A Study on Correlation between Ultrasonic Pulse Velocity Method and Coarse Aggregate for Estimating Residual Modulus of Elasticity of Concrete Exposed to High Temperatures
Abstract
1. Introduction
2. Materials and Methods
2.1. Materials
2.2. Proportions of the NC and LC Mixtures
2.3. Experimental Parameters and Test Methods
3. Results and Discussion
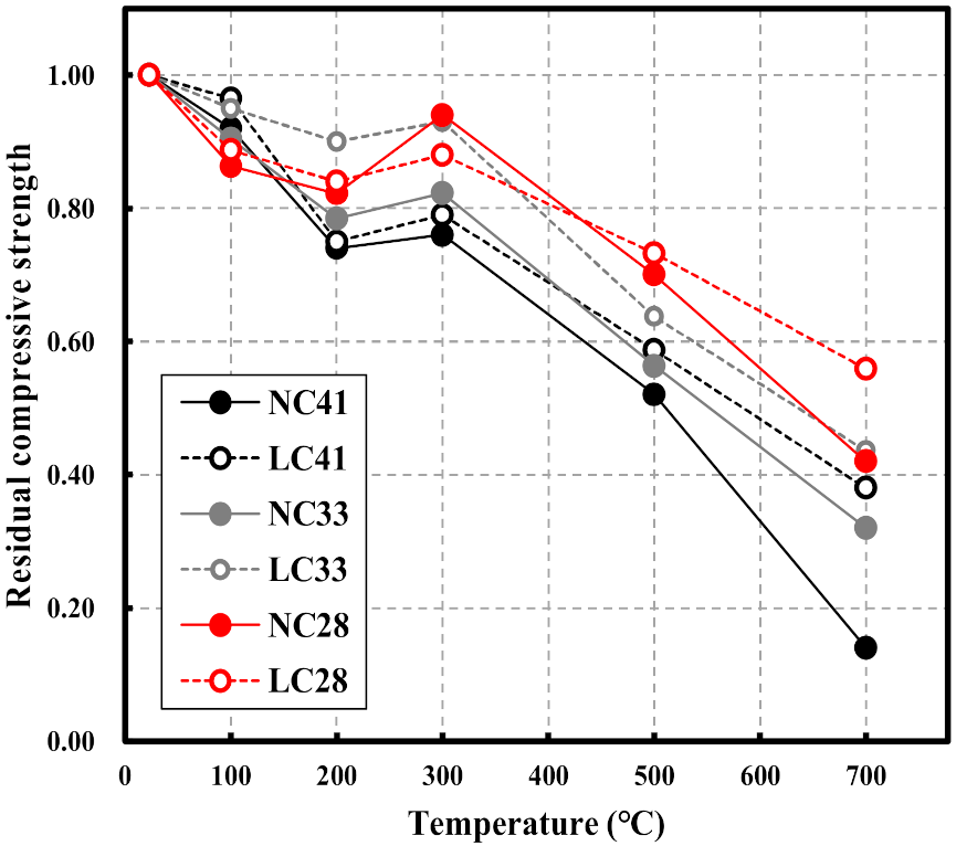
3.1. Residual Mechanical Properties of NC and LC after High Temperature Exposure
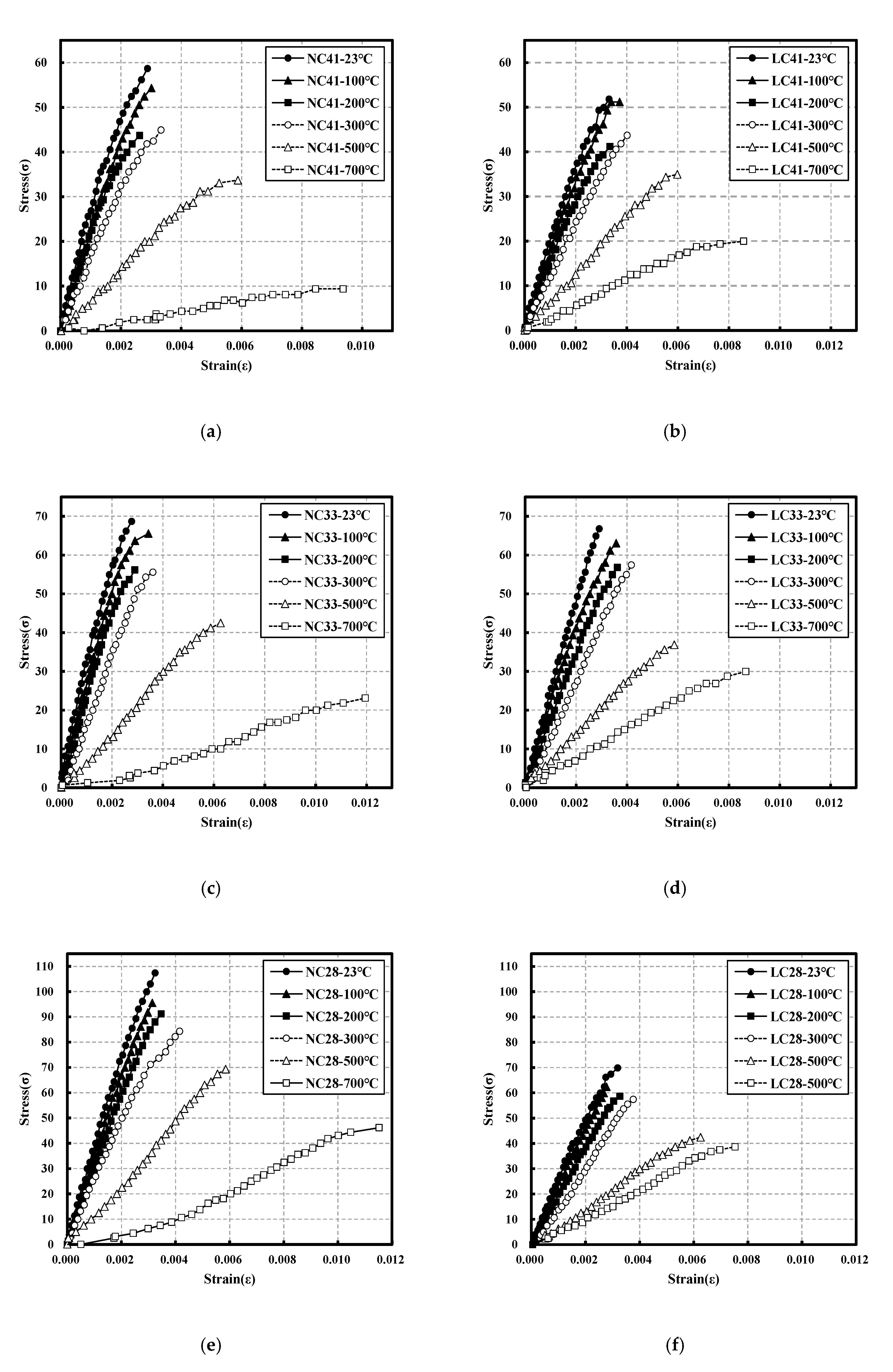
3.2. Stress–Strain Analysis of NC and LC after High Temperature Exposure
3.3. Correlation between Ultrasonic Pulse Velocity and Residual Modulus of Elasticity of NC and LC after High Temperature Exposure
4. Conclusions
- (1)
- At all levels, the residual compressive strength was reduced to approximately 0.86–0.91, which then slightly recovered at 300 °C. However, it continuously decreased at higher temperatures. At 700 °C, the residual compressive strength of LC appears to have improved compared to that of NC because of the influence of the aggregate.
- (2)
- The ultrasonic pulse velocity and modulus of elasticity continued to decrease as the temperature increased, following a similar trend to that of the residual compressive strength. It is observed that the ultrasonic pulse velocity and modulus of elasticity improved for LC compared to NC, similar to compressive strength after high temperature exposure.
- (3)
- The slope of the stress–strain curve was similar to that of the curve before heating (20 °C) until 300 °C, but tended to decrease at temperatures higher than 300 °C. At high temperatures, LC showed a low peak strain at a relatively low stress compared to NC. This appears to be due to the relative low stiffness of the coarse aggregate in LC compared to that in NC.
- (4)
- Equations for predicting the residual modulus of elasticity through the analysis of the ultrasonic pulse velocity after high temperature exposure were proposed, with R2 values of 0.94 and 0.941 for NC and LC, respectively.
Author Contributions
Funding
Institutional Review Board Statement
Informed Consent Statement
Conflicts of Interest
References
- Kim, W.J.; Lee, H.S.K. Thermo-elastic analysis of reinforced concrete space frames by fiber model. J. Korea Concr. Inst. 2018, 30, 3–14. [Google Scholar] [CrossRef]
- Tae, S.H.; Lee, B.K. The effect of W/C ratio and chloride on compressive strength of concrete exposed to high-temperature. J. Korean Soc. Saf. 1998, 14, 124–128. [Google Scholar]
- Lee, J.W. Effect of elevated temperature on changes of color and residual compressive strength of concrete. JAIK 2011, 27, 35–42. [Google Scholar]
- Kim, Y.S.; Choi, H.G.; Ohmiya, Y.; Kim, G.Y. Effect of aggregate on mechanical properties of ultra-high strength concrete exposed to high temperature. J. Korea Concr. Inst. 2011, 23, 431–440. [Google Scholar] [CrossRef][Green Version]
- Dolinar, D.; Trtnik, G.; Turk, G.; Hozjan, T. The feasibility of estimation of mechanical properties of limestone concrete after fire using nondestructive methods. Constr. Build. Mater. 2019, 228, 1167. [Google Scholar] [CrossRef]
- Arslan, M.H.; Erdogan, O.; Koken, A.; Erkan, I.H.; Dogan, G. Evaluation of fire performance of prefabricated concrete buildings in Turkey. Mag. Concr. Res. 2017, 69, 389–401. [Google Scholar] [CrossRef]
- Chaix, J.F.; Garnier, V.; Corneloup, G. Concrete damage evolution analysis by backscattered ultrasonic waves. NDT E Int. 2003, 36, 461–469. [Google Scholar] [CrossRef]
- Mohammadhosseini, H.; Alrshoudi, F.; Tahir, M.M.; Alyousef, R.; Alghamdi, H.; Alharbi, Y.R.; Alsaif, A. Performance evaluation of novel prepacked aggregate concrete reinforced with waste polypropylene fibers at elevated temperatures. Constr. Build. Mater. 2020, 259, 120418. [Google Scholar] [CrossRef]
- Dias, A.R.O.; Amancio, F.A.; Rafael, M.F.C.; Cabral, A.E.B. Study of propagation of ultrasonic pulses in concrete exposed at high temperatures. Procedia Struct. Integr. 2018, 11, 84–90. [Google Scholar] [CrossRef]
- Yang, H.; Lin, Y.; Hsiao, C.; Liu, J.Y. Evaluating residual compressive strength of concrete at elevated temperatures using ultrasonic pulse velocity. Fire Saf. J. 2009, 44, 121–130. [Google Scholar] [CrossRef]
- Khan, E.U.; Khushnood, R.A.; Baloch, W.L. Spalling sensitivity and mechanical response of an ecofriendly sawdust high strength concrete at elevated temperatures. Constr. Build. Mater. 2020, 258, 119656. [Google Scholar] [CrossRef]
- Comites Euro-International Du Beton. Fire Design of Concrete Structures-In Accordance with CEB/FIP Model, Code 1991, 90; Comites Euro-International Du Beton: Luxembourg, 1991. [Google Scholar]
- Lee, K.S.; Candelaria, M.D.; Kee, S.H. Comparison of static and dynamic elastic moduli and compressive strength of concrete in two standard dry conditions: Oven dry and saturated-surface dry. J. Korea Concr. Inst. 2021, 33, 449–458. [Google Scholar] [CrossRef]
- Hasan, M.; Saidi, T.; Afifuddin, M. Mechanical properties and absorption of lightweight concrete using lightweight aggregate from diatomaceous earth. Constr. Build. Mater. 2021, 277, 122324. [Google Scholar] [CrossRef]
- Islam, M.M.U.; Li, J.; Wu, Y.; Roychand, R.; Saberian, M. Design and strength optimization method for the production of structural lightweight concrete: An experimental investigation for the complete replacement of conventional coarse aggregates by waste rubber particles. Resour. Conserv. Recycl 2022, 184, 106390. [Google Scholar] [CrossRef]
- Kim, W.; Jeong, K.; Choi, H.; Lee, T. Correlation analysis of ultrasonic pulse velocity and mechanical properties of normal aggregate and lightweight aggregate concretes in 30–60 MPa range. Materials 2022, 15, 2952. [Google Scholar] [CrossRef] [PubMed]
- ASTM C1231/C1231-15; Standard Practice for Use of Unbonded Caps in Determination of Compressive Strength of Hardened Cylindrical Concrete Specimens. American Society of Testing and Materials: West Conshohocken, PA, USA, 2016; pp. 1–5.
- ASTM C39/C39M; Standard Test Method for Compressive Strength of Cylindrical Concrete Specimens. American Society of Testing and Materials: West Conshohocken, PA, USA, 2018; pp. 1–8.
- ASTM C469; Standard Test Method for Static Modulus of Elasticity and Poisson’s Ratio of Concrete in Compression. American Society of Testing and Materials: West Conshohocken, PA, USA, 2011; p. 469.
- ASTM C597-16; Standard Test Method for Pulse Velocity Through Concrete. American Society of Testing and Materials: West Conshohocken, PA, USA, 2016; pp. 1–4.
- Saridemir, M.; Celikten, S. Investigation of fire and chemical effects on the properties of alkali-activated lightweight concretes produced with basaltic pumice aggregate. Constr. Build. Mater. 2020, 260, 119969. [Google Scholar] [CrossRef]
- ASTM C642-13; Standard Test Method for Density, Absorption, and Voids in Hardened Concrete. ASTM International: West Conshohocken, PA, USA, 2013.
- Dinakar, P.; Babu, K.G.; Santhanam, M. Durability properties of high volume fly ash self-compacting concretes. Cem. Concr. Compos. 2008, 30, 880–886. [Google Scholar] [CrossRef]
- Yoon, M.H.; Choe, G.C.; Lee, T.G.; Kim, G.Y. Evaluation on strain properties of 60 MPa class high strength concrete according to the coarse aggregate type and elevated temperature condition. J. Korea Concr. Inst. 2014, 26, 247–254. [Google Scholar] [CrossRef]
- Andic-Cakir, O.; Hizal, S. Influence of elevated temperatures on the mechanical properties and microstructure of self-consolidating lightweight aggregate concrete. Constr. Build. Mater. 2012, 34, 575–583. [Google Scholar] [CrossRef]
- Roufael, G.; Beaucour, A.L.; Eslami, J.; Hoxha, D.; Noumowe, A. Influence of lightweight aggregates on the physical and mechanical residual properties of concrete subjected to high temperatures. Constr. Build. Mater. 2021, 268, 121221. [Google Scholar] [CrossRef]
- Toric, N.; Boko, I.; Juradin, S.; Baloevic, G. Mechanical properties of lightweight concrete after fire exposure. Struct. Concr. 2016, 17, 1071–1081. [Google Scholar] [CrossRef]
- Vieira, J.P.B.; Correja, J.R.; de Brito, J. Post-fire residual mechanical properties of concrete made with recycled concrete coarse aggregates. Cem. Concr. Res. 2011, 41, 533–541. [Google Scholar] [CrossRef]
- Choe, C.C.; Kim, G.Y.; Kim, H.S.; Hwang, E.C.; Nam, J.S. Mechanical properties of amorphous steel fiber reinforced high strength concrete exposed to high temperature. J. Korea Concr. Inst. 2020, 32, 19–26. [Google Scholar] [CrossRef]
- Choe, G.C.; Min, M.H.; Lee, T.G.; Lee, S.H.; Kim, G.Y. Evaluation of properties of 80, 130, 180 MPa high strength concrete at high temperature with heating and loading. Constr. Build. Mater. 2013, 25, 613–620. [Google Scholar]
- Lee, T.; Jeong, K.; Choi, H. Effect of thermal properties of aggregates on the mechanical properties of high strength concrete under loading and high temperature conditions. Materials 2021, 14, 6093. [Google Scholar] [CrossRef] [PubMed]
- Chang, Y.F.; Chen, Y.H.; Sheu, M.S.; Yao, G.C. Residual stress–strain relationship for concrete after exposure to high temperatures. Cem. Concr. Res. 2006, 36, 1999–2005. [Google Scholar] [CrossRef]
- Verma, D.; Kainthola, A.; Singh, R.; Singh, T.N. Assessment of geo-mechanical properties of some Gondwana coal using P-Wave velocity. Int. Res. J. Geol. Min. 2012, 2, 261–274. [Google Scholar]
- Khandelwal, M.; Singh, T.N. Correlating static properties of coal measures rocks with P-wave velocity. Int. J. Coal Geol. 2009, 79, 55–60. [Google Scholar] [CrossRef]
- Chawre, B. Correlations between ultrasonic pulse wave velocities and rock properties of quartz-mica schist. J. Rock Mech. Geotech. Eng. 2018, 10, 594–602. [Google Scholar] [CrossRef]
- Brotons, V.; Tomas, R.; Ivorra, S.; Grediaga, A.; Martinez-Martinez, J.; Benavente, D.; Gomez-Heras, M. Improved correlation between the static and dynamic elastic modulus of different types of rocks. Mater. Struct. 2016, 49, 3021–3037. [Google Scholar] [CrossRef]











| Properties | Cement (Type I Ordinary Portland Cement) | Coarse Aggregate | Fine Aggregate | S.P | |
|---|---|---|---|---|---|
| Granite | Coal-Ash | ||||
| Density (kg/m3) | 3150 | 2680 | 1470 | 2540 | Polycarboxylic-based acid |
| Fineness (m2/kg) | 320 | - | - | - | |
| Fineness modulus | - | 7.03 | 6.39 | 2.54 | |
| Absorption (%) | - | 0.68 | 8.68 | 1.6 | |
| Maximum size (mm) | - | 20 | 20 | - | |
| Chemical Composition (%) | OPC |
|---|---|
| CaO | 60.34 |
| SiO2 | 19.82 |
| Al2O3 | 4.85 |
| Fe2O3 | 3.30 |
| MgO | 3.83 |
| SO3 | 2.88 |
| K2O | 1.08 |
| Others | 0.86 |
| L.O.I. | 3.02 |
| Mix ID | NC41 | LC41 | NC33 | LC33 | NC28 | LC28 |
|---|---|---|---|---|---|---|
| Water/Binder | 0.41 | 0.41 | 0.33 | 0.33 | 0.28 | 0.28 |
| Sand/aggregate (%) | 46.0 | 46.0 | 43.0 | 43.0 | 43.0 | 43.0 |
| Water (kg/m3) | 165 | 165 | 165 | 165 | 165 | 165 |
| Cement (kg/m3) | 400 | 400 | 500 | 500 | 600 | 600 |
| Fine aggregate (kg/m3) | 799 | 799 | 711 | 711 | 676 | 676 |
| Granite aggregate (kg/m3) | 956 | - | 961 | - | 913 | - |
| Coal-ash aggregate (kg/m3) | - | 758 | - | 762 | - | 724 |
| ID | Type of Coarse Aggregate | W/B | Heat Method | Curing | TEST ITEM |
|---|---|---|---|---|---|
| NC | Crushed granite aggregate | 0.41 0.33 0.28 | 23, 100, 200, 300, 500, 700 °C (1 °C/min) | Water curing Room temperature (20 ± 2 ℃) Humidity (60 ± 5%) | Residual compressive strength Residual ultrasonic pulse velocity Residual modulus of elasticity |
| LC | Coal-ash aggregate |
| Test Items | Test Method | Equation (1) | Equation (2) |
|---|---|---|---|
| Residual compressive strength | ASTM C39/C39M | : ultrasonic pulse velocity(m/s) : distance(m) : time(s) | : residual mechanical properties : mechanical properties at room temperature : mechanical properties at high temperature |
| Residual modulus of elasticity | ASTM C469 | ||
| Residual ultrasonic pulse velocity | ASTM C597 |
| ID | Equation | Correlation Coefficient (R2) |
|---|---|---|
| NC41 | Ere = 0.3174 × Vp − 0.4014 | R2 = 0.94 |
| LC41 | Ere = 0.4158 × Vp − 0.6108 | R2 = 0.98 |
| NC33 | Ere = 0.3144 × Vp − 0.4471 | R2 = 0.95 |
| LC33 | Ere = 0.412 × Vp − 0.6869 | R2 = 0.98 |
| NC28 | Ere = 0.2813 × Vp − 0.3664 | R2 = 0.97 |
| LC28 | Ere = 0.3871 × Vp − 0.6341 | R2 = 0.94 |
| Derived Item | Concrete | Equation | Correlation Coefficient (R2) |
|---|---|---|---|
| Residual modulus of elasticity | NC | Ere = 0.2941 × Vp − 0.3753 | R2 = 0.94 |
| LC | Ere = 0.3797 × Vp − 0.5868 | R2 = 0.91 |
Publisher’s Note: MDPI stays neutral with regard to jurisdictional claims in published maps and institutional affiliations. |
© 2022 by the authors. Licensee MDPI, Basel, Switzerland. This article is an open access article distributed under the terms and conditions of the Creative Commons Attribution (CC BY) license (https://creativecommons.org/licenses/by/4.0/).
Share and Cite
Kim, W.; Jeong, K.; Lee, T.; Park, S. A Study on Correlation between Ultrasonic Pulse Velocity Method and Coarse Aggregate for Estimating Residual Modulus of Elasticity of Concrete Exposed to High Temperatures. Appl. Sci. 2022, 12, 6644. https://doi.org/10.3390/app12136644
Kim W, Jeong K, Lee T, Park S. A Study on Correlation between Ultrasonic Pulse Velocity Method and Coarse Aggregate for Estimating Residual Modulus of Elasticity of Concrete Exposed to High Temperatures. Applied Sciences. 2022; 12(13):6644. https://doi.org/10.3390/app12136644
Chicago/Turabian StyleKim, Wonchang, Keesin Jeong, Taegyu Lee, and Sungyu Park. 2022. "A Study on Correlation between Ultrasonic Pulse Velocity Method and Coarse Aggregate for Estimating Residual Modulus of Elasticity of Concrete Exposed to High Temperatures" Applied Sciences 12, no. 13: 6644. https://doi.org/10.3390/app12136644
APA StyleKim, W., Jeong, K., Lee, T., & Park, S. (2022). A Study on Correlation between Ultrasonic Pulse Velocity Method and Coarse Aggregate for Estimating Residual Modulus of Elasticity of Concrete Exposed to High Temperatures. Applied Sciences, 12(13), 6644. https://doi.org/10.3390/app12136644

