Abstract
Load and resistance factor design (LRFD) is widely used in building codes for reliability design. In the calculation of load and resistance factors, the third-moment method (3M) has been proposed to overcome the shortcomings (e.g., inevitable iterative computation, requirement of probability density functions (PDFs) of random variables) of other methods. With the existing 3M method, the iterative is simplified to one computation, and the PDFs of random variables are not required. In this paper, the computation of load and resistance factors is further simplified to no iterations. Furthermore, the accuracy of the proposed method is proved to be higher than the existing 3M methods. Additionally, with the proposed method, the limitations regarding applicable range in the existing 3M methods are avoided. With several examples, the comparison of the existing 3M method, the ASCE method, the Mori method, and the proposed method is given. The results show that the proposed method is accurate, simple, safe, and saves material.
1. Introduction
Load and resistance factor design (LRFD), as a rational probabilistic approach based on reliability to manage uncertainties in the building process, is widely employed in structural engineering [1,2,3,4,5,6,7]. In the past three decades, several methods for determining load and resistance factors have been developed, of which the first order reliability method (FORM) [8] was frequently used to account for stochastic fracture problems [9,10,11]. FORM is suggested to observe reliability accurately and generally. However, the design point must be firstly determined, and derivative-based iterations have to be used. Furthermore, the probability density functions (PDFs) of random variables are required. Thus, reliability calculated based on FORM is inefficient.
In order to improve the computational efficiency and simultaneously guarantee accurate results, several simplified methods were proposed. According to the Mori method [12], all random variables are assumed to have known PDFs and are transferred into lognormal random variables. The results calculated by applying the Mori method were proved to be highly accurate. In the ASCE method [13], the load factors are well approximated by a simple function, which is valid for a broad range of common probability distributions used to model structural loads. Moment-based methods, being sufficiently accurate and efficient, have been widely used to assess the reliability analytically [14,15,16,17,18]. For example, the existing third-moment (3M) method [19] shows no need for the design point or any assumption of the PDFs of random variables. In this method, the iterative computation of the target mean resistance is simplified to one computation. Then, the load and resistance factors can be easily calculated.
In this paper, the applications of the existing methods (including the ASCE method, the existing 3M method, and the Mori method) are inspected, and a simpler method is proposed. Compared with the existing 3M method [19], in which iterative-based computation is still inevitable, this paper provides a simplified method for the computation of target mean resistance without iteration, by improving the accuracy of computing the mean target resistance. Besides, the comparison of the ASCE method, the existing 3M method, and the proposed method is obtained by employing the load combination and example in the ASCE Standard 7–10 (2.3.2) [13]. The result shows that the ASCE method is easy and safe, but a waste of material.
Generally, the difficulties with the existing methods can be summarized as: (1) for the existing 3M method, iterative-based computation is required. (2) There is a mathematical limitation for the existing 3M method, and its calculation formula is complicated. (3) For the ASCE method, the accuracy of calculation needs to be improved. (4) For the Mori method, the PDFs of some random variables are not always provided, resulting in calculation difficulties. Additionally, the random variables of the Mori method are required to be independent and obey the lognormal distribution.
In light of the aforementioned analysis, it is necessary to develop a simple and accurate method. Therefore, in this paper, a new method for the calculation of load and resistance factors is proposed. The contribution of this paper is mainly reflected in the following points: (1) the calculation processes of three existing methods are summarized. (2) A new model is proposed to avoid the mathematical limitation and to overcome the shortcoming of iterative computation. (3) The feasibility of calculating target mean resistance without iteration of the proposed method is investigated. (4) Based on an example (ASCE 7–10, C2.3.6), the accuracy of the proposed method is investigated. (5) Nine cases with different distribution types are applied to verify the precision of the proposed method.
2. Computation Procedure of Load and Resistance Factors
2.1. Determination of Load and Resistance Factors
Based on the LRFD format, the performance function in structural design can be expressed as:
where ϕ is the resistance factor, γi is the partial load factor applied to load, Rn is the nominal value of the resistance, and Qni is the nominal value of the load.
In reliability-based design, the load and resistance factors ϕ and γi should be determined with a specified reliability, namely target reliability. Therefore, the computation of Equation (1) should be achieved by a performance function, as presented below:
where R and Qi are random variables representing uncertainty in the resistance and load effects, respectively.
For a given target reliability, , or target failure probability, , Equation (2) can be expressed as:
where and Pf are the reliability and the failure probability, respectively.
If R and Qi are mutually independent normal random variables, the second-moment (2M) method is correct and the design formula is expressed as:
where is the 2M reliability index; and are the mean value and standard deviation of the performance function G(X), respectively; and are the mean value and standard deviation of R, respectively; and are the mean value and standard deviation of Qi, respectively.
Substituting Equation (5a,b) in Equation (4), the load and resistance factors can be expressed as:
Comparing Equation (6) with Equation (1), the load and resistance factors can be expressed as:
where VR and VQi are the coefficient of variation for R and Qi, respectively; and are the sensitivity coefficients of R and Qi, respectively, where:
As introduced above, the 2M method is based on the assumption that all of the variables obey normal distribution and are independent of each other. When R and Qi are other random variables, the 2M reliability computed by Equation (5a) is inaccurate. Therefore, other methods were proposed. Typically, the FORM is widely implemented, in which the load and resistance factors can be obtained as:
where R* and Qi* are the values of the variables R and Qi, respectively, at the design point of the FORM.
2.2. Existing 3M Method for the Computation of Load and Resistance Factors
R* and Qi* are obtained using derivative-based iterations, but explicit expressions of R* and Qi* are not available. Some simplifications have been provided to simplify iterative computations. In the existing 3M method based on 3P-lognormal distribution [19], the two-step recursive optimization is used to avoid iterative computation. The process of calculation is presented as follows.
In the existing paper, the third-moment (3M) reliability index is employed as the reliability index for the performance function of Equation (3). Substituting the 3M reliability index in the design format obtains:
where the 3M reliability index, , is expressed as [19]:
where , , and are the skewness of G(X), R, and Si, respectively.
The skewness of random variable can be calculated by:
where and are the mean value and standard deviation of random variable X, respectively.
Substituting Equation (11) into Equation (10), one obtains:
Denoting the right-hand side of Equation (14) as , one obtains:
Equation (15) is equivalent to Equation (10). It indicates that if is at least equal to , will be at least equal to , and the reliability-based design conditions will be satisfied. Hence, and can be regarded as the target values of and , respectively.
Since Equation (15) is equivalent to Equation (10), except that the right-hand side is , the load and resistance factors can be easily obtained by substituting in Equation (6) with . The design formula becomes:
and the load and resistance factors are obtained as:
At the limit state, according to Equation (5a,b), one obtains:
The initial value, , is expressed as [19]:
Based on the discussion above, the target mean resistance calculated using two-step iteration is expressed as:
where is the target mean resistance; is the original target 2M reliability; is the original standard deviation of G(X); and are obtained using Equations (5a,b) and (16).
The steps for determining the load and resistance factors using this method are shown below:
Calculate μR0 using Equation (20).
Calculate , α3Z0, and using Equations (5a,b), (12), and (16), respectively.
Calculate with Equation (21).
Repeat step b with to determine the values of , α3Z, and , which are used to calculate and with Equation (8).
Determine the load and resistance factors with Equation (18a,b).
The shortcomings of steps a–e is that the iterative calculation of , α3Z, and is inevitable. In addition, Equation (16) is complicated. When Equation (11) is used for the calculation of 3M reliability, there is a mathematical limitation, presented as:
where:
2.3. ASCE Method for the Computation of Load and Resistance Factors
In the ASCE method, load factors are well approximated by:
where is the reliability index; is a sensitivity coefficient that is approximately equal to 0.8 when is a principal action and 0.4 when is a companion action. This approximation is valid for a broad range of common probability distributions used to model structural loads. The load factor is an increasing function of the bias in the estimation of the nominal load, the variability in the load, and the target reliability index.
Similarly, the resistance factor that is consistent with the aforementioned load factors are well approximated for most materials by:
where is the sensitivity coefficient equal approximately to 0.7.
2.4. Mori Method for the Computation of Load and Resistance Factors
When and are independent and the lognormal distribution is used to describe all random variables, the performance function is expressed as:
The function of reliability index can be interpreted as:
where and are the mean of and , respectively; and are the variance of and , respectively.
Using the coefficient of variation (V), and can be calculated from the following formula:
Substituting Equation (27) into Equation (4), the load and resistance factors can be expressed as:
Substituting Equations (28) into (30), the load and resistance factors can be expressed as:
and are determined by the iteration computation, as shown by the calculation steps below.
and are the relative weight coefficient of the corresponding loads and resistance, which are expressed as:
,, and are determined by the following functions:
where denotes the cumulative distribution function of the standard normal variable.
is the ratio of the average of the sum of to the average of , which is expressed as:
where is the mean of ; is the nominal value of resistance; is the nominal value of load .
When and are independent but do not follow the lognormal distribution, the distribution types are first required to be transformed into lognormal ones. Then, the calculated results can be acquired based on Equations (26)–(38).
3. Proposition of the New Method
3.1. Computation Process of the Proposed Method
In order to avoid the mathematical limitation of Equation (11), a new model is proposed [20] as:
Obviously, Equation (39) is simpler than Equation (11) without the limitation of applicable range. Since the mathematical inverse function of Equation (39) is nonexistent, an approximate function for is proposed as:
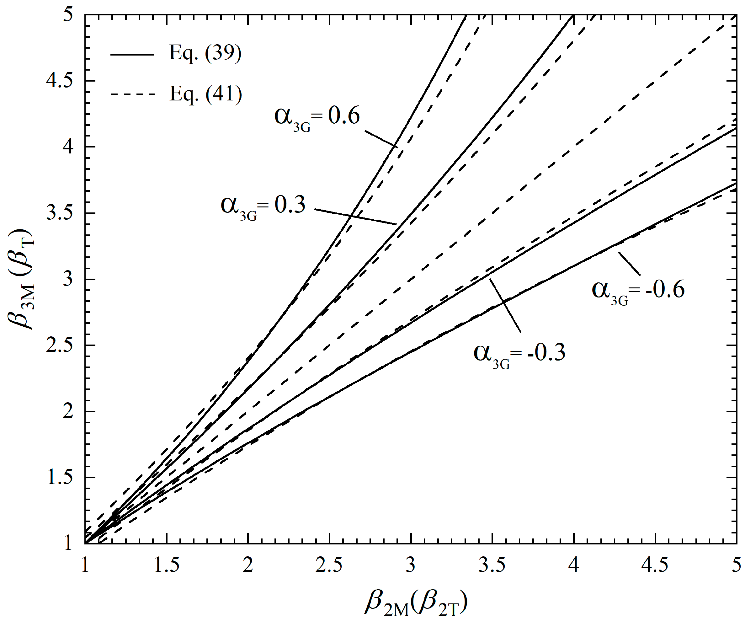
In order to investigate the relativity of Equations (39) and (40), the inverse function of Equation (39) is introduced as:
Only when the results of Equations (39) and (41) are similar, can Equation (40) be assigned as the inverse function of Equation (39). Figure 1 shows the calculated results of Equations (39) and (41), indicating that Equation (39) is in great agreement with Equation (41), with errors certified to be below 7%. Therefore, Equation (40) can be employed as the inverse function of Equation (39).
Figure 1.
Precision testing of Equation (39).
To overcome the shortcoming of iterative computation, the following formula, with better convergence, is proposed to replace Equations (19) and (20):
The steps for determining the load and resistance factors using the new method are shown below:
- Calculate using Equation (42).
- Calculate , α3Z, and using Equations (5a,b), (12) and (40), respectively. Then, calculate and with Equation (8).
- Determine the load and resistance factors with Equation (18a,b).
In the proposed method, there is no need for step c and d in the existing 3M method, that is, iterative calculation is unnecessary. Besides, there is no mathematical limitation in Equation (39).
3.2. Accuracy of the Zero-Iterative-Based Calculation
In order to investigate the feasibility of calculating target resistance without iteration, the following performance function is applied:
where R, D, L, and S are the resistance, dead load, live load, and snow load, respectively. The details (the mean value, , coefficient of variation, , and skewness, ) of the basic variables are shown in Table 1.
Table 1.
Basic random variables for Equation (43).
can be computed using either the proposed method or the existing method introduced in this paper, but with different convergence speeds to obtain . The convergence rates of two methods are shown in Table 2. As presented in Table 2, it is evident that the convergence rate of the proposed formula is faster than the existing one. Besides, compared with computed by Equation (20), the other computed by Equation (42) with the value of 3.27 is far closer to the convergence value of 3.32. In order to simplify the calculated process, calculated by Equation (42) is directly regarded as the target mean resistance, which means iteration is not required in the proposed method.
Table 2.
Convergence of the existing formula and the proposed formula.
To investigate the feasibility of the simplified process, was obtained by applying the proposed method and the existing methods were used to compare to the convergence value, which served as an accurately calculated result, as shown in Figure 2. In the case of the target reliability index being less than 2.5, the calculated result of the proposed method is slightly less than the convergence value and extremely close to that of the existing method, indicating that the accuracy is acceptable. When βT is greater than 2.5, computed by the proposed method is greater than the existing method and the convergence value, but with errors in the acceptable range, which implies that buildings designed with the proposed method are relatively safer. Therefore, the proposed zero-iterative-based calculation is feasible along with the acceptable calculated results.
Figure 2.
Target mean resistance.
4. Comparison of the ASCE Method, the Existing 3M Method, the Proposed Method, and the Mori Method
In order to investigate the accuracy of the proposed method further, the following example is considered (ASCE 7–10, C2.3.6) [13]:
where R, D, L, and S are the resistance, dead load, live load, and snow load, respectively.
The load combination is the same as ASCE 7–10 (combination 2 in 2.3.2). The details (the mean value, coefficient of variation, and skewness) of the basic variables are shown in Table 3. The distribution types are also provided in Table 3 for the Monte-Carlo (MC) simulation in Section 4.
Table 3.
Basic random variables for Equation (44).
Results Comparison of Four Methods
The results of load and resistance factors obtained using different methods are listed in Table 4. The results show that the resistance factors, ϕ, are in great agreement. The results of the dead load factor, , are similar, while the live load factor, , determined using the Mori method is obviously greater than those determined using the other methods, and the snow load factor, , obtained using the Mori method is the smallest one compared to the results obtained using other methods.
Table 4.
Results of load and resistance factors calculated using different methods.
In order to compare the accuracy of the four methods, the MC simulation (100,000 times when and 1,000,000 times when ) is used to calculate the reliability index. For the MC simulation, the calculation of is necessary (e.g., the proposed method):
With the values of ,,, and , the results of the MC simulation are shown in Table 5; reliability of 3.01 of the proposed method is closest to the target reliability of 3.0. Therefore, the proposed method is considered accurate enough. The existing method is also accurate and safe, but with some limitations, and iterative computation is inevitable. The ASCE method is simpler, but the reliability computed by this method is much greater than the target reliability, which is safe but wastes a lot of structural materials. Conversely, the reliability calculated by the Mori method is much smaller than the target reliability, indicating that the design is not safe.
Table 5.
Reliability of MC simulation with different methods.
In ASCE 7–10 (1.5.1), structures are classified into four different risk categories. For different risk categories and damage types, the acceptable reliability indexes (βT =2.5–4.5) are provided in ASCE 7–10 C1.3.1 for a 50-year service period. In this paper, βT =1.0–4.5 is chosen to analyze the application of four different methods.
As shown in Figure 3, load and resistance factors calculated using the existing method, the ASCE method, the proposed method, and the Mori method are inconsistent. In addition, the difference increases with the increase in the target reliability, βT. For resistance factor, the difference among the four methods is slight.
Figure 3.
Load and resistance factors calculated using different methods for βT = 1.0–4.0.
Figure 4 displays the comparison of reliability calculated by different methods for βT = 1.0–4.5. The result of the ASCE method is obviously greater than the other three methods and much greater than the target reliability, while the results of the existing method and the proposed method are close to the target reliability. The reliability calculated with the proposed method is closest to the βT, although it is a little smaller than βT when βT is great.
Figure 4.
Reliability calculated with different methods for βT = 1.0–4.5.
In order to investigate the sensitivity of load in the four methods, the influence of the snow load (Sn/Dn = 0.5–2.5) and dead load (Ln/Dn = 0.5–2.5) is considered. As shown in Figure 5, the results of the Mori method are greater than βT when Sn/Dn = 0.5–2.2 and the error is stable. When Sn/Dn = 2.3–2.5, the results become much smaller than βT. The results of the other three methods are much greater than the target reliability 3.0, in which the result of the proposed method is relatively close to 3.0.
Figure 5.
Reliability calculated by different methods for Sn/Dn = 0.5–2.5 (βT = 3).
In Figure 6, the results of the existing method and the proposed method are much closer to βT, compared to the other two methods. In the case of Ln/Dn = 0.5–1.4, the reliability calculated using both methods are greater than βT, and the error of the proposed method is relatively smaller than that of the existing method. In the case of Ln/Dn = 1.5–2.5, the results of the proposed method are slightly smaller than βT, while the reliability calculated using the existing method is slightly greater than βT. For the ASCE method, the reliability increases to a peak when Ln/Dn reaches 0.6, then falls as Ln/Dn increases, especially from 0.6–0.7. The results of the Mori method increase initially in the case of Ln/Dn = 0.5–1.2, and then drop gently until Ln/Dn = 2.2. Afterwards, the reliability inclines sharply from 2.2–2.3, but keeps close to βT from 2.4–fig2.5.
Figure 6.
Reliability calculated by different methods for Ln/Dn = 0.5–2.5 (βT = 2).
In light of Figure 4, Figure 5 and Figure 6, 3M methods achieve higher precision compared to the ASCE method and the Mori method. In Figure 4, it can be seen that the reliabilities calculated by the proposed method and the existing 3M method are close to βT when βT = 1.0–4.5. In Figure 5 and Figure 6, considering the effect of Ln/Dn and Sn/Dn, the reliability obtained using the existing method is moderately greater than βT, but with the inevitable iterative computation for the target mean resistance. Moreover, the existing method cannot be universally deployed due to the limitation of Equation (11). Although reliability computation based on the proposed method might be slightly smaller than βT in some cases, it has two intrinsic advantages: (1) No mathematical limitation; (2) No iteration calculation. Particularly, higher efficiency can be achieved when employing the proposed method for system reliability, and the error is also acceptable. Therefore, the proposed method is considered the most applicable for practical structural reliability design.
5. Influence of Distribution Type on the Result of the Proposed Method
In this example, several distribution types are assigned to observe their influence on the precision of the proposed method. Nine cases with different distribution types are applied, as presented in Table 6, along with different presumed resistances and loads listed in Table 7. Considering = 1.0, 2.0, 3.0, 4.0, the reliability indices calculated using the proposed method are illustrated in Figure 7.
Table 6.
Distribution types of the random variables.
Table 7.
Basic random variable.

Figure 7.
Reliability index () computed using the proposed method.
According to Figure 7a–i, it can be clearly seen that the reliability index β increases with the increase in βT. For βT =1.0–2.0, the results are close to the target reliability in case 1 to 9. For βT =3.0–4.0, the results become smaller than βT except case 7. It shows that a change in distribution type has a moderate effect on the accuracy of the proposed method when βT is great, which needs to be further refined and perfected in future studies.
6. Conclusions
In this paper, a simplified third-moment method for determining the load and resistance factors is proposed. The following conclusions can be drawn:
- The iteration calculation used in the existing 3M methods is cancelled. A new 3M method for the calculation of load and resistance factors is proposed with acceptable accuracy and applicable range. Different from other 3M methods, there is no mathematical limitation in the calculation process.
- To investigate the accuracy of the proposed method, an example from ASCE 7–10 (C2.3.6) is considered. Comparing the results of four different methods with MC simulation (100,000 times), it can be concluded that the proposed method is considered accurate enough.
- In order to verify the application of the new method, βT = 1.0–4.5 is adopted. The result shows that the reliability index calculated by the proposed method is closest to the βT, while the ASCE method and Mori method are much greater than the βT.
- The sensitivity of load in the new method is investigated (with snow load Sn/Dn = 0.5–2.5 and dead load Ln/Dn = 0.5–2.5). The result shows that the proposed method is the most accurate among all methods examined in this paper.
- The influence of distribution type of variables is verified by nine cases. For βT = 1.0–2.0, the reliability index calculated by the new method is very consistent with the target reliability. With the increase in the reliability index, the calculation error increases. Thus, further research is expected.
Author Contributions
Conceptualization, P.L. and J.W.; methodology, J.W.; software, X.Y.; validation, J.W. and X.Y.; formal analysis, X.Y.; investigation, P.L.; resources, W.Z.; data curation, J.W. and X.Y.; writing—original draft preparation, X.Y.; writing—review and editing, X.Y.; visualization, W.Z.; supervision, J.W.; project administration, P.L. and W.Z.; funding acquisition, J.W. and P.L. All authors have read and agreed to the published version of the manuscript.
Funding
This research work was funded by the Open Foundation of National Engineering Laboratory for High Speed Railway Construction (Grant No. HSR202011) and the Basic Research on Science and technology program of Shenzhen (Grant No. JCYJ20170818143541342 and JCYJ20180305123935198).
Institutional Review Board Statement
Not applicable.
Informed Consent Statement
Not applicable.
Data Availability Statement
The data used to support the findings of this study are available from the corresponding author upon request.
Conflicts of Interest
The authors declare no conflict of interest.
References
- Lin, P.; Liu, J. Analysis of resistance factors for LRFD of soil nail walls aigainst external stability failures. Acta Geotech. 2017, 12, 157–169. [Google Scholar] [CrossRef]
- Paikowsky, S.G. NCHRP Report 507 Load and Resistance Factor Design (LRFD) for Deep Foundations; Transportation Research Board: Washington, DC, USA, 2004. [Google Scholar]
- Paikowsky, S.G.; Canniff, M.C.; Lesny, K.; Kisse, A.; Amatya, S.; Muganga, R. NCHRP Report 651 LRFD Design and Construction of Shallow Foundations for Highway Bridge Structures; Transportation Research Board: Washington, DC, USA, 2010. [Google Scholar]
- Salgado, R.; Kim, D. Reliability analysis of load and resistance factor design of slopes. J. Geotech. Geoenviron. Eng. 2014, 140, 57–73. [Google Scholar] [CrossRef]
- Obrien, E.J.; Schmidt, F.; Hajializadeh, D.; Zhou, X.-Y.; Enright, B.; Caprani, C.C.; Wilson, S.; Sheils, E. A review of probabilistic methods of assessment of load effects in bridges. Struct. Saf. 2015, 53, 44–56. [Google Scholar] [CrossRef]
- Ugata, T. Reliability analysis considering skewness of distribution-Simple evaluation of load and resistance factors. J. Struct. Constr. Eng. AIJ 2000, 529, 43–50. (In Japanese) [Google Scholar] [CrossRef][Green Version]
- Bong, K.H. Reliability assessment and design load factors for reinforced concrete containment structures. Reliab. Eng. Syst. Saf. 1998, 62, 235–240. [Google Scholar]
- Melchers, R. Structural Reliability Analysis and Prediction; John Wiley: New York, NY, USA, 1999. [Google Scholar]
- Lopez, R.H.; Beck, A.T. Rbdo methods based on form: A review. J. Braz. Soc. Mech. Sci. Eng. 2012, 34, 506–514. [Google Scholar] [CrossRef]
- Koduru, S.D.; Haukaas, T. Feasibility of form in finite element reliability analysis. Struct. Saf. 2010, 32, 145–153. [Google Scholar] [CrossRef]
- Aoues, Y.; Chateauneuf, A. Benchmark study of numerical methods for reliability-based design optimization. Eng. Optim. 2010, 41, 277–294. [Google Scholar] [CrossRef]
- Mori, Y. Practical method for load and resistance factors for use in limit state design. J. Struct. Constr. Eng. AIJ 2002, 559, 39–46. (In Japanese) [Google Scholar] [CrossRef][Green Version]
- ASCE. Minimum Design Loads for Buildings and Other Structures; ASCE Standard 7–10; ASCE: Reston, VA, USA, 2010. [Google Scholar]
- Ditlevsen, O. Generalized second moment reliability index. J. Struct. Mech. 1979, 7, 435–451. [Google Scholar] [CrossRef]
- Haldar, A.; Mahadevan, S. Probability, Reliability and Statistical Methods in Engineering Design; Wiley: New York, NY, USA, 2000. [Google Scholar]
- Zhao, Y.; Ang, A.H. System reliability assessment by method of moments. J. Struct. Eng. 2003, 129, 1341–1349. [Google Scholar] [CrossRef]
- Zhao, Y.; Lu, Z. Fourth-moment standardization for structural reliability assessment. J. Struct. Eng. ASCE 2007, 133, 916–924. [Google Scholar] [CrossRef]
- Wang, C.; Zhang, H.; Li, Q. Moment-based evaluation of structural reliability. Reliab. Eng. Syst. Saf. 2019, 181, 27–45. [Google Scholar] [CrossRef]
- Zhao, Y.G.; Lu, Z.H. Estimation of load and resistance factors using the third-moment method based on the 3P-lognormal distribution. Front. Archit. Civ. Eng. China 2011, 5, 315–322. [Google Scholar] [CrossRef]
- Wang, J.; Lu, Z.; Saito, T.; Zhang, X.; Zhao, Y. A simple third-moment reliability index. J. Asian Archit. Build. Eng. 2017, 16, 171–178. [Google Scholar] [CrossRef]
Publisher’s Note: MDPI stays neutral with regard to jurisdictional claims in published maps and institutional affiliations. |
© 2021 by the authors. Licensee MDPI, Basel, Switzerland. This article is an open access article distributed under the terms and conditions of the Creative Commons Attribution (CC BY) license (https://creativecommons.org/licenses/by/4.0/).







