A New HEV Power Distribution Algorithm Using Nonlinear Programming
Abstract
1. Introduction
2. System Model
2.1. Internal Combustion Engine
2.2. Electrical Motor
2.3. Battery
3. NLP-Based ECMS Algorithm
3.1. Required Torque Preprocessing Algorithm
3.2. Nonlinear Programming
3.3. Adaptive Equivalent Consumption Minimization Strategy
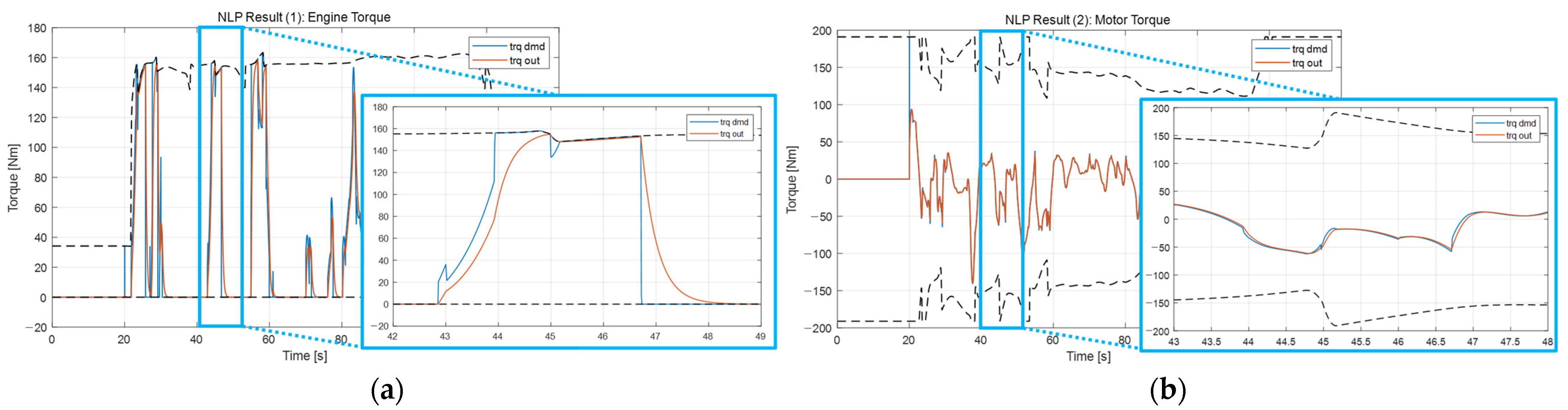
4. Results
4.1. Comparison Group (Global Optimal Solution/Dynamic Programming)
4.2. Reference SOC Trajectory
4.3. NLP-Based ECMS
5. Discussion
Author Contributions
Funding
Institutional Review Board Statement
Informed Consent Statement
Data Availability Statement
Acknowledgments
Conflicts of Interest
References
- Wang, Y.; Huang, Z. Optimization-based energy management strategy for a 48-V mild parallel hybrid electric power system. J. Energy Resour. Technol. 2020, 142, 052002. [Google Scholar]
- Larsson, V.; Johannesson, L.; Egardt, B.; Lassson, A. Benefit of route recognition in energy management of plug-in hybrid electric vehicles. In Proceedings of the 2012 American Control Conference (ACC), Montréal, QC, Canada, 27–29 June 2012; pp. 1314–1320. [Google Scholar]
- Overington, S.; Rajakaruna, S. Review of PHEV and HEV operation and control research for future direction. In Proceedings of the 2012 3rd IEEE International Symposium on Power Electronics for Distributed Generation Systems (PEDG), Aalborg, Denmark, 25–28 June 2012; pp. 385–392. [Google Scholar]
- Lee, J.; Park, B. Development and evaluation of a cooperative vehicle intersection control algorithm under the connected vehicles environment. IEEE Trans. Intell. Transp. Syst. 2012, 13, 81–90. [Google Scholar] [CrossRef]
- Zeng, Y.; Cai, Y.; Kou, G.; Gao, W.; Qin, D. Energy management for plug-in hybrid electric vehicle based on adaptive simplified-ECMS. Sustainability 2018, 10, 2060. [Google Scholar] [CrossRef]
- Hou, C.; Ouyang, M.; Xu, L.; Wang, H. Approximate Pontryagin’s minimum principle applied to the energy management of plug-in hybrid electric vehicles. Appl. Energy 2014, 115, 174–189. [Google Scholar] [CrossRef]
- Mechichi, O.; Trigui, R.; El Amraoui, L. Adaptive λ-Control Strategy for Plug-In HEV Energy Management Using Fast Initial Multiplier Estimate. Appl. Sci. 2022, 12, 10543. [Google Scholar] [CrossRef]
- Tormos, B.; Pla, B.; Bares, P.; Pinto, D. Energy Management of Hybrid Electric Urban Bus by Off-Line Dynamic Programming Optimization and One-Step Look-Ahead Rollout. Appl. Sci. 2022, 12, 4474. [Google Scholar] [CrossRef]
- Borhan, H.; Vahidi, A.; Phillips, A.M.; Kuang, M.L.; Kolmanovsky, I.V.; Di Cairano, S. MPC-based energy management of a power-split hybrid electric vehicle. IEEE Trans. Control Syst. Technol. 2011, 20, 593–603. [Google Scholar] [CrossRef]
- Vu, T.M.; Moezzi, R.; Cyrus, J.; Hlava, J.; Petru, M. Parallel Hybrid Electric Vehicle Modelling and Model Predictive Control. Appl. Sci. 2021, 11, 10668. [Google Scholar] [CrossRef]
- Zhang, B.; Xu, F.; Shen, T. A Real-Time Energy Management Strategy for Parallel HEVs with MPC. In Proceedings of the 2019 IEEE Vehicle Power and Propulsion Conference (VPPC), Hanoi, Vietnam, 14–17 October 2019; pp. 1–5. [Google Scholar]
- Shivappriya, S.N.; Karthikeyan, S.; Prabu, S.; Pérez de Prado, R.; Parameshachari, B.D. A Modified ABC-SQP-Based Combined Approach for the Optimization of a Parallel Hybrid Electric Vehicle. Energies 2020, 13, 4529. [Google Scholar] [CrossRef]
- Yang, L.; Wang, W.; Yang, C.; Du, X.; Zhang, W. Online mixed-integer optimal energy management strategy for connected hybrid electric vehicles. J. Clean. Prod. 2022, 374, 133908. [Google Scholar] [CrossRef]
- Liu, H.; Liu, R.; Xu, R.; Han, L.; Ruan, S. Hierarchical energy management strategy considering switching schedule for a dual-mode hybrid electric vehicle. Proc. Inst. Mech. Eng. Part D J. Automob. Eng. 2022, 236, 938–949. [Google Scholar] [CrossRef]
- Onori, S.; Serrao, L.; Rizzoni, G. Hybrid Electric Vehicles: Energy Management Strategies; Springer: Cham, Switzerland, 2016. [Google Scholar]
- Simmons, K.; Guezennec, Y.; Onori, S. Modeling and energy management control design for a fuel cell hybrid passenger bus. J. Power Sources 2014, 246, 736–746. [Google Scholar] [CrossRef]
- Zhang, P.; Wu, X.; Du, C.; Xu, H.; Wang, H. Adaptive equivalent consumption minimization strategy for hybrid heavy-duty truck based on driving condition recognition and parameter optimization. Energies 2020, 13, 5407. [Google Scholar] [CrossRef]
- Lin, W.; Zhao, H.; Zhang, B.; Wang, Y.; Xiao, Y.; Xu, K.; Zhao, R. Predictive Energy Management Strategy for Range-Extended Electric Vehicles Based on ITS Information and Start–Stop Optimization with Vehicle Velocity Forecast. Energies 2022, 15, 7774. [Google Scholar] [CrossRef]
- Zanelli, A.; Servetto, E.; De Araujo, P.; Vankayala, S.N.; Vondrak, A. Numerical Assessment of Auto-Adaptive Energy Management Strategies Based on SOC Feedback, Driving Pattern Recognition and Prediction Techniques. Energies 2022, 15, 3896. [Google Scholar] [CrossRef]
- Kommuri, N.K.; McGordon, A.; Allen, A.; Truong, D.Q. A Novel Adaptive Equivalence Fuel Consumption Minimisation Strategy for a Hybrid Electric Two-Wheeler. Energies 2022, 15, 3192. [Google Scholar] [CrossRef]
- Li, T.; Cui, W.; Cui, N. Soft Actor-Critic Algorithm-Based Energy Management Strategy for Plug-In Hybrid Electric Vehicle. World Electr. Veh. J. 2022, 13, 193. [Google Scholar] [CrossRef]
- Wang, Z.; Jiao, X. Optimization of the powertrain and energy management control parameters of a hybrid hydraulic vehicle based on improved multi-objective particle swarm optimization. Eng. Optim. 2021, 53, 1835–1854. [Google Scholar] [CrossRef]
- Oubelaid, A.; Taib, N.; Nikolovski, S.; Alharbi, T.E.; Rekioua, T.; Flah, A.; Ghoneim, S.S. Intelligent speed control and performance investigation of a vector controlled electric vehicle considering driving cycles. Electronics 2022, 11, 1925. [Google Scholar] [CrossRef]
- Pérez, W.; Tulpule, P.; Midlam-Mohler, S.; Rizzoni, G. Data-Driven Adaptive Equivalent Consumption Minimization Strategy for Hybrid Electric and Connected Vehicles. Appl. Sci. 2022, 12, 2705. [Google Scholar] [CrossRef]
- Wang, W.; Cai, Z.; Liu, S. Design of Real-Time Control based on DP and ECMS for PHEVs. Math. Probl. Eng. 2021, 2021, 6667614. [Google Scholar] [CrossRef]
- Han, J.; Park, Y.; Kum, D. Optimal adaptation of equivalent factor of equivalent consumption minimization strategy for fuel cell hybrid electric vehicles under active state inequality constraints. J. Power Sources 2014, 267, 491–502. [Google Scholar] [CrossRef]
- Sun, X.; Xue, M.; Cai, Y.; Tian, X.; Jin, Z.; Chen, L. Adaptive ECMS Based on EF Optimization by Model Predictive Control for Plug-in Hybrid Electric Buses. IEEE Trans. Transp. Electrif. 2022. early access. [Google Scholar] [CrossRef]
- Chen, Z.; Liu, Y.; Zhang, Y.; Lei, Z.; Chen, Z.; Li, G. A neural network-based ECMS for optimized energy management of plug-in hybrid electric vehicles. Energy 2022, 243, 122727. [Google Scholar] [CrossRef]
- Han, L.; Jiao, X.; Zhang, Z. Recurrent neural network-based adaptive energy management control strategy of plug-in hybrid electric vehicles considering battery aging. Energies 2020, 13, 202. [Google Scholar] [CrossRef]
- Zhang, B.; Meng, Q.; Wu, J.; Ni, Y. An Adaptive Adjustment Method of Equivalent Factor Considering Speed Predict Information. World Electr. Veh. J. 2021, 12, 211. [Google Scholar] [CrossRef]
- Shanmuganathan, J.; Victoire, A.A.; Balraj, G.; Victoire, A. Deep Learning LSTM Recurrent Neural Network Model for Prediction of Electric Vehicle Charging Demand. Sustainability 2022, 14, 10207. [Google Scholar] [CrossRef]
- Musardo, C.; Rizzoni, G.; Guezennec, Y.; Staccia, B. A-ECMS: An adaptive algorithm for hybrid electric vehicle energy management. Eur. J. Control 2005, 11, 509–524. [Google Scholar] [CrossRef]
- Sivertsson, M. Adaptive control using map-based ECMS for a PHEV. IFAC Proc. Vol. 2012, 45, 357–362. [Google Scholar] [CrossRef]
- Onori, S.; Serrao, L.; Rizzoni, G. Adaptive equivalent consumption minimization strategy for hybrid electric vehicles. In Proceedings of the Dynamic Systems and Control Conference, Cambridge, MA, USA, 12–15 September 2010; pp. 499–505. [Google Scholar]
- Gu, B.; Rizzoni, G. An adaptive algorithm for hybrid electric vehicle energy management based on driving pattern recognition. In Proceedings of the ASME International Mechanical Engineering Congress and Exposition, Chicago, IL, USA, 5–10 November 2006; pp. 249–258. [Google Scholar]
- Kessels, J.T.; Koot, M.W.; Van Den Bosch, P.P.; Kok, D.B. Online energy management for hybrid electric vehicles. IEEE Trans. Veh. Technol. 2008, 57, 3428–3440. [Google Scholar] [CrossRef]
- AUTONOMIE. Available online: https://vms.taps.anl.gov/ (accessed on 26 October 2022).
- Balazs, A.; Morra, E.; Pischinger, S. Optimization of electrified powertrains for city cars. SAE Int. J. Altern. Powertrains 2012, 1, 381–394. [Google Scholar] [CrossRef]
- CasADi. Available online: https://web.casadi.org/ (accessed on 26 October 2022).
- IPOPT. Available online: https://coin-or.github.io/Ipopt/ (accessed on 26 October 2022).
- Biegler, L.T.; Zavala, V.M. Large-scale nonlinear programming using IPOPT: An integrating framework for enterprise-wide dynamic optimization. Comput. Chem. Eng. 2009, 33, 575–582. [Google Scholar] [CrossRef]
- Pirnay, H.; López-Negrete, R.; Biegler, L.T. Optimal sensitivity based on IPOPT. Math. Program. Comput. 2012, 4, 307–331. [Google Scholar] [CrossRef]
- Jabr, R.A.; Coonick, A.H.; Cory, B.J. A primal-dual interior point method for optimal power flow dispatching. IEEE Trans. Power Syst. 2002, 17, 654–662. [Google Scholar] [CrossRef]
- Debert, M.; Yhamaillard, G.; Ketfi-herifellicaud, G.A. Predictive energy management for hybrid electric vehicles-Prediction horizon and battery capacity sensitivity. IFAC Proc. Vol. 2010, 43, 270–275. [Google Scholar] [CrossRef]
- Dueri, D.; Açıkmeşe, B.; Scharf, D.P.; Harris, M.W. Customized real-time interior-point methods for onboard powered-descent guidance. J. Guid. Control Dyn. 2017, 40, 197–212. [Google Scholar] [CrossRef]













| Component | Parameter | Value |
|---|---|---|
| Engine (4-cylinder) | Displacement Maximum power | 2.2 [L] 85.0 [kW] |
| Motor (PMSM) | Maximum power | 29.2 [kW] |
| Battery (Lithium-ion) | Capacity Nominal voltage | 7.03 [Ah] 324 [V] |
| Transmission (5-speed automatic) | Gear ratio | 2.563/1.552/1.022/0.727/0.52 |
| Final drive | Gear ratio | 4.438 |
| Wheel | Wheel radius | 0.30115 [m] |
| Chassis | Mass | 1680 [kg] |
| Case | Input Grid | State Grid | Step Time | Calculation Time |
|---|---|---|---|---|
| 0 (reference) | 201 | 601 | 0.1 [s] | 2481.9 [s] |
| 1 | 201 | 61 | 0.1 [s] | 210.7 [s] |
| 2 | 21 | 601 | 0.1 [s] | 210.1 [s] |
| 3 | 21 | 61 | 0.1 [s] | 89.2 [s] |
| 4 | 201 | 61 | 1.0 [s] | 20.4 [s] |
| 5 | 21 | 601 | 1.0 [s] | 20.8 [s] |
| 6 | 21 | 61 | 1.0 [s] | 8.8 [s] |
| Case | Input Grid | State Grid | Step Time | Calculation Time | Sum of Error |
|---|---|---|---|---|---|
| 0 (reference) | 201 | 601 | 0.1 [s] | 2481.9 [s] | 0 |
| 2 | 21 | 601 | 0.1 [s] | 210.1 [s] | 45.187 |
| 5 | 21 | 601 | 1.0 [s] | 20.8 [s] | 508.71 |
| 6 | 21 | 61 | 1.0 [s] | 8.8 [s] | 717.21 |
| NLP | - | - | - | 2.6 [s] | 156.77 |
| Case | Fuel Consumption | Fuel Improvement | Final SOC | Simulation Time |
|---|---|---|---|---|
| DP | 0.512 [kg] | – | – | – |
| Ruel-based | 0.595 [kg] | 0.0 [%] | 0.61 [-] | 73.79 [s] |
| 0 | 0.527 [kg] | 11.4 [%] | 0.61 [-] | 2553.18 [s] |
| 2 | 0.527 [kg] | 11.4 [%] | 0.61 [-] | 281.49 [s] |
| 5 | 0.533 [kg] | 10.4 [%] | 0.61 [-] | 90.39 [s] |
| 6 | 0.536 [kg] | 9.9 [%] | 0.61 [-] | 81.00 [s] |
| NLP | 0.531 [kg] | 10.8 [%] | 0.61 [-] | 74.18 [s] |
Publisher’s Note: MDPI stays neutral with regard to jurisdictional claims in published maps and institutional affiliations. |
© 2022 by the authors. Licensee MDPI, Basel, Switzerland. This article is an open access article distributed under the terms and conditions of the Creative Commons Attribution (CC BY) license (https://creativecommons.org/licenses/by/4.0/).
Share and Cite
Lee, J.; Lee, H. A New HEV Power Distribution Algorithm Using Nonlinear Programming. Appl. Sci. 2022, 12, 12724. https://doi.org/10.3390/app122412724
Lee J, Lee H. A New HEV Power Distribution Algorithm Using Nonlinear Programming. Applied Sciences. 2022; 12(24):12724. https://doi.org/10.3390/app122412724
Chicago/Turabian StyleLee, Jooin, and Hyeongcheol Lee. 2022. "A New HEV Power Distribution Algorithm Using Nonlinear Programming" Applied Sciences 12, no. 24: 12724. https://doi.org/10.3390/app122412724
APA StyleLee, J., & Lee, H. (2022). A New HEV Power Distribution Algorithm Using Nonlinear Programming. Applied Sciences, 12(24), 12724. https://doi.org/10.3390/app122412724
