.; Trame, M.N.; Lesko, L.J.; Schmidt, S. Sobol Sensitivity Analysis: A Tool to Guide the Development and Evaluation of Systems Pharmacology Models. CPT Pharmacomet. Syst. Pharmacol. 2015, 4, 69–79. [Google Scholar] [CrossRef] [PubMed]
- Saltelli, A.; Ratto, M.; Andres, T.; Campolongo, F.; Cariboni, J.; Gatelli, D.; Saisana, M.; Tarantola, S. Global Sensitivity Analysis: The Primer; John Wiley and Sons: Chichester, UK, 2008; ISBN 9780470059975. [Google Scholar]








| Mix Code | Modifier | % Added | Density g/cm3 | Data Point Case Study | ||
|---|---|---|---|---|---|---|
| 1 | 2 | 3 | ||||
| M-SB-3A | SBS D1152 | 3 | 0.40 | 312 | 260 | 260 |
| M-SB-3B | SBS D1101 | 3 | 0.40 | 156 | 130 | 130 |
| M-SB-5A | SBS D1152 | 5 | 0.40 | 464 | 390 | 390 |
| M-SB-5B | SBS D1101 | 5 | 0.40 | 312 | 260 | 260 |
| M-SB-7A | SBS D1152 | 7 | 0.40 | 312 | 260 | 260 |
| M-SBS 1 | SBS D1101 | 7 | 0.40 | 312 | 260 | 260 |
| M-L-3 | Latex | 3 | 0.92 | 54 | 54 | 54 |
| M-L-6 | Latex | 6 | 0.92 | 54 | 54 | 54 |
| Modelling of Rutting with Unaged Binder Inputs | Modelling of Fatigue with Unaged Binder Inputs | Modelling of Fatigue with RTFOT Binder Inputs | ||||||||||
|---|---|---|---|---|---|---|---|---|---|---|---|---|
| Variables | Min | Max | Mean | Std. Deviation | Min | Max | Mean | Std. Deviation | Min | Max | Mean | Std. Deviation |
| Frequency (rad) | 0.63 | 62.80 | 15.06 | 18.44 | 0.63 | 62.80 | 15.06 | 18.44 | 0.63 | 62.80 | 15.06 | 18.44 |
| Softening point (°C) | 50.00 | 70.25 | 57.63 | 6.82 | 50.00 | 70.00 | 57.63 | 6.82 | 54.00 | 79.00 | 62.17 | 8.16 |
| Viscosity (Pas) | 1131.50 | 3204.30 | 1926.99 | 689.74 | 1132.00 | 3204.00 | 1926.99 | 689.78 | 1131.50 | 3204.30 | 1926.99 | 689.78 |
| G* @ T46 °C (kPa) | 5070.00 | 294,000.00 | 78,123.08 | 72,387.62 | 5070.00 | 294,000.00 | 78,123.08 | 72,391.49 | 12,000.00 | 637,000.00 | 145,668.60 | 135,273.40 |
| G* @ T52 °C (kPa) | 1990.00 | 149,000.00 | 38,442.69 | 36,095.25 | 1990.00 | 149,000.00 | 38,442.69 | 36,097.18 | 4500.00 | 290,000.00 | 70,249.23 | 64,701.79 |
| G* @ T58 °C (kPa) | 775.00 | 79,700.00 | 18,902.45 | 18,644.12 | 775.00 | 79,700.00 | 18,902.45 | 18,645.12 | 1620.00 | 152,000.00 | 32,862.05 | 31,843.26 |
| G* @ T64 °C (kPa) | 333.00 | 48,400.00 | 10,366.33 | 10,690.06 | 333.00 | 48,400.00 | 10,366.33 | 10,690.63 | 690.00 | 75,600.00 | 18,163.12 | 17,692.36 |
| G* @ T70 °C (kPa) | 153.00 | 28,300.00 | 5606.22 | 5897.43 | 153.00 | 28,300.00 | 5606.22 | 5897.74 | 312.00 | 47,800.00 | 9935.94 | 9943.40 |
| G* @ T76 °C (kPa) | 78.50 | 16,500.00 | 3351.97 | 3465.50 | 79.00 | 16,500.00 | 3351.97 | 3465.69 | 156.00 | 27,000.00 | 6029.82 | 5871.54 |
| δ @ T46 °C (°) | 40.10 | 88.90 | 63.10 | 9.07 | 40.00 | 89.00 | 63.10 | 9.07 | 37.20 | 88.40 | 58.48 | 8.38 |
| δ @ T52 °C (°) | 48.50 | 85.30 | 66.63 | 8.12 | 49.00 | 85.00 | 66.63 | 8.13 | 39.00 | 77.40 | 62.14 | 7.82 |
| δ @ T58 °C (°) | 51.40 | 88.20 | 69.54 | 8.54 | 51.00 | 88.00 | 69.54 | 8.54 | 49.00 | 81.90 | 65.52 | 7.18 |
| δ @ T64 °C (°) | 48.00 | 89.80 | 71.68 | 9.55 | 48.00 | 90.00 | 71.68 | 9.55 | 48.60 | 85.60 | 68.41 | 8.52 |
| δ @ T70 °C (°) | 28.40 | 89.60 | 72.02 | 12.74 | 28.00 | 90.00 | 72.02 | 12.74 | 22.80 | 89.60 | 69.34 | 11.85 |
| δ @ T76 °C (°) | 22.80 | 89.90 | 72.15 | 14.77 | 23.00 | 90.00 | 72.15 | 14.77 | 14.30 | 89.90 | 69.17 | 15.95 |
| Temperature °C | 46.00 | 76.10 | 61.00 | 10.25 | 16.00 | 31.00 | 23.20 | 5.57 | 16.00 | 31.20 | 23.20 | 5.56 |
| Output (kPa) | 0.16 | 796.56 | 55.34 | 95.48 | 30,328.00 | 1,555,500.00 | 361,493.90 | 277,693.70 | 30,327.70 | 1,555,500.00 | 361,493.90 | 277,693.70 |
| Model | Training Results | Simulation Results | |||||||
|---|---|---|---|---|---|---|---|---|---|
| 3% Latex Dataset | 6% Latex Dataset | ||||||||
| R2 | RMSE | MAE | R2 | RMSE | MAE | R2 | RMSE | MAE | |
| ANN | 0.96 | 0.024 | 0.013 | 0.99 | 0.007 | 0.006 | 0.96 | 0.012 | 0.008 |
| GPR | 0.95 | 0.026 | 0.012 | 0.97 | 0.015 | 0.008 | 0.97 | 0.010 | 0.007 |
| RNN | 0.97 | 0.019 | 0.010 | 0.96 | 0.016 | 0.008 | 0.96 | 0.008 | 0.005 |
| SVM | 0.95 | 0.028 | 0.013 | 0.95 | 0.016 | 0.012 | 0.95 | 0.011 | 0.008 |
| Model | Training Results | Simulation Results | |||||||
|---|---|---|---|---|---|---|---|---|---|
| 3% Latex Dataset | 6% Latex Dataset | ||||||||
| R2 | RMSE | MAE | R2 | RMSE | MAE | R2 | RMSE | MAE | |
| ANN | 0.98 | 0.028 | 0.020 | 0.49 | 0.116 | 0.090 | 0.70 | 0.039 | 0.032 |
| GPR | 0.96 | 0.036 | 0.024 | 0.60 | 0.120 | 0.019 | 0.76 | 0.38 | 0.032 |
| RNN | 0.98 | 0.028 | 0.020 | 0.61 | 0.142 | 0.121 | 0.70 | 0.071 | 0.061 |
| SVM | 0.96 | 0.037 | 0.025 | 0.49 | 0.116 | 0.090 | 0.70 | 0.039 | 0.032 |
| Model | Training Results | Simulation Results | |||||||
|---|---|---|---|---|---|---|---|---|---|
| 3% Latex Dataset | 6% Latex Dataset | ||||||||
| R2 | RMSE | MAE | R2 | RMSE | MAE | R2 | RMSE | MAE | |
| ANN | 0.98 | 0.027 | 0.019 | 0.50 | 0.225 | 0.214 | 0.68 | 0.044 | 0.035 |
| GPR | 0.96 | 0.036 | 0.025 | 0.60 | 0.136 | 0.116 | 0.64 | 0.050 | 0.040 |
| RNN | 0.97 | 0.029 | 0.021 | 0.52 | 0.132 | 0.110 | 0.71 | 0.077 | 0.063 |
| SVM | 0.96 | 0.035 | 0.025 | 0.50 | 0.201 | 0.187 | 0.66 | 0.045 | 0.036 |
Publisher’s Note: MDPI stays neutral with regard to jurisdictional claims in published maps and institutional affiliations. |
© 2020 by the authors. Licensee MDPI, Basel, Switzerland. This article is an open access article distributed under the terms and conditions of the Creative Commons Attribution (CC BY) license (http://creativecommons.org/licenses/by/4.0/).
Share and Cite
Uwanuakwa, I.D.; Ali, S.I.A.; Hasan, M.R.M.; Akpinar, P.; Sani, A.; Shariff, K.A. Artificial Intelligence Prediction of Rutting and Fatigue Parameters in Modified Asphalt Binders. Appl. Sci. 2020, 10, 7764. https://doi.org/10.3390/app10217764
Uwanuakwa ID, Ali SIA, Hasan MRM, Akpinar P, Sani A, Shariff KA. Artificial Intelligence Prediction of Rutting and Fatigue Parameters in Modified Asphalt Binders. Applied Sciences. 2020; 10(21):7764. https://doi.org/10.3390/app10217764
Chicago/Turabian StyleUwanuakwa, Ikenna D., Shaban Ismael Albrka Ali, Mohd Rosli Mohd Hasan, Pinar Akpinar, Ashiru Sani, and Khairul Anuar Shariff. 2020. "Artificial Intelligence Prediction of Rutting and Fatigue Parameters in Modified Asphalt Binders" Applied Sciences 10, no. 21: 7764. https://doi.org/10.3390/app10217764
APA StyleUwanuakwa, I. D., Ali, S. I. A., Hasan, M. R. M., Akpinar, P., Sani, A., & Shariff, K. A. (2020). Artificial Intelligence Prediction of Rutting and Fatigue Parameters in Modified Asphalt Binders. Applied Sciences, 10(21), 7764. https://doi.org/10.3390/app10217764

