Stress–Strain Strength Characteristics of Undisturbed Granite Residual Soil Considering Different Patterns of Variation of Mean Effective Stress
Abstract
1. Introduction
2. Materials and Methods
2.1. Materials and Specimen Preparation
2.2. Test Program and Procedures
3. Results and Analysis
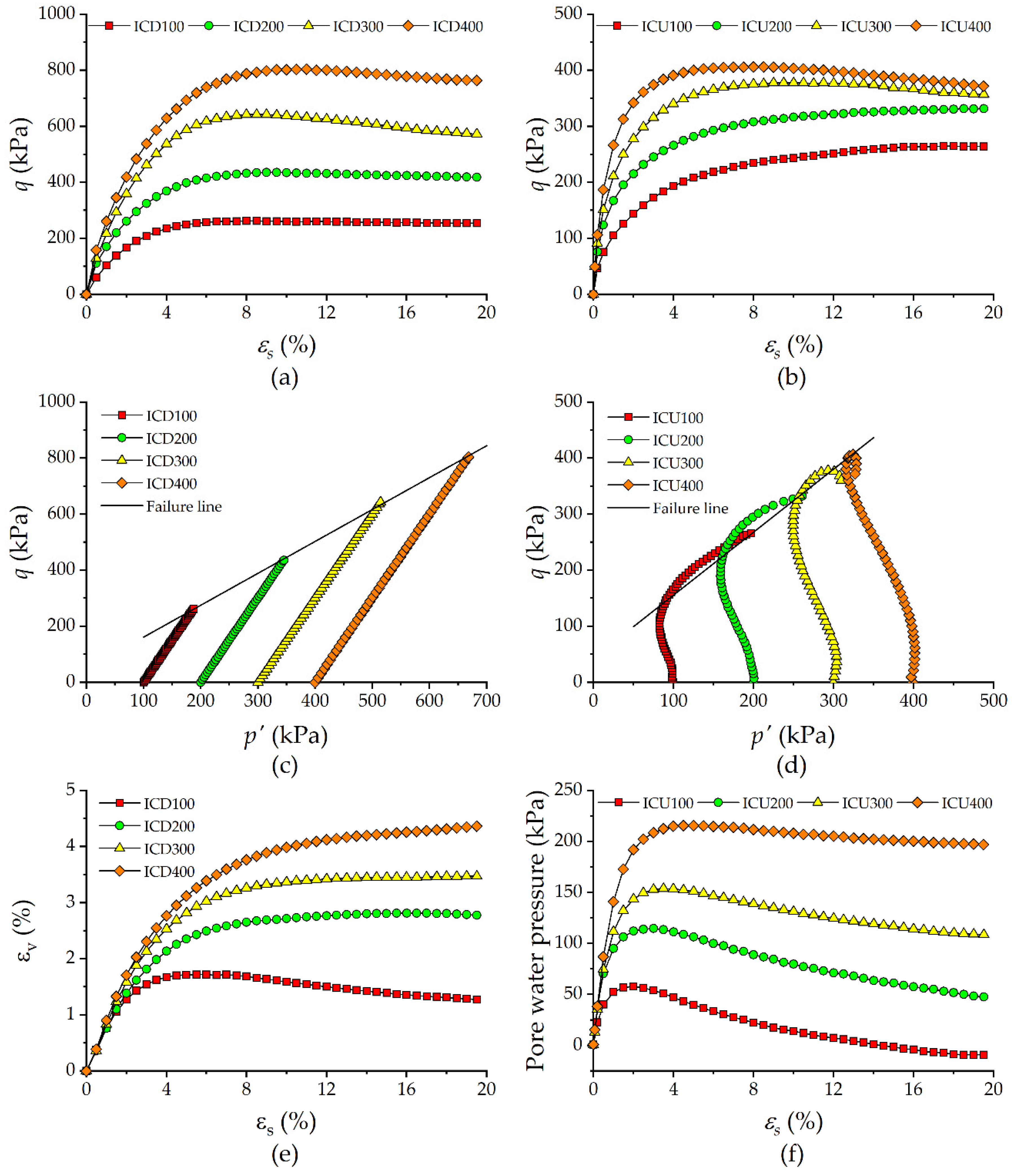
3.1. Behavior of Isotropically Consolidated UGRS
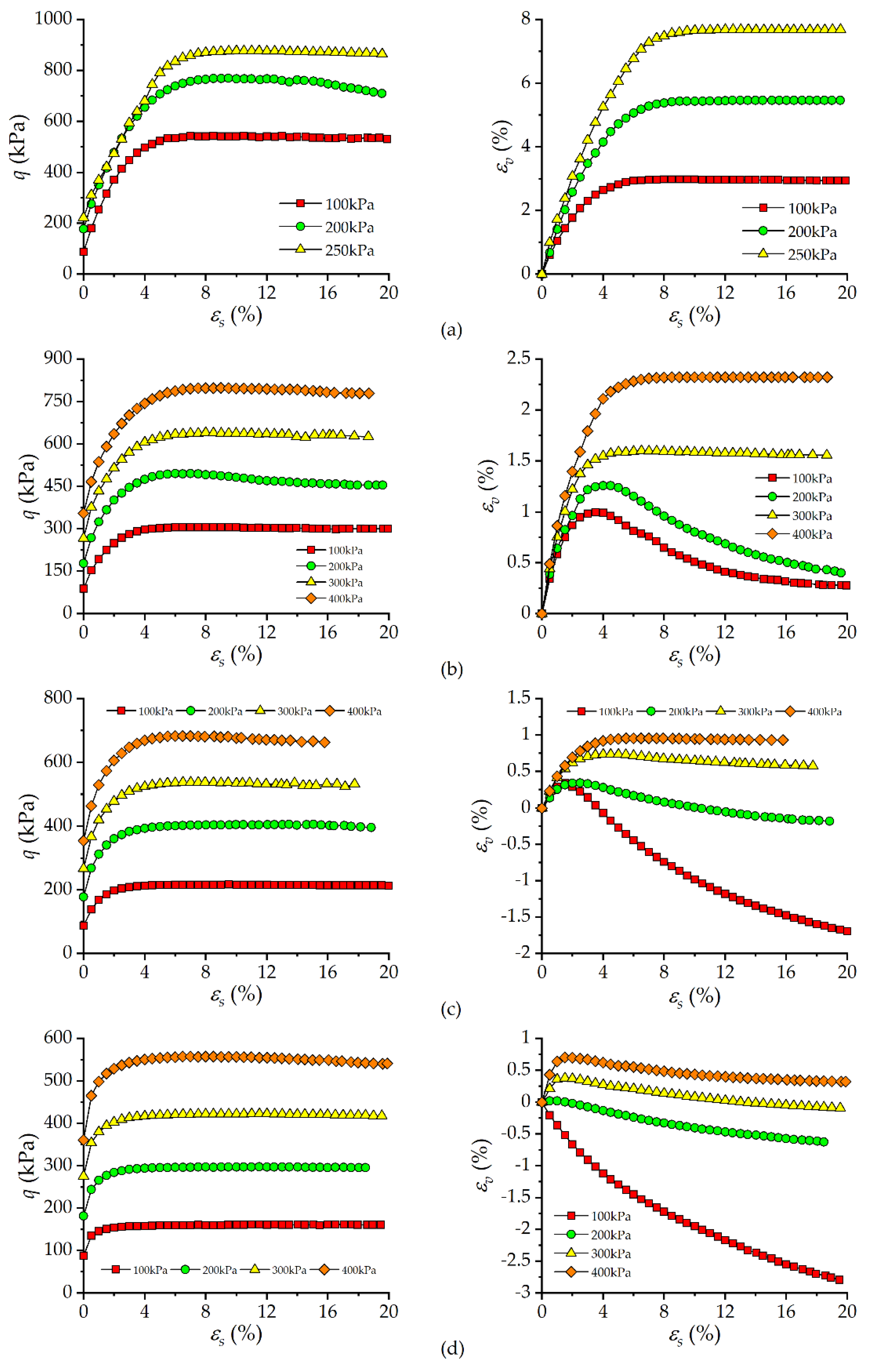
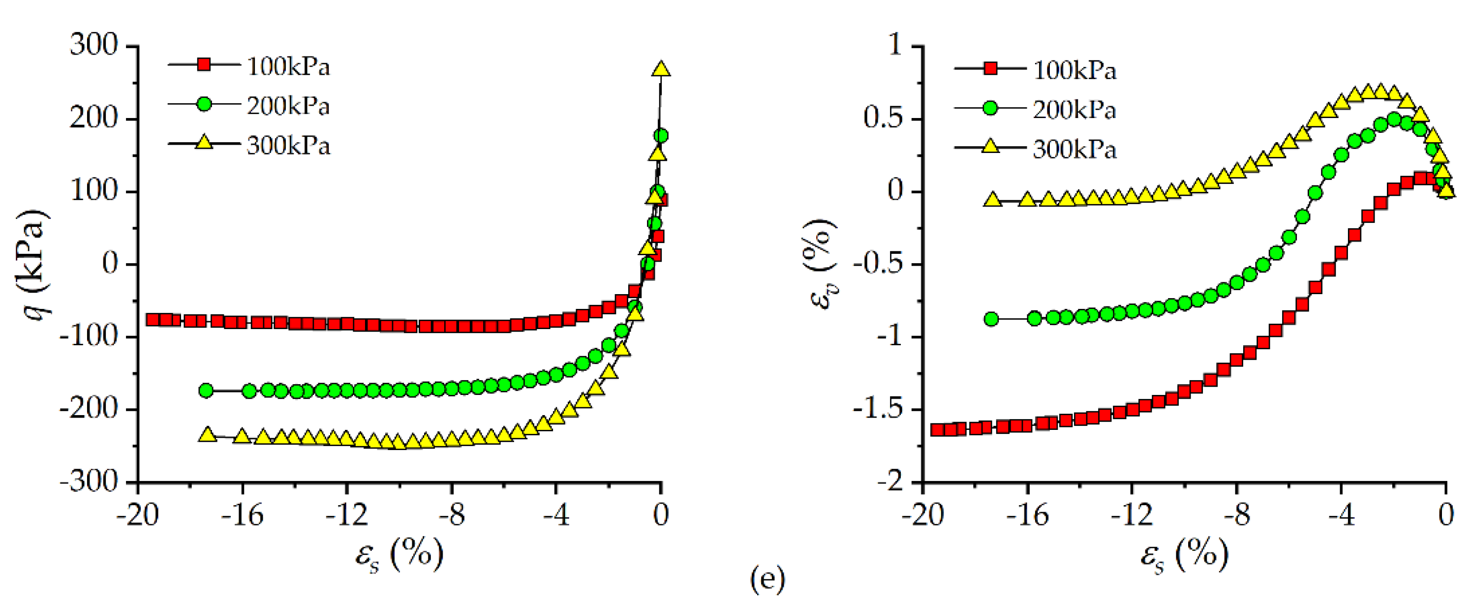
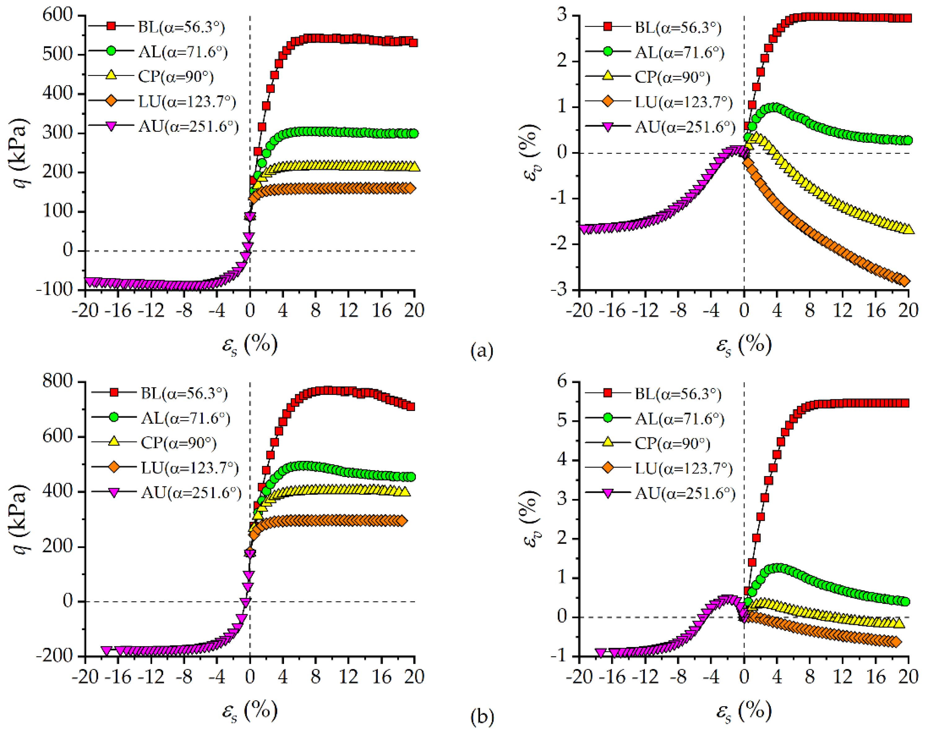
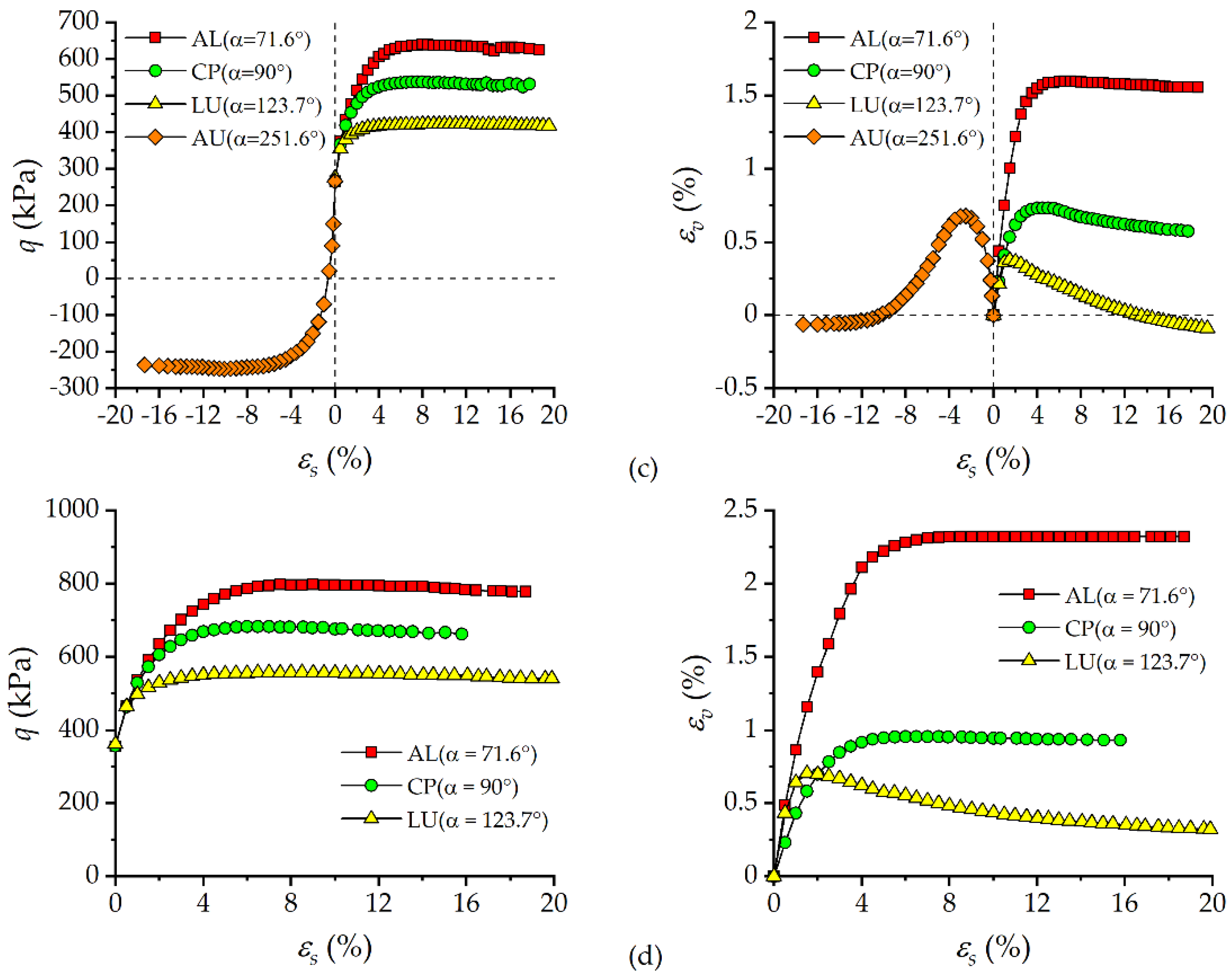
3.2. Stress-Strain Behavior under Different Stress Paths
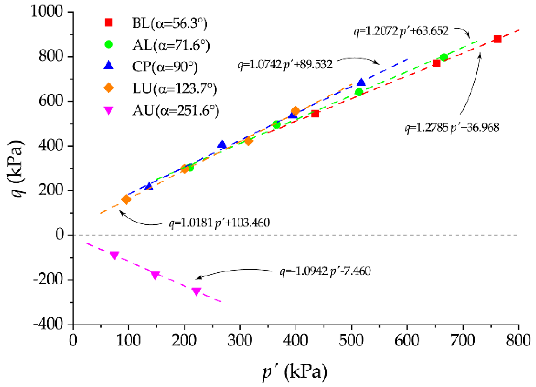
3.3. Effects of Stress Path on Shearing Strength
4. Discussion: Effect of Pattern of Variation of Mean Effective Stress and Their Implications
5. Conclusions
- (1)
- For compression tests, friction angle of the UGRS continues to increase while cohesion decreases monotonically as the loading angle increases. Compared with compression tests, soil specimens in extension tests show a lower cohesion but a higher friction angle. Both cohesion and friction angles of the soil in AL tests are slightly smaller than those in ICD tests, indicating the influence of consolidation stress states on the strength properties of the UGRS.
- (2)
- Both consolidation pressure and loading angle impose impacts on the deformation behavior of the soil. The failure strain increases gradually as consolidation pressure increases or loading angle decreases. The increase in consolidation pressure leads to more volume contraction, while the increase in loading angle diminishes the contractive behavior of the soil.
- (3)
- In this paper, (εs)50 and (εs)90 were employed to formulate the ductility of soil. The UGRS shows larger (εs)50 and (εs)90 (i.e., more ductile) under higher consolidation pressure, and the effect of consolidation pressure is enhanced as loading angle decreases. Due to the stronger confining effect imposed by stress path with smaller loading angle, the UGRS shows a less brittle response during shearing.
- (4)
- The initial secant shear modulus E0 was defined to evaluate the shearing stiffness of the soil. It is found that the shearing stiffness of the UGRS is path-dependent. E0 first decreases and then increases as loading angle increases. There is a certain value of loading angle lying between 90° and 123.7°, under which the lowest E0 occurs.
Author Contributions
Funding
Data Availability Statement
Conflicts of Interest
References
- An, R.; Kong, L.W.; Li, C.S. Pore distribution characteristics of thawed residual soils in artificial frozen-wall using NMRI and MIP measurements. Appl. Sci. 2020, 10, 544. [Google Scholar] [CrossRef]
- Rahardjo, H.; Aung, K.K.; Leong, E.C.; Rezaur, R.B. Characteristics of residual soils in Singapore as formed by weathering. Eng. Geol. 2004, 73, 157–169. [Google Scholar] [CrossRef]
- Yan, W.M.; Li, X.S. Mechanical response of a medium-fine-grained decomposed granite in Hong Kong. Eng. Geol. 2012, 129–130, 1–8. [Google Scholar] [CrossRef]
- Meng, F.Y.; Chen, R.P.; Wu, H.N.; Xie, S.W.; Liu, Y. Observed behaviors of a long and deep excavation and collinear underlying tunnels in Shenzhen granite residual soil. Tunn. Undergr. Space Technol. 2020, 103, 103504. [Google Scholar] [CrossRef]
- Zhao, Y.R.; Yang, H.Q.; Huang, L.P.; Chen, R.; Chen, X.S.; Liu, S.Y. Mechanical behavior of intact completely decomposed granite soils along multi-stage loading–unloading path. Eng. Geol. 2019, 260, 105242. [Google Scholar] [CrossRef]
- Yoo, C.; Lee, D. Deep excavation-induced ground surface movement characteristics—A numerical investigation. Comput. Geotech. 2008, 35, 231–252. [Google Scholar] [CrossRef]
- Goh, A.T.C.; Zhang, R.H.; Wang, W.; Wang, L.; Liu, H.L.; Zhang, W.G. Numerical study of the effects of groundwater drawdown on ground settlement for excavation in residual soils. Acta Geotech. 2020, 15, 1259–1272. [Google Scholar] [CrossRef]
- Ng, C.W.W.; Fung, W.T.; Cheuk, C.Y.; Zhang, L. Influence of stress ratio and stress path on behavior of loose decomposed granite. J. Geotech. Geoenviron. Eng. 2004, 130, 36–44. [Google Scholar] [CrossRef]
- West, G.; Dumbleton, M.J. The mineralogy of tropical weathering illustrated by some west Malaysian soils. Q. J. Eng. Geol. Hydrogeol. 1970, 3, 25–40. [Google Scholar] [CrossRef]
- Agus, S.S.; Leong, E.C.; Rahardjo, H. Estimating permeability functions of Singapore residual soils. Eng. Geol. 2005, 78, 119–133. [Google Scholar] [CrossRef]
- Chiu, C.F.; Ng, C.W.W. Relationships between chemical weathering indices and physical and mechanical properties of decomposed granite. Eng. Geol. 2014, 179, 76–89. [Google Scholar] [CrossRef]
- Wang, Y.H.; Yan, R.W.M. Laboratory studies of two common saprolitic soils in Hong Kong. J. Geotech. Geoenviron. Eng. 2006, 132. [Google Scholar] [CrossRef]
- Junaideen, S.M.; Tham, L.G.; Law, K.T.; Dai, F.C.; Lee, C.F. Behaviour of recompacted residual soils in a constant shear stress path. Can. Geotech. J. 2010, 47, 648–661. [Google Scholar] [CrossRef]
- Lee, I.K.; Coop, M.R. The intrinsic behaviour of a decomposed granite soil. Géotechnique 1995, 45, 117–130. [Google Scholar] [CrossRef]
- Lumb, P. The residual soils of Hong Kong. Géotechnique 1965, 15, 180–194. [Google Scholar] [CrossRef]
- Wallace, K.B. Structural behaviour of residual soils of the continually wet Highlands of Papua New Guinea. Géotechnique 1973, 23, 203–218. [Google Scholar] [CrossRef]
- Rahardjo, H.; Satyanaga, A.; Leong, E.C.; Ng, Y.S.; Pang, H.T.C. Variability of residual soil properties. Eng. Geol. 2012, 141–142, 124–140. [Google Scholar] [CrossRef]
- Zhai, Q.; Rahardjo, H.; Satyanaga, A. Variability in unsaturated hydraulic properties of residual soil in Singapore. Eng. Geol. 2016, 209, 21–29. [Google Scholar] [CrossRef]
- Wang, Y.; Ng, C.W.W. Effects of stress paths on the small-strain stiffness of completely decomposed granite. Can. Geotech. J. 2005, 42, 1200–1211. [Google Scholar] [CrossRef]
- Yin, S.; Kong, L.W.; Zhang, X.W. Experimental study on stiffness characteristics of residual soil at small strain under hot and rainy climate. Chin. J. Geotech. Eng. 2017, 39, 743–751. [Google Scholar] [CrossRef]
- Agus, S.S.; Leong, E.C.; Rahardjo, H. Soil–water characteristic curves of Singapore residual soils. Geotech. Geol. Eng. 2001, 19, 285–309. [Google Scholar] [CrossRef]
- Ng, C.W.W.; Chiu, A.C.F. Laboratory study of loose saturated and unsaturated decomposed granitic soil. J. Geotech. Geoenviron. Eng. 2003, 129, 550–559. [Google Scholar] [CrossRef]
- Kim, C.K.; Kim, T.H. Behavior of unsaturated weathered residual granite soil with initial water contents. Eng. Geol. 2010, 113, 1–10. [Google Scholar] [CrossRef]
- Hossain, M.A.; Yin, J.H. Behavior of a compacted completely decomposed granite soil from suction controlled direct shear tests. J. Geotech. Geoenviron. Eng. 2010, 136, 189–198. [Google Scholar] [CrossRef]
- Hossain, M.A.; Yin, J.H. Shear strength and dilative characteristics of an unsaturated compacted completely decomposed granite soil. Can. Geotech. J. 2010, 47, 1112–1126. [Google Scholar] [CrossRef]
- Fonseca, A.V.D.; Fernandes, M.M.; Cardoso, A.S. Interpretation of a footing load test on a saprolitic soil from granite. Géotechnique 1997, 47, 633–651. [Google Scholar] [CrossRef]
- Ng, C.W.W.; Pun, W.K.; Pang, R.P.L. Small strain stiffness of natural granitic saprolite in Hong Kong. J. Geotech. Geoenviron. Eng. 2000, 126, 819–833. [Google Scholar] [CrossRef]
- Chang, M.F. In-situ testing of residual soils in Singapore. In Proceedings of the 2nd International Conference on Geomechanics in Tropical Soils, Singapore, 12–14 December 1988. [Google Scholar]
- Ng, C.W.W.; Wang, Y. Field and laboratory measurements of small strain stiffness of decomposed granites. Soils Found. 2001, 41, 57–71. [Google Scholar] [CrossRef]
- Fukumoto, T. A grading equation for decomposed granite soil. Soils Found. 1990, 30, 27–34. [Google Scholar] [CrossRef]
- Gutierrez, N.H.M.; de Nóbrega, M.T.; Vilar, O.M. Influence of the microstructure in the collapse of a residual clayey tropical soil. Bull. Eng. Geol. Environ. 2009, 68, 107–116. [Google Scholar] [CrossRef]
- Wesley, L. Influence of structure and composition on residual soils. J. Geotech. Eng. 1990, 116. [Google Scholar] [CrossRef]
- Coutinho, R.Q.; Silva, M.M.; Santos, A.N.d.; Lacerda, W.A. Geotechnical characterization and failure mechanism of landslide in granite residual soil. J. Geotech. Geoenviron. Eng. 2019, 145, 05019004. [Google Scholar] [CrossRef]
- Liu, P.; Chen, R.P.; Wu, K.; Kang, X. Effects of drying-wetting cycles on the mechanical behavior of reconstituted granite-residual soils. J. Mater. Civ. Eng. 2020, 32, 04020199. [Google Scholar] [CrossRef]
- Lambe, T.W. Stress path method. J. Soil Mech. Found. Div. 1967, 93, 309–331. [Google Scholar] [CrossRef]
- Yang, A.W.; Yang, S.K.; Zhang, Z.D. Experimental study of mechanical properties of dredger fill under different unloading rates and stress paths. Rock Soil Mech. 2020, 41, 2891–2900. [Google Scholar] [CrossRef]
- Ng, C.W.W. Stress paths in relation to deep excavations. J. Geotech. Geoenviron. Eng. 1999, 125, 357–363. [Google Scholar] [CrossRef]
- Rahardjo, H.; Lim, T.T.; Chang, M.F.; Fredlund, D.G. Shear-strength characteristics of a residual soil. Can. Geotech. J. 1995, 32, 60–77. [Google Scholar] [CrossRef]
- Rahardjo, H.; Heng, O.B.; Choon, L.E. Shear strength of a compacted residual soil from consolidated drained and constant water content triaxial tests. Can. Geotech. J. 2004, 41, 421–436. [Google Scholar] [CrossRef]
- Tang, L.S.; Sang, H.T.; Song, J.; LIU, F.T.; Yan, B.; Zhang, P.C. Research on soil particle joint function and brittle-elastoplastic cement damage model of unsaturated granite residual soil. Rock Soil Mech. 2013, 34, 2877–2888. [Google Scholar] [CrossRef]
- Kong, L.W.; Sayem, H.M.; Tian, H.H. Influence of drying–wetting cycles on soil-water characteristic curve of undisturbed granite residual soils and microstructure mechanism by nuclear magnetic resonance (NMR) spin-spin relaxation time (T2) relaxometry. Can. Geotech. J. 2018, 55, 208–216. [Google Scholar] [CrossRef]
- Dafalias, Y.F. An anisotropic critical state soil plasticity model. Mech. Res. Commun. 1986, 13, 341–347. [Google Scholar] [CrossRef]
- Amorosi, A.; Rollo, F.; Houlsby, G.T. A nonlinear anisotropic hyperelastic formulation for granular materials: Comparison with existing models and validation. Acta Geotech. 2020, 15, 179–196. [Google Scholar] [CrossRef]
- Dafalias, Y.F.; Taiebat, M. Anatomy of rotational hardening in clay plasticity. Géotechnique 2013, 63, 1406–1418. [Google Scholar] [CrossRef]
- Kavvadas, M.; Amorosi, A. A constitutive model for structured soils. Géotechnique 2000, 50, 263–273. [Google Scholar] [CrossRef]
- Wheeler, S.J.; Näätänen, A.; Karstunen, M.; Lojander, M. An anisotropic elastoplastic model for soft clays. Can. Geotech. J. 2003, 40, 403–418. [Google Scholar] [CrossRef]
- Anandarajah, A.; Dafalias, Y.F. Bounding surface plasticity. III: Application to anisotropic cohesive soils. J. Eng. Mech. 1986, 112, 1292–1318. [Google Scholar] [CrossRef]
- Banerjee, P.K.; Yousif, N.B. A plasticity model for the mechanical behaviour of anisotropically consolidated clay. Int. J. Numer. Anal. Methods Geomech. 1986, 10, 521–541. [Google Scholar] [CrossRef]
- Amorosi, A.; Rollo, F.; Dafalias, Y.F. Relating elastic and plastic fabric anisotropy of clays. Géotechnique 2020, 1–11. [Google Scholar] [CrossRef]
- Mofiz, S.A.; Taha, M.R.; Bari, M.N. Triaxial tests and model performance of stress-strain for decomposed granite. In Geotechnical Engineering for Transportation Projects; American Society of Civil Engineers: Reston, VA, USA, 2004; pp. 1795–1804. [Google Scholar]
- Madhusudhan, B.N.; Baudet, B.A. Influence of reconstitution method on the behaviour of completely decomposed granite. Géotechnique 2014, 64, 540–550. [Google Scholar] [CrossRef]
- Zhang, X.W.; Liu, X.Y.; Chen, C.; Kong, L.W.; Wang, G. Engineering geology of residual soil derived from mudstone in Zimbabwe. Eng. Geol. 2020, 277, 105785. [Google Scholar] [CrossRef]
- ASTM D422-63(2007). Standard Test Method for Particle-Size Analysis of Soils; ASTM International: West Conshohocken, PA, USA, 2007. [Google Scholar]
- Jaky, J. The coefficient of earth pressure at rest. J. Soc. Hung. Eng. Arch. 1944, 355–358. [Google Scholar]
- Wood, D.M. Soil Behaviour and Critical State Soil Mechanics; Cambridge University Press: New York, NY, USA, 1990. [Google Scholar]
- Atkinson, J.H. Non-linear soil stiffness in routine design. Géotechnique 2000, 50, 487–508. [Google Scholar] [CrossRef]














| Density ρ (g/cm3) | Water Content w (%) | Void Ratio e | Specific Gravity Gs | Hydraulic Conductivity K (cm/s) | Atterberg Limits (%) | ||
|---|---|---|---|---|---|---|---|
| WL | WP | IP | |||||
| 1.98 | 26.7 | 0.74 | 2.72 | 1.79 × 10−4 | 58.9 | 27.3 | 31.6 |
| Mineral Composition (%) | ||
|---|---|---|
| Quartz | Kaolinite | Illite |
| 70.4 | 27.1 | 2.5 |
| Test Type | Series | K 1 | σ'3c (kPa) | η 2 | Loading angle (°) | Loading Rate | |
|---|---|---|---|---|---|---|---|
| ICTT 3 | ICU 5 | 1 | 100, 200, 300, 400 | 3 | 71.6 | 0.05%/min | |
| ICD 6 | 0.005%/min | ||||||
| SPTT 4 | increasing-p’ | BL 7 | 0.53 | 100, 200, 300, 400 | 1.5 | 56.3 | dq/dt = 8kPa/h |
| AL 8 | 3 | 71.6 | |||||
| constant-p’ | CP 9 | ∞ | 90 | ||||
| decreasing-p’ | LU 10 | −1.5 | 123.7 | ||||
| AU 11 | 3 | 251.6 | |||||
| Test Type | Strength Parameters | |
|---|---|---|
| c (kPa) | φ’ (degrees) | |
| ICU | 14.9 | 28.2 |
| ICD | 47.8 | 28.6 |
| σ'3c (kPa) | α = 71.6° (Benchmark) | α = 123.7° | α = 251.6° | |||||||
|---|---|---|---|---|---|---|---|---|---|---|
| (εs)50 (%) | (εs)90 (%) | (εs)50 (%) | RC1 | (εs)90 (%) | RC | (εs)50 (%) | RC | (εs)90 (%) | RC | |
| 100 | 1.050 | 3.095 | 0.288 | 72.6% | 2.092 | 32.4% | 0.361 | 65.6% | 2.840 | 8.2% |
| 200 | 1.125 | 3.569 | 0.423 | 62.4% | 2.219 | 37.8% | 0.499 | 55.6% | 3.145 | 11.9% |
| 300 | 1.211 | 4.010 | 0.440 | 63.7% | 2.393 | 40.3% | 0.547 | 54.8% | 3.266 | 18.5% |
| 400 | 1.362 | 4.338 | 0.442 | 67.6% | 2.561 | 41.0% | / | / | / | / |
Publisher’s Note: MDPI stays neutral with regard to jurisdictional claims in published maps and institutional affiliations. |
© 2021 by the authors. Licensee MDPI, Basel, Switzerland. This article is an open access article distributed under the terms and conditions of the Creative Commons Attribution (CC BY) license (http://creativecommons.org/licenses/by/4.0/).
Share and Cite
Shu, R.; Kong, L.; Liu, B.; Wang, J. Stress–Strain Strength Characteristics of Undisturbed Granite Residual Soil Considering Different Patterns of Variation of Mean Effective Stress. Appl. Sci. 2021, 11, 1874. https://doi.org/10.3390/app11041874
Shu R, Kong L, Liu B, Wang J. Stress–Strain Strength Characteristics of Undisturbed Granite Residual Soil Considering Different Patterns of Variation of Mean Effective Stress. Applied Sciences. 2021; 11(4):1874. https://doi.org/10.3390/app11041874
Chicago/Turabian StyleShu, Rongjun, Lingwei Kong, Bingheng Liu, and Juntao Wang. 2021. "Stress–Strain Strength Characteristics of Undisturbed Granite Residual Soil Considering Different Patterns of Variation of Mean Effective Stress" Applied Sciences 11, no. 4: 1874. https://doi.org/10.3390/app11041874
APA StyleShu, R., Kong, L., Liu, B., & Wang, J. (2021). Stress–Strain Strength Characteristics of Undisturbed Granite Residual Soil Considering Different Patterns of Variation of Mean Effective Stress. Applied Sciences, 11(4), 1874. https://doi.org/10.3390/app11041874

