A Novel PCA-Based Method for PRNU Distillation to the Benefit of Source Camera Identification
Abstract
:1. Introduction
- We provided a novel technique to maximize the quality of reference PRNU noise and to effectively remove the content left by the image from the reference PRNU noise. Unlike the prior works, the proposed scheme estimates interference noise in the reference PRNU noise in the PCA domain.
- To effectively remove the interference noise caused by image details, we proposed selecting pixel blocks with high similarity in a local region to participate in PCA training. The pixel blocks with comparatively high similarity contained more image details. Furthermore, we used an appropriate shrinkage function in the PCA domain to further refine the image details. The proposed scheme effectively estimated the image details in the reference PRNU noise and achieved the goal of enhancing the reference PRNU noise through residual operations.
- We conducted sufficient experiments on the most classical dataset. By comparing with the prior works, we validated that our proposed scheme achieved the enhancement of reference PRNU noise, effectively improving the performance of the digital image source camera detection technology.
2. Related Work
2.1. Technical Background
2.2. State of the Art
3. The Proposed Method
3.1. Enhancing the Quality of Reference PRNU Noise
3.2. Extracting Interference Noise from the Reference PRNU
4. Experiment and Evaluations
4.1. Experimental Setup
4.2. Experimental Procedure
- (1)
- The PRNU noise is extracted using the Mihcak filter [23] with parameter equal to 9 for each of the 50 sample images.
- (2)
- The reference PRNU noise R is constructed by MLE of the PRNU noise extracted from the images.
- (3)
- The SEA and proposed scheme are used to enhance the reference PRNU noise .
- (4)
- The peak correlation energy (PCE) is used to measure the similarity between the reference PRNU noise and the test PRNU noise extracted from an image captured by an unknown camera.
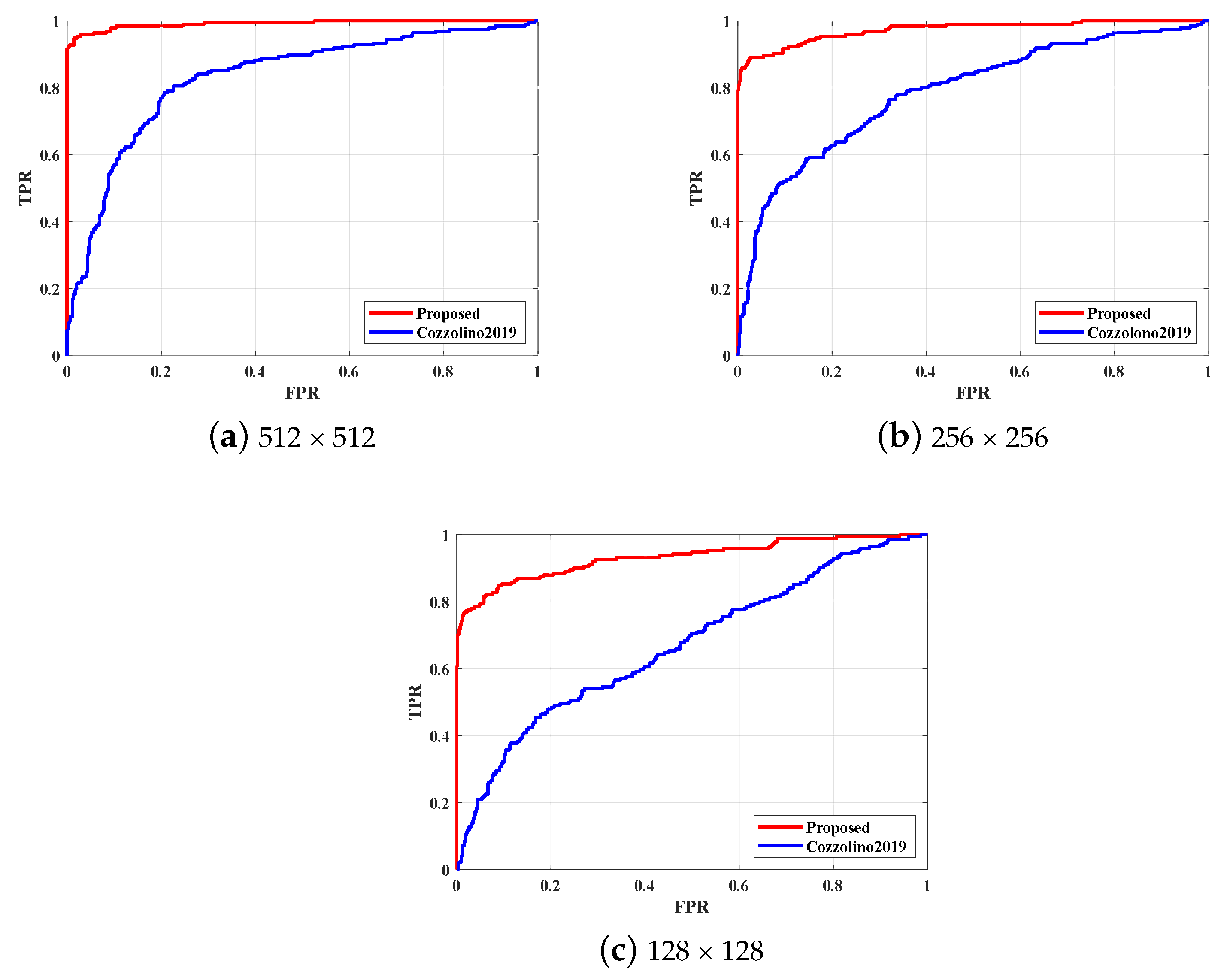
4.3. Performance Evaluation
5. Conclusions
Author Contributions
Funding
Institutional Review Board Statement
Informed Consent Statement
Data Availability Statement
Conflicts of Interest
References
- Bernacki, J. A survey on digital camera identification methods. Forensic Sci. Int. Digit. Investig. 2020, 34, 300983. [Google Scholar]
- Bondi, L.; Bestagini, P.; Perez-Gonzalez, F.; Tubaro, S. Improving PRNU compression through preprocessing, quantization, and coding. IEEE Trans. Inf. Forensics Secur. 2018, 14, 608–620. [Google Scholar]
- Zhang, Y.; Luo, X.; Wang, J.; Lu, W.; Yang, C.; Liu, F. Research progress on digital image robust steganography. J. Image Graph. 2022, 27, 3–26. [Google Scholar]
- Guo, Y.; Wu, H.; Zhang, X. Steganographic visual story with mutual-perceived joint attention. EURASIP J. Image Video Process. 2021, 2021, 5. [Google Scholar]
- Sandoval Orozco, A.L.; Arenas Gonzalez, D.M.; García Villalba, L.J.; Hernández-Castro, J. Analysis of errors in exif metadata on mobile devices. Multimed. Tools Appl. 2015, 74, 4735–4763. [Google Scholar]
- Lukas, J.; Fridrich, J.; Goljan, M. Digital camera identification from sensor pattern noise. IEEE Trans. Inf. Forensics Secur. 2006, 1, 205–214. [Google Scholar]
- Chen, M.; Fridrich, J.; Goljan, M.; Lukás, J. Determining image origin and integrity using sensor noise. IEEE Trans. Inf. Forensics Secur. 2008, 3, 74–90. [Google Scholar]
- Lin, X.; Li, C.T. Preprocessing reference sensor pattern noise via spectrum equalization. IEEE Trans. Inf. Forensics Secur. 2015, 11, 126–140. [Google Scholar]
- Rao, Q.; Wang, J. Suppressing random artifacts in reference sensor pattern noise via decorrelation. IEEE Signal Process. Lett. 2017, 24, 809–813. [Google Scholar]
- Li, R.; Guan, Y.; Li, C.T. PCA-based denoising of sensor pattern noise for source camera identification. In Proceedings of the 2014 IEEE China Summit &International Conference on Signal and Information Processing (ChinaSIP), Xi’an, China, 9–13 July 2014; IEEE: New York, NY, USA, 2014; pp. 436–440. [Google Scholar]
- Kang, X.; Chen, J.; Lin, K.; Anjie, P. A context-adaptive SPN predictor for trustworthy source camera identification. EURASIP J. Image Video Process. 2014, 2014, 19. [Google Scholar]
- Zeng, H.; Kang, X. Fast source camera identification using content adaptive guided image filter. J. Forensic Sci. 2016, 61, 520–526. [Google Scholar]
- Cortiana, A.; Conotter, V.; Boato, G.; De Natale, F.G. Performance comparison of denoising filters for source camera identification. In Proceedings of the Media Watermarking, Security, and Forensics III. SPIE, San Francisco Airport, CA, USA, 24–26 January 2011; Volume 7880, pp. 60–65. [Google Scholar]
- Cozzolino, D.; Verdoliva, L. Noiseprint: A CNN-based camera model fingerprint. IEEE Trans. Inf. Forensics Secur. 2019, 15, 144–159. [Google Scholar]
- Marra, F.; Poggi, G.; Sansone, C.; Verdoliva, L. Blind PRNU-based image clustering for source identification. IEEE Trans. Inf. Forensics Secur. 2017, 12, 2197–2211. [Google Scholar]
- Long, M.; Peng, F.; Zhu, Y. Identifying natural images and computer generated graphics based on binary similarity measures of PRNU. Multimed. Tools Appl. 2019, 78, 489–506. [Google Scholar]
- Li, J.; Ma, B.; Wang, C. Extraction of PRNU noise from partly decoded video. J. Vis. Commun. Image Represent. 2018, 57, 183–191. [Google Scholar]
- Kiegaing Kouokam, E.; Dirik, A.E. PRNU-Based Source Device Attribution for YouTube Videos. arXiv 2019, arXiv:1903.09141. [Google Scholar]
- Zhang, L.; Dong, W.; Zhang, D.; Shi, G. Two-stage image denoising by principal component analysis with local pixel grouping. Pattern Recognit. 2010, 43, 1531–1549. [Google Scholar]
- Zhao, W.; Liu, Q.; Lv, Y.; Qin, B. Texture variation adaptive image denoising with nonlocal PCA. IEEE Trans. Image Process. 2019, 28, 5537–5551. [Google Scholar]
- James, R.; Jolly, A.M.; Anjali, C.; Michael, D. Image denoising using adaptive pca and svd. In Proceedings of the 2015 Fifth International Conference on Advances in Computing and Communications (ICACC), Kochi, India, 2–4 September 2015; IEEE: New York, NY, USA, 2015; pp. 383–386. [Google Scholar]
- Gloe, T.; Böhme, R. The ‘Dresden Image Database’ for benchmarking digital image forensics. In Proceedings of the 2010 ACM Symposium On Applied Computing, Sierre, Switzerland, 22–26 March 2010; pp. 1584–1590. [Google Scholar]
- Mihcak, M.K.; Kozintsev, I.; Ramchandran, K. Spatially adaptive statistical modeling of wavelet image coefficients and its application to denoising. In Proceedings of the 1999 IEEE International Conference on Acoustics, Speech, and Signal Processing, Proceedings ICASSP99 (Cat. No. 99CH36258). Phoenix, AZ, USA, 15–19 March 1999; IEEE: New York, NY, USA, 1999; Volume 6, pp. 3253–3256. [Google Scholar]
- Goljan, M. Digital camera identification from images—Estimating false acceptance probability. In Proceedings of the Digital Watermarking: 7th International Workshop, IWDW 2008, Busan, Korea, 10–12 November 2008; Selected Papers 7. Springer: Berlin/Heidelberg, Germany, 2009; pp. 454–468. [Google Scholar]
- Muresan, D.D.; Parks, T.W. Adaptive principal components and image denoising. In Proceedings of the 2003 International Conference on Image Processing (Cat. No. 03CH37429), Barcelona, Spain, 14–17 September 2003; IEEE: New York, NY, USA, 2003; Volume 1, pp. I–101. [Google Scholar]
- Shullani, D.; Fontani, M.; Iuliani, M.; Shaya, O.A.; Piva, A. Vision: A video and image dataset for source identification. EURASIP J. Inf. Secur. 2017, 2017, 15. [Google Scholar]









| Camera Model | Number of Devices | Resolution [Pixel] | Index |
|---|---|---|---|
| Canon Ixus55 | 1 | 2592 × 1944 | 01 |
| Canon Ixus70 | 3 | 3072 × 2304 | 02–04 |
| Casio EX Z150 | 5 | 3264 × 2448 | 05–09 |
| Fujifilm FinepixJ50 | 3 | 3264 × 2448 | 10–12 |
| Nikon CoolPixel S710 | 5 | 4352 × 3264 | 13–17 |
| Olympus mju1050SW | 5 | 3648 × 2736 | 18–22 |
| Pentax Option A40 | 4 | 4000 × 3000 | 23–26 |
| Pentax Option W60 | 1 | 3648 × 2736 | 27 |
| Praktica DCZ5.9 | 5 | 2560 × 1920 | 28–32 |
| Rollei RCP-7325XS | 3 | 3072 × 2304 | 33–35 |
| Samsung L74wide | 3 | 3072 × 2304 | 36–38 |
| Samsung NV15 | 3 | 3648 × 2736 | 39–41 |
| Song DSC-H50 | 2 | 3456 × 2592 | 42–43 |
| Song DSC-T77 | 4 | 3648 × 2736 | 44–47 |
| Song DSC-W170 | 2 | 3648 × 2736 | 48–49 |
| Method | Lukas2006 [6] | Chen2008 [7] | Rao2017 [9] | Proposed |
|---|---|---|---|---|
| 512 × 512 | 0.7810 | 0.8586 | 0.9009 | 0.9292 |
| 256 × 256 | 0.6191 | 0.7477 | 0.8114 | 0.8411 |
| 128 × 128 | 0.4660 | 0.5453 | 0.6472 | 0.6764 |
| Camera Mode | Number of Images | Resolution (Pixel) | Index |
|---|---|---|---|
| Samsung GalaxyS3Mini | 283 | 2560 × 1920 | D01 |
| Huawei P9 | 355 | 3968 × 2976 | D03 |
| Samsung GalaxyTab3 | 229 | 2048 × 1536 | D08 |
| Samsung GalaxyTrendPlus | 314 | 2560 × 1920 | D22 |
Disclaimer/Publisher’s Note: The statements, opinions and data contained in all publications are solely those of the individual author(s) and contributor(s) and not of MDPI and/or the editor(s). MDPI and/or the editor(s) disclaim responsibility for any injury to people or property resulting from any ideas, methods, instructions or products referred to in the content. |
© 2023 by the authors. Licensee MDPI, Basel, Switzerland. This article is an open access article distributed under the terms and conditions of the Creative Commons Attribution (CC BY) license (https://creativecommons.org/licenses/by/4.0/).
Share and Cite
Li, J.; Liu, Y.; Ma, B.; Wang, C.; Qin, C.; Wu, X.; Li, S. A Novel PCA-Based Method for PRNU Distillation to the Benefit of Source Camera Identification. Appl. Sci. 2023, 13, 6583. https://doi.org/10.3390/app13116583
Li J, Liu Y, Ma B, Wang C, Qin C, Wu X, Li S. A Novel PCA-Based Method for PRNU Distillation to the Benefit of Source Camera Identification. Applied Sciences. 2023; 13(11):6583. https://doi.org/10.3390/app13116583
Chicago/Turabian StyleLi, Jian, Yang Liu, Bin Ma, Chunpeng Wang, Chuan Qin, Xiaoming Wu, and Shuanshuan Li. 2023. "A Novel PCA-Based Method for PRNU Distillation to the Benefit of Source Camera Identification" Applied Sciences 13, no. 11: 6583. https://doi.org/10.3390/app13116583
APA StyleLi, J., Liu, Y., Ma, B., Wang, C., Qin, C., Wu, X., & Li, S. (2023). A Novel PCA-Based Method for PRNU Distillation to the Benefit of Source Camera Identification. Applied Sciences, 13(11), 6583. https://doi.org/10.3390/app13116583

