Effects of Loading Stress and Velocity on Compression and Particle Breakage Behaviour of Waste Rocks in Backfill Coal Mining
Abstract
1. Introduction
2. Experimental Descriptions
2.1. Experimental Apparatus
2.2. Specimen Preparation
2.3. Experimental Scheme
2.4. Experimental Procedures
- Prepare the specimen and place it into the steel barrel
- 2.
- Weigh each specimen and record the initial height in the chamber
- 3.
- Load and compress the specimen
- 4.
- Remove the specimen and sieve the particles
3. Calculation of Compressive Deformation and Particle Breakage
3.1. Calculation Model of Gangue Compressive Deformation
3.2. Quantitative Model of Gangue Particle Breakage
4. Results and Discussion
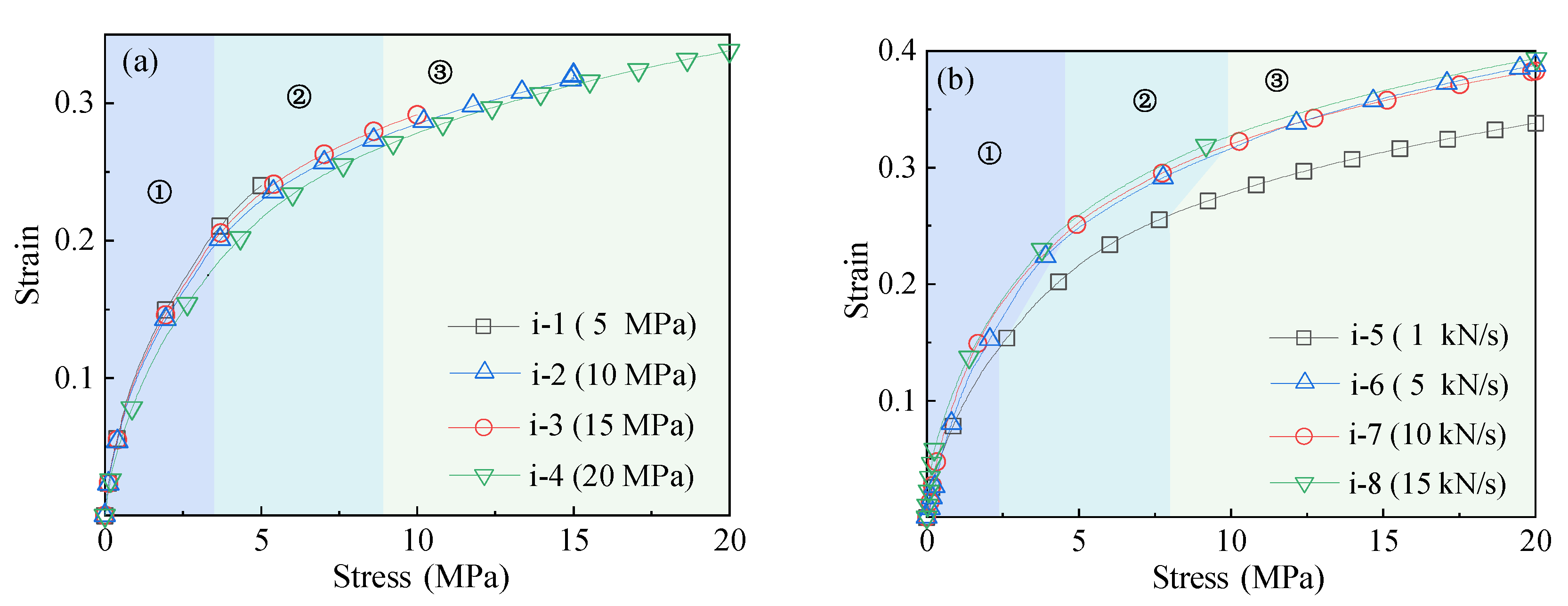
4.1. Compressive Deformation Evolution
4.2. Particle Breakage Evolution
5. Conclusions
- Loading stress and strain have a logarithmic relationship. Increasing the loading velocity destroys the contact structures among the gangue particles and leads to a larger deformation of gangue filling materials.
- With the increase in stress, the particles of 16~20 mm size were the first to be crushed in large quantities, and their CPPAC reached −65.29%. At this time, the large-size gangue particles above 20 mm showed a stronger bearing capacity, and were mainly crushed after a loading stress greater than 10 MPa.
- Further increasing the loading velocity increases the breakage of the gangue filling materials. The particle breakage ratio has a logarithmic functional relationship with the loading velocity.
- The compression deformation of gangue backfill materials and particle breakage has a high correlation. When ground stress is lower than 5 MPa, the content of coarse particles should be increased to enhance the bearing capacity of the backfill body. When the ground stress is higher than 10 MPa, the content of fine particles should be increased to reduce the particle fragmentation rate.
Author Contributions
Funding
Data Availability Statement
Acknowledgments
Conflicts of Interest
References
- Bhuiyan, M.A.H.; Parvez, L.; Islam, M.A.; Dampare, S.B.; Suzuki, S. Heavy metal pollution of coal mine-affected agricultural soils in the northern part of Bangladesh. J. Hazard. Mater. 2010, 173, 384–392. [Google Scholar] [CrossRef]
- Shi, J.; Huang, W.; Han, H.; Xu, C. Pollution control of wastewater from the coal chemical industry in China: Environmental management policy and technical standards. Renew. Sustain. Energy Rev. 2021, 143, 110883. [Google Scholar] [CrossRef]
- MacCausland, A.; McTammany, M.E. The impact of episodic coal mine drainage pollution on benthic macroinvertebrates in streams in the Anthracite region of Pennsylvania. Environ. Pollut. 2007, 149, 216–226. [Google Scholar] [CrossRef]
- Fernández, P.R.; Granda, G.R.; Krzemień, A.; Cortés, S.G.; Valverde, G.F. Subsidence versus natural landslides when dealing with property damage liabilities in underground coal mines. Int. J. Rock Mech. Min. 2020, 126, 104175. [Google Scholar] [CrossRef]
- Wang, B.; Xu, J.; Xuan, D. Time function model of dynamic surface subsidence assessment of grout-injected overburden of a coal mine. Int. J. Rock Mech. Min. 2018, 104, 1–8. [Google Scholar] [CrossRef]
- Zheng, L.; Chen, X.; Dong, X.; Wei, X.; Jiang, C.; Tang, Q. Using δ34S–SO4 and δ18O–SO4 to trace the sources of sulfate in different types of surface water from the Linhuan coal-mining subsidence area of Huaibei, China. Ecotoxicol. Environ. Saf. 2019, 181, 231–240. [Google Scholar] [CrossRef]
- Guo, S.; Zhang, J.; Li, M.; Zhou, N.; Song, W.; Wang, Z.; Qi, S. A preliminary study of solid-waste coal gangue based biomineralization as eco-friendly underground backfill material: Material preparation and macro-micro analyses. Sci. Total Environ. 2021, 770, 145241. [Google Scholar] [CrossRef]
- Liang, Y.; Liang, H.; Zhu, S. Mercury emission from spontaneously ignited coal gangue hill in Wuda coalfield, Inner Mongolia, China. Fuel 2016, 182, 525–530. [Google Scholar] [CrossRef]
- Capasso, I.; Lirer, S.; Flora, A.; Ferone, C.; Cioffi, R.; Caputo, D.; Liguori, B. Reuse of mining waste as aggregates in fly ash-based geopolymers. J. Clean. Prod. 2019, 220, 65–73. [Google Scholar] [CrossRef]
- Barreto, L.; Ghisi, E.; Godoi, C.; Oliveira, F. Reuse of ornamental rock solid waste for stabilization and solidification of galvanic solid waste: Optimization for sustainable waste management strategy. J. Clean. Prod. 2020, 275, 122996. [Google Scholar] [CrossRef]
- Castro-Gomes, J.P.; Silva, A.P.; Cano, R.P.; Durán Suarez, J.; Albuquerque, A. Potential for reuse of tungsten mining waste-rock in technical-artistic value added products. J. Clean. Prod. 2012, 25, 34–41. [Google Scholar] [CrossRef]
- Miao, X.; Zhang, J.; Feng, M. Waste-filling in fully-mechanized coal mining and its application. J. China Univ. Min. Technol. 2008, 18, 479–482. [Google Scholar] [CrossRef]
- Zhang, J.; Zhou, N.; Huang, Y.; Zhang, Q. Impact law of the bulk ratio of backfilling body to overlying strata movement in fully mechanized backfilling mining. J. Min. Sci. 2011, 47, 73–84. [Google Scholar] [CrossRef]
- Huang, Y.; Zhang, J.; Zhang, Q.; Nie, S. Backfilling technology of substituting waste and fly ash for coal underground in china coal mining area. Environ. Eng. Manag. J. 2011, 10, 769–775. [Google Scholar] [CrossRef]
- Deng, X.; Li, Y.; Wang, F.; Shi, X.; Yang, Y.; Xu, X.; Huang, Y.; de Wit, B. Experimental study on the mechanical properties and consolidation mechanism of microbial grouted backfill. Int. J. Min. Sci. Technol. 2022, 32, 271–282. [Google Scholar] [CrossRef]
- Pappas, D.M.; Mark, C. Behavior of Simulated Longwall Gob Material; US Department of the Interior, Bureau of Mines: Washington, DC, USA, 1993.
- Arasteh, H.; Saeedi, G.; Farsangi, M.A.E.; Esmaeili, K. A New Model for Calculation of the Plastic Compression Index and Porosity and Permeability of Gob Materials in Longwall Mining. Geotech. Geol. Eng. 2020, 38, 6407–6420. [Google Scholar] [CrossRef]
- Benarchid, Y.; Taha, Y.; Argane, R.; Benzaazoua, M. Application of Quebec recycling guidelines to assess the use feasibility of waste rocks as construction aggregates. Resour. Policy 2018, 59, 68–76. [Google Scholar] [CrossRef]
- Arulrajah, A.; Ali, M.M.Y.; Disfani, M.M.; Piratheepan, J.; Bo, M.W. Geotechnical Performance of Recycled Glass-Waste Rock Blends in Footpath Bases. J. Mater. Civ. Eng. 2013, 25, 653–661. [Google Scholar] [CrossRef]
- Arulrajah, A.; Ali, M.M.Y.; Piratheepan, J.; Bo, M.W. Geotechnical Properties of Waste Excavation Rock in Pavement Subbase Applications. J. Mater. Civ. Eng. 2012, 24, 924–932. [Google Scholar] [CrossRef]
- Hane, I.; Belem, T.; Benzaazoua, M.; Maqsoud, A. Laboratory Characterization of Cemented Tailings Paste Containing Crushed Waste Rocks for Improved Compressive Strength Development. Geotech. Geol. Eng. 2017, 35, 645–662. [Google Scholar] [CrossRef]
- Zhang, J.; Li, M.; Liu, Z.; Zhou, N. Fractal characteristics of crushed particles of coal gangue under compaction. Powder Technol. 2017, 305, 12–18. [Google Scholar] [CrossRef]
- Li, J.; Huang, Y.; Pu, H.; Gao, H.; Li, Y.; Ouyang, S.; Guo, Y. Influence of block shape on macroscopic deformation response and meso-fabric evolution of crushed gangue under the triaxial compression. Powder Technol. 2021, 384, 112–124. [Google Scholar] [CrossRef]
- Salguero, F.; Grande, J.A.; Valente, T.; Garrido, R.; de la Torre, M.L.; Fortes, J.C.; Sánchez, A. Recycling of manganese gangue materials from waste-dumps in the Iberian Pyrite Belt—Application as filler for concrete production. Constr. Build. Mater. 2014, 54, 363–368. [Google Scholar] [CrossRef]
- Li, M.; Li, A.; Zhang, J.; Huang, Y.; Li, J. Effects of particle sizes on compressive deformation and particle breakage of gangue used for coal mine goaf backfill. Powder Technol. 2020, 360, 493–502. [Google Scholar] [CrossRef]
- Li, M.; Zhang, J.; Guo, Y.; Pu, H.; Peng, Y. Influence of particle size distribution on fractal characteristics of waste rock backfill materials under compression. J. Mater. Res. Technol. 2022, 20, 2977–2989. [Google Scholar] [CrossRef]
- Ma, D.; Duan, H.; Zhang, J.; Liu, X.; Li, Z. Numerical Simulation of Water–Silt Inrush Hazard of Fault Rock: A Three-Phase Flow Model. Rock Mech. Rock Eng. 2022, 55, 5163–5182. [Google Scholar] [CrossRef]
- Ma, L.; Sun, H.; Ngo, I.; Han, J. Infrared radiation quantification of rock damage and its constitutive modeling under loading. Infrared Phys. Technol. 2022, 121, 104044. [Google Scholar] [CrossRef]
- Ma, D.; Duan, H.; Zhang, J. Solid grain migration on hydraulic properties of fault rocks in underground mining tunnel: Radial seepage experiments and verification of permeability prediction. Tunn. Undergr. Space Technol. 2022, 126, 104525. [Google Scholar] [CrossRef]
- Ma, D.; Duan, H.; Zhang, J.; Bai, H. A state-of-the-art review on rock seepage mechanism of water inrush disaster in coal mines. Int. J. Coal Sci. Technol. 2022, 9, 50. [Google Scholar] [CrossRef]
- Zhang, Y.; Feng, G.; Qi, T.; Lusquiños, F. Experimental Research on Internal Behaviors of Caved Rocks under the Uniaxial Confined Compression. Adv. Mater. Sci. Eng. 2017, 2017, 6949264. [Google Scholar] [CrossRef]
- Wang, L.; Yin, M.; Kong, H.; Zhang, H. Experimental Study on Breakage Characteristics and Energy Dissipation of the Crushed Rock Grains. KSCE J. Civ. Eng. 2022, 26, 1465–1478. [Google Scholar] [CrossRef]
- Liu, H.; Zhang, J.; Li, B.; Zhou, N.; Li, D.; Zhang, L.; Xiao, X. Long term leaching behavior of arsenic from cemented paste backfill made of construction and demolition waste: Experimental and numerical simulation studies. J. Hazard. Mater. 2021, 416, 125813. [Google Scholar] [CrossRef] [PubMed]
- Ma, L.; Khan, N.M.; Cao, K.; Rehman, H.; Salman, S.; Rehman, F.U. Prediction of Sandstone Dilatancy Point in Different Water Contents Using Infrared Radiation Characteristic: Experimental and Machine Learning Approaches. Lithosphere 2021, 4, 3243070. [Google Scholar] [CrossRef]
- Qi, W.; Huang, Y.; He, H.; Zhang, J.; Li, J.; Qiao, M. Potential Pollution of Groundwater by Dissolution and Release of Contaminants due to Using Gangue for Backfilling. Mine Water Environ. 2019, 38, 281–293. [Google Scholar] [CrossRef]
- Liu, H.; Zhang, J.; Li, B.; Zhou, N.; Xiao, X.; Li, M.; Zhu, C. Environmental behavior of construction and demolition waste as recycled aggregates for backfilling in mines: Leaching toxicity and surface subsidence studies. J. Hazard. Mater. 2020, 389, 121870. [Google Scholar] [CrossRef]
- Ma, L.; Xu, Y.; Ngo, I.; Wang, Y.; Zhai, J.; Hou, L. Prediction of Water-Blocking Capability of Water-Seepage-Resistance Strata Based on AHP-Fuzzy Comprehensive Evaluation Method—A Case Study. Water 2022, 14, 2517. [Google Scholar] [CrossRef]
- Qi, W.; Zhang, J.; Zhang, Q.; Liguori, B. Compression of Aggregates of Acid-Leached Coal Gangues: Implications for Coal Mine Backfill. Adv. Mater. Sci. Eng. 2018, 2018, 7056430. [Google Scholar] [CrossRef]
- JGJ 52-2006; Standard for Technical Requirements and Test Method of Sand and Crushed Stone (or Gravel) for Ordinary Concrete. Industry Standard of the People’s Republic of China: Bejing, China, 2007.
- NB/T 51019-2014; Energy Industry Standards of the People’s Republic of China; Method of Compaction Testing of Solid Backfilling Materials. National Energy Administration: Bejing, China, 2014.
- Zhou, N.; Han, X.; Zhang, J.; Li, M. Compressive deformation and energy dissipation of crushed coal gangue. Powder Technol. 2016, 297, 220–228. [Google Scholar] [CrossRef]
- Li, M.; Zhang, J.; Huang, P.; Gao, R. Mass ratio design based on compaction properties of backfill materials. J. Cent. South Univ. 2016, 23, 2669–2675. [Google Scholar] [CrossRef]
- Li, M.; Zhang, J.; Zhou, N.; Huang, Y. Effect of Particle Size on the Energy Evolution of Crushed Waste Rock in Coal Mines. Rock Mech. Rock Eng. 2017, 50, 1347–1354. [Google Scholar] [CrossRef]
- Yan, H.; Zhang, J.; Wang, J.; Zhou, N.; Zhang, S. Multi-fractal characteristics of particle size distribution of granular backfilling materials under different loads. Mater. Test. 2018, 60, 202–208. [Google Scholar] [CrossRef]
- Marsal, R.J. Large Scale Testing of Rockfill Materials. J. Soil Mech. Found. Div. 1967, 93, 27–43. [Google Scholar] [CrossRef]
- Hardin, B.O. Crushing of soil particles. J. Geotech. Eng. 1985, 111, 1177–1192. [Google Scholar] [CrossRef]








| Main Control Factor | Numbered Specimen | Loading Stress | Loading Velocity |
|---|---|---|---|
| Loading stress | i-1 | 5 MPa | 1 kN/s |
| i-2 | 10 MPa | ||
| i-3 | 15 MPa | ||
| i-4 | 20 MPa | ||
| Loading velocity | i-5 | 20 MPa | 1 kN/s |
| i-6 | 5 kN/s | ||
| i-7 | 10 kN/s | ||
| i-8 | 15 kN/s |
Publisher’s Note: MDPI stays neutral with regard to jurisdictional claims in published maps and institutional affiliations. |
© 2022 by the authors. Licensee MDPI, Basel, Switzerland. This article is an open access article distributed under the terms and conditions of the Creative Commons Attribution (CC BY) license (https://creativecommons.org/licenses/by/4.0/).
Share and Cite
Guo, Y.; Zhang, J.; Li, M.; Timms, W.; Shen, L.; Li, P. Effects of Loading Stress and Velocity on Compression and Particle Breakage Behaviour of Waste Rocks in Backfill Coal Mining. Appl. Sci. 2022, 12, 11175. https://doi.org/10.3390/app122111175
Guo Y, Zhang J, Li M, Timms W, Shen L, Li P. Effects of Loading Stress and Velocity on Compression and Particle Breakage Behaviour of Waste Rocks in Backfill Coal Mining. Applied Sciences. 2022; 12(21):11175. https://doi.org/10.3390/app122111175
Chicago/Turabian StyleGuo, Yuming, Jixiong Zhang, Meng Li, Wendy Timms, Lingling Shen, and Pengjie Li. 2022. "Effects of Loading Stress and Velocity on Compression and Particle Breakage Behaviour of Waste Rocks in Backfill Coal Mining" Applied Sciences 12, no. 21: 11175. https://doi.org/10.3390/app122111175
APA StyleGuo, Y., Zhang, J., Li, M., Timms, W., Shen, L., & Li, P. (2022). Effects of Loading Stress and Velocity on Compression and Particle Breakage Behaviour of Waste Rocks in Backfill Coal Mining. Applied Sciences, 12(21), 11175. https://doi.org/10.3390/app122111175

