Abstract
Nd-doped CaWO4 single crystals with dopant concentrations of 0.1, 0.5, and 1% were synthesized by the floating zone method. The transmission, photoluminescence, and scintillation properties were evaluated from ultraviolet to near-infrared (NIR) ranges. An emission peak due to transitions of the host was observed at 400 nm, and several sharp peaks originating from Nd3+ 4f–4f transitions were confirmed at 900, 1060, and 1300 nm. The quantum yields of 0.1, 0.5, and 1% Nd-doped samples were 70.7, 79.5, and 61.2%, respectively, when monitored, and excited wavelengths were 750–1500 nm and 590 nm. Decay times consistent with typical Nd3+ transitions were obtained when NIR ranges were monitored. Additionally, the energy transfer between the host and Nd3+ occurred according to the decay measurement. The relationship between X-ray irradiated dose rate and intensity in the range of NIR was investigated by combining the crystals with an InGaAs-photodiode. The lowest detectable dose rate retaining the linearity of the present crystals was 0.3–0.06 Gy/h.
1. Introduction
Scintillators have a function to convert high-energy photons like X- and γ-rays into many low-energy photons after absorbing the energy immediately. They have been practically used for radiation detections combined with photodetectors [1]. The application fields are widespread: medical [2], security [3], space exploration [4], high-energy physics [5], and resource exploration [6]. Scintillators with ultraviolet (UV)–visible light emitting have been mainly studied [7,8,9,10] because conventional detectors like photomultiplier tubes (PMTs) have wavelength sensitivity at the corresponding regions [11,12]. However, photodetectors having wavelength sensitivity at NIR ranges have been proposed, such as PbS [13], InSb [14], and InGaAs-based detectors [15]. Hence, NIR photons became detected, and the development of scintillators emitting NIR light (NIR-scintillators) has attracted much attention [16].
NIR scintillators are especially considered to be used in biological imaging and high-dose field monitoring. They can realize the in vivo depth imaging [16] owing to the unique characteristics of NIR light, such as high transparency for human soft tissues [17]. Additionally, they have an advantage in high-dose monitoring inside and around nuclear reactors compared with scintillators emitting UV–visible light [18]. Bluish-white Cherenkov lights are usually generated in nuclear reactors, and the scintillation detector is used in this environment. When conventional scintillators with visible emission wavelength are used in this situation, true and background Cherenkov signals are difficult to distinguish. On the contrary, NIR light can be easily distinguished from them because the intensity of Cherenkov light is inverse proportion to ~λ2 [19]; hence, the signal-to-noise ratio of scintillation light at the NIR range would be increased. Furthermore, a remote dose monitoring system with optical fibers having resistance to radiation is suggested for monitoring the environment [20]. NIR light produces low transmission losses in quartz fibers, while the degradation in the visible range is largely even in radiation-resistive optical fibers [21]. High interaction probabilities for X- and γ-rays and high radiation hardness are desired for scintillators to use in the above applications where the dose rate is very high. A CaWO4 single crystal is a candidate for the host material. This material has a large effective atomic number (Zeff, 62); thus, radiation detection efficiency can be improved as photoabsorption, Compton scattering, and pair creations are relatively proportional to ~Zeff4, ~Zeff, and ~Zeff2 [22], respectively. Additionally, the transmittance of the material in NIR regions is reported to change little after high-dose irradiation [23], although the transmittance of UV-visible ranges degrades largely after a huge exposure. In terms of luminescence centers, some rare-earth ions have a function to show NIR luminescence [24]. Nd3+ has especially attracted interest as NIR luminescent centers. Typical main emissions of Nd3+ are confirmed at ~1060 nm, and the emission is applied in laser fields such as Nd: Y3Al5O12 lasers [25]. Further, NIR-scintillation has been observed in some Nd-doped scintillators [26,27,28]. In the study, Nd-doped CaWO4 single crystals were grown as NIR-scintillators, and we evaluated the optical and scintillation properties.
2. Materials and Methods
CaWO4 single crystals doped with various concentrations of Nd (0.1, 0.5, and 1 at%) were grown with the floating zone (FZ) method. First, starting materials: CaO (Furuuchi Chemical, 99.99%), WO2 (Rare Metallic, 99.9%), and Nd2O3 (Rare Metallic, 99.99%) were mixed and sintered at 600 °C for 8 h. After that, they molded into rod-shaped and sintered at 1200 °C for 8 h. And then, polycrystalline rods were obtained. By using the rods, we conducted the crystal growth with the FZ furnace (Canon Machinery, FZD0192) having dual Halogen lamps. The condition of the rotation rate and the pulling-down rate were 14 rpm and 5 mm/h. To confirm the crystalline phases of the present crystals, powder X-ray diffraction (XRD) measurements were conducted with a diffractometer (Rigaku, MiniFlex600).
The measurement of diffuse transmission spectra was performed with a spectrophotometer (Shimadzu, SolidSpec-3700) as a basic optical property. The tested ranges were 270–1600 nm. Both a PMT and an InGaAs-based detector were mounted in the spectrophotometer, and they respectively monitored at 270–870 nm and 870–1600 nm by different photodetectors. In the evaluation of photoluminescence (PL) properties, PL excitation and emission contour maps were measured with a Quantaurus-QY Plus (Hamamatsu, C11367). The excitation and monitored wavelengths were 250–850 nm and 195–1675 nm, respectively. PL decay curves were measured with a Quantaurus-τ (Hamamatsu, C13534).
As radiation-induced luminescence properties, X-ray-induced scintillation spectra, decay curves, afterglow curves, and dose rate response properties were evaluated by our original setups [29,30,31]. In the measurement of dose rate response properties, the NIR-scintillation light from the samples was detected by an InGaAs-photodiode (PD) (Hamamatsu, G12180-250A). The light was carried via a fiber (Thorlabs, FP600ERT) of 5 m in length and 600 μm φ, and it simulated actual applications. The signals from the PD were analyzed as currents using a picoammeter (Keysight, B2985A).
3. Results and Discussion
After the crystal growth, rods with ~20 mm length and ~5 mm φ were obtained. They were cut and polished for the evaluation of optical and scintillation characteristics. Figure 1 shows the appearance of the prepared crystals. The length and thickness were ~3 mm and ~1 mm. All the crystals were transparent, and appeared pale blue as the dopant concentration increased.
Figure 1.
Photograph of Nd-doped CaWO4.
Some of the remained parts of as-grown rods after the single crystal growth were crushed, and the crashed powders were used for the XRD measurement. The obtained patterns and a reference from the Crystallography Open Database (COD: 9009627) are indicated in Figure 2. All the patterns matched that of the reference. Impurity phases such as CaO, WO2, and WO3 were not confirmed.
Figure 2.
XRD patterns of Nd-doped CaWO4 with reference.
The diffuse transmission spectra of the crystals are shown in Figure 3. The transmission spectra at 850–900 nm were not described because noise due to a detector switching from a PMT to an InGaAs-based detector was dominant in the range. The transmittance was ~70–90% in the range from 330 to 1600 nm, although signals at 900–1000 nm were especially unstable owing to noise from a detector switching. Absorption was observed at 270 nm, originating from the transition from the 2p states of O2− to the 5d states of W6+ in (WO4)2− [32,33]. Additionally, some absorption bands were confirmed at 350, 520, 590, 750, and 800 nm. They originated from the transitions from the 4I9/2 level to the 2I11/2, 2G9/2, 2G7/2, 4S3/2, and 4F5/2 levels of Nd3+ [34].
Figure 3.
Diffuse transmission spectra of Nd-doped CaWO4.
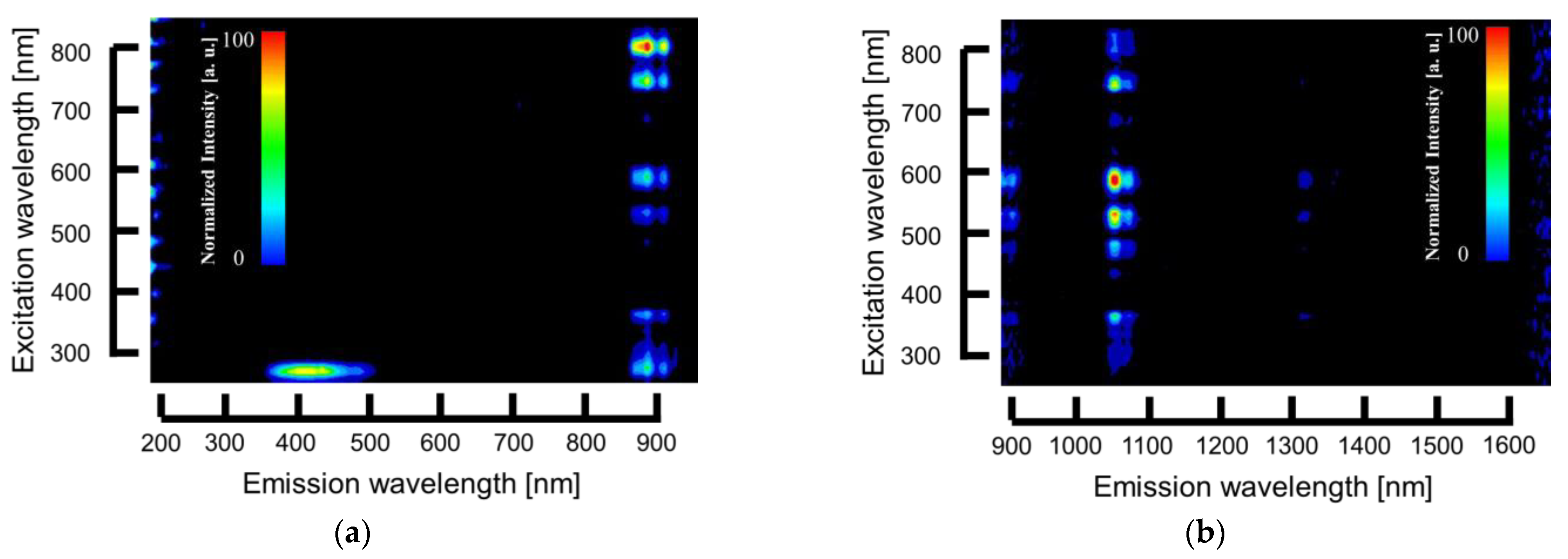
The excitation and emission contour maps of the 1% Nd-doped CaWO4 crystal are exhibited in Figure 4a,b as a representative. No significant change was observed in the spectral shapes of the other two crystals. The vertical axis presents the excitation wavelength, and the horizontal axis presents the emission wavelength. A broad emission band was confirmed at 350–500 nm under excitation wavelength at 250–300 nm. It would be derived from the host (CaWO4) [35]. In the NIR range, some emissions were confirmed at 900, 1060, and 1300 nm, and they were ascribed to the typical emissions derived from the 4f–4f transitions of Nd3+ [34,35]. The quantum yields (QY) of the crystals accumulated 750–1500 nm under excitation at 590 nm of 0.1, 0.5, and 1% doped samples were 70.7, 79.5, and 61.2%, respectively.
Figure 4.
PL excitation and emission contour maps of 1% Nd-doped CaWO4 monitored (a) 195–950 nm and (b) 895–1675 nm.
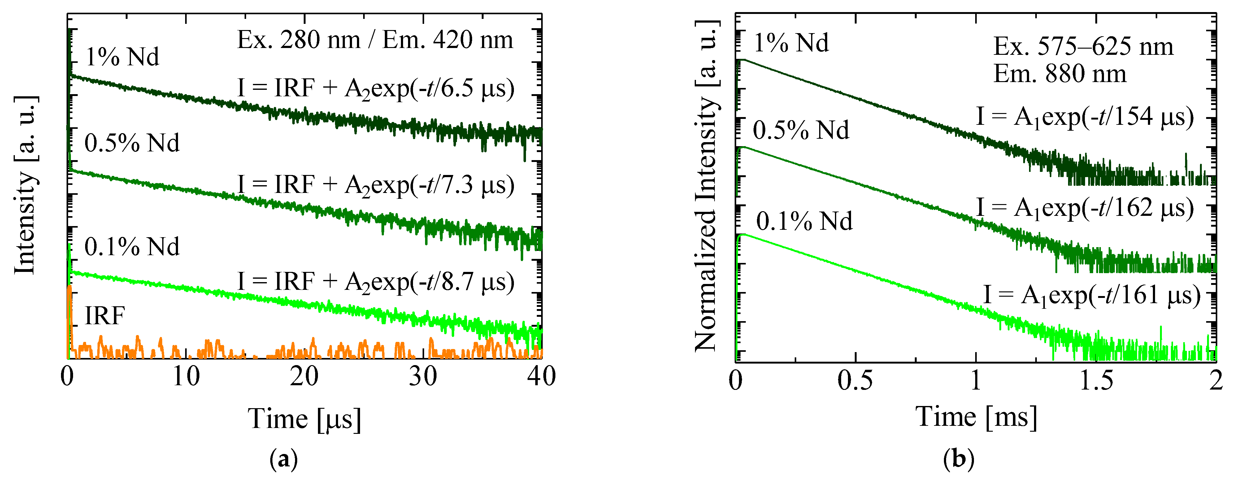
The PL decay curves were measured to confirm the origin of the emissions. Figure 5a exhibits the PL decay curves monitored at 420 nm. The excitation wavelength was selected to 280 nm. The decay curves were composed of the sum of two exponential functions. The fast components were attributed to the Instrumental response function (IRF) due to the excitation source. The slow components with decay times of ~7–9 μs would be derived from the charge transfer transition in (WO4)2− anion complex [36]. The decay curves monitored at 880 nm are exhibited in Figure 5b. The excitation wavelength was set to 575–625 nm. The curves were agreed with an exponential function with decay times of ~160 μs. The decay times were consistent with the reasonable values as the 4F3/2–4I9/2 transition of Nd3+ was reported in other phosphors doped with Nd [37,38].
Figure 5.
PL decay curves of Nd-doped CaWO4 (a) monitored at 420 nm under excitation at 280 nm and (b) monitored at 880 nm under excitation at 575–625 nm.
Figure 6a,b show the X-ray-induced scintillation spectra of the crystals when monitored at 300–600 nm and 700–1500 nm, respectively. A broad emission with the peak top at 420 nm was observed at 300–600 nm. The emission is composed of double peaks derived from the charge transfer transition in (WO4)2− anion complex and some defects such as oxygen and lattice defects [39]. In the NIR range, some sharp emission lines were confirmed at 900, 1060, and 1300 nm. Almost the same spectral features due to Nd3+ were observed in other materials doped with Nd [40,41,42]; hence the emissions would originate from the Nd3+.
Figure 6.
X-ray-induced scintillation spectra of Nd-doped CaWO4 monitored (a) 300–600 nm and (b) 700–1500 nm.
The X-ray-induced scintillation decay curves monitored at the range from UV to visible light are exhibited in Figure 7a. They were well agreed with a sum of two exponential functions. The origin of the fast (~1 μs) and slow (~5–7 μs) components were respectively considered to be the WO3–VO complex defects and the charge transfer transitions in (WO4)2− anion complex because the confirmed decay times were comparable with the scintillation decay times of CaWO4, reported in the past study [43]. The slow components became fast as the Nd concentration increased. It presented that the energy transfer from the host to Nd3+ happened because the emission due to the host partially matched with the excitation bands of Nd3+, as shown in Figure 4. Figure 7b shows the decay curves monitored at visible–NIR ranges. The obtained curves were well-matched with two exponential functions. The fast components (~5–7 μs) were derived from the WO3–VO complex defects according to the decay times since the PMT for the NIR range also had a sensitivity down to ~500 nm. The slow components had decay times of ~160–220 μs. They are typical values as Nd3+ 4f–4f transitions reported in some materials doped with Nd [44,45]. The scintillation decay times of the emissions at 1060 and 1300 nm could not be measured in the study owing to the limitation of sensitivity of the PMT. However, the decay times of the transitions at 1060 and 1300 nm can be respectively estimated to ~370 and ~580 μs according to the relationship between decay times and wavelength of scintillation (τ~λ2.2, where τ means the scintillation decay time and λ means emission wavelength) [46]. In the assumed applications, signal accumulation time is from several seconds to minutes, and the decay times observed here are acceptable enough for these applications.
Figure 7.
X-ray-induced scintillation decay curves of Nd-doped CaWO4 monitored (a) UV–visible ranges and (b) visible–NIR ranges.
Afterglow curves after 2 ms X-ray exposure of the crystals are exhibited in Figure 8. Afterglow demonstrates a relaxation process of electrons trapped at ~25meV from the bottom of the conduction band by thermal stimulation. The afterglow levels (A) were calculated as follows: A = (I20 − Ibg)/(Imax − Ibg). Here, I20, Imax, and Ibg were intensity at 20 ms after irradiation of X-ray, intensity during irradiation of X-ray, and intensity before irradiation of X-ray. The As of 0.1, 0.5, and 1% Nd-doped crystals were respectively estimated to be 1330, 1080, and 390 ppm. The As were much higher than that of CdWO4 (~10 ppm [31]). However, the value of the 1% Nd-doped crystal was comparable to that of Tl-doped CsI (~300 ppm [47]), one of the representative commercial scintillators for X-ray detection.
Figure 8.
Afterglow curves of Nd-doped CaWO4.
Relationships between the X-ray irradiated dose rate and the signal intensity in NIR ranges were investigated. In Figure 9, the vertical and horizontal axes present the averaged currents during X-ray exposure subtracted by averaged currents before X-ray exposure (background level) and X-ray exposure dose rate, respectively. The 0.5% Nd-doped crystal showed a response with retaining the linearity from 0.06 to 60 Gy/h with retaining the linearity whereas that of 0.1 and 1% Nd-doped crystals were 0.3–60 Gy/h. In the conventional model [48], the scintillation light yields (LYs) depend on the QY; thus, the 0.5%Nd-doped crystal is considered to show the highest LY among the present crystals, although the quantitative evaluation of the LYs in NIR ranges could not be done owing to the decay times with several hundred μs of Nd3+. The difference in LY would result in the difference in dynamic ranges among the crystals. In the past study, some of the Nd-doped materials were evaluated as NIR-scintillators by using the same detector form: SrY2O4 (0.06–60 Gy/h [49]), Bi4Ge3O12 (0.01–60 Gy/h [38]), and LuVO4 (0.006–60 Gy/h [50]). The present results were inferior to the lowest dose rate retaining the linearity (0.006 Gy/h) reported in the past studies; however, they were comparable with the second-best dose rate (~0.01 Gy/h). When compared with other red or NIR-scintillators combined with Si-based detectors, the detection limit in the present result was superior to that of Cs2HfI6 (2 Gy/h) and commercial Pr-doped Gd2O2S (GOS) (0.8 Gy/h) [20,51]. Additionally, we compared the present results with previous ones of visible-scintillation detectors such as CdWO4 combined with a PMT and Tb-doped GOS, which coated to a polymethyl methacrylate-based fiber combined with a Si-CCD. The lowest detectable dose rates of CdWO4 and Tb-doped GOS-based detectors were ~0.05 and ~60 Gy/h [52,53], and the present results surpassed these widely used commercial scintillators. The dose rate response of the CdWO4 and Tb-doped GOS could not be measured in this research since their emission wavelength (~500 nm) was out of the wavelength sensitivity of the InGaAs-PD (>900 nm).
Figure 9.
Relationships between the X-ray exposure dose rate and the intensity in the NIR ranges of the crystals.
4. Conclusions
CaWO4 single crystals doped with Nd (0.1, 0.5, and 1%) were grown by the FZ method. The optical and scintillation characteristics were investigated. Typical luminescence and decay times due to the Nd3+ transitions were confirmed when monitored at NIR ranges. To confirm the performance of NIR scintillation detectors, X-ray irradiated dose rate response properties were evaluated by using the crystals and an InGaAs-PD. The 0.5% Nd-doped crystal indicated the widest dynamic range (0.06–60 Gy/h) in all the present crystals. The result was comparable to the measurable ranges of other Nd-doped phosphors combined with an InGaAs-PD, such as Nd-doped SrY2O4 and Nd-doped Bi4Ge3O12, and it was superior to that of other scintillators emitting red light combined with Si-based detectors: Cs2HfI6 and commercial Pr-doped Gd2O2S. From the study, Nd-doped CaWO4 crystals were suggested to have the potential as NIR-scintillators used in high-dose field monitoring.
Author Contributions
Conceptualization, K.O.; methodology, K.O. and H.F.; validation, H.F., D.N., T.K., N.K. and T.Y.; formal analysis, K.O. and D.N.; investigation, K.O., D.N. and T.Y.; resources, T.Y.; data curation, K.O.; writing—original draft preparation, K.O.; writing—review and editing, K.O. and T.Y.; visualization, K.O.; supervision, T.Y.; project administration, T.Y.; funding acquisition, D.N., T.K., N.K. and T.Y. All authors have read and agreed to the published version of the manuscript.
Funding
This work was supported by Grant-in-Aid for Scientific Research A (22H00309), Scientific Research B (21H03733, 21H03736, and 22H03872), and Exploratory Research (22K18997) from Japan Society for the Promotion of Science. JST A-STEP, Foundation from Cooperative Research Project of Research Center for Biomedical Engineering, Nippon Sheet Glass Foundation, Terumo Life Science Foundation, Iwatani Naoji Foundation, and Konica Minolta Science and Technology Foundation are also acknowledged.
Institutional Review Board Statement
Not applicable.
Informed Consent Statement
Not applicable.
Data Availability Statement
Not applicable.
Conflicts of Interest
The authors declare no conflict of interest.
References
- Weber, M.J. Inorganic scintillators: Today and tomorrow. J. Lumin. 2002, 100, 35–45. [Google Scholar] [CrossRef]
- van Eijk, C.W.E. Inorganic scintillators in medical imaging detectors. Nucl. Instrum. Methods Phys. Res. A Accel. Spectrom. Detect. Assoc. Equip. 2003, 509, 17–25. [Google Scholar] [CrossRef]
- Ryzhikov, V.D.; Opolonin, A.D.; Pashko, P.V.; Svishch, V.M.; Volkov, V.G.; Lysetskaya, E.K.; Kozin, D.N.; Smith, C. Instruments and detectors on the base of scintillator crystals ZnSe(Te), CWO, CsI(Tl) for systems of security and customs inspection systems. Nucl. Instrum. Methods Phys. Res. A Accel. Spectrom. Detect. Assoc. Equip. 2005, 537, 424–430. [Google Scholar] [CrossRef]
- de Faoite, D.; Hanlon, L.; Roberts, O.; Ulyanov, A.; McBreen, S.; Tobin, I.; Stanton, K.T. Development of glass-ceramic scintillators for gamma-ray astronomy. J. Phys. Conf. Ser. 2015, 620, 012002. [Google Scholar] [CrossRef]
- Lecoq, P.; Korzhik, M. Scintillator developments for high energy physics and medical imaging. IEEE Trans. Nucl. Sci. 2000, 47, 1311–1314. [Google Scholar] [CrossRef]
- Melcher, C.L.; Schweitzer, J.S.; Manente, R.A.; Peterson, C.A. Applications of single crystals in oil well logging. J. Cryst. Growth 1991, 109, 37–42. [Google Scholar] [CrossRef]
- Nagarkar, V.V.; Gupta, T.K.; Miller, S.R.; Klugerman, Y.; Squillante, M.R.; Entine, G. Structured CsI(Tl) scintillators for X-ray imaging applications. IEEE Trans. Nucl. Sci. 1998, 45, 492–496. [Google Scholar] [CrossRef]
- Melcher, C.L.; Schweitzer, J.S. A promising new scintillator: Cerium-doped lutetium oxyorthosilicate. Nucl. Instrum. Methods Phys. Res. A Accel. Spectrom. Detect. Assoc. Equip. 1992, 314, 212–214. [Google Scholar] [CrossRef]
- Takagi, K.; Fukazawa, T. Cerium-activated Gd2SiO5 single crystal scintillator. Appl. Phys. Lett. 1983, 42, 43–45. [Google Scholar] [CrossRef]
- Quarati, F.G.A.; Owens, A.; Dorenbos, P.; de Haas, J.T.M.; Benzoni, G.; Blasi, N.; Boiano, C.; Brambilla, S.; Camera, F.; Alba, R.; et al. High energy gamma-ray spectroscopy with LaBr3 scintillation detectors. Nucl. Instrum. Methods Phys. Res. A Accel. Spectrom. Detect. Assoc. Equip. 2011, 629, 157–169. [Google Scholar] [CrossRef]
- Farrell, R.; Olschner, F.; Shah, K.; Squillante, M.R. Advances in semiconductor photodetectors for scintillators. Nucl. Instrum. Methods Phys. Res. A Accel. Spectrom. Detect. Assoc. Equip. 1997, 387, 194–198. [Google Scholar] [CrossRef]
- Sakai, E. Recent Measurements on Scintillator-Photodetector Systems. IEEE Trans. Nucl. Sci. 1987, 34, 418–422. [Google Scholar] [CrossRef]
- Theocharous, E. Absolute linearity measurements on a PbS detector in the infrared. Appl. Opt. 2006, 45, 2381–2386. [Google Scholar] [CrossRef] [PubMed]
- Wei, C.Y.; Wang, K.L.; Taft, E.A.; Swab, J.M.; Gibbons, M.D.; Davern, W.E.; Brown, D.M. Technology development for InSb infrared imagers. IEEE Trans. Electron Devices 1980, 27, 170–175. [Google Scholar] [CrossRef]
- Maruyama, T. Development of a near-infrared photon-counting system using an InGaAs avalanche photodiode. Opt. Eng. 2002, 41, 395. [Google Scholar] [CrossRef]
- Nakauchi, D.; Fujimoto, Y.; Kato, T.; Kawaguchi, N.; Yanagida, T. Properties of Sm-Doped SrCl2 Crystalline Scintillators. Crystals 2022, 12, 517. [Google Scholar] [CrossRef]
- Duan, Y.; Liu, B. Recent Advances of Optical Imaging in the Second Near-Infrared Window. Adv. Mater. 2018, 30, 1802394. [Google Scholar] [CrossRef]
- Nakauchi, D.; Fujimoto, Y.; Kato, T.; Kawaguchi, N.; Yanagida, T. X- and γ-ray response of Sm-doped SrBr2 crystalline scintillators emitting red-NIR photons. Jpn. J. Appl. Phys. 2021, 60, 092002. [Google Scholar] [CrossRef]
- Kaptanoglu, T.; Luo, M.; Klein, J. Cherenkov and scintillation light separation using wavelength in LAB based liquid scintillator. J. Instrum. 2019, 14, T05001. [Google Scholar] [CrossRef]
- Takada, E.; Kimura, A.; Hosono, Y.; Takahashi, H.; Nakazawa, M. Radiation Distribution Sensor with Optical Fibers for High Radiation Fields. J. Nucl. Sci. Technol. 1999, 36, 641–645. [Google Scholar] [CrossRef]
- Irshad Ahamed, M.; Sathish Kumar, K. Studies on Cu2SnS3 quantum dots for O-band wavelength detection. Mater. Sci. 2019, 37, 225–229. [Google Scholar] [CrossRef]
- Rodnyi, P.A. Physical Processes in Inorganic Scintillators; New York CRC Press: New York, NY, USA, 1997. [Google Scholar]
- Baccaro, S.; Bohacek, P.; Cecilia, A.; Laguta, V.; Montecchi, M.; Mihokova, E.; Nikl, M. Effect of La Doping on Calcium Tungstate (CaWO4) Crystals Radiation Hardness. Phys. Status Solidi 2000, 178, 799–804. [Google Scholar] [CrossRef]
- Okazaki, K.; Fukushima, H.; Nakauchi, D.; Okada, G.; Onoda, D.; Kato, T.; Kawaguchi, N.; Yanagida, T. Luminescence and dose-rate response properties of Pr-doped Bi4Ge3O12 scintillators. Radiat. Meas. 2022, 154, 106773. [Google Scholar] [CrossRef]
- Meral, G.; Tasar, F.; Kocagöz, S.; Sener, C. Factors affecting the antibacterial effects of Nd:YAG laser in vivo. Lasers Surg. Med. 2003, 32, 197–202. [Google Scholar] [CrossRef] [PubMed]
- Yanagida, T.; Fujimoto, Y.; Ishizu, S.; Fukuda, K. Optical and scintillation properties of Nd differently doped YLiF4 from VUV to NIR wavelengths. Opt. Mater. 2015, 41, 36–40. [Google Scholar] [CrossRef]
- Kantuptim, P.; Akatsuka, M.; Nakauchi, D.; Kato, T.; Kawaguchi, N.; Yanagida, T. Optical and scintillation properties of Nd-doped Lu2Si2O7 single crystals. J. Alloys Compd. 2021, 860, 158538. [Google Scholar] [CrossRef]
- Fujimoto, Y.; Yanagida, T.; Kojima, T.; Koshimizu, M.; Hironori, T.; Keisuke, A. Optical and Near-Infrared Scintillation Properties of Nd3+-Doped YVO4 Crystals. Sens. Mater. 2016, 28, 857–861. [Google Scholar] [CrossRef]
- Akatsuka, M.; Kimura, H.; Onoda, D.; Shiratori, D.; Nakauchi, D.; Kato, T.; Kawaguchi, N.; Yanagida, T. X-ray-induced Luminescence Properties of Nd-doped GdVO4. Sens. Mater. 2021, 33, 2243–2250. [Google Scholar] [CrossRef]
- Yanagida, T.; Kamada, K.; Fujimoto, Y.; Yagi, H.; Yanagitani, T. Comparative study of ceramic and single crystal Ce:GAGG scintillator. Opt. Mater. 2013, 35, 2480–2485. [Google Scholar] [CrossRef]
- Yanagida, T.; Fujimoto, Y.; Ito, T.; Uchiyama, K.; Mori, K. Development of X-ray-induced afterglow characterization system. Appl. Phys. Express 2014, 7, 062401. [Google Scholar] [CrossRef]
- Yaba, T.; Wangkhem, R.; Singh, N.S. Enhanced red emission from Bi3+ sensitized CaWO4:Eu3+ as red component for near UV/blue LED pumped white light emission. J. Alloys Compd. 2020, 843, 156022. [Google Scholar] [CrossRef]
- Kang, F.; Hu, Y.; Chen, L.; Wang, X.; Mu, Z.; Wu, H.; Ju, G. Eu3+ Doped CaWO4—A Potential Red Long Afterglow Phosphor. Appl. Phys. B 2012, 107, 833–837. [Google Scholar] [CrossRef]
- Suneetha, P.; Rajesh, C.; Ramana, M.V. Nd-doped CaWO4 nanocrystals—Synthesis and characterization. Mater. Res. Express 2017, 4, 085020. [Google Scholar] [CrossRef]
- Das, D.; Gupta, S.K.; Datrik, C.S.; Nandi, P.; Sudarshan, K. Role of alkali charge compensation in the luminescence of CaWO4:Nd3+ and SrWO4:Nd3+ Scheelites. New J. Chem. 2020, 44, 7300–7309. [Google Scholar] [CrossRef]
- Kang, F.; Peng, M. A new study on the energy transfer in the color-tunable phosphor CaWO4:Bi. Dalton Trans. 2014, 43, 277–284. [Google Scholar] [CrossRef] [PubMed]
- Wei, Y.; Tu, C.; Wang, H.; Yang, F.; Jia, G.; You, Z.; Lu, X.; Li, J.; Zhu, Z.; Wang, Y. Optical properties of Nd3+:NaLa (WO4)2 single crystal. Opt. Mater. 2007, 29, 1653–1657. [Google Scholar] [CrossRef]
- Okazaki, K.; Onoda, D.; Fukushima, H.; Nakauchi, D.; Kato, T.; Kawaguchi, N.; Yanagida, T. Characterization of scintillation properties of Nd-doped Bi4Ge3O12 single crystals with near-infrared luminescence. J. Mater. Sci. Mater. Electron. 2021, 32, 21677–21684. [Google Scholar] [CrossRef]
- Kraus, H.; Mikhailik, V.B.; Ramachers, Y.; Day, D.; Hutton, K.B.; Telfer, J. Feasibility study of a ZnWO4 scintillator for exploiting materials signature in cryogenic WIMP dark matter searches. Phys. Lett. Sect. B Nucl. Elem. Part. High-Energy Phys. 2005, 610, 37–44. [Google Scholar] [CrossRef]
- Nakauchi, D.; Okada, G.; Koshimizu, M.; Yanagida, T. Optical and scintillation properties of Nd-doped SrAl2O4 crystals. J. Rare Earths 2016, 34, 757–762. [Google Scholar] [CrossRef]
- Akatsuka, M.; Nakauchi, D.; Kato, T.; Kawaguchi, N.; Yanagida, T. Characterization of Nd: LaVO4 single-crystal scintillator emitting near-infrared photons. Jpn. J. Appl. Phys. 2022, 61, SB1025. [Google Scholar] [CrossRef]
- Okada, G.; Kawaguchi, N.; Yanagida, T. Development of NIR-Emitting Scintillators Based on Rare-Earth-Doped Garnet Crystals—Part 1. Sens. Mater. 2017, 29, 1407–1415. [Google Scholar] [CrossRef][Green Version]
- Zorenko, Y.; Pashkovsky, M.; Voloshinovskii, A.; Kuklinski, B.; Grinberg, M. The luminescence of CaWO4: Bi single crystals. J. Lumin. 2006, 116, 43–51. [Google Scholar] [CrossRef]
- Yanagida, T.; Akatsuka, M.; Okada, G.; Kawaguchi, N. Optical and scintillation properties of Nd-doped YAlO3 crystals. Opt. Mater. 2019, 90, 14–19. [Google Scholar] [CrossRef]
- Akatsuka, M.; Nakauchi, D.; Kato, T.; Kawaguchi, N.; Yanagida, T. Scintillation properties of Nd-doped MSiO3 (M = Ca, Sr, Ba) single crystals. Radiat. Meas. 2020, 133, 106298. [Google Scholar] [CrossRef]
- Yanagida, T. Inorganic scintillating materials and scintillation detectors. Proc. Jpn. Acad. Ser. B 2018, 94, 75–97. [Google Scholar] [CrossRef] [PubMed]
- Nakauchi, D.; Kato, T.; Kawaguchi, N.; Yanagida, T. Characterization of Eu-doped Ba2SiO4, a high light yield scintillator. Appl. Phys. Express 2020, 13, 122001. [Google Scholar] [CrossRef]
- Robbins, D.J. On Predicting the Maximum Efficiency of Phosphor Systems Excited by Ionizing Radiation. J. Electrochem. Soc. 1980, 127, 2694–2702. [Google Scholar] [CrossRef]
- Fukushima, H.; Akatsuka, M.; Kimura, H.; Onoda, D.; Shiratori, D.; Nakauchi, D.; Kato, T.; Kawaguchi, N.; Yanagida, T. Optical and Scintillation Properties of Nd-doped Strontium Yttrate Single Crystals. Sens. Mater. 2021, 33, 2235–2241. [Google Scholar] [CrossRef]
- Akatsuka, M.; Nakauchi, D.; Kato, T.; Noriaki, K.; Takayuki, Y. Scintillation Properties of Nd-doped LuVO4 Single Crystals. Sens. Mater. 2022, 34, 619–627. [Google Scholar] [CrossRef]
- Kodama, S.; Kurosawa, S.; Ohno, M.; Morishita, Y.; Usami, H.; Hayashi, M.; Sasano, M.; Azuma, T.; Tanaka, H.; Kochurikhin, V.; et al. Fiber-read radiation monitoring system using an optical fiber and red-emitting scintillator for ultra-high-dose conditions. Appl. Phys. Express 2020, 13, 047002. [Google Scholar] [CrossRef]
- Michail, C.; Koukou, V.; Martini, N.; Saatsakis, G.; Kalyvas, N.; Bakas, A.; Kandarakis, I.; Fountos, G.; Panayiotakis, G.; Valais, I. Luminescence Efficiency of Cadmium Tungstate (CdWO4) Single Crystal for Medical Imaging Applications. Crystals 2020, 10, 429. [Google Scholar] [CrossRef]
- Lewis, E.; O’Keeffe, S.; Grattan, M.; Hounsell, A.; McCarthy, D.; Woulfe, P.; Cronin, J.; Mihai, L.; Sporea, D.; Santhanam, A.; et al. Terbium-doped gadolinium oxysulfide (Gd2O2S:Tb) scintillation-based polymer optical fibre sensor for real time monitoring of radiation dose in oncology. Opt. Sens. Detect. III 2014, 9141, 914113. [Google Scholar] [CrossRef]
Publisher’s Note: MDPI stays neutral with regard to jurisdictional claims in published maps and institutional affiliations. |
© 2022 by the authors. Licensee MDPI, Basel, Switzerland. This article is an open access article distributed under the terms and conditions of the Creative Commons Attribution (CC BY) license (https://creativecommons.org/licenses/by/4.0/).








