Open Dataset Recorded by Single Cameras for Multi-Player Tracking in Soccer Scenarios
Abstract
:1. Introduction
- What this challenge needs to accomplish is to consistently track the player’s trajectory throughout the game. The duration is generally short in existing datasets, and the target can last an even shorter time.
- Most datasets focus on a narrow area from a mid-to-low perspective for video recording. Compared to these, the movement range of the players in this challenge covers the entire field, which requires the camera to completely record the field from a bird’s-eye view (from 5-a-side 800 m to 11-a-side 6936 m, see Figure 1). Therefore, the proportion of the target in the image is much smaller than that of the existing dataset.
- Compared to slow-moving objects in existing datasets, players perform a lot of sprinting and changing of direction on the field.
- Due to their identical jerseys, players on the same team are prone to be confused with each other when they overlap. Existing datasets also lack similar situations.
- We designed and installed single-view video recording systems for several common fields and game types in amateur soccer matches for continuous data collection.
- Taking into account all the special cases when implementing automatic tracking in soccer scenarios, we presented a new benchmark dataset for both non-professional soccer players detection and MOT evaluation.
- We thoroughly evaluated several state-of-the-art MOT algorithms, and analyzed the conditions when the existing algorithms failed. Comparisons demonstrate that our dataset provides valuable but challenging data for multi-player-tracking.
2. Related Works
2.1. Tracking Data Analysis
2.1.1. Tracking Data Application
2.1.2. Acquisition Methods
2.2. Multi-Object Tracking
2.2.1. Benchmarks
2.2.2. Algorithms
3. System Construction
3.1. System Diversity
3.2. Data Generation
3.3. Data Format
3.4. Annotation Statistics
3.4.1. Aspect Ratio and Motion
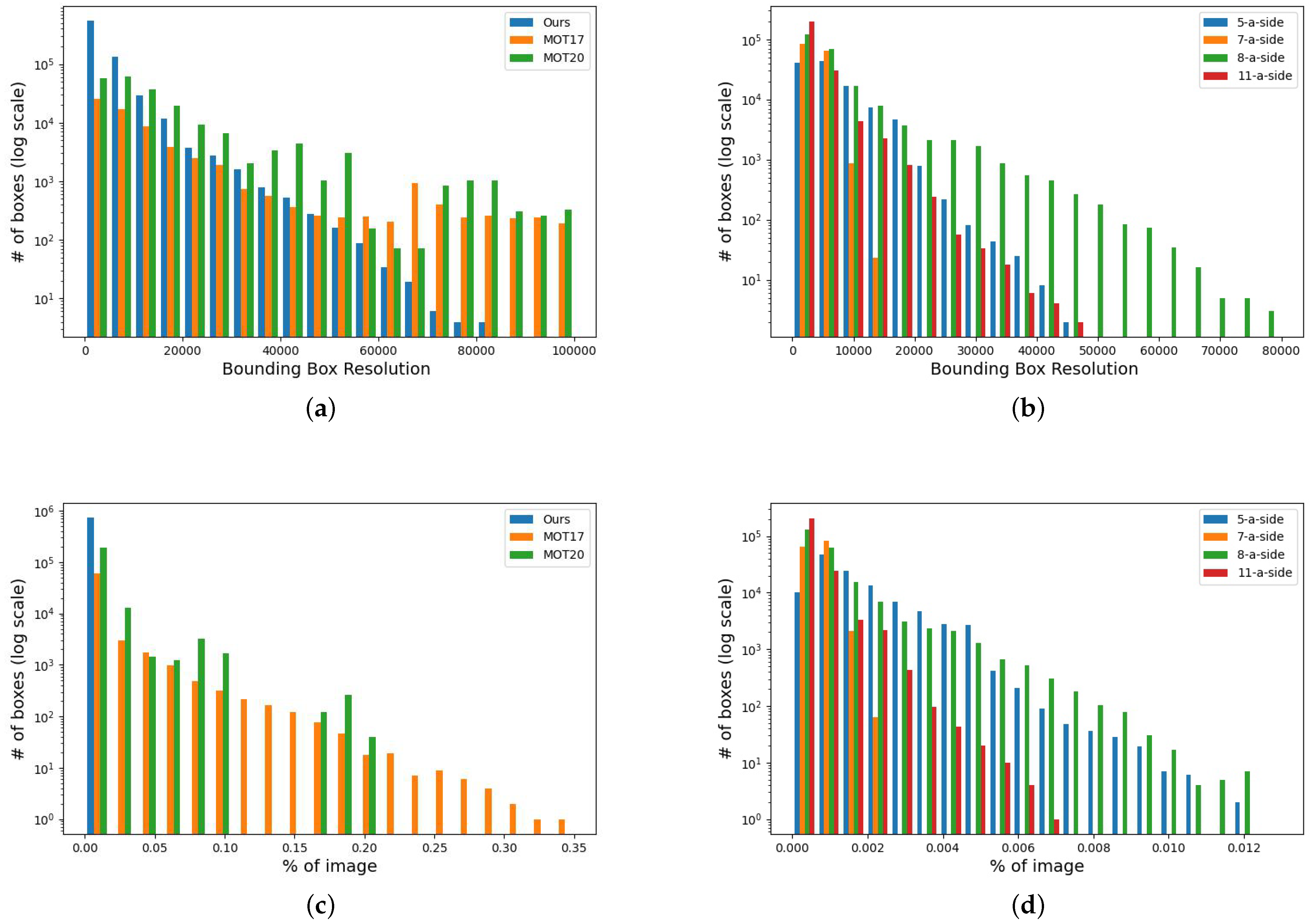
3.4.2. Bounding Box Resolution
3.4.3. Track Length
4. Experiments
4.1. Candidate MOT Methods
4.2. Evaluation Metric
- HOTA: HOTA [49] is currently the most comprehensive evaluation index for tracking algorithms, which measures how well the trajectories of matching detections align, and averages this over all matching detections, while also penalising detections that don’t match.
- DetA: DetA is one part of HOTA, the detection performance of trackers.
- MOTA: MOTA (Multi-Object Tracking Accuracy) [8] is another widely used metric which combines three error sources: false positives, missed targets, and identity switches.
- IDF1: ID F1 Score measures the ratio of correctly identified detections to the average number of ground-truth and computed detections.
- IDSW: Number of Identity Switches.
4.3. Dataset Splits
5. Results and Analysis
5.1. Detection Performance
5.2. Tracking Performance
6. Conclusions
Author Contributions
Funding
Institutional Review Board Statement
Informed Consent Statement
Data Availability Statement
Conflicts of Interest
References
- Bornn, L.; Dan, C.; Fernandez, J. Soccer analytics unravelling the complexity of “the beautiful game”. Significance 2018, 15, 26–29. [Google Scholar] [CrossRef] [Green Version]
- Fernandez, J.; Bornn, L. Wide open spaces: A statistical technique for measuring space creation in professional soccer. Sloan Sport. Anal. Conf. 2018, 2018. [Google Scholar]
- Narizuka, T.; Yamazaki, Y.; Takizawa, K. Space evaluation in football games via field weighting based on tracking data. Sci. Rep. 2021, 11, 1–8. [Google Scholar] [CrossRef] [PubMed]
- Wu, Y.; Xie, X.; Wang, J.; Deng, D.; Liang, H.; Zhang, H.; Cheng, S.; Chen, W. Forvizor: Visualizing spatio-temporal team formations in soccer. IEEE Trans. Vis. Comput. Graph. 2018, 25, 65–75. [Google Scholar] [CrossRef]
- Wei, X.; Sha, L.; Lucey, P.; Morgan, S.; Sridharan, S. Large-scale analysis of formations in soccer. In Proceedings of the 2013 International Conference on Digital Image Computing: Techniques and Applications (DICTA), Hobart, Australia, 26–28 November 2013; pp. 1–8. [Google Scholar]
- FIFA. Handbook of Test Methods for Wearable Epts Devices. Technical Report, Fédération Internationale de Football Association, 2020. Available online: https://digitalhub.fifa.com/m/194e24782f329d14/original/test-manual-epts-wearables-v20.pdf (accessed on 15 June 2022).
- Pappalardo, L.; Cintia, P.; Rossi, A.; Massucco, E.; Ferragina, P.; Pedreschi, D.; Giannotti, F. A public data set of spatio-temporal match events in soccer competitions. Sci. Data 2019, 6, 1–15. [Google Scholar] [CrossRef] [Green Version]
- Luo, W.; Xing, J.; Milan, A.; Zhang, X.; Liu, W.; Kim, T. Multiple object tracking: A literature review. Artif. Intell. 2021, 293, 103448. [Google Scholar] [CrossRef]
- Dendorfer, P.; Rezatofighi, H.; Milan, A.; Shi, J.; Cremers, D.; Reid, I.; Roth, S.; Schindler, K.; Leal-Taixé, L. Mot20: A benchmark for multi object tracking in crowded scenes. arXiv 2020, arXiv:2003.09003. [Google Scholar]
- Milan, A.; Leal-Taixé, L.; Reid, I.; Roth, S.; Schindler, K. Mot16: A benchmark for multi-object tracking. arXiv 2016, arXiv:1603.00831. [Google Scholar]
- Wen, L.; Du, D.; Cai, Z.; Lei, Z.; Chang, M.; Qi, H.; Lim, J.; Yang, M.; Lyu, S. Ua-detrac: A new benchmark and protocol for multi-object detection and tracking. Comput. Vis. Image Underst. 2020, 193, 102907. [Google Scholar] [CrossRef] [Green Version]
- Vats, K.; Walters, P.; Fani, M.; Clausi, D.A.; Zelek, J. Player tracking and identification in ice hockey. arXiv 2021, arXiv:2110.03090. [Google Scholar]
- Deliege, A.; Cioppa, A.; Giancola, S.; Seikavandi, M.J.; Dueholm, J.V.; Nasrollahi, K.; Ghanem, B.; Moeslund, T.B.; Droogenbroeck, M.V. Soccernet-v2: A dataset and benchmarks for holistic understanding of broadcast soccer videos. In Proceedings of the IEEE/CVF Conference on Computer Vision and Pattern Recognition, Nashville, TN, USA, 20–25 June 2021; pp. 4508–4519. [Google Scholar]
- Zhang, R.; Wu, L.; Yang, Y.; Wu, W.; Chen, Y.; Xu, M. Multi-camera multi-player tracking with deep player identification in sports video. Pattern Recognit. 2020, 102, 107260. [Google Scholar] [CrossRef]
- Fu, X.; Zhang, K.; Wang, C.; Fan, C. Multiple player tracking in basketball court videos. J. Real-Time Image Process. 2020, 17, 1811–1828. [Google Scholar] [CrossRef]
- Reep, C.; Benjamin, B. Skill and chance in association football. J. R. Stat. Soc. Ser. A (Gen.) 1968, 131, 581–585. [Google Scholar] [CrossRef]
- Rein, R.; Memmert, D. Big data and tactical analysis in elite soccer: Future challenges and opportunities for sports science. SpringerPlus 2016, 5, 1–13. [Google Scholar] [CrossRef] [PubMed] [Green Version]
- Dwyer, D.B.; Gabbett, T.J. Global positioning system data analysis: Velocity ranges and a new definition of sprinting for field sport athletes. J. Strength Cond. Res. 2012, 26, 818–824. [Google Scholar] [CrossRef]
- Silva, V.D.; Caine, M.; Skinner, J.; Dogan, S.; Kondoz, A.; Peter, T.; Axtell, E.; BiRnIe, M.; Smith, B. Player tracking data analytics as a tool for physical performance management in football: A case study from chelsea football club academy. Sports 2018, 6, 130. [Google Scholar] [CrossRef] [Green Version]
- Pappalardo, L.; Cintia, P.; Ferragina, P.; Massucco, E.; Pedreschi, D.; Giannotti, F. Playerank: Data-driven performance evaluation and player ranking in soccer via a machine learning approach. ACM Trans. Intell. Syst. Technol. (TIST) 2019, 10, 1–27. [Google Scholar] [CrossRef] [Green Version]
- FIFA. Fifa Quality Programme for Electronic Performance Tracking Systems(epts). Technical Report, Fédération Internationale de Football Association. 2019. Available online: https://digitalhub.fifa.com/m/46ee2f5a70b330b3/original/how-to-obtain-epts-certification.pdf (accessed on 15 June 2022).
- Reche-Soto, P.; Cardona, D.; Díaz, A.; Gómez-Carmona, C.D.; Pino-Ortega, J. Tactical demands of small-sided games in football: Influence of tracking technology. Rev. Int. Med. Cienc. Act. Física Deporte 2019, 19, 76. [Google Scholar]
- Manafifard, M.; Ebadi, H.; Moghaddam, H.A. A survey on player tracking in soccer videos. Comput. Vis. Image Underst. 2017, 159, 19–46. [Google Scholar] [CrossRef]
- Leal-Taixé, L.; Milan, A.; Reid, I.; Roth, S.; Schindler, K. Motchallenge 2015: Towards a benchmark for multi-target tracking. arXiv 2015, arXiv:1504.01942. [Google Scholar]
- Tezcan, O.; Duan, Z.; Cokbas, M.; Ishwar, P.; Konrad, J. Wepdtof: A dataset and benchmark algorithms for in-the-wild people detection and tracking from overhead fisheye cameras. In Proceedings of the IEEE/CVF Winter Conference on Applications of Computer Vision, Waikoloa, HI, USA, 4–8 January 2022; pp. 503–512. [Google Scholar]
- Mahmoudi, N.; Ahadi, S.M.; Rahmati, M. Multi-target tracking using cnn-based features: Cnnmtt. Multimed. Tools Appl. 2019, 78, 7077–7096. [Google Scholar] [CrossRef]
- Wojke, N.; Bewley, A.; Paulus, D. Simple online and realtime tracking with a deep association metric. In Proceedings of the 2017 IEEE International Conference on Image Processing (ICIP), Beijing, China, 17–20 September 2017; pp. 3645–3649. [Google Scholar]
- Yu, F.; Li, W.; Li, Q.; Liu, Y.; Shi, X.; Yan, J. Poi: Multiple object tracking with high performance detection and appearance feature. In Proceedings of the European Conference on Computer Vision, Amsterdam, The Netherlands, 11–14 October 2016; pp. 36–42. [Google Scholar]
- Bochkovskiy, A.; Wang, C.-H.; Liao, H.-M. Yolov4: Optimal speed and accuracy of object detection. arXiv 2020, arXiv:2004.10934. [Google Scholar]
- Lin, T.-S.; Dollár, P.; Girshick, R.; He, K.; Hariharan, B.; Belongie, S. Feature pyramid networks for object detection. In Proceedings of the IEEE Conference on Computer Vision and Pattern Recognition, Honolulu, HI, USA, 21–26 July 2017; pp. 2117–2125. [Google Scholar]
- Ren, S.; He, K.; Girshick, R.; Sun, J. Faster r-cnn: Towards real-time object detection with region proposal networks. Adv. Neural Inf. Process. Syst. 2015, 28. [Google Scholar] [CrossRef] [Green Version]
- Welch, G.; Bishop, G. An Introduction to the Kalman Filter. Technical Report, 1995. Available online: https://perso.crans.org/club-krobot/doc/kalman.pdf (accessed on 15 June 2022).
- Kuhn, H.W. The hungarian method for the assignment problem. Nav. Res. Logist. Q. 1955, 2, 83–97. [Google Scholar] [CrossRef] [Green Version]
- Ranjan, R.; Patel, V.M.; Chellappa, R. Hyperface: A deep multi-task learning framework for face detection, landmark localization, pose estimation, and gender recognition. IEEE Trans. Pattern Anal. Mach. Intell. 2017, 41, 121–135. [Google Scholar] [CrossRef] [PubMed] [Green Version]
- Sener, O.; Koltun, V. Multi-task learning as multi-objective optimization. Adv. Neural Inf. Process. Syst. 2018, 31, 525–536. [Google Scholar]
- Voigtlaender, P.; Krause, M.; Osep, A.; Luiten, J.; Sekar, B.B.G.; Geiger, A.; Leibe, B. Mots: Multi-object tracking and segmentation. In Proceedings of the IEEE/CVF Conference on Computer Vision and Pattern Recognition, Seoul, Korea, 27–28 October 2019; pp. 7942–7951. [Google Scholar]
- He, K.; Gkioxari, G.; Dollár, P.; Girshick, R. Mask r-cnn. In Proceedings of the IEEE International Conference on Computer Vision, Venice, Italy, 22–29 October 2017; pp. 2961–2969. [Google Scholar]
- Wang, Z.; Zheng, L.; Liu, Y.; Li, Y.; Wang, S. Towards real-time multi-object tracking. In Proceedings of the European Conference on Computer Vision, Glasgow, UK, 23–28 August 2020; pp. 107–122. [Google Scholar]
- Zhang, Y.; Wang, C.; Wang, X.; Zeng, W.; Liu, W. Fairmot: On the fairness of detection and re-identification in multiple object tracking. Int. J. Comput. Vis. 2021, 129, 3069–3087. [Google Scholar] [CrossRef]
- Zhang, Z.; Cheng, D.; Zhu, X.; Lin, S.; Dai, J. Integrated object detection and tracking with tracklet-conditioned detection. arXiv 2018, arXiv:1811.11167. [Google Scholar]
- Bergmann, P.; Meinhardt, T.; Leal-Taixe, L. Tracking without bells and whistles. In Proceedings of the IEEE/CVF International Conference on Computer Vision, Seoul, Korea, 27–28 October 2019; pp. 941–951. [Google Scholar]
- Zhou, X.; Koltun, V.; Krähenbühl, P. Tracking objects as points. In Proceedings of the European Conference on Computer Vision, Glasgow, UK, 23–28 August 2020; pp. 474–490. [Google Scholar]
- Meinhardt, T.; Kirillov, A.; Leal-Taixe, L.; Feichtenhofer, C. Trackformer: Multi-object tracking with transformers. In Proceedings of the IEEE/CVF Conference on Computer Vision and Pattern Recognition, New Orleans, LA, USA, 19–23 June 2022; pp. 8844–8854. [Google Scholar]
- Zhu, X.; Su, W.; Lu, L.; Li, B.; Wang, X.; Dai, J. Deformable detr: Deformable transformers for end-to-end object detection. arXiv 2020, arXiv:2010.04159. [Google Scholar]
- Sun, P.; Cao, J.; Jiang, Y.; Zhang, R.; Xie, E.; Yuan, Z.; Wang, C.; Luo, P. Transtrack: Multiple object tracking with transformer. arXiv 2020, arXiv:2012.15460. [Google Scholar]
- Xu, Y.; Ban, Y.; Delorme, G.; Gan, C.; Rus, D.; Alameda-Pineda, X. Transcenter: Transformers with dense queries for multiple-object tracking. arXiv 2021, arXiv:2103.15145. [Google Scholar]
- Singh, V.K.; Rashwan, H.A.; Romani, S.; Akram, F.; Pandey, N.; Sarker, M.M.K.; Saleh, A.; Arenas, M.; Arquez, M.; Puig, D.; et al. Breast tumor segmentation and shape classification in mammograms using generative adversarial and convolutional neural network. Expert Syst. Appl. 2020, 139, 112855. [Google Scholar] [CrossRef]
- Zhang, Z. A flexible new technique for camera calibration. IEEE Trans. Pattern Anal. Mach. Intell. 2000, 22, 1330–1334. [Google Scholar] [CrossRef] [Green Version]
- Luiten, J.; Osep, A.; Dendorfer, P.; Torr, P.; Geiger, A.; Leal-Taixé, L.; Leibe, B. Hota: A higher order metric for evaluating multi-object tracking. Int. J. Comput. Vis. 2021, 129, 548–578. [Google Scholar] [CrossRef]







| Name | Scenes | Field of View | Seat Type | Resolution | Clips | Avg.clip Dur(s) | Players | Avg.target Dur(s) | Open Sources |
|---|---|---|---|---|---|---|---|---|---|
| Hockey [12] | hockey | dynamic | broadcast camera | 1280 × 720 | 84 | 36 | - | - | No |
| SoccerNet-V2 [13] | soccer | dynamic | broadcast camera | 398 × 224 ∼ 1280 × 720 | 200 | 30 | - | - | Yes |
| Yukun Yang [14] | soccer and basketball | part of the field | multi-static camera | 1280 × 720 ∼ 2560 × 1920 | 5 | 393 | 56 | - | No |
| Basketball-V1 [15] | basketball scenes | part of the field | single static camera | 960 × 540 ∼ 1280 × 720 | 15 | 120 | 124 | 120 | No |
| Ours | soccer scenes | whole field | single static camera | 2816 × 1408 ∼ 5950 × 1152 | 17 | 120 | 310+ | 110+ | Yes |
| Name | Game Type | Players | Length (s) | FPS | Resolution | Field Size (m) | Field | Split Type | |
|---|---|---|---|---|---|---|---|---|---|
| 1 | 1127-1 | 5-A-Side | 12 | 120 | 20 | 2816 × 1408 | 40 × 20 | Figure 1a | train |
| 2 | 1131-1 | 5-A-Side | 12 | 120 | 20 | 2816 × 1408 | 40 × 20 | Figure 1a | train |
| 3 | 1133-1 | 5-A-Side | 12 | 120 | 20 | 2816 × 1408 | 40 × 20 | Figure 1a | train |
| 4 | 1140-1 | 5-A-Side | 12 | 120 | 20 | 2816 × 1408 | 40 × 20 | Figure 1a | test |
| 5 | 1147-1 | 7-A-Side | 16 | 120 | 20 | 2880 × 1920 | 44 × 35 | Figure 1b | train |
| 6 | 1151-1 | 7-A-Side | 16 | 120 | 20 | 2880 × 1920 | 44 × 35 | Figure 1b | train |
| 7 | 1152-1 | 7-A-Side | 16 | 120 | 20 | 2880 × 1920 | 44 × 35 | Figure 1b | train |
| 8 | 1159-1 | 7-A-Side | 16 | 120 | 20 | 2880 × 1920 | 44 × 35 | Figure 1b | test |
| 9 | 0826-2-x | 8-A-Side | 19 | 120 | 20 | 4736 × 1400 | 68.3 × 48.5 | Figure 1c | train |
| 10 | 0826-1-s | 8-A-Side | 19 | 120 | 20 | 4736 × 1400 | 68.3 × 48.5 | Figure 1c | train |
| 11 | 0626-1-1 | 8-A-Side | 19 | 120 | 20 | 4736 × 1400 | 68.3 × 48.5 | Figure 1c | train |
| 12 | 0626-1-2 | 8-A-Side | 19 | 120 | 20 | 4736 × 1400 | 68.3 × 48.5 | Figure 1c | train |
| 13 | 0626-2-1 | 8-A-Side | 19 | 120 | 20 | 4736 × 1400 | 68.3 × 48.5 | Figure 1c | test |
| 14 | 0313-00 | 11-A-Side | 25 | 120 | 20 | 5950 × 1152 | 101.8 × 68.5 | Figure 1d | train |
| 15 | 0313-01 | 11-A-Side | 25 | 120 | 20 | 5950 × 1152 | 101.8 × 68.5 | Figure 1d | train |
| 16 | 0313-02 | 11-A-Side | 25 | 120 | 20 | 5950 × 1152 | 101.8 × 68.5 | Figure 1d | train |
| 17 | 0313-03 | 11-A-Side | 25 | 120 | 20 | 5950 × 1152 | 101.8 × 68.5 | Figure 1d | test |
| Position | Name | Description |
|---|---|---|
| 1 | Frame number | Indicates at which frame the object is present |
| 2 | Identity number | Each pedestrian trajectory is identified by a unique ID (−1 for detections) |
| 3 | Bounding box left | Coordinate of the top-left corner of the pedestrian bounding box |
| 4 | Bounding box top | Coordinate of the top-left corner of the pedestrian bounding box |
| 5 | Bounding box width | Width in pixels of the pedestrian bounding box |
| 6 | Bounding box height | Height in pixels of the pedestrian bounding box |
| 7 | Confidence score | It acts as a flag whether the entry is to be considered |
| 8 | Jersey Number | Indicate the jersey number of the player (−1 if not available) |
| 9 | Team identity number | Each team of each game is identified by a unique ID |
| 10 | x | 3D x position of the player in real-world coordinates |
| 11 | y | 3D y position of the player in real-world coordinates |
| Algorithms | HOTA ↑ | MOTA ↑ | IDF1 ↓ | IDSW ↓ |
|---|---|---|---|---|
| Tracker++ | 44.0 | 50.6 | 51.8 | 1708 |
| CenterTrack | 51.3 | 66.9 | 63.0 | 3107 |
| FairMOT | 58.5 | 72.0 | 70.3 | 3391 |
| TransTrack | 52.8 | 74.1 | 61.6 | 3713 |
| GameType | Algorithms | HOTA ↑ | DetA ↑ | MOTA ↑ | IDF1 ↑ | IDSW ↓ |
|---|---|---|---|---|---|---|
| 5-A-Side | Trackor++ | 23.64 | 47.35 | 58.17 | 23.42 | 586 |
| CenterTrack | 40.00 | 62.65 | 80.41 | 41.33 | 218 | |
| FairMot | 47.51 | 61.66 | 82.26 | 58.46 | 315 | |
| TransTrack | 37.30 | 62.83 | 82.18 | 39.33 | 222 | |
| 7-A-Side | Trackor++ | 23.42 | 33.27 | 4.46 | 30.40 | 119 |
| CenterTrack | 52.07 | 64.00 | 73.66 | 58.79 | 58 | |
| FairMot | 57.76 | 69.85 | 92.26 | 71.59 | 36 | |
| TransTrack | 43.84 | 62.44 | 80.23 | 51.75 | 116 | |
| 8-A-Side | Trackor++ | 27.41 | 48.66 | 53.37 | 31.90 | 748 |
| CenterTrack | 44.71 | 75.87 | 90.75 | 44.76 | 283 | |
| FairMot | 54.20 | 72.01 | 90.84 | 62.92 | 111 | |
| TransTrack | 30.91 | 55.65 | 74.89 | 35.78 | 656 | |
| 11-A-Side | Trackor++ | 22.11 | 38.95 | 12.21 | 23.77 | 327 |
| CenterTrack | 43.25 | 66.54 | 72.52 | 41.17 | 232 | |
| FairMot | 50.27 | 68.88 | 72.15 | 51.26 | 130 | |
| TransTrack | 16.56 | 40.55 | 18.03 | 14.54 | 929 |
Publisher’s Note: MDPI stays neutral with regard to jurisdictional claims in published maps and institutional affiliations. |
© 2022 by the authors. Licensee MDPI, Basel, Switzerland. This article is an open access article distributed under the terms and conditions of the Creative Commons Attribution (CC BY) license (https://creativecommons.org/licenses/by/4.0/).
Share and Cite
Huang, W.; He, S.; Sun, Y.; Evans, J.; Song, X.; Geng, T.; Sun, G.; Fu, X. Open Dataset Recorded by Single Cameras for Multi-Player Tracking in Soccer Scenarios. Appl. Sci. 2022, 12, 7473. https://doi.org/10.3390/app12157473
Huang W, He S, Sun Y, Evans J, Song X, Geng T, Sun G, Fu X. Open Dataset Recorded by Single Cameras for Multi-Player Tracking in Soccer Scenarios. Applied Sciences. 2022; 12(15):7473. https://doi.org/10.3390/app12157473
Chicago/Turabian StyleHuang, Wenbin, Sailing He, Yaoran Sun, Julian Evans, Xian Song, Tongyu Geng, Guanrong Sun, and Xubo Fu. 2022. "Open Dataset Recorded by Single Cameras for Multi-Player Tracking in Soccer Scenarios" Applied Sciences 12, no. 15: 7473. https://doi.org/10.3390/app12157473
APA StyleHuang, W., He, S., Sun, Y., Evans, J., Song, X., Geng, T., Sun, G., & Fu, X. (2022). Open Dataset Recorded by Single Cameras for Multi-Player Tracking in Soccer Scenarios. Applied Sciences, 12(15), 7473. https://doi.org/10.3390/app12157473

