Abstract
In this paper, the Caputo-Fabrizio fractional derivative is introduced to investigate the one-dimensional consolidation behavior of viscoelastic soils. Using the Caputo-Fabrizio operator, a novel four-element fractional-derivative model is proposed to capture the viscoelastic properties of the soils, and further the one-dimensional consolidation equation is derived to simulate the consolidation behavior of the soils. Using the techniques of eigenfunction expansion and Laplace transform, a series of analytical solutions are derived to calculate the excess pore-water pressure and the average degree of consolidation of the soils. The total vertical stress in the soil is assumed to change linearly with depth, and its distribution patterns are classified to rectangular pattern, trapezoidal pattern and inverse trapezoidal pattern. Four loading types including instantaneous loading, ramp loading, sinusoidal loading and general cyclic loading are considered. Then, a comparison for several special cases is presented to verify the correctness of the proposed solutions through comparing with existing theories. Moreover, two examples considering ramp and sinusoidal loadings are given to study the consolidation behavior of the viscoelastic soils incorporating the Caputo-Fabrizio fractional derivative.
1. Introduction
As a branch of mathematics, the fractional calculus deals with the generalization of integrals and derivatives to all real (and even complex) orders [1,2]. People have discovered that the fractional calculus can provide more accurate models than the integer calculus to describe the hereditary and memory characteristics of various complex processes and natural phenomena [3]. During the last two decades, the fractional calculus has been widely applied to model the complex processes in the fields of science, engineering and mathematics [1,4,5,6,7], and so on. In particular, since the fractional calculus was firstly used to describe the viscoelasticity and rheology in 1980s, the fractional-derivative model has achieved great success in simulating the viscoelastic behavior of real materials [1,8]. However, the application of the fractional-derivative to the one-dimensional consolidation of the viscoelastic soils is scarce.
In the geotechnical community, the soil consolidation is one of the most common issues [9,10,11,12]. After the seminal work of Terzaghi [9], a considerable number of one-dimensional consolidation models have been proposed to simulate the consolidation process of the soil [13,14,15,16,17]. For obtaining a simplified solution, the one-dimensional consolidation models put forward in the early days treated the soil as a linear elastic material. In reality, the soil generally shows obvious rheological properties during the consolidation process. Afterwards, in order to capture the rheological properties of the soil, some viscoelastic models including Maxwell model, Kelvin-Voigt model, Merchant model, four-element model and generalized Kelvin-Voigt model have been introduced to extend the one-dimensional consolidation model of the soil [13,18,19,20,21]. These consolidation models simulated the rheological properties of the soil using the viscoelastic models with integer derivatives (namely standard viscoelastic model). Recently, the concept of fractional calculus has been introduced to develop the viscoelastic model for describing the rheological phenomena of materials. Gemant [22] put forward a series of fractional-derivative models to study the rheological phenomena. Koeller [2] derived the creep and relaxation functions of the fractional-derivative models. In the geotechnical community, Yin et al. [23,24] proposed a fractional-derivative model to describe the viscoelasticity of the soil samples under triaxial conditions. Zhu et al. [8] adopted a fractional-derivative model to predict the compression properties of the soft clay. Inspired by the above work, Wang et al. [25] introduced a fractional-derivative model to extend the one-dimensional consolidation theory of viscoelastic soil. However, the available fractional-derivative models are usually defined by the Caputo or Riemann-Liouville fractional derivatives with a kernel of power function [26,27,28]. The kernel of power function is investigated to be singular at the end point of the interval [26].
To solve the singularity of the kernel of power function, Caputo and Fabrizio recently put forward a new fractional derivative using the kernel of exponential function [27,28]. This fractional derivative (namely Caputo-Fabrizio fractional derivative) has no singularity and it has been proved to be suitable for some classical physical problems. Using the Caputo-Fabrizio fractional derivative, this paper attempts to establish one-dimensional consolidation model of viscoelastic soils. In order to capture the rheological properties of the soils, the Caputo-Fabrizio operator is adopted to develop a novel four-element fractional-derivative model, and one-dimensional consolidation model is establish to simulate the complex consolidation process of the viscoelastic soils. Using the techniques of eigenfunction expansion and Laplace transform, a series of analytical solutions are derived to calculate the excess pore-water pressure and the average degree of consolidation of the viscoelastic soils. Then, a comparison for several special cases is presented to verify the correctness of the proposed solutions, and two examples are given to investigate the consolidation behavior of the viscoelastic soils.
2. Fundamental Concept
The Riemann-Liouville and Caputo fractional derivatives, respectively, are defined as [1]
where is a given function; is the Gamma function; is the fractional order; is the time; and is a integral variable. The main problem of these two derivatives is that the kernel of power function is singular at the end point (i.e., ) of the interval. To avoid this problem, Caputo and Fabrizio recently proposed a new fractional derivative using a kernel of exponential function [27]. This derivative (namely Caputo-Fabrizio fractional derivative) is defined as [27,28]
where is a normalized function and it can be reasonably given as , for detail see [28]. According to this definition, it is obvious that the new kernel has no singularity. For the case of , Caputo and Fabrizio [27] state that Equation (3) reduces to
On the other hand, for the case of , Equation (3) degenerates into
in addition
where is the Dirac delta function.
Using the Caputo-Fabrizio operator, a fractional-derivative element can be defined as
where , , and stand for the applied stress, corresponding strain, elastic modulus and viscosity coefficient of the fractional-derivative element, respectively; and is a creep time. It is clearly observed that this element will reduce to a linear elastic spring as , whereas becomes an ideal Newtonian dashpot as .
3. Model Formulation
A schematic of the consolidation system consisting of one soil layer is drawn in Figure 1. The thickness of the soil layer is , and the coefficient of vertical permeability of the soil is . The coordinate origin is at the top of the soil layer, and the z-axis is perpendicular to the surface of the soil layer. The time-dependent loading is applied within a limited area of the surface or uniformly distributed on the whole surface. At any time, total vertical stress in soil layer is assumed to change linearly with depth, and its expression is supposed as [15,17]:
where is total vertical stress in soil layer; is a dimensionless parameter controlling the gradient of total vertical stress in soil layer.
Figure 1.
One-dimensional consolidation model of the viscoelastic soils.
On the basis of the hypothesis of 1D consolidation theory [9], the differential equation governing the consolidation process of saturated soils is given by
where and are, respectively, the vertical strain and excess pore-water pressure in the soil layer; and is the unit weight of water.
It is assumed that the top surface of the soil layer is fully permeable, while its bottom base is impermeable. Thus the boundary conditions of Equation (9) can be obtained as
At the initial time, excess pore-water pressure is equal to total vertical stress, thus the initial condition of Equation (9) is given by
According to the principle of effective stress [9], the vertical effective stress in soil layer is given by
By substituting Equation (11) into Equation (12) results in
As shown in Figure 1, a novel four-element fractional-derivative model is developed to describe the rheological characteristics of the viscoelastic soils by employing the fractional-derivative element given by Equation (7). This model consists of an independent spring, an independent fractional-derivative element and a fractional-derivative Kelvin-Voigt body, which is made of a fractional-derivative element in parallel connection with a spring. Herein, the fractional-derivative element is represented by a diamond, which has been adopted by many researchers [8,23,24].
The relationship between the stress and strain of independent spring is
where , and are the stress, strain and modulus of the independent spring, respectively.
The relationship between the stress and strain of independent fractional-derivative element is
where , and stand for the stress, strain and viscosity coefficient of the independent fractional-derivative element, respectively; and is its creep time.
The relationship between the stress and strain of fractional-derivative Kelvin-Voigt body is
where , , and are the stress, strain, modulus and viscosity coefficient of the fractional-derivative Kelvin-Voigt body, respectively; and is its creep time.
The vertical strain of the soil mass is the sum of the strain components of the four-element fractional-derivative model; that is,
The vertical effective stress of the soil mass is equal to the stress components of the four-element fractional-derivative model; that is,
Based on Equations (13)–(18), the initial values of all the strain components in the four-element fractional-derivative model are zero. The Laplace transforms of Equations (14)–(18) produce
where is a Laplace transform operator. The inverse Laplace transform of Equation (19) leads to
Equation (20) gives the stress-strain relationship of the four-element fractional-derivative model. It can be seen that the expression form of Equation (20) is mainly governed by the fractional orders and . For the conditions that the fractional orders are equal to zero or one, as shown in Table 1, the four-element fractional-derivative model will degenerate into several standard models.
Table 1.
Simplifications of the four-element fractional-derivative model.
By substituting Equations (8), (12) and (20) into Equation (9) leads to the governing equation
where is the vertical coefficient of consolidation; is a modulus ratio; and is given by
4. Solution Derivation
The solution to Equation (21), based on eigenfunction expansion, can be expressed as
where , and is the generalized Fourier coefficient that varies with time . Equation (23) satisfies the boundary conditions given in Equation (10).
By substituting Equation (23) into Equation (21), a family of ordinary integro-differential equations can be obtained as
where
Considering the initial condition given in Equation (11), the Laplace transform of Equation (24) yields
where and . Solving for in Equation (26) results in
The inverse Laplace transform into Equation (27) leads to the general solution of Equation (24). The result is
where
Substituting Equation (28) into Equation (23) produces the general solution of excess pore-water pressure in convolution form. The result is
where is a dimensionless loading function given by
and is the maximum of time-dependent loading .
The average degree of consolidation , which is defined by excess pore-water pressure, can be calculated from the following formula:
Substituting Equations (8) and (33) into Equation (35) yields
For instantaneous loading, can be expressed as
By substituting Equation (37) into Equations (33) and (36), the solutions for excess pore-water pressures and average degree of consolidation can be obtained as follows
For ramp loading, can be expressed as
where is the construction time of ramp loading. By substituting Equation (40) into Equations (33) and (36), the solution for excess pore-water pressure and average degree of consolidation can be obtained as the following expressions:
where .
For sinusoidal loading, shown in Figure 2 can be expressed as
where is the period of sinusoidal loading.
Figure 2.
Dimensionless function of sinusoidal loading.
By substituting Equation (43) into Equations (33) and (36), the solutions for the excess pore-water pressures and average degree of consolidation can be obtained as the following expressions:
where
Using the method of generalized Fourier series, for a general cyclic loading shown in Figure 3, can be expressed as
Figure 3.
Dimensionless function for general cyclic loading.
The Fourier coefficients are given by
By substituting Equation (48) into Equations (33) and (36), the solutions for the excess pore-water pressures and average degree of consolidation can be obtained as the following expressions:
where
5. Verification and Discussion
5.1. Verification against Some Special Cases
To verify the proposed solution, the following case study is used. The height of soil layer, coefficient of vertical permeability of soil mass and unite weight of water are assumed as follows: = 6 m, = 10 kN/m3, = 1 × 10−7 m/s. The values of the rheological parameter and fractional order for each viscoelastic model are given in Table 2. Considering that external loading is applied instantly and total vertical stress in soil layer is uniform with depth, Figure 4 illustrates the results of excess pore-water pressure obtained from the proposed solutions and existing solutions of Xie et al. [13], Wang et al. [20] and Terzaghi [9]. Figure 4a gives the distribution of excess pore-water pressure with depth, whereas Figure 4b gives the change of excess pore-water pressure with time factor. It can be obviously observed that the results calculated from the proposed solution show good agreement with those from the existing solutions derived from standard four-element model [13], standard Merchant model [20], standard Maxwell model [13] and linear elastic model [9], respectively, for Case I, II, III and IV. Therefore, the results of the proposed solution and some existing theories are identical. Moreover, the proposed solution is more general to predict the consolidation behavior of viscoelastic soils.
Table 2.
Rheological parameter and fractional order for each viscoelastic model.
Figure 4.
Results of excess pore-water pressure calculated from proposed and existing solutions: (a) Distribution with depth at = 0.1 and (b) Change with time factor at = 0.5.
5.2. Discussion about the Consolidation Behavior
This part presents two examples to discuss the consolidation behavior of viscoelastic soils incorporating the Caputo-Fabrizio fractional derivative. One example is conducted for the ramp loading, and the other one is performed for the sinusoidal loading. In each example, the average degree of consolidation incorporating various parameters is obtained from the proposed solution, and the results are presented as a function of the time factor.
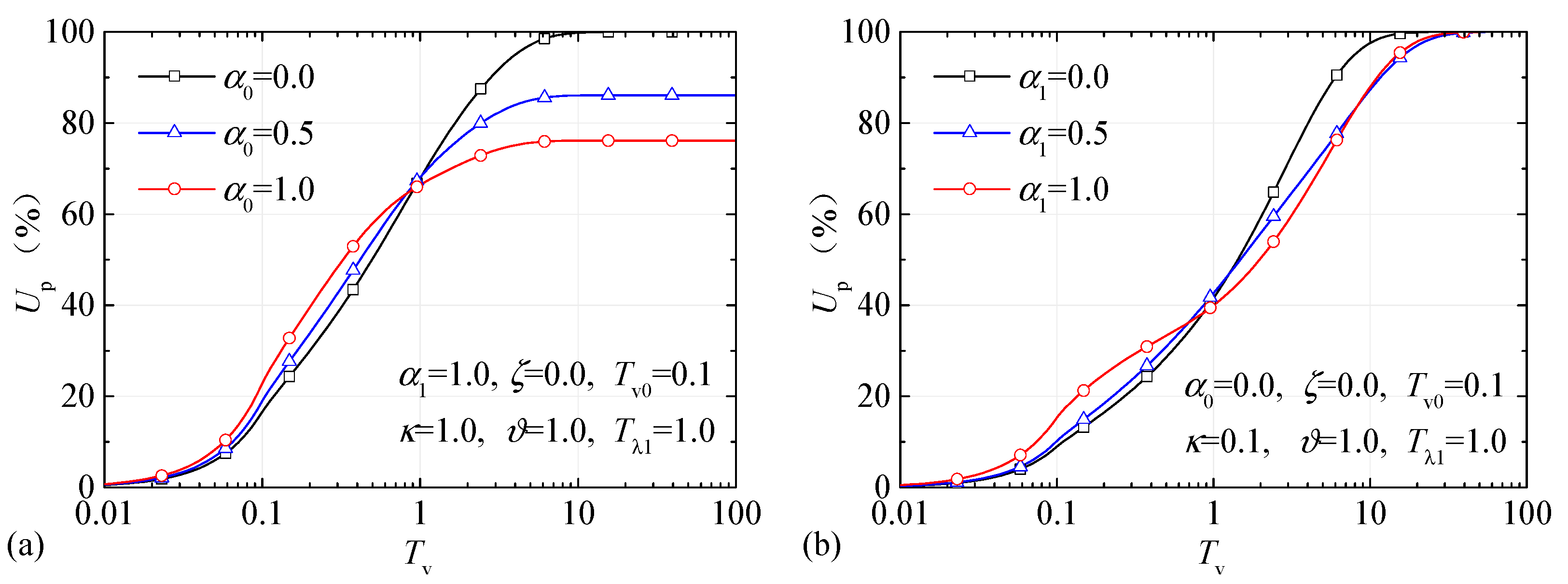
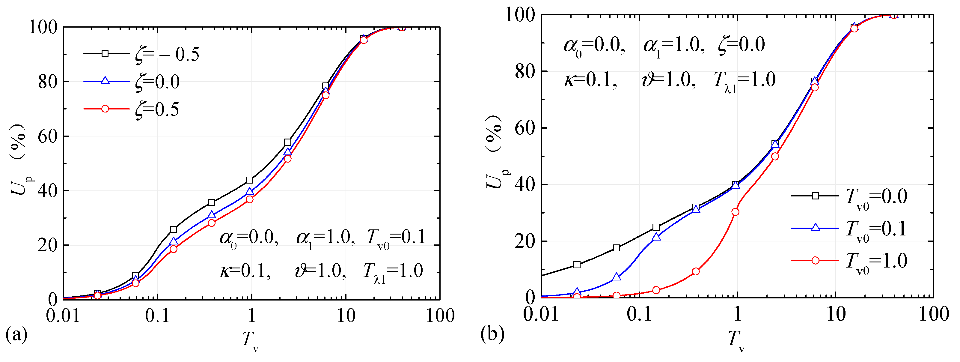
For the case of ramp loading, the proposed solution for average degree of consolidation, which is given in Equation (42), has seven dimensionless parameters governing the consolidation process. These parameters can be classified into three categories, namely fractional orders (i.e., and ), loading parameters (i.e., and ), and rheological parameters (i.e., , and ). and reflect the influence of fractional orders of independent fractional-derivative element and that in fractional-derivative Kelvin-Voigt body, which further represent the fluid characteristic of soil mass. Indeed, higher fractional orders indicate that fluid characteristic of soil mass is more obvious. reflects the influence of distribution pattern of total vertical stress with depth. In practical engineering, total vertical stress is supposed to change linearly with depth according to three types of distribution patterns, i.e., rectangular pattern as , trapezoidal pattern as and inverse trapezoidal pattern as . (=) reflects the influence of construction time . When = 0, ramp loading will become instantaneous loading, and the solution for this condition is given in Equation (39). (=) reflects the influence of modulus ratio between fractional-derivative Kelvin-Voigt body and the independent spring. (=) reflects the influence of viscosity coefficient ratio between fractional-derivative Kelvin-Voigt body and the independent fractional-derivative element. (=) reflects the influence of viscosity coefficient of fractional-derivative Kelvin-Voigt body. By changing the values of these parameters one by one, consolidation behavior of viscoelastic soil under ramp loading is investigated in the following discussion.
Figure 5 illustrates the influence of fractional orders on consolidation behavior under ramp loading. In Figure 5a, changes from 0 to 1 while the other parameters remain constant, and the changes of average degree of consolidation () with time factor are presented. It can be clearly seen that -curves under different intersect each other with the increase in time factor . Higher delivers larger in the early stage, but smaller one at a later stage. This indicates that for higher , excess pore-water pressure dissipates faster in the beginning and then more slowly during consolidation process. Moreover, the ultimate value of gradually decreases with the increase in . In Figure 5b, changes from 0 to 1, and the other parameters remain constant. In comparison with the results obtained under various , the results obtained under different also share similar changing features for -curves. The only difference is that for various , the ultimate value of is the same with each other. These influences demonstrate that fractional orders i.e., fluid characteristic of soil mass has a significant impact on consolidation behavior. More fluid soils consolidate initially rapidly but more slowly at a later stage, and even their ultimate degree of consolidation will become smaller, if fluid characteristic is embodied in the independent fractional rheological element.
Figure 5.
Influence of fractional orders on consolidation behavior under ramp loading: (a) influence of and (b) influence of .
Figure 6 shows the influence of loading parameters on consolidation behavior under ramp loading. In Figure 6a, changes from −0.5 to 0.5, and the other parameters remain constant. Herein three -curves, respectively, are corresponding to three types of distribution patterns of total vertical stress; that is, inverse trapezoidal pattern (), rectangular pattern () and trapezoidal pattern (). It can be clearly observed that the distribution pattern of total vertical stress has an important effect on the consolidation behavior. Inverse trapezoidal pattern brings about the most rapid dissipation of excess pore-water pressure; trapezoidal pattern results in the slowest dissipation of excess pore-water pressure; and under rectangular pattern, the dissipation of excess pore-water pressure falls in between them. During the consolidation process, the differences between three -curves initially increase and reach a maximum at a given time, and then gradually decrease and finally disappear with the increase in time. Figure 6b illustrates the changes of with time factor under various construction times. The construction time factor (i.e., ) varies from 0 to 1, whereas the other parameters remain constant. It can be obviously observed that larger construction time slow down the dissipation of excess pore-water pressure (i.e., reduce ) in the early stage, and then the difference between -curves of various construction times decrease gradually as time increases.
Figure 6.
Influence of loading parameters on consolidation behavior under ramp loading: (a) influence of and (b) influence of .
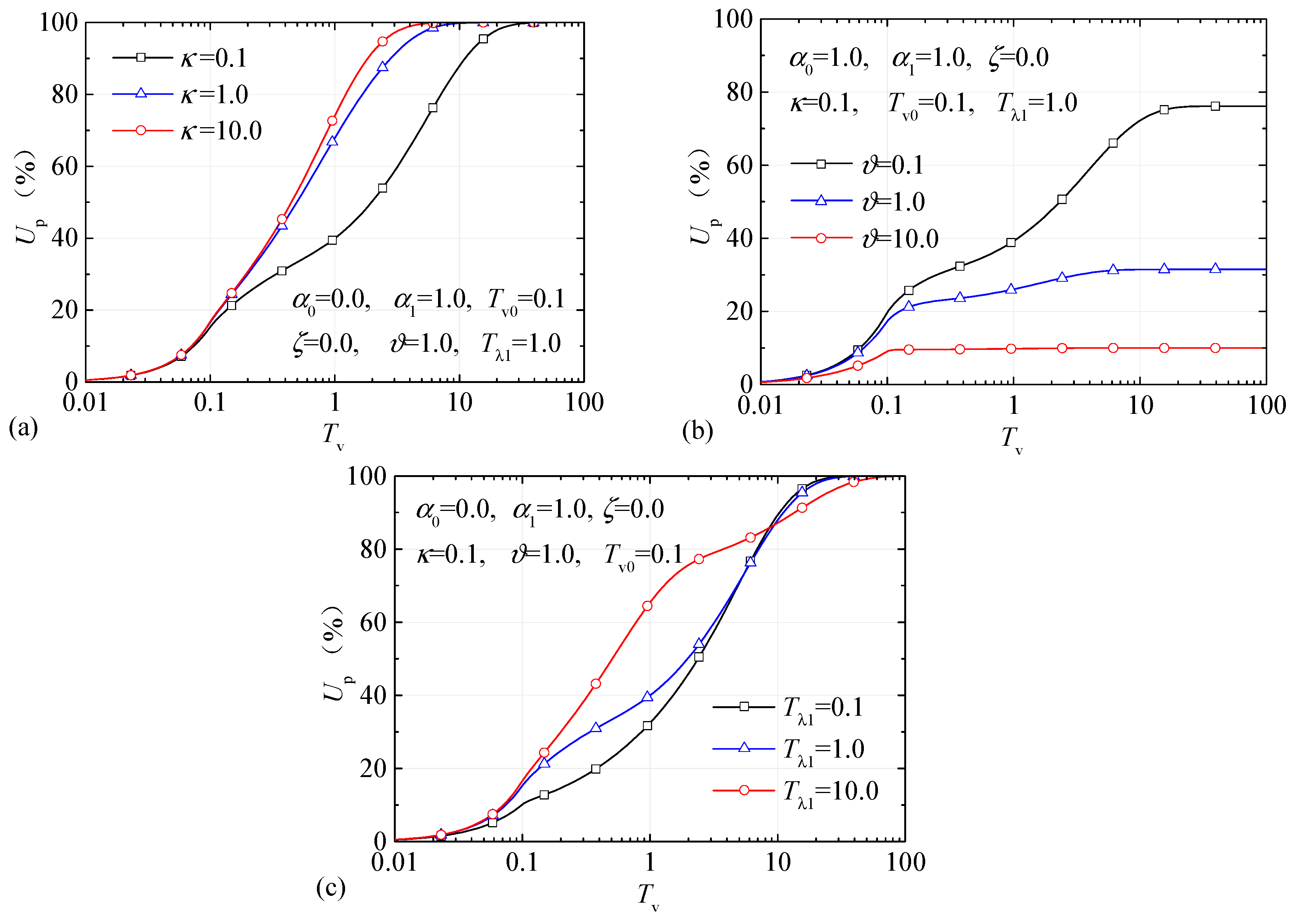
Figure 7 illustrates the influence of rheological parameters on consolidation behavior under ramp loading. The dimensionless parameters (i.e., , and ) varies from 0.1 to 10 one by one, whereas the other parameters remain constant. As observed in Figure 7a, the higher the modulus ratio (i.e., modulus of Kelvin-Voigt body is larger), the faster the dissipation of excess pore-water pressure. Figure 7b indicates that higher viscosity coefficient ratio (i.e., viscosity coefficient of independent fractional-derivative element is smaller) brings about slower dissipation of excess pore-water pressure, and decrease the ultimate consolidation degree as well. Figure 7c shows that -curves under different intersect each other with the increase in time factor . Higher (i.e., the viscosity coefficient of Kelvin-Voigt body is larger) delivers faster dissipation of excess pore-water pressure in the early stage, but more slowly one at a later stage.
Figure 7.
Influence of rheological parameters on consolidation behavior under ramp loading: (a) influence of , (b) influence of and (c) influence of .
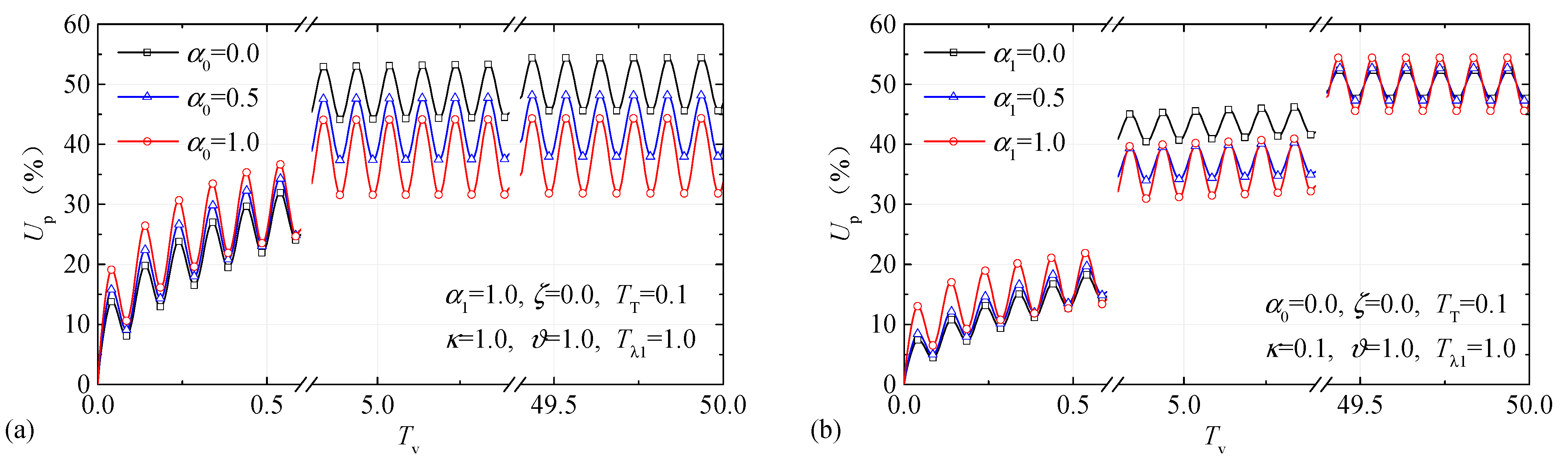
For the case of sinusoidal loading, Equation (45) for average degree of consolidation also has seven governing parameters. All of them are the same as those for the case of ramp loading except the loading parameter (=), which reflects the influence of the period () of sinusoidal loading on consolidation behavior. By changing the values of these parameters individually while holding the others constant, the consolidation behavior of fractional viscoelastic soils under sinusoidal loading is investigated in the following discussion. Figure 8, Figure 9 and Figure 10 illustrate the changes of average degree of consolidation () with the increase in time factor (). It can be observed that the change of under sinusoidal loading is a vibrant process. In each period, maximizes at the beginning of unloading stage, whereas minimizes at the beginning of the next loading stage. Moreover, the maximum and minimum of gradually become stable with the increase in time.
Figure 8.
The influence of fractional orders on consolidation behavior under sinusoidal loading: (a) influence of and (b) influence of .
Figure 9.
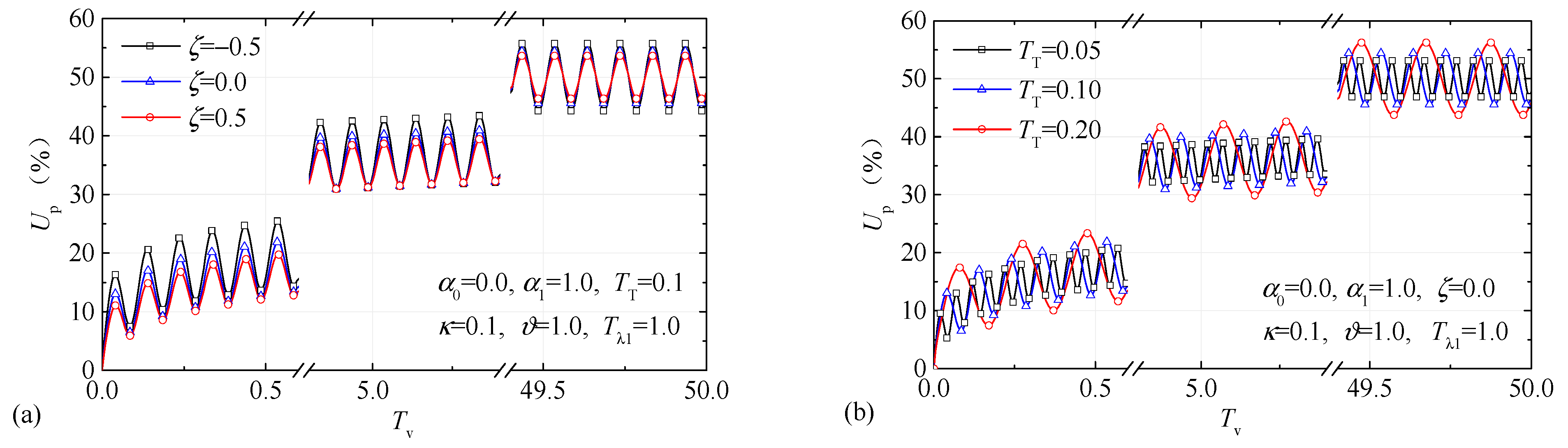
Influence of loading parameters on consolidation behavior under sinusoidal loading: (a) influence of and (b) influence of .
Figure 10.
Influence of rheological parameters on consolidation behavior under sinusoidal loading: (a) influence of , (b) influence of and (c) influence of .
Figure 8 illustrates the influence of fractional orders on consolidation behavior under sinusoidal loading, where and individually vary from 0 to 1, whereas the other parameters remain constant. As observed in Figure 8a,b, curves under various fractional orders intersect each other with the increase in time factor . Higher fractional orders result in faster dissipation of excess pore-water pressure in the early stage, but slower one at a later stage. Within each period, the relative variation of becomes larger with the increase in fractional orders. Moreover, increasing (i.e., fractional order of independent fractional rheological element) gradually decreases the ultimate consolidation degree. However, (i.e., fractional order of Kelvin-Voigt body) has no influence on the ultimate consolidation degree.
Figure 9 shows the influence of loading parameters on consolidation behavior under sinusoidal loading. varying from −0.5 to 0.5 and varying from 0.05 to 0.20, respectively, are taken for the investigations in Figure 9a,b. As observed in Figure 9a, the distribution pattern of total vertical stress has a noteworthy effect on the change of and its relative variation within each period. Inverse trapezoidal pattern () delivers the fastest dissipation of excess pore-water pressure as well as the largest relative variation of within each period; trapezoidal pattern () brings about the slowest dissipation of excess pore-water pressure as well as the smallest relative variation of within each period; and under rectangular pattern (), the dissipation of excess pore-water pressure and the relative variation of fall in between those of two aforementioned patterns. During the consolidation process, the differences between three -curves initially go up to a maximum and then gradually decrease as the time increases. Figure 9b shows that higher period (i.e, lower frequency) delivers a larger relative variation of within each period, but the period has no influence on the stable value of .
Figure 10 illustrates the influence of rheological parameters on consolidation behavior under sinusoidal loading. The conditions that , and individually varying from 0.1 to 10 are taken for the investigations. As observed in Figure 10a, higher modulus ratio results in faster dissipation of excess pore-water pressure in the early stage of consolidation process, and the influence of modulus ratio on the change of gradually reduces with the increase in time. Figure 10b demonstrates that higher viscosity coefficient ratio delivers slower dissipation of excess pore-water pressure as well as smaller ultimate consolidation degree. This influence characteristic is the same as the result for the case of ramp loading.. Figure 10c shows that higher brings about faster dissipation of excess pore-water pressure in the beginning of consolidation process, and then the difference of -curves gradually decreases with the increase in time.
6. Conclusions
In order to capture the viscoelastic behavior of the soils, this paper has introduced the Caputo-Fabrizio fractional derivative to propose a novel four-element fractional-derivative model, and one-dimensional consolidation model has been further established to predict the consolidation behavior of viscoelastic soils. A series of analytical solutions have been derived to calculate the excess pore-water pressure and the average degree of consolidation. A comparison for several special cases has been given to verify the correctness of the proposed solutions, and two examples have been presented to study the consolidation behavior of the viscoelastic soils. The results show that the proposed solutions agree well with the existing theories. When the fractional orders are equal to zero and/or one, the four-element fractional-derivative model will reduce to several standard models, and particularly it allows a great convenience for practical application because of its generality. The fractional orders, loading parameters and rheological parameters have significant influences on the consolidation behavior. Higher fractional order or viscosity coefficient of Kelvin-Voigt body delivers faster dissipation excess pore-water pressure in the early stage, but slower one at a later stage. Inverse trapezoidal pattern of total vertical stress brings about the fastest dissipation of excess pore-water pressure, and trapezoidal pattern results in the slowest one. The consolidation is accelerated with the increase in modulus ration, while slowed down with the increase in viscosity coefficient ratio as well as construction time. The relative variation of consolidation degree under sinusoidal loading becomes larger as the period increases.
Author Contributions
Conceptualization, M.H. and S.Z. (Suhua Zhou); writing—original draft preparation, C.L. and S.Z. (Shuaikang Zhou); writing—review and editing, J.K.; funding acquisition, S.Z. (Suhua Zhou). All authors have read and agreed to the published version of the manuscript.
Funding
This research was partially supported by the National Key Research and Development Plan of China (2016YFC0800200), the Natural Science Foundation of Hunan Province (2019JJ50055), China, the National Natural Science Foundation of China (51708199), the Fundamental Research Funds for the Central Universities (531107050969), and the Science and Technology Infrastructure Program of Guizhou Province (2020-4Y047).
Institutional Review Board Statement
This study did not require ethical approval.
Informed Consent Statement
Not applicable.
Data Availability Statement
No new data were created or analyzed in this study.
Conflicts of Interest
The authors declare no conflict of interest.
References
- Podlubny, I. Fractional Differential Equations; Academic Press: San Diego, CA, USA, 1999. [Google Scholar]
- Koeller, R.C. Application of fractional calculus to the theory of viscoelasticity. J. Appl. Mech. 1984, 51, 299–307. [Google Scholar] [CrossRef]
- Valerio, D.; Machado, J.T.; Kiryakova, V. Some pioneers of the applications of fractional calculus. Fract. Calc. Appl. Anal. 2014, 17, 552–578. [Google Scholar]
- Hei, X.; Chen, W.; Pang, G.; Xiao, R.; Zhang, C. A new visco-elasto-plastic model via time-space fractional derivative. Mech. Time-Depend. Mater. 2018, 22, 129–141. [Google Scholar] [CrossRef]
- Lu, Z.L.; Yu, X.Y. The fractional dynamics of quantum systems. Ann. Phys. 2018, 392, 260–271. [Google Scholar] [CrossRef]
- Khan, A.; Khattar, D.; Agrawal, N. Synchronization of a new fractional order chaotic system. Int. J. Dynam. Control 2018, 6, 1585–1591. [Google Scholar] [CrossRef]
- Zhuravkov, M.A.; Romanova, N.S. Review of methods and approaches for mechanical problem solutions based on fractional calculus. Math. Mech. Solids 2016, 21, 595–620. [Google Scholar] [CrossRef]
- Zhu, H.H.; Zhang, C.C.; Mei, G.X.; Shi, B.; Gao, L. Prediction of one-dimensional compression behavior of Nansha clay using fractional derivatives. Mar. Georesour. Geotechnol. 2016, 35, 688–697. [Google Scholar] [CrossRef]
- Terzaghi, K. Theoretical Soil Mechanics; John Wiley and Sons: New York, NY, USA, 1943. [Google Scholar]
- Schiffman, R.L. Consolidation of soil under time dependent loading and varying permeability. In Highway Research Board Proceeding; Highway Research Board: Washington, DC, USA, 1958; Volume 37, pp. 584–617. [Google Scholar]
- Baligh, M.M.; Levadoux, J.N. Consolidation theory of cyclic loading. J. Geotech. Eng. Div. 1978, 104, 415–431. [Google Scholar]
- Chen, J.Z.; Zhu, X.R.; Xie, K.H.; Pan, Q.Y.; Zeng, G.X. One dimensional consolidation of soft clay under trapezoidal cyclic loading. In Proceedings of the Second International Conference on Soft Soil Engineering, Nanjing, China, 27–30 May 1996; pp. 211–216. [Google Scholar]
- Xie, K.H.; Xie, X.Y.; Li, B.H. Analytical theory for one-dimensional consolidation of clayey soils exhibiting rheological characteristics under time-dependent loading. Int. J. Numer. Anal. Met. Geomech. 2008, 32, 1833–1855. [Google Scholar] [CrossRef]
- Liu, J.C.; Griffiths, D.V. A general solution for 1D consolidation induced by depth- and time-dependent changes in stress. Géotechnique 2015, 65, 66–72. [Google Scholar] [CrossRef]
- Zhu, G.F.; Yin, J.H. Consolidation of soil under depth-dependent ramp load. Can. Geotech. J. 1998, 35, 344–350. [Google Scholar] [CrossRef]
- Lu, M.M.; Xie, K.H.; Wang, S.Y. Consolidation of vertical drain with depth-varying stress induces by multi-stage loading. Comput. Geotech. 2011, 38, 1096–1101. [Google Scholar] [CrossRef]
- Liu, J.C.; Lei, G.H.; Wang, X.D. One-dimensional consolidation of visco-elastic marine clay under depth-varying and time-dependent load. Mar. Georesour. Geotechnol. 2015, 33, 342–352. [Google Scholar] [CrossRef]
- Booker, J.R.; Small, J.C. Finite element analysis of primary and secondary consolidation. Int. J. Solids Struct. 1977, 13, 137–149. [Google Scholar] [CrossRef]
- Cai, Y.Q.; Xu, C.J.; Yuan, H.M. One-dimensional consolidation of layered and visco-elastic soils under arbitrary loading. Appl. Math. Mech. Engl. 2001, 22, 353–360. [Google Scholar] [CrossRef]
- Wang, S.M.; Xia, S.W.; Jiang, J. Study on one-dimensional consolidation behavior of saturated clay under cyclic loading. Rock Soil Mech. 2008, 29, 470–474. [Google Scholar]
- Zhao, W.B. Theory of 1D consolidation of saturated clay modeled with the generalized Voigt model and its application. Chin. J. Geotech. Eng. 1989, 11, 78–85. [Google Scholar]
- Gemant, A. A method of analyzing experimental results obtained from elasto-viscous bodies. J. Appl. Phys. 1936, 7, 311–317. [Google Scholar] [CrossRef]
- Yin, D.S.; Ren, J.J.; He, C.L.; Chen, W. A new rheological model element for geomaterials. Chin. J. Rock Mech. Eng. 2007, 26, 1899–1903. [Google Scholar]
- Yin, D.S.; Wu, H.; Cheng, C.; Chen, Y.Q. Fractional order constitutive model of geomaterials under the condition of triaxial test. Int. J. Numer. Anal. Met. Geomech. 2013, 37, 961–972. [Google Scholar] [CrossRef]
- Wang, L.; Sun, D.A.; Li, P.C.; Xie, Y. Semi-analytical solution for one-dimensional consolidation of fractional derivative viscoelastic saturated soils. Comput. Geotech. 2017, 83, 30–39. [Google Scholar] [CrossRef]
- Atangana, A. On the new fractional derivative and application to nonlinear Fisher’s reaction-diffusion equation. J. Nonlinear Sci. Appl. 2016, 9, 2467–2480. [Google Scholar] [CrossRef]
- Caputo, M.; Fabrizio, M. A new definition of fractional derivative without singular kernel. Progr. Fract. Differ. Appl. 2015, 1, 73–85. [Google Scholar]
- Losada, J.; Nieto, J.J. Properties of a new fractional derivative without singular kernel. Progr. Fract. Differ. Appl. 2015, 1, 87–92. [Google Scholar]
Publisher’s Note: MDPI stays neutral with regard to jurisdictional claims in published maps and institutional affiliations. |
© 2021 by the authors. Licensee MDPI, Basel, Switzerland. This article is an open access article distributed under the terms and conditions of the Creative Commons Attribution (CC BY) license (http://creativecommons.org/licenses/by/4.0/).













