Abstract
Unmodified hypoeutectic silumins have a microstructure composed of large-sized phases, which are the reason for their low mechanical properties. Many years of research have shown the modifying effects of many chemical elements and their compounds, including the master alloy consisting of Al-Ti-B, often in the form of the finished AlTi5B alloy. In this work, it was decided to check how the proportions of Ti and B content in the Al or AlSi-based master alloy affect the microstructure and mechanical properties of a hypoeutectic silumin, AlSi7Mg. It has been shown that a master alloy containing silicon (with the participation of Al + Ti + B) has a more effective impact on the refinement of the microstructure, and thus an increase in the mechanical properties of the AlSi7Mg alloy, than a master alloy without silicon. It has been shown that the ratio of titanium to boron content in the very-often-used AlTi5B modifier is not always optimal. It has been shown that the use of a master alloy with a composition similar to that of modified silumin with titanium and boron in a 2:1 ratio allows the obtaining of an AlSi7Mg alloy with higher mechanical properties than the alloy after the modification of the AlTi5 master alloy.
1. Introduction
The development of technology places high demands on construction materials. More and more construction materials are being created, and the materials used are gaining increasingly higher mechanical properties. Achieving mechanical properties with higher parameters requires research to be conducted. In the case of classical construction materials, their chemical composition has already been largely optimized. Their further development can be achieved by influencing technological processes. These processes allow for the shaping of the microstructure of alloys and, consequently, the mechanical properties of the alloys [1,2,3,4,5,6,7,8,9,10,11].
Hypoeutectic silumins have been widely used in industry. This is due to their good corrosion resistance, good mechanical and physical properties and low melting point. Unfortunately, despite the large number of advantages, they have a rather troublesome disadvantage, which is the tendency to create a microstructure with large dimensions of individual phases. Large eutectic silicon platelets constitute the natural notches of the microstructure. They are the reason for the low mechanical properties of alloys. For many years, a number of technological procedures have been known to refine the microstructure and, at the same time, increase the mechanical properties resulting from the microstructure [12,13,14,15,16,17,18,19,20,21,22]. Hypoeutectic silumins are one of the few alloys in which, as a result of changes in the microstructure, it is possible to increase all mechanical properties, e.g., tensile strength and elongation, at the same time. In most metal alloys, as one parameter increases, the other decreases. Many technological processes are known that allow for the modification of the microstructure. The literature provides the results of research leading to an increase in the properties of silumins, using temperature gradients [23], electromagnetic fields, heat treatments [24,25], chemical modifications [26,27,28,29,30,31,32,33,34,35,36,37,38,39,40], etc. Chemical modification and heat treatment have been widely used in industrial practice.
The process of the chemical modification of hypoeutectic silumins was described in 1921 [41]. Since then, a lot of works have been written showing the influence of various elements, chemical compounds [42,43,44,45] and the technological processes [46,47,48,49,50,51,52,53,54,55,56,57] on the microstructure and mechanical properties of the tested silumins. Unfortunately, despite such a significant amount of research, it has not been possible to clearly identify the mechanisms causing microstructure refinement and increases in mechanical properties. A number of hypotheses have described the mechanisms of modification. Based on a literature analysis, it can be assumed that there are many modification mechanisms. Taking into account the large number of published results and the constant lack of a clear and reliable modification mechanism, it can be assumed that, at the current level of technique, this is a very complex issue, and is very difficult or even impossible to explain [26,27,28,29,30,31,32,33,34,35,36,37,38,39,40,41,42,43,44,45,46,47,48,49,50,51,52,53,54,55,56,57]. Most likely, for this reason, many authors of research papers present research results without even trying to create further theories of the probability of the chemical modification process of alloys.
Works have been found in the literature describing the influence of master alloys containing aluminum, titanium and boron on the microstructure and properties of hypoeutectic silumins [58,59]. Some authors have conducted research with different proportions of titanium and boron in the master alloy [59,60,61,62]. In many studies, the authors modify hypoeutectic silumin by introducing titanium and boron into the liquid alloy in the form of a powder or rod. There are works presenting the results of silumin modification using the available industrial alloy, AlTi5B1 [58]. There are works in which the authors define the titanium-to-boron ratio of 5:1 as optimal [63,64].
There are also publications that show the better performance of mortars based on an alloy with a chemical composition similar to the modified alloy than those based only on aluminum [7]. Taking the above into account, it was decided to check the effect of a modifier in the form of a master alloy containing various proportions of titanium and boron and a complementary master alloy composition containing only aluminum or an aluminum and silicon alloy.
2. Materials and Methods
For the tests, it was decided to use one of the most popular hypoeutectic silumins in the form of the AlSi7Mg alloy. The chemical analysis of the tested AlSi7Mg alloy is shown in Table 1.
Table 1.
Contents of chemical analysis of tested hypoeutectic silumin, AlSi7Mg [55].
An industrial alloy delivered in the form of ingots was used for the tests. The supplied alloy did not exhibit microstructure uniformity, which is normal for this form of alloy. To obtain a homogeneous microstructure, the alloy was pre-melted in a crucible made of Al2O3 with a capacity of 5 dm3 at a temperature of 700 °C in an electric furnace. The shapes were cast into a steel mold from the liquid alloy. Master alloys were melted in an Al2O3 crucible heated in an electric furnace. Aluminum and silicon with a purity of over 98% were used, as well as titanium in the form of powder with a purity of >98.5% and boron in the form of boron puriss p.a. crystalline pieces with a purity of >95%. The production of the master alloy began with the production of the AlSi7 base alloy in a crucible with a capacity of 5 dcm3. At test points where no silicon was added, the appropriate amount of aluminum was added. To ensure comparable conditions, the alloy was cast in the form of a rod, from which, after cooling, appropriate sections were taken to produce a master alloy appropriate for a given point of the research plan. The master alloy was produced, maintaining the weight proportions of titanium and boron to the weight of the modified silumin. For this purpose, an individual master alloy was produced for each modified alloy, ensuring the quantitative and qualitative chemical composition in accordance with the assumptions for individual test points. The amount of the modified alloy was selected in a way that ensured its excess by 30 to 60% in relation to the alloy necessary to pour the casting mold (Figure 1). The content of titanium, boron and silicon per mass of the modified alloy is presented in Table 2. The mass of aluminum was selected so that the titanium, boron and silicon constituted approximately 10% of the master alloy. A diagram of the casting mold used for all melts is shown in Figure 1 [55].
Figure 1.
The diagram of the casting mold: 1—pouring cup, 2—sprue, 3—mold, 4—casting (samples): (a) section, (b) top view.
Table 2.
Modifier components and their levels of change.
The first series of tests was carried out based on a factorial design of 23. Modifiers were produced from chemical elements at the adopted levels of changes (Table 2).
The research results were processed mathematically, obtaining answers in the form of an equation for the analyzed parameters (1):
The obtained equations of the general form (1), in order to be presented graphically, describing the mechanical properties of the AlSi7Mg alloy after modification in accordance with the research plan (Table 2) were reduced to two variables, assuming the third variable at the lower and higher levels of changes (Table 2).
Each melt was made from the new AlSi7Mg alloy. The modification was carried out in a crucible at a temperature of 700 °C and a time of 20 min.
An Olympus IX70 optical microscope was used for the metallographic examination. After preparing the metallographic sections, they were etched with a NaOH reagent. A phase analysis was performed using an X-ray Phaser Bruker diffractometer with the Difrac EVA and HighScore Plus software and a crystallographic database. A static tension test was carried out on the ZD10 machine on five-fold cylindrical samples with a measuring diameter of 6 mm according to EN ISO 6892-1:2016 [65]. Two samples for each heat were tested. The Brinell hardness was tested on the heads of samples prepared for a static tensile test in accordance with ISO 6506-1:2014 [66] using a ball with a diameter of 2.5 mm, a load of 306.5 N and a load time of 20 s with the HPO 250 hardness tester. Three measurements were made on each sample. The arithmetic mean of the measurements was used for the analysis.
3. Results and Discussion of the Research Results
Figure 2 shows the microstructure of the AlSi7Mg alloy after modification in accordance with the test plan (Table 2).
Figure 2.
Microstructure the AlSi7Mg alloy without modification (a) and after modification with (b) AlTi0.06, (c) AlB0.06, (d) AlTi0.06B0.06, (e) AlSi7, (f) AlTi0.06Si7, (g) AlB0.06Si7, (h) AlTi0.06B0.06Si7.
Figure 3 shows the changes in the tensile strength of the AlSi7Mg alloy with the modifiers in accordance with the test plan (Table 2).
Figure 3.
Tensile strength of AlSi7Mg alloy with B ∈ < 0, 0.06 > wt %, Ti ∈ < 0, 0.06 > wt % and Si ∈ < 0, 7 > wt %: (a) B ∈ < 0, 0.06 > wt %, Si ∈ < 0, 7> wt % for Ti = 0 wt %; (b) B ∈ < 0, 0.06 > wt %, Si ∈ < 0, 7 > wt % for Ti = 7 wt %; (c) Ti ∈ < 0, 0.06 > wt %, Si ∈ < 0, 7 > wt % for B = 0 wt %; (d) Ti ∈ < 0, 0.06 > wt %, Si∈ < 0, 7 > wt % for B = 0.06 wt %; (e) B∈ < 0, 0.06> wt %, Ti ∈ < 0, 0.06 > wt % for Si = 0 wt %; (f) B ∈ < 0, 0.06 > wt %, Ti ∈ < 0, 0.06 > wt % for Si = 7 wt %.
Figure 4 shows the changes in the elongations of the AlSi7Mg alloy with modifiers in accordance with the test plan (Table 2).
Figure 4.
Elongation of AlSi7Mg alloy with B ∈ < 0, 0.06> wt %, Ti ∈ < 0, 0.06> wt % and Si ∈ < 0, 7> wt %: (a) B ∈ < 0, 0.06 > wt %, Si ∈ < 0, 7 > wt % for Ti = 0 wt %; (b) B ∈ < 0, 0.06 > wt %, Si ∈ < 0, 7 > wt % for Ti = 7 wt %; (c) Ti ∈ < 0, 0.06 > wt %, Si ∈ < 0, 7 > wt % for B = 0 wt %; (d) Ti ∈ < 0, 0.06 > wt %, Si ∈ < 0, 7 > wt % for B = 0.06 wt %; (e) B ∈ < 0, 0.06 > wt %, Ti ∈ < 0, 0.06 > wt % for Si = 0 wt %; (f) B ∈ < 0, 0.06 > wt %, Ti ∈ < 0, 0.06 > wt % for Si = 7 wt %.
Figure 5 shows the changes in the Brinell hardness of the AlSi7Mg alloy with modifiers in accordance with the test plan (Table 2).
Figure 5.
Brinell hardness of AlSi7Mg alloy with B ∈ < 0, 0.06 > wt %, Ti ∈ < 0, 0.06 > wt % and Si ∈ < 0, 7 > wt %: (a) B ∈ < 0, 0.06 > wt %, Si ∈ < 0, 7 > wt % for Ti = 0 wt %; (b) B ∈ < 0, 0.06 > wt %, Si ∈ < 0, 7 > wt % for Ti = 7 wt %; (c) Ti ∈ < 0, 0.06 > wt %, Si ∈ < 0, 7 > wt % for B = 0 wt %; (d) Ti ∈ < 0, 0.06 > wt %, Si ∈ < 0, 7 > wt % for B = 0.06 wt %; (e) B ∈ < 0, 0.06 > wt %, Ti ∈ < 0, 0.06 > wt % for Si = 0 wt % and 7 wt%.
The AlSi7Mg alloy without modifying additives, which is the first point of the research plan for Ti, B and Si at a lower level (Table 2), is shown in Figure 1a. The microstructure of this alloy consists of eutectic (α + β) against the background of the dendritic primary α phase (solid solution of silicon in aluminum). The eutectic β phase (solid solution of aluminum in silicon) occurs in the form of thick plates with differently oriented symmetry axes. The result is a low tensile strength of Rm = 138 MPa (Figure 3a), an elongation of A = 0.7% (Figure 4a) and a Brinell hardness of H = 51 HB (Figure 5a). After modifying the alloy with a master alloy with (0.06% Ti + Al), the β phase was still present in the form of plates. The partial parallel arrangement of the plate axes indicates the beginning of the stabilization of the crystallization process. This confirms the beginning of alloy modification (Figure 1b). This state was reflected in the mechanical properties: Rm = 150 MPa (Figure 3b), A = 2.2% (Figure 4b) and H = 56 HB (Figure 5b). After modifying the alloy with a master alloy composed of (0.06% B + Al), further standardization of the eutectic (α + β) was found. The eutectic silicon in the dominant-part platelets have a clearly uniform orientation of the symmetry axis. A significant fragmentation of the alloy microstructure was also observed compared to the unmodified alloy (Figure 2a). The effect of eutectic fragmentation is an increase in the strength (Rm) to 156 MPa (Figure 3d), A = 2.9% (Figure 4d) and H = 58 HB (Figure 5d). After modifying the alloy (0.06% Ti + 0.06% B + Al), a lamellar eutectic (α + β) was still obtained, but with a high degree of fragmentation (Figure 2d). Smaller dimensions of the dendritic α phase were also obtained. The result of the microstructure refinement are higher mechanical properties than for the modification of the alloy with a master alloy containing only titanium or boron; Rm = 176 MPa (Figure 3e), A = 4.5% (Figure 4e), H = 61 HB (Figure 5e). The use of a master alloy consisting of only 7% silicon and aluminum to modify silumin resulted in a microstructure similar to the alloy without modification (Figure 2e). Similar observations concern the mechanical properties, where Rm = 139 MPa (Figure 3f), A = 0.7% (Figure 4f) and H = 51 HB (Figure 5e). The graphical form presenting the regression equation (Figure 5e) describing the hardness for the Si variable at both the lower and higher levels (Table 2) looks the same because this variable does not appear in the regression equation (it is insignificant at the statistical level of 0.05). This is confirmed by Figure 5a–d, in which the course of the function relative to the Si axis is independent of the silicon content (parallel to the axis).
For silumin with the master alloy (0.06% Ti + 7% Si + Al), a microstructure was obtained, consisting of long, thick plates with parallel axes of symmetry occurring within the boundaries of individual grains (Figure 2f). Comparing this microstructure with the microstructure of the alloy after modification (0.06% Ti + Al), it was found that it had eutectic silicon platelets with smaller dimensions. Therefore, the addition of silicon in the master alloy has a beneficial effect on the refinement of the eutectic alloy. Similar observations were made for the mechanical properties. Rm = 169 MPa (Figure 3f), A = 4% (Figure 4f) and H = 60 HB (Figure 5f) were obtained, which is an increase in strength by 12% and elongation by 81% compared to the alloy after modification with titanium but without silicon. After modifying the silumin master alloy (0.06% B + 7% Si + Al), a microstructure was obtained, consisting of large-sized plates with parallel axes of symmetry within the boundaries of individual grains (Figure 2g), but with slightly coarser grains than after the modification with (0.06% Ti + 7% Si + Al) (Figure 2f), and finer than after modification with (0.06% B + Al). Similar relationships were observed for the mechanical properties, Rm = 163 MPa (Figure 3d), A = 3.2% (Figure 4d) and H = 58 HB (Figure 5d). These observations confirm once again that the master alloy containing silicon (therefore a component of the modified alloy) has a more intense effect than the master alloy without silicon. Test results were also obtained, indicating a higher effectiveness of the impact on microstructure refinement and increase in the mechanical properties of titanium than boron. The greatest refinement of the AlSi7Mg alloy microstructure (both the eutectic and the primary α phase) was observed after the modification of the master alloy composed of (0.06% Ti + 0.06% B + 7% Si) (Figure 2h). The microstructure after modification with this modifier still consists of lamellar eutectic (α + β) against the background of the α phase, but with a large dispersion of the β phase and fine dendrites of the α phase. This microstructure is reflected in the highest mechanical properties in the analyzed test plan; Rm = 181 MPa (Figure 3d), A = 5.1% (Figure 4d), H = 61 HB (Figure 5d).
The effectiveness of introducing modifier components into the AlSi7Mg alloy was confirmed via an XRD analysis. An example record for the master alloy modification (0.06% Ti + 0.06% B + 7% Si + Al) is shown in Figure 6. On this basis, the presence of titanium and boron introduced into the alloy via the master alloy was confirmed. The introduction of aluminum and silicon cannot be confirmed because these chemical elements are a natural component of the tested alloy (they occur naturally in silumin). It should be noted that the amount of individual chemical elements introduced in the form of the master alloy in relation to the mass of the processed alloy is small. This is the reason for small peaks confirming individual phases. However, the purpose of the XRD analysis was not to determine the content of individual elements in the alloy, but only to confirm their transition from the master alloy to silumin.
Figure 6.
XRD of AlSi7Mg alloy with (0.06% Ti + 0.06% B + 7% Si + Al).
Analyzing the obtained results of the mechanical properties tests (Figure 3, Figure 4 and Figure 5), it was found that both titanium and boron influence the increase in the analyzed parameters. Both of these components, both together and separately, have a more intense effect when silicon is included in the master alloy. The modification of the silumin master alloy (Si + Al) did not bring any significant benefits. When comparing the effectiveness of titanium and boron, small differences were found. In the absence of silicon in the master alloy (lower level of the research plan), boron has a more effective impact on the refinement of the microstructure and the increase in mechanical properties. However, when the silicon content in the master alloy is similar to the silicon content in the modified alloy, titanium is more effective. With the above in mind, it was decided to conduct further research using, in addition to titanium and boron, a solid component in the master alloy in the form of (Al + 7% Si).
It was shown [67] that hypoeutectic Al–Si casting alloys are most effectively fragmented via small additions of boron above 0.01% by weight. It has also been shown that boron introduced in the form of an aluminum master alloy dissolves slowly and tends to agglomerate, which may reduce the effectiveness of the modification. However, it is believed that boron completely dissolves in the master alloy with silicon [68]. These views may explain the reason why the master alloy containing silicon has a more effective effect than that based only on aluminum. These views are also confirmed by the results of research on the microstructure and mechanical properties of hypoeutectic silumin [29,55].
In the second series of tests, it was decided to check the influence of the AlSi7 master alloy with 0.06% Ti and 0.06% B added in the proportions 1:1, 2:1, 3:1, 4:1 and 5:1 (TiB, Ti2B, Ti3B, Ti4B and Ti5B, respectively) on the mechanical properties of the AlSi7Mg alloy (Figure 7).
Figure 7.
Mechanical properties the AlSi7Mg alloy without modification and after modification with AlSi7 + (TixB) master alloy for Ti from 0.06% to 0.3% and B = 0.06%: (a) tensile strength, (b) elongations, (c) Brinell hardness.
After modifying the AlSi7Mg alloy with the master alloy (TiB + AlSi7), values of Rm = 166 MPa (Figure 7a), A = 3.3% (Figure 7b) and H = 59 HB (Figure 7c) were obtained, which represents an increase in strength by 21% in compared to the unmodified alloy, as well as an increase of 312% in elongation and 10% in hardness. After increasing the titanium content to 0.12%, the strength increased to 170 MPa, the elongation to 4.5% and the hardness to 61 HB. After modifying the master alloy (Ti3B + AlSi7), strength (Rm) = 175 MPa, elongation (A) = 5.5% and hardness (H) = 63 HB were obtained. These are the highest values for this phase of research. After increasing the share of titanium in the master alloy to the Ti4B proportion, a slight decrease in mechanical properties was noted to Rm = 172 MPa, A = 4.2% and H = 62 HB. After modifying the silumin with the master alloy (Ti5B + AlSi7), another reduction in mechanical properties was noted (Rm = 169 MPa, A = 4.9% and H = 61 HB).
There are works available in which the authors suggest the possibility of boron removal with excessive Ti addition resulting from the formation of TiB2 particles [68]. This could explain the decrease in the mechanical properties of the tested silumin with an increasing share of titanium.
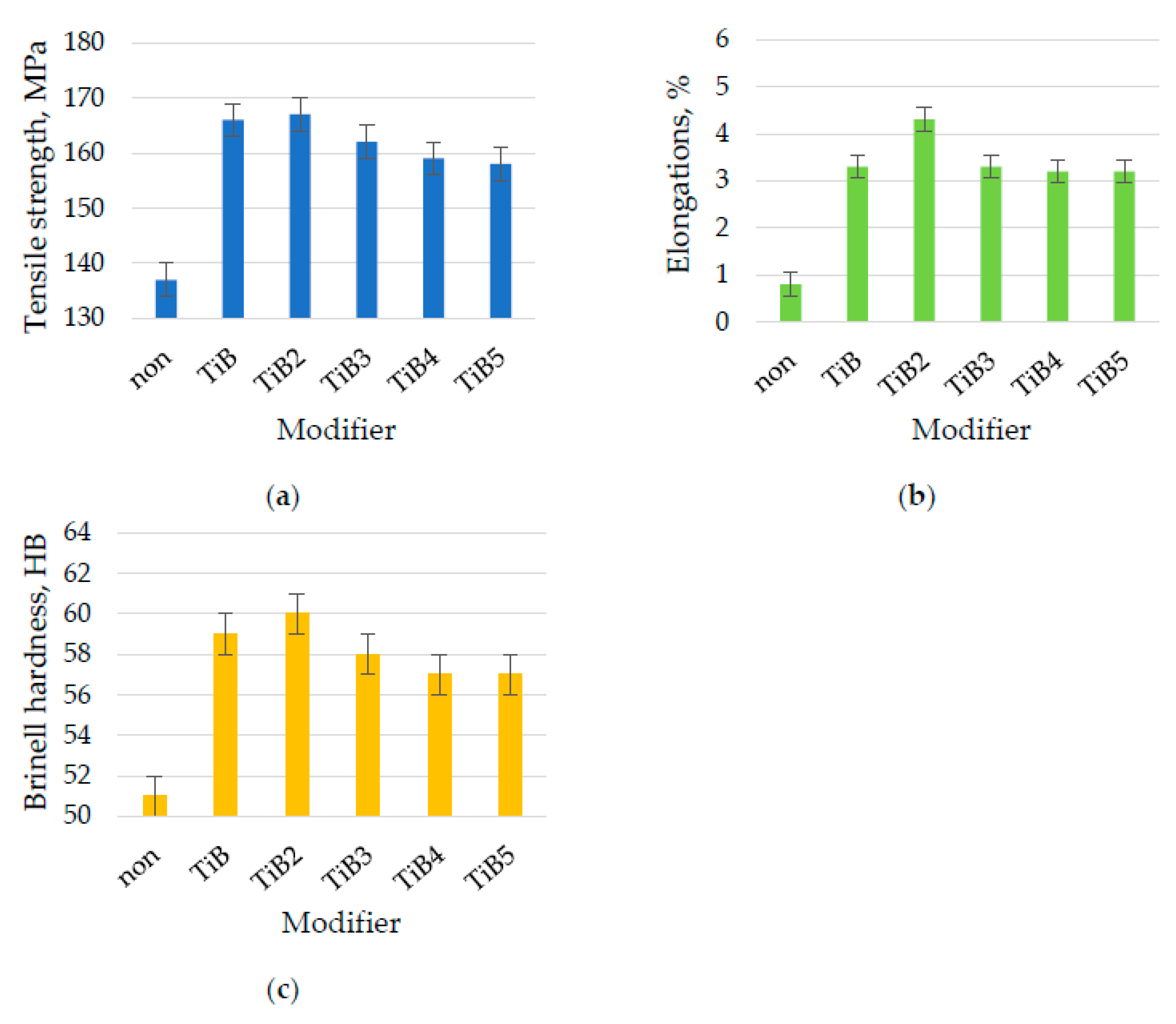
In the second phase of the second series of tests, it was decided to check the influence of the AlSi7 master alloy with 0.06% Ti and 0.06% B added in the proportions 1:1, 1:2, 1:3, 1:4 and 1:5 (TiB, TiB2, TiB3, TiB4 and TiB5, respectively) on the mechanical properties of the AlSi7Mg alloy (Figure 8).
Figure 8.
Mechanical properties the AlSi7Mg alloy without modification and after modification with AlSi7 + (TiBx) master alloy for Ti = 0.06% and B from 0.06% to 0.3%: (a) tensile strength, (b) elongations, (c) Brinell hardness.
After the modification of the AlSi7Mg alloy with the master alloy (TiB2 + AlSi7), an increase in mechanical properties was found, both in comparison to the unmodified alloy and in comparison to the modification of the master alloy (TiB + AlSi7). The tensile strength was Rm = 167 MPa (Figure 8a), elongation (A) = 4.3% (Figure 8b) and hardness (H) = 60 HB (Figure 8c). An increase in some parameters was observed compared to the master alloy (TiB + AlSi7). There was a significant increase in elongation, which amounted to 30%, while the strength and hardness oscillated within the measurement error. The observed increase in parameters compared to the mortar (TiB + AlSi7), i.e., strength and hardness, were within the measurement error, while the increase in elongation is significant and amounts to 30%. After further increasing the amount of boron in the modifier by introducing the components TiB3, TiB4 and TiB5 into the master alloy, a gradual decrease in mechanical properties was achieved. Their reduction was due to the increase in the amount of boron in relation to titanium. A reduction in strength from 162 MPa for TiB3 to 158 for TiB5 (Figure 8a), elongation from 3.3 to 3.2% (Figure 8b) and hardness from 58 to 57 HB (Figure 8c) were obtained. The reduction in all three of the above mechanical parameters is not significant.
By analyzing the changes in mechanical properties after the modification of the silumin with the master alloy with a variable share of titanium (Figure 7) and boron (Figure 8), it was found that the AlSi7Mg alloy after the modification with the master alloy (Ti3B + AlSi7) has the highest properties. In the third series of tests, it was decided to determine the optimal share of the Ti3B component in the master alloy. For this purpose, it was decided to modify the hypoeutectic silumin with the master alloy (Ti3B + AlSi7) (Figure 9).
Figure 9.
Mechanical properties the AlSi7Mg alloy after modification with AlSi7 + (Ti3B) master alloy: (a) tensile strength, (b) elongations, (c) Brinell hardness.
After the modification of silumin (AlSi7Mg) with the (0.04% Ti3B + AlSi7) master alloy, the tensile strength (Rm) = 171 MPa (Figure 9a), elongation (A) = 4.5% (Figure 9b) and hardness (H) = 61 HB. After increasing the amount of the modifier to 0.06%, the mechanical properties increased to Rm = 176 MPa, A = 5.1% and H = 62 HB. The highest mechanical properties of the analyzed parameters were obtained for the master alloy given above. After modifying the AlSi7Mg alloy with the (0.08% Ti3B + AlSi7) master alloy, a change in all analyzed mechanical properties was achieved within the error limits: Rm = 175 MPa, A = 5.2% and H = 63 HB. When further increasing the Ti3B in the master alloy to 0.1 and 0.12%, the strength decreased to 171 and 169 MPa, the elongation to 4.9 and 3.3%, and the hardness to 62 and 57 HB, respectively. It should be remembered that the amounts of titanium and boron discussed refer to the same mass of each of them in relation to the mass of the modified alloy. The analysis of the test results presented in Figure 9 shows that the highest mechanical properties were obtained for 0.06 to 0.08% (Ti3B + AlSi7).
By analyzing all the presented results of the mechanical properties (Figure 9), it was decided to check whether by increasing the amounts of both modifiers from 0.06% to 0.1% (basic share) it would be possible to obtain similar modification effects reflected in the mechanical properties of the processed AlSi7Mg alloy. For this purpose, research was carried out on the modification of the AlSi7Mg alloy with the master alloy (AlSi7 + Ti + B) for 0.1% Ti and 0.1% B at the basic level TiB (1:1) and for a larger amount of titanium—respectively, Ti2B (2:1), Ti3B (3:1), Ti4B (4:1) and Ti5B (5:1) (Figure 10).
Figure 10.
Mechanical properties the AlSi7Mg alloy without modification and after modification with AlSi7 + (TixB) master alloy for Ti = 0.1% and B = 0.1%: (a) tensile strength, (b) elongations, (c) Brinell hardness.
The AlSi7Mg alloy after modification with the (TiB + AlSi7) master alloy obtained Rm = 169 MPa (Figure 10a), A = 4.4% (Figure 10b) and H = 60 HB (Figure 10c). The highest mechanical parameters were obtained for the master alloy containing 0.2% titanium and 0.1% boron (Ti2B), amounting to Rm = 173 MPa, A = 5.0% and H = 62 HB. After increasing the proportion of titanium to boron to Ti3B, the mechanical parameters of the modified silumin decreased to Rm = 170 MPa, A = 4.6% and H = 61 HB. Subsequently, when the proportion of titanium to boron was increased, the analyzed mechanical properties were further reduced for Ti4B to Rm = 167 MPa, A = 4.4%, H = 59 HB, and for Ti5B to Rm = 163 MPa, A = 3.5%, H = 58 HB. Therefore, for the share of Ti at the level of 0.1% and boron at the level of 0.1% (Figure 10), a different course was obtained for different Ti/B ratios in the master alloy than with the share of each of them at the level of 0.06% (Figure 7). It follows that the efficiency of a master alloy containing titanium and boron depends not only on the ratio of titanium to boron, but also on their share in the master alloy in relation to the mass of the modified alloy.
Analyzing the presented research results, it was found that the problem is not easy and unambiguous to describe. Although the optimal titanium to boron ratio of 2 to 1 (Ti2B) was selected for different proportions of both components in the master alloy (Ti and B), changes in the mechanical parameters were obtained depending on the percentage of mass in the master alloy of each of the components in relation to the mass of the modified AlSi7Mg alloy.
The results of studies on the modification of silumins with titanium and boron presented in the literature indicate different effects of these chemical elements [26,69,70]. In [26], the authors, comparing the influence of Al5Ti1B and Al5Ti2B on the microstructure and mechanical properties of the A333 alloy, found that Al5Ti1B was the most effective, which also confirms the results presented in this work that changing the content of individual components affects the effectiveness of the modification of hypoeutectic Al-Si alloys. The research results presented in [67,68] confirm the advisability of introducing silicon into the master alloy. This confirms the statements contained in the author’s previous works [7,40], stating a higher efficiency of the modification of hypoeutectic silumins using master alloy compositions with a chemical composition similar to the chemical composition of the modified alloy.
4. Conclusions
In the presented results on the modification of a AlSi7Mg alloy, the following can be concluded:
- It was confirmed that a master alloy containing 7% silicon has a more intense impact on the modification process than a master alloy with a similar composition but not containing silicon; this may be due to the better solubility of boron in the master alloy containing silicon [68] than only aluminum;
- The optimal Ti/B ratio (for maximum values of mechanical properties) was set at 2:1;
- The optimal mass fraction of titanium and boron in the master alloy in relation to the mass of the modified AlSi7Mg silumin was set at 0.06 to 0.08%.
Funding
This research received no external funding.
Institutional Review Board Statement
Not applicable.
Informed Consent Statement
Not applicable.
Data Availability Statement
The data presented in this study are available on request from the corresponding author. The data are not publicly available due to ethical issue.
Conflicts of Interest
The author declares no conflict of interest.
References
- Wang, Y.; Chen, W.; Liu, Y.; Peng, H.; Wang, J.; Su, X. Synergistic Effect of Strontium and Melt Quenching on the Solidification Microstructure of Hypereutectic Al-Si Alloys. Materials 2023, 16, 6188. [Google Scholar] [CrossRef] [PubMed]
- Liu, S.; Zhao, T.; Fu, J.; Zu, Q. Development of Inoculants for Aluminum Alloy: A Review. Materials 2023, 16, 5500. [Google Scholar] [CrossRef] [PubMed]
- Martinovsky, M.; Madl, J. The effect of different modifiers on cutting temperature in turning of AlSi7Mg0.3 alloy. Manuf. Technol. 2018, 18, 950–953. [Google Scholar] [CrossRef]
- Lipiński, T. Influence of Surface Refinement on Microstructure of Al-Si Cast Alloys Processed by Welding Method. Manuf. Technol. 2015, 15, 576–581. [Google Scholar] [CrossRef]
- Selejdak, J.; Ulewicz, R.; Ingaldi, M. The evaluation of the use of a device for producing metal elements applied in civil engineering. In Proceedings of the 23rd International Conference on Metallurgy and Materials, Brno, Czech Republic, 21–23 May 2014; pp. 1882–1888. [Google Scholar]
- Yang, J.; Oliveira, J.P.; Li, Y.; Tan, C.; Gao, C.; Zhao, Y.; Yu, Z. Laser techniques for dissimilar joining of aluminum alloys to steels: A critical review. J. Mater. Process. Technol. 2022, 301, 117443. [Google Scholar] [CrossRef]
- Lipiński, T. Effect of Sr, Ti and B additions as powder and a preliminary alloy with Al on microstructure and tensile strength AlSi9Mg alloy. Manuf. Technol. 2019, 19, 807–812. [Google Scholar] [CrossRef]
- Novak, M.; Naprstkova, N.; Ruzicka, L. New ways in aluminium alloys grinding. Key Eng. Mater. 2012, 496, 132–137. [Google Scholar] [CrossRef]
- Nová, I.; Fraňa, K.; Lipiński, T. Monitoring of the interaction of aluminum alloy and sodium chloride as the basis for ecological production of expanded aluminum. Phys. Met. Metallogr. 2021, 122, 1288–1300. [Google Scholar] [CrossRef]
- Ulewicz, R.; Czerwińska, K.; Pacana, A. A Rank Model of Casting Non-Conformity Detection Methods in the Context of Industry 4.0. Materials 2023, 16, 723. [Google Scholar] [CrossRef]
- Lipiński, T. Quality, Microstructure, and Properties of Metal Alloys. Materials 2023, 16, 3019. [Google Scholar] [CrossRef]
- Samuel, E.; Samuel, A.M.; Songmene, V.; Samuel, F.H. A Review on the Analysis of Thermal and Thermodynamic Aspects of Grain Refinement of Aluminum-Silicon-Based Alloys. Materials 2023, 16, 5639. [Google Scholar] [CrossRef] [PubMed]
- Lipiński, T. Modification of the Al-9%SiMg Alloy with Aluminum, Boron, and Titanium Fast Cooled Mixtures. Acta Phys. Pol. A 2016, 130, 982–984. [Google Scholar] [CrossRef]
- Shah, A.W.; Ha, S.-H.; Siddique, J.A.; Kim, B.-H.; Yoon, Y.-O.; Lim, H.-K.; Kim, S.K. Microstructure Evolution and Mechanical Properties of Al–Cu–Mg Alloys with Si Addition. Materials 2023, 16, 2783. [Google Scholar] [CrossRef]
- Dahle, A.K.; Nogita, K.; Mcdonald, S.D.; Dinnis, C.; Lu, L. Eutectic modification and microstructure development in Al–Si Alloys. Mater. Sci. Eng. A 2005, 413–414, 243–248. [Google Scholar] [CrossRef]
- Lipiński, T.; Bramowicz, M.; Szabracki, P. The Microstructure and Mechanical Properties of Al-7%SiMg Alloy Treated with an Exothermic Modifier Containing Na and B. Solid State Phenom. 2013, 203–204, 250–253. [Google Scholar] [CrossRef]
- Flemings, M.C. Solidification processing. Metall. Mater. Tran. B 1974, 5, 2121–2134. [Google Scholar] [CrossRef]
- Zaguliaev, D.; Konovalov, S.; Ivanov, Y.; Gromov, V. Effect of electron-plasma alloying on structure and mechanical properties of Al-Si alloy. Appl. Surf. Sci. 2019, 498, 143767. [Google Scholar] [CrossRef]
- Michna, S.; Lukac, I.; Ocenasek, V.; Koreny, R.; Drapala, J.; Schneider, H.; Miskufova, A. Encyclopaedia of aluminium. In Czech Encyklopedie Hliniku; Adin, S.R.O., Ed.; Adin, s.r.o.: Presov, Slovakia, 2005. (In Czech) [Google Scholar]
- Mondolfo, L.F. Aluminum Alloys: Structure and Properties; Butterworths: London, UK, 1978. [Google Scholar]
- Michna, Š.; Hren, I.; Cais, J.; Michnová, L. The research of the different properties and production parameters having influence on deep-drawing sheets made of AlMg3 alloy. Manuf. Technol. 2020, 20, 347–354. [Google Scholar] [CrossRef]
- Kurz, W.; Fisher, D.J. Fundamentals of Solidifications; TTP: Trasadingen, Switzerland, 1986. [Google Scholar]
- Ourdjini, A.; Yilmaz, F.; Hamed, Q.S.; Elliott, R. Microstructure and mechanical properties of directionally solidified Al-Si eutectic alloys with and without antimony. Mater. Sci. Technol. 1992, 8, 764–776. [Google Scholar] [CrossRef]
- Di Egidio, G.; Martini, C.; Börjesson, J.; Ghassemali, E.; Ceschini, L.; Morri, A. Influence of Microstructure on Fracture Mechanisms of the Heat-Treated AlSi10Mg Alloy Produced by Laser-Based Powder Bed Fusion. Materials 2023, 16, 2006. [Google Scholar] [CrossRef]
- Wang, X.; Liu, Y.; Huang, Y. Improving Precipitation in Cryogenic Rolling 6016 Aluminum Alloys during Aging Treatment. Materials 2023, 16, 3336. [Google Scholar] [CrossRef] [PubMed]
- Arendarchuck, B.E.; Mayer, A.R.; de Oliveira, W.R.; Pukasiewicz, A.G.M.; Lourençato, L.A.; Fals, H.D.C.; Martínez-Cámara, E. Effect of Ti-B Grain Refiners on Wear and Corrosion of the A332 Alloy with Sr Modification. Appl. Sci. 2023, 13, 430. [Google Scholar] [CrossRef]
- Lipinski, T.; Szabracki, P. Modification of the hypo-eutectic Al-Si alloys with an exothermic modifier. Arch. Metall. Mater. 2013, 58, 453–458. [Google Scholar] [CrossRef]
- Hren, I.; Svobodova, J. Fractographic analysis of strontium-modified Al-Si alloys. Manuf. Technol. 2018, 18, 900–905. [Google Scholar] [CrossRef]
- Liao, H.; Sun, Y.; Sun, G. Effect of Al-5Ti-1B on the microstructure of near-eutectic Al-13.0%Si alloys modified with Sr. J. Mater. Sci. 2002, 37, 3489–3495. [Google Scholar] [CrossRef]
- Lipiński, T. Use Properties of the AlSi9Mg Alloy with Exothermical Modifier. Manuf. Technol. 2011, 11, 44–49. [Google Scholar]
- Kori, S.A.; Murty, B.S.; Chakraborty, M. Development of an efficient grain refiner for Al–7Si alloy and its modification with strontium. Mater. Sci. Eng. A 2000, 283, 94–104. [Google Scholar] [CrossRef]
- Bolibriichová, D.; Hajdúch, P.; Brůna, M. Influence of molybdenum, zircon and copper on structure of aluminum alloy AlSil0Mg(Cu) (En Ac-43200). Manuf. Technol. 2018, 18, 709–718. [Google Scholar]
- Nova, I.; Frana, K.; Sobotka, I.; Solfronk, P.; Korecek, D.; Novakova, I. Production of porous aluminium using sodium chloride. Manuf. Technol. 2019, 19, 817–822. [Google Scholar] [CrossRef]
- Lipinski, T. Effect of combinative cooled addition of strontium and aluminium on mechanical properties AlSi12 alloy. J. Achiev. Mater. Manuf. Eng. 2017, 83, 5–11. [Google Scholar] [CrossRef]
- Zhang, S.; Yi, W.; Zhong, J.; Gao, J.; Lu, Z.; Zhang, L. Computer Alloy Design of Ti Modified Al-Si-Mg-Sr Casting Alloys for Achieving Simultaneous Enhancement in Strength and Ductility. Materials 2023, 16, 306. [Google Scholar] [CrossRef] [PubMed]
- Xiufang, B.; Weimin, W.; Jingyu, Q. Liquid structure of Al-12.5% Si alloy modified by antimony. Mater. Charact. 2001, 46, 25–29. [Google Scholar] [CrossRef]
- Lipiński, T.; Szabracki, P. Mechanical Properties of AlSi9Mg Alloy with a Sodium Modifier. Solid State Phenom. 2015, 223, 78–86. [Google Scholar] [CrossRef]
- Nogita, K.; Knuutinen, A.; McDonald, S.D.; Dahle, A.K. Mechanisms of eutectic solidification in Al–Si alloys modified with Ba, Ca, Y and Yb. J. Light Met. 2001, 1, 219–228. [Google Scholar] [CrossRef]
- Konovalov, S.V.; Zagulyaev, D.V.; Ivanov, Y.F.; Gromov, V.E. Effect of yttrium oxide modification of Al-Si alloy on microhardness and microstructure of surface layers. Metalurgija 2018, 57, 253–256. [Google Scholar]
- Lipiński, T. Modification of Al-Si alloys with the use of a homogenous modifiers. Arch. Metall. Mater. 2008, 53, 193–197. [Google Scholar]
- Pacz, A. Alloy. US Patent No. GB158827, 16 August 1921. [Google Scholar]
- Wang, H.; He, L.; Zhang, Q.; Yuan, Y. Influence of Ni Contents on Microstructure and Mechanical Performance of AlSi10Mg Alloy by Selective Laser Melting. Materials 2023, 16, 4679. [Google Scholar] [CrossRef]
- Magnin, P.; Mason, J.T.; Trivedi, R. Growth of irregular eutectics and the Al-Si system. Acta Metall. Et Mater. 1991, 39, 469–480. [Google Scholar] [CrossRef]
- Zhang, X.; Yan, L.; Li, Z.; Li, X.; Gao, G.; Yan, H.; Wen, K.; Zhang, Y.; Xiong, B. Effects of Cu Addition on Age Hardening Behavior and Mechanical Properties of High-Strength Al-1.2Mg-1.2Si Alloy. Materials 2023, 16, 3126. [Google Scholar] [CrossRef]
- Lei, W.B.; Liu, X.T.; Wang, W.M.; Sun, Q.; Xu, Y.Z.; Cui, J.Z. On the influences of Li on the microstructure and properties of hypoeutectic Al-7Si alloy. J. Alloys Compd. 2017, 729, 703–709. [Google Scholar] [CrossRef]
- Elliott, R. Eutectic Solidification Processing; Butterworts: London, UK, 1983. [Google Scholar]
- Naprstkova, N.; Kraus, P.; Stancekova, D. Calcium and its using for modification of AlSi7Mg0.3 alloy from view of final microstructure and hardness. Proc. Eng. Rural Dev. 2018, 17, 2003–2008. [Google Scholar]
- Zhang, Z.W.; Wang, J.L.; Zhang, Q.L.; Zhang, S.P.; Shi, Q.N.; Qi, H.R. Research on Grain Refinement Mechanism of 6061 Aluminum. Alloy Processed by Combined SPD Methods of ECAP and MAC. Materials 2018, 11, 1246. [Google Scholar] [CrossRef] [PubMed]
- Yaparova, N.M. Method for determining particle growth dynamics in a two-component alloy. Izv. Ferr. Met. 2020, 63, 135–139. (In Russian) [Google Scholar]
- Lu, S.Z.; Hellawell, A. Growth mechanisms of silicon in Al-Si alloys. J. Cryst. Growth 1985, 73, 316–328. [Google Scholar] [CrossRef]
- Pierantoni, M.; Gremaud, M.; Magnin, P.; Stoll, D.; Kurz, W. The coupled zone of rapidly solidified Al-Si alloys in laser treatment. Acta Metall. Et Mater. 1992, 40, 1637–1644. [Google Scholar] [CrossRef]
- Heidarzadeh, A.; Khorshidi, M.; Mohammadzadeh, R.; Khajeh, R.; Mofarrehi, M.; Javidani, M.; Chen, X.-G. Multipass Friction Stir Processing of Laser-Powder Bed Fusion AlSi10Mg: Microstructure and Mechanical Properties. Materials 2023, 16, 1559. [Google Scholar] [CrossRef]
- Jackson, K.A.; Beatty, K.M.; Gudgel, K.A. An analytical model for non-equilibrium segregation during crystallization. J. Cryst. Growth 2004, 271, 481–494. [Google Scholar] [CrossRef]
- Li, J.H.; Zarif, M.Z.; Albu, M.; Mckay, B.J.; Hofer, F.; Schumacher, P. Nucleation kinetics of entrained eutectic Si in Al–5Si alloys. Acta Mater. 2014, 72, 80–98. [Google Scholar] [CrossRef]
- Lipiński, T. Effect of Modifier Form on Mechanical Properties of Hypoeutectic Silumin. Materials 2023, 16, 5250. [Google Scholar] [CrossRef]
- Knuutinen, A.; Nogita, K.; McDonald, S.D.; Dahle, A.K. Modification of Al–Si alloys with Ba, Ca, Y and Yb. J. Light Met. 2001, 1, 229–240. [Google Scholar] [CrossRef]
- Zupanič, F.; Žist, S.; Albu, M.; Letofsky-Papst, I.; Burja, J.; Vončina, M.; Bončina, T. Dispersoids in Al-Mg-Si Alloy AA 6086 Modified by Sc and Y. Materials 2023, 16, 2949. [Google Scholar] [CrossRef] [PubMed]
- Wen, Y.; Wu, Y.; Wu, Y.; Gao, T.; Wei, Z.; Liu, X. Effect of Al-5Ti-0.25C-0.25B and Al-5Ti-1B Master Alloys on the Microstructure and Mechanical Properties of Al-9.5Si-1.5Cu-0.8Mn-0.6Mg Alloy. Materials 2023, 16, 1246. [Google Scholar] [CrossRef] [PubMed]
- Wang, T.; Fu, H.; Chen, Z.; Xu, J.; Zhu, J.; Cao, F.; Li, T. A novel fading-resistant Al–3Ti–3B grain refiner for Al–Si alloys. J. Alloys Compd. 2012, 511, 45–49. [Google Scholar] [CrossRef]
- Lipinski, T. Influence of Ti and melt number on microstructure and mechanical properties of Al-Si alloy on agriculture machine parts. In Proceedings of the 17th International Scientific Conference Engineering for Rural Development, Jelgava, Latvia, 23–25 May 2018; Volume 17, pp. 1431–1436. [Google Scholar]
- Li, Q.; Qiu, F.; Dong, B.X.; Gao, X.; Shu, S.L.; Yang, H.Y.; Jiang, Q.C. Processing, multiscale microstructure refinement and mechanical property enhancement of hypoeutectic Al–Si alloys via in situ bimodal-sized TiB2 particles. Mater. Sci. Eng. A 2020, 777, 139081. [Google Scholar] [CrossRef]
- Lipiński, T. Effect of Al5TiB Master Alloy with P on Microstructure and Mechanical Properties of AlSi7Mg Alloy. Metals 2023, 13, 1560. [Google Scholar] [CrossRef]
- Górny, Z. Foundry Alloys of Non-Ferrous Metals [Odlewnicze Stopy Metali Nieżelaznych]; WNT: Warsaw, Poland, 1992. (In Polish) [Google Scholar]
- Romankiewicz, F. Research on the modification of the AlSi7Mg alloy with additions of AlTi5B1 and AlSr10. Badania nad modyfikacją stopu AlSi7Mg dodatkami AlTi5B1 i AlSr10. In Proceedings of the II Konferencja—Zjawiska Powierzchniowe w Procesach Odlewniczych, Poznań, Kołobrzeg; 1994; pp. 93–103. (In Polish). [Google Scholar]
- EN ISO 6892-1:2019; Metallic Materials—Tensile Testing Part 1: Method of Test at Room Temperature. International Organization for Standardization: Geneva, Switzerland, 2019.
- ISO 6506-1:2014; Metallic Materials—Brinell Hardness Test—Part 1: Test Method. International Organization for Standardization: Geneva, Switzerland, 2014.
- Turner, D.H.; Crossley, F.A. Studies of Phase Relationships and Transformation Processes of Ti-Alloy System. Part VI: The Ti-Rich Corner of the Ti–Al–Si System; Wright Air Development Center: Dayton, OH, USA, 1954; Volume 54–101, pp. 52–66. [Google Scholar]
- Ban, B.; Li, J.; Bai, X.; He, Q.; Chen, J.; Dai, S. Mechanism of B removal by solvent refining of silicon in Al–Si melt with Ti addition. J. Alloys Compd. 2016, 672, 489–496. [Google Scholar] [CrossRef]
- Romankiewicz, R.; Romankiewicz, F. Influence of time on modification effect of silumin AlSi11 with strontium and boron. Metall. Foundry Eng. 2017, 43, 209–217. [Google Scholar] [CrossRef]
- Lee, J.; Lee, J.M.; Son, K.; Jang, J.; Cho, Y. A study on the interaction between a Sr modifier and an Al-5Ti-1B grain refiner in an Al-7Si-0.35Mg casting alloy. J. Alloys Compd. 2023, 938, 168598. [Google Scholar] [CrossRef]
Disclaimer/Publisher’s Note: The statements, opinions and data contained in all publications are solely those of the individual author(s) and contributor(s) and not of MDPI and/or the editor(s). MDPI and/or the editor(s) disclaim responsibility for any injury to people or property resulting from any ideas, methods, instructions or products referred to in the content. |
© 2023 by the author. Licensee MDPI, Basel, Switzerland. This article is an open access article distributed under the terms and conditions of the Creative Commons Attribution (CC BY) license (https://creativecommons.org/licenses/by/4.0/).









