CFD-Rotordynamics Sequential Coupling Simulation Approach for the Flow-Induced Vibration of Rotor System in Centrifugal Pump
Abstract
Featured Application
Abstract
1. Introduction
2. Sequential Coupling Model
2.1. Hypothesis and Simplification
2.2. Overall Model Framework
2.3. CFD Model
2.3.1. Governing Equations
2.3.2. Turbulence Model
2.3.3. Treatment of the Gird of Impeller Zone
2.4. Rotordynamics Model
3. Numerical Calculation Application and Experimental Setup
3.1. Case Examined
3.2. Steady State CFD Model Setup
3.2.1. Mesh Generation and Turbulence Model
3.2.2. MRF Model Setup and Boundary Condition
3.2.3. Solution Setup
3.3. Unsteady State CFD Model Setup
3.4. Rotordynamics Model Setup
3.4.1. Resonance Check
3.4.2. Element Type Selection
3.4.3. Mesh and Material Attribution
3.4.4. Constraint and Load Condition
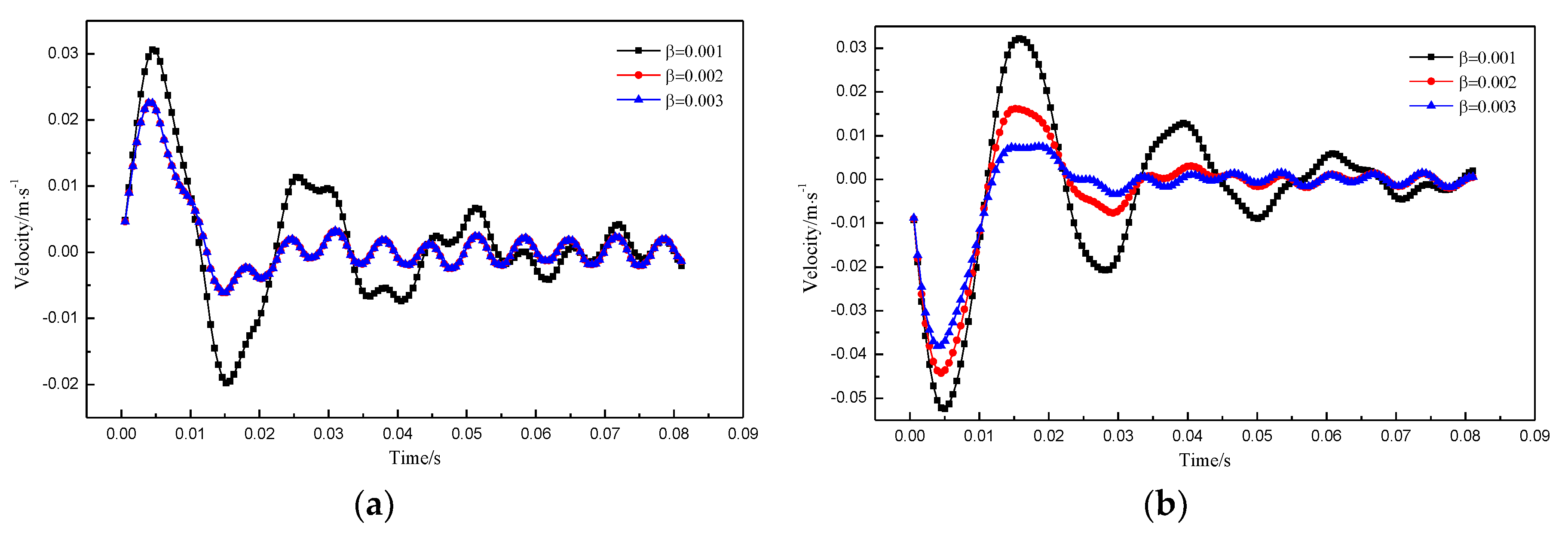
3.4.5. Solution Setup and Damping Coefficient Selection
3.5. Experiment Setup
3.5.1. Hydraulic Performance Test
3.5.2. Vibration Measurement
4. Results Analysis
4.1. Numerical Model Validation
4.1.1. Comparison of Performance Curves
4.1.2. Comparison of Vibration Characteristics of Main Shaft
4.2. Fluctuation of the Hydraulic Radial Force on the Impeller
4.3. Pressure Pulsation Characteristics
4.4. Deformation and Vibration Behaviors of the Main Shaft
4.4.1. Deformation and Stress Distribution
4.4.2. Vibration Behaviors
4.5. Evolution Characters of the Unsteady Flow Field
4.5.1. Flow Fields under Qdes
4.5.2. Flow Fields under Q0.6 and Q1.4
5. Discussion
6. Conclusions
7. Patents
Author Contributions
Funding
Acknowledgments
Conflicts of Interest
Nomenclature
| A | [m2] | Area |
| b2 | [m] | Impeller outlet width |
| [C] | Damping matrix | |
| Ch | Head coefficient () | |
| Cq | Flow coefficient () | |
| Pressure fluctuation intensity coefficient | ||
| D1 | [m] | Impeller inlet diameter |
| D2 | [m] | Impeller outlet diameter |
| F | [N] | Force |
| F1 | Function value of the SST k-ω turbulence model | |
| Fk | [N] | Geostrophic force |
| f | [N·m−3] | Body force |
| fBPF | [Hz] | Blade passing frequency |
| fn | [Hz] | Shaft rotating frequency |
| [G] | Gyroscopic matrix | |
| g | [m·s−2] | Gravity constant |
| H | [m] | Head |
| Hdes | [m] | Rated head |
| [K] | Stiffness matrix | |
| [M] | Mass matrix | |
| m | [kg] | Mass |
| NPSHr | [m] | Required net positive suction head |
| n | [rev min−1] | Rotating speed |
| ndes | [rev min−1] | Rated rotating speed |
| ns | Specific speed () | |
| p | [Pa] | Pressure |
| Pi | [Pa] | Total pressure of the inlet |
| Po | [Pa] | Total pressure of the outlet |
| Pref | [Pa] | Reference pressure |
| Q | [m3/h] | Volume flow |
| Qdes | [m3/h] | Rated flow |
| Qζ | [m3/h] | Flow rate (subscript ζ represents the flow ratio with Qdes) |
| SΦ | Source term of flow scalar | |
| T | [N m] | Torque |
| t | [s] | Time |
| {U} | Displacement matrix | |
| u | [m·s−1] | Fluid velocity |
| Ug | [m·s−1] | Mesh velocity |
| u2 | [m·s−1] | Circumferential speed at the impeller outlet (=πD2n/60) |
| V | [m3] | Volume |
| v | [m·s−1] | Solid velocity |
| [m·s−1] | Solid velocity relative to the reference rotating frame | |
| Z | Number of blades | |
| α | Mass damping coefficient | |
| β | Stiffness damping coefficient | |
| [s] | Time step | |
| ΔZ | [m] | Height difference |
| η | Efficiency | |
| µ | [kg·m−1·s−1] | Effective viscosity |
| ρ | kg·m−3 | Density |
| Φ | General flow scalar for an arbitrary control volume | |
| φ | Coefficients of the SST k-ω turbulence model | |
| φ1 | Coefficients of the SST k-ω turbulence model | |
| φ2 | Coefficients of the SST k-ω turbulence model | |
| ψ | Diffusion coefficient of flow scalar | |
| ωr | [rad/s] | Angular velocity |
Appendix A
References
- Zhang, H.H.; Deng, S.X.; Qu, Y.J. High working efficiency of rapid custom design. World Pumps 2016, 3, 34–36. [Google Scholar] [CrossRef]
- Shankar, A.; Kalaiselvan, V.; Umashankar; Subramaniam; Paramasivam; Shanmugamb; Hanigovszkic, N. A comprehensive review on energy efficiency enhancement initiatives in centrifugal pumping system. Appl. Energy 2016, 181, 495–513. [Google Scholar] [CrossRef]
- Wang, Z.Y.; Qian, Z.D. Effects of concentration and size of silt particles on the performance of a double-suction centrifugal pump. Energy 2017, 123, 36–46. [Google Scholar] [CrossRef]
- Goman, V.; Oshurbekov, S.; Kazakbaev, V.; Prakht, V.; Dmitrievskii, V. Energy efficiency analysis of fixed-speed pump drives with various types of motors. Appl. Sci. 2019, 9, 5295. [Google Scholar] [CrossRef]
- Liu, Y.B.; Tan, L.; Wang, B.B. A review of tip clearance in propeller, pump and turbine. Energies 2018, 11, 2202. [Google Scholar] [CrossRef]
- Adamkowski, A.; Henke, A.; Lewandowski, M. Resonance of torsional vibrations of centrifugal pump shafts due to cavitation erosion of pump impellers. Eng. Fail. Anal. 2016, 70, 56–72. [Google Scholar] [CrossRef]
- Fakhari, V.; Shokrollahi, S. A theoretical and experimental disturbance analysis in a product of inertia measurement system. Measurement 2017, 107, 143–152. [Google Scholar] [CrossRef]
- Tresser, S.; Dolev, A.; Bucher, I. Dynamic balancing of super-critical rotating structures using slow-speed data via parametric excitation. J. Sound Vib. 2018, 415, 59–77. [Google Scholar] [CrossRef]
- Wang, K.; Liu, H.L.; Zhou, X.H.; Wang, W.B. Experimental research on pressure fluctuation and vibration in a mixed flow pump. J. Mech. Sci. Technol. 2016, 30, 179–184. [Google Scholar] [CrossRef]
- Zhang, N.; Liu, X.K.; Gao, B.; Xia, B. DDES analysis of the unsteady wake flow and its evolution of a centrifugal pump. Renew. Energy 2019, 141, 570–582. [Google Scholar] [CrossRef]
- Zhang, N.; Liu, X.K.; Gao, B.; Wang, X.J.; Xia, B. Effects of modifying the blade trailing edge profile on unsteady pressure pulsations and flow structures in a centrifugal pump. Int. J. Heat Fluid Flow 2019, 75, 227–238. [Google Scholar] [CrossRef]
- Wang, L.K.; Lu, J.L.; Liao, W.L.; Zhao, Y.P.; Wang, W. Numerical simulation of the tip leakage vortex characteristics in a semi-open centrifugal pump. Appl. Sci. 2019, 9, 5244. [Google Scholar] [CrossRef]
- Kye, B.; Park, K.; Choi, H.; Lee, M.; Kim, J.H. Flow characteristics in a volute-type centrifugal pump using large eddy simulation. Int. J. Heat Fluid Flow 2018, 72, 52–60. [Google Scholar] [CrossRef]
- Pei, J.; Dohmen, H.J.; Yuan, S.Q.; Benra, F.-K. Investigation of unsteady flow-induced impeller oscillations of a single-blade pump under off-design conditions. J. Fluids Struct. 2012, 35, 89–104. [Google Scholar] [CrossRef]
- Degroote, J. Partitioned simulation of fluid-structure interaction. Arch. Comput. Methods Eng. 2013, 20, 185–238. [Google Scholar] [CrossRef]
- Benra, F.-K. Numerical and experimental investigation on the flow induced oscillations of a single-blade pump impeller. ASME J. Fluids Eng. 2006, 128, 783–793. [Google Scholar] [CrossRef]
- Campbell, R.L.; Paterson, E.G. Fluid–structure interaction analysis of flexible turbomachinery. J. Fluids Struct. 2011, 27, 1376–1391. [Google Scholar] [CrossRef]
- Kan, K.; Zheng, Y.; Zhang, X.; Yang, C.X.; Zhang, Y.Q. Numerical study on unidirectional fluid-solid coupling of Francis turbine runner. Adv. Mech. Eng. 2015, 7. [Google Scholar] [CrossRef]
- Yin, T.Y.; Pei, J.; Yuan, S.Q.; Osman, M.K.; Wang, J.B.; Wang, W.J. Fluid-structure interaction analysis of an impeller for a high-pressure booster pump for seawater desalination. J. Mech. Sci. Technol. 2017, 31, 5319–5328. [Google Scholar] [CrossRef]
- Pei, J.; Meng, F.; Li, Y.J.; Yuan, S.Q.; Chen, J. Fluid–structure coupling analysis of deformation and stress in impeller of an axial-flow pump with two-way passage. Adv. Mech. Eng. 2016, 8. [Google Scholar] [CrossRef]
- Lu, J.X.; Liu, X.B.; Zeng, Y.Z.; Zhu, B.S.; Hu, B.; Yuan, S.Q.; Hua, H. Detection of the flow state for a centrifugal pump based on vibration. Energies 2019, 12, 3066. [Google Scholar] [CrossRef]
- Sakthivel, N.R.; Nair, B.B.; Elangovan, M.; Sugumaran, V.; Saravanmurugan, S. Comparison of dimensionality reduction techniques for the fault diagnosis of mono block centrifugal pump using vibration signals. Eng. Sci. Technol. Int. J. 2017, 17, 30–38. [Google Scholar] [CrossRef]
- Kumar, A.; Kumar, R. Time-frequency analysis and support vector machine in automatic detection of defect from vibration signal of centrifugal pump. Measurement 2017, 108, 119–133. [Google Scholar] [CrossRef]
- Zhang, H.H.; Deng, S.X.; Qu, Y.J. Differential amplification method for flow structures analysis of centrifugal pump between design and off-design points. J. Cent. South Univ. 2017, 24, 1443–1449. [Google Scholar] [CrossRef]
- Zhang, H.H.; Deng, S.X.; Qu, Y.J. Numerical investigation of periodic fluctuations in energy efficiency in centrifugal pumps at different working points. Energies 2017, 10, 342. [Google Scholar] [CrossRef]
- Menter, F.R. Two-Equation eddy-visocity turbulence models for engineering applications. AIAA J. 1994, 32, 1598–1605. [Google Scholar] [CrossRef]
- Liu, Y.B.; Tan, L. Spatial-temporal evolution of tip leakage vortex in a mixed flow pump with tip clearance. ASME J. Fluids Eng. 2019, 141, 081302. [Google Scholar] [CrossRef]
- Jiang, L.L.; Liu, H.L.; Wang, K.; Shao, C. Effects of radial diffuser outlet pattern on pulsation of sprayer pump. J. Drain. Irrig. Mach. Eng. 2016, 34, 289–293. [Google Scholar]
- Jeffcott, H.H. The lateral vibration of loaded shafts in the neighborhood of a whirling speed. Philos. Mag. 1919, 219, 304–314. [Google Scholar] [CrossRef]
- ANSYS, Inc. ANSYS Help System; ANSYS, Inc.: Canonsburg, PA, USA, 2019. [Google Scholar]
- The International Standards Organization for Standardization. Rotodynamic Pumps—Hydraulic Performance Acceptance Tests—Grades 1, 2 and 3, 2nd ed.; ISO 9906-2012; The International Standards Organization for Standardization: Geneva, Switzerland, 2015. [Google Scholar]
- Standardization Administration of China. Methods of Measuring and Evaluating Vibration of Pumps; GB/T 29531-2013; Standardization Administration of China: Beijing, China, 2013.
- Standardization Administration of China. Mechanical Vibration¾Evaluation of Machine Vibration by Measurements on Non-Rotating Parts¾Part 1: General Guidelines; GB/T 6075.1-2012; Standardization Administration of China: Beijing, China, 2012.
- Luo, Y.Y.; Wang, Z.W.; Liang, Q.W. Stress of Francis turbine runners under fluctuant work conditions. J. Tsinghua Univ. (Sci. Technol.) 2005, 45, 235–237. [Google Scholar]


































| Parameter | Symbol | Value |
|---|---|---|
| Rated flow | Qdes | 620 m3/h |
| Rated head | Hdes | 96 m |
| Rated speed | ndes | 1480 rev min−1 |
| Specific speed | ns | 52 |
| NPSH required | NPSHr | 3.6 m |
| Impeller inlet diameter | D1 | 0.18 m |
| Impeller outlet diameter | D2 | 0.56 m |
| Number of blades | Z | 6 |
| Impeller outlet width | b2 | 0.029 m |
| Parameter | α1 | β | β′ | σk1 | σω1 | α2 | β2 | σk2 | σω2 |
|---|---|---|---|---|---|---|---|---|---|
| Value | 0.556 | 0.075 | 0.09 | 0.85 | 0.5 | 0.44 | 0.828 | 1 | 0.856 |
| Fluid Zone | Element Number | Node Number |
|---|---|---|
| Suction chamber | 974,659 | 801,071 |
| Discharge chamber | 1,261,920 | 1,261,920 |
| Impeller zone | 1,463,735 | 1,463,738 |
| Total | 3,700,314 | 3,526,729 |
| Density (kg m−3) | Elasticity Modulus (Pa) | Poisson’s Ratio |
|---|---|---|
| 7890 | 2.09 × 1011 | 0.269 |
© 2020 by the authors. Licensee MDPI, Basel, Switzerland. This article is an open access article distributed under the terms and conditions of the Creative Commons Attribution (CC BY) license (http://creativecommons.org/licenses/by/4.0/).
Share and Cite
Zhang, H.; You, H.; Lu, H.; Li, K.; Zhang, Z.; Jiang, L. CFD-Rotordynamics Sequential Coupling Simulation Approach for the Flow-Induced Vibration of Rotor System in Centrifugal Pump. Appl. Sci. 2020, 10, 1186. https://doi.org/10.3390/app10031186
Zhang H, You H, Lu H, Li K, Zhang Z, Jiang L. CFD-Rotordynamics Sequential Coupling Simulation Approach for the Flow-Induced Vibration of Rotor System in Centrifugal Pump. Applied Sciences. 2020; 10(3):1186. https://doi.org/10.3390/app10031186
Chicago/Turabian StyleZhang, Hehui, Haolin You, Haishan Lu, Kun Li, Zhiyong Zhang, and Liangxing Jiang. 2020. "CFD-Rotordynamics Sequential Coupling Simulation Approach for the Flow-Induced Vibration of Rotor System in Centrifugal Pump" Applied Sciences 10, no. 3: 1186. https://doi.org/10.3390/app10031186
APA StyleZhang, H., You, H., Lu, H., Li, K., Zhang, Z., & Jiang, L. (2020). CFD-Rotordynamics Sequential Coupling Simulation Approach for the Flow-Induced Vibration of Rotor System in Centrifugal Pump. Applied Sciences, 10(3), 1186. https://doi.org/10.3390/app10031186
