Robust Elastic Full-Waveform Inversion Based on Normalized Cross-Correlation Source Wavelet Inversion
Abstract
:1. Introduction
2. Methods
2.1. Elastic Full-Waveform Inversion (EFWI)
2.2. Source Wavelet Inversion Based on L2-Norm Elastic Waveform Inversion (L2EWI)
2.3. Source Wavelet Inversion by Cross-Correlation Norm Elastic Waveform Inversion (CNEWI)
2.4. Inversion Strategies
3. Numerical Examples
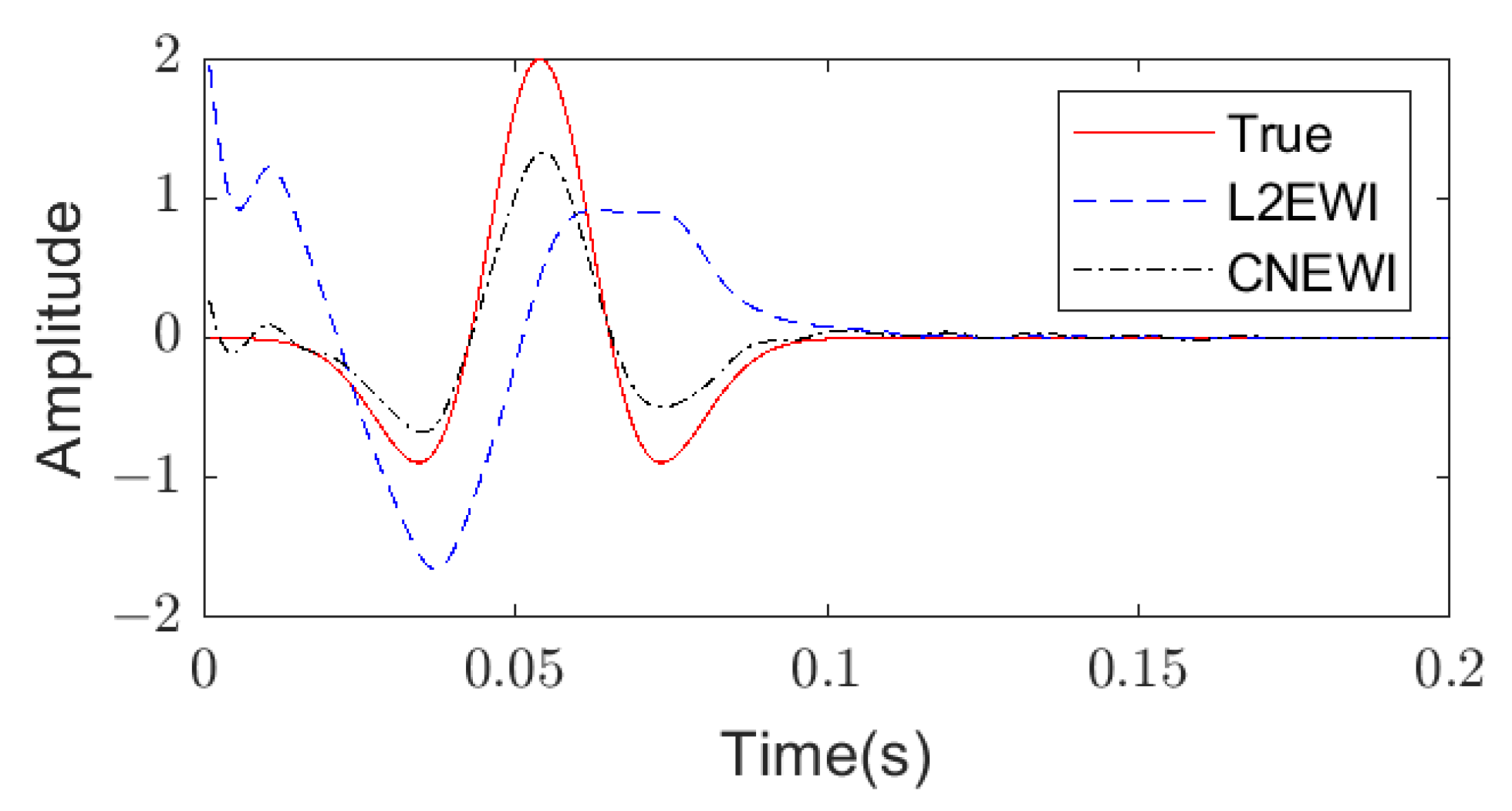
3.1. Inversion Effects in the Ideal Case
3.2. Inversion Effects Using Multi-Component Data with Bad Traces
3.3. Inversion Effects Using Single-Component Data with Bad Traces
4. Conclusions
Author Contributions
Funding
Institutional Review Board Statement
Informed Consent Statement
Data Availability Statement
Conflicts of Interest
References
- Virieux, J.; Operto, S. An overview of full-waveform inversion in exploration geophysics. Geophysics 2009, 74, WCC1–WCC26. [Google Scholar] [CrossRef]
- Bruno, P.P. Seismic Exploration Methods for Structural Studies and for Active Fault Characterization: A Review. Appl. Sci. 2023, 13, 9473. [Google Scholar] [CrossRef]
- Tarantola, A. Linearized inversion of seismic reflection data. Geophys. Prospect. 1984, 32, 998–1015. [Google Scholar] [CrossRef]
- Laily, P. The seismic inverse problem as a sequence of before-stack migrations. In Conference on Inverse Scattering—Theory and Application; SIAM: Philadelphia, PA, USA, 1983; pp. 206–220. [Google Scholar]
- Tarantola, A. Inversion of seismic reflection data in the acoustic approximation. Geophysics 1984, 49, 1259–1266. [Google Scholar] [CrossRef]
- Li, K.; Huang, X.; Hu, Y.; Chen, X.; Chen, K.; Tang, J. Vertical Seismic-Profile Data Local Full-Waveform Inversion Based on Marchenko Redatuming. Appl. Sci. 2023, 13, 4165. [Google Scholar] [CrossRef]
- Plessix, R.E. A review of the adjoint-state method for computing the gradient of a functional with geophysical applications. Geophys. J. Int. 2006, 167, 495–503. [Google Scholar] [CrossRef]
- Liu, F.; Morton, S.A.; Ma, X.; Checkles, S. Some key factors for the successful application of full-waveform inversion. Lead Edge 2013, 32, 1124–1129. [Google Scholar] [CrossRef]
- Da Silva, S.L.; Costa, F.; Karsou, A.; Capuzzo, F.; Moreira, R.; Lopez, J.; Cetale, M. Research Note: Application of refraction full-waveform inversion of ocean bottom node data using a squared-slowness model parameterization. Geophys. Prospect. 2023; early view. [Google Scholar] [CrossRef]
- Alaei, N.; Monfared, M.S.; Kahoo, A.R.; Bohlen, T. Seismic Imaging of Complex Velocity Structures by 2D Pseudo-Viscoelastic Time-Domain Full-Waveform Inversion. Appl. Sci. 2022, 12, 7741. [Google Scholar] [CrossRef]
- Ishak, M.A.; Latiff, A.H.A.; Ho, E.T.W.; Fuad, M.I.A.; Tan, N.W.; Sajid, M.; Elsebakhi, E. Advanced Elastic and Reservoir Properties Prediction through Generative Adversarial Network. Appl. Sci. 2023, 13, 6311. [Google Scholar] [CrossRef]
- Mora, P. Nonlinear two-dimensional elastic inversion of multioffset seismic data. Geophysics 1987, 52, 1211–1228. [Google Scholar] [CrossRef]
- Rivera, C.; Trinh, P.; Bergounioux, E.; Duquet, B. Elastic multiparameter FWI in sharp contrast medium. In Proceedings of the 89th SEG Annual Meeting, San Antonio, TX, USA, 15–20 September 2019. [Google Scholar]
- Tarantola, A. A strategy for nonlinear elastic inversion of seismic reflection data. Geophysics 1986, 51, 1893–1903. [Google Scholar] [CrossRef]
- Crase, E.; Pica, A.; Noble, M.; McDonald, J.; Tarantola, A. Robust elastic nonlinear waveform inversion: Application to real data. Geophysics 1990, 55, 527–538. [Google Scholar] [CrossRef]
- Basnet, M.B.; Anas, M.; Rizvi, Z.H.; Ali, A.H.; Zain, M.; Cascante, G.; Wuttke, F. Enhancement of In-Plane Seismic Full Waveform Inversion with CPU and GPU Parallelization. Appl. Sci. 2022, 12, 8844. [Google Scholar] [CrossRef]
- Qin, N.; Liang, H.; Guo, Z.; Li, Z. A parallel implementing strategy for full waveform inversion of 3D elastic waves based on domain decomposition. Oil Geophys. Prospect. 2023, 58, 351–357. [Google Scholar]
- Li, Q.; Wu, G.; Wang, Y.; Shen, G.; Duan, P. Elastic full-waveform inversion of land single-component seismic data based on optimal transport theory. Oil Geophys. Prospect. 2021, 56, 1060–1073. [Google Scholar]
- Choi, Y.; Alkhalifah, T. Application of multi-source waveform inversion to marine streamer data using the global correlation norm. Geophys. Prospect. 2012, 60, 748–758. [Google Scholar] [CrossRef]
- Zhang, Z.; Alkhalifah, T.; Wu, Z.; Liu, Y.; He, B.; Oh, J.-W. Normalized nonzero-lag crosscorrelation elastic full-waveform inversion. Geophysics 2019, 84, R1–R10. [Google Scholar] [CrossRef]
- Shin, C.; Cha, Y.H. Waveform inversion in the Laplace domain. Geophys. J. Int. 2008, 173, 922–931. [Google Scholar] [CrossRef]
- Wu, R.-S.; Luo, J.R.; Wu, B.Y. Seismic envelope inversion and modulation signal model. Geophysics 2014, 79, WA13–WA24. [Google Scholar] [CrossRef]
- Luo, J.; Wu, R.-S.; Gao, J. Elastic seismic envelope inversion. J. Seism. Explor. 2016, 25, 103–119. [Google Scholar]
- Chen, G.; Yang, W.; Liu, Y.; Wang, H.; Huang, X. Salt structure elastic full waveform inversion based on the multiscale signed envelope. IEEE Trans. Geosci. Remote Sens. 2022, 60, 4508912. [Google Scholar] [CrossRef]
- Oh, J.-W.; Alkhalifah, T. Full waveform inversion using envelope-based global correlation norm. Geophys. J. Int. 2018, 213, 815–823. [Google Scholar] [CrossRef]
- Zhang, P.; Han, L.; Yang, Y.; Shang, X. Source-independent cross-correlated elastic seismic envelope inversion for large-scale multiparameter reconstruction. IEEE Geosci. Remote Sens. Lett. 2022, 19, 8030305. [Google Scholar] [CrossRef]
- Song, Z.-M.; Williamson, P.R.; Pratt, R.G. Frequency-domain acoustic-wave modeling and inversion of crosshole data: Part II—Inversion method, synthetic experiments and real-data results. Geophysics 1995, 60, 796–809. [Google Scholar] [CrossRef]
- Pratt, R.G. Seismic waveform inversion in the frequency domain, Part 1: Theory and verification in a physical scale model. Geophysics 1999, 64, 888–901. [Google Scholar] [CrossRef]
- Cheong, S.; Shin, C.; Pyun, S.; Min, D.J.; Suh, S. Efficient calculation of steepest descent direction for source-independent waveform inversion using normalized wavefield by convolution. In Proceedings of the 74th Annual International Meeting, SEG, Denver, CO, USA, 10–15 October 2004; pp. 1842–1845. [Google Scholar]
- Choi, Y.; Shin, C.; Min, J.; Ha, Y. Efficient calculation of the steepest descent direction for source-independent seismic waveform inversion: An amplitude approach. J. Comput. Phys. 2005, 208, 455–468. [Google Scholar] [CrossRef]
- Lee, K.H.; Kim, H.J. Source-independent full-waveform inversion of seismic data. Geophysics 2003, 68, 2010–2015. [Google Scholar] [CrossRef]
- Zhou, B.; Greenhalgh, S.A. Crosshole seismic inversion with normalized full-waveform amplitude data. Geophysics 2003, 68, 1320–1330. [Google Scholar] [CrossRef]
- Xu, K.; Greenhalgh, S.A.; Wang, M.Y. Comparison of source-independent methods of elastic waveform inversion. Geophysics 2006, 71, R91–R100. [Google Scholar] [CrossRef]
- Choi, Y.; Min, D.J. Source-independent elastic waveform inversion using a logarithmic wavefield. J. Appl. Geophys. 2012, 76, 13–22. [Google Scholar] [CrossRef]
- Choi, Y.; Alkhalifah, T. Source-independent time-domain waveform inversion using convolved wavefields: Application to the encoded multisource waveform inversion. Geophysics 2011, 76, R125–R134. [Google Scholar] [CrossRef]
- Zhang, Q.C.; Zhou, H.; Li, Q.Q. Robust source-independent elastic full-waveform inversion in the time domain. Geophysics 2016, 81, R29–R44. [Google Scholar] [CrossRef]
- Zhou, C.; Schuster, G.T.; Hassanzadeh, S.; Harris, J.M. Elastic wave equation traveltime and waveform inversion of crosswell data. Geophysics 1997, 62, 853–868. [Google Scholar] [CrossRef]
- Hu, Y.; Han, L.; Xu, Z.; Zhang, T. Demodulation envelope multi-scale full waveform inversion based on precise seismic source function. Chin. J. Geophys. 2017, 60, 1088–1105. (In Chinese) [Google Scholar]
- Shin, C.; Pyun, S.; Bednar, J.B. Comparison of waveform inversion, part 1: Conventional wavefield vs logarithmic wavefield. Geophys. Prospect. 2007, 55, 449–464. [Google Scholar] [CrossRef]
- Kim, Y.; Min, D.-J.; Shin, C. Frequency-domain reverse-time migration with source estimation. Geophysics 2011, 76, S41–S49. [Google Scholar] [CrossRef]
- Fang, Z.; Wang, R.; Herrmann, F. Source estimation for wavefield-reconstruction inversion. Geophysics 2018, 83, R345–R359. [Google Scholar] [CrossRef]
- Zhang, P.; Han, L.; Lu, Z.; Shang, X.; Zhang, D. A Robust Source Wavelet Phase Inversion Method Based on Correlation Norm Waveform Inversion. IEEE Geosci. Remote Sens. Lett. 2023, 20, 7505405. [Google Scholar] [CrossRef]
- Martin, G.S.; Wiley, R.; Marfurt, K.J. Marmousi2: An elastic upgrade for Marmousi. Lead Edge 2006, 25, 113–224. [Google Scholar] [CrossRef]















Disclaimer/Publisher’s Note: The statements, opinions and data contained in all publications are solely those of the individual author(s) and contributor(s) and not of MDPI and/or the editor(s). MDPI and/or the editor(s) disclaim responsibility for any injury to people or property resulting from any ideas, methods, instructions or products referred to in the content. |
© 2023 by the authors. Licensee MDPI, Basel, Switzerland. This article is an open access article distributed under the terms and conditions of the Creative Commons Attribution (CC BY) license (https://creativecommons.org/licenses/by/4.0/).
Share and Cite
Qi, Q.; Huang, W.; Zhang, D.; Han, L. Robust Elastic Full-Waveform Inversion Based on Normalized Cross-Correlation Source Wavelet Inversion. Appl. Sci. 2023, 13, 13014. https://doi.org/10.3390/app132413014
Qi Q, Huang W, Zhang D, Han L. Robust Elastic Full-Waveform Inversion Based on Normalized Cross-Correlation Source Wavelet Inversion. Applied Sciences. 2023; 13(24):13014. https://doi.org/10.3390/app132413014
Chicago/Turabian StyleQi, Qiyuan, Wensha Huang, Donghao Zhang, and Liguo Han. 2023. "Robust Elastic Full-Waveform Inversion Based on Normalized Cross-Correlation Source Wavelet Inversion" Applied Sciences 13, no. 24: 13014. https://doi.org/10.3390/app132413014
APA StyleQi, Q., Huang, W., Zhang, D., & Han, L. (2023). Robust Elastic Full-Waveform Inversion Based on Normalized Cross-Correlation Source Wavelet Inversion. Applied Sciences, 13(24), 13014. https://doi.org/10.3390/app132413014
