Optimal Design of an Ecofriendly Pickup Truck Overhang and Roof to Reduce the Drag Coefficient
Abstract
1. Introduction
2. Methodology
3. Numerical Analysis
3.1. CAD Geometry of a Pickup Truck
3.2. CFD Simulation
3.2.1. Boundary Conditions
3.2.2. Turbulence Model
3.2.3. Grid Independence
4. Results
4.1. Validation of the Drag Coefficient
4.2. Flow Characteristics According to the Front Angle
4.3. Flow Characteristics According to the Rear Angle
4.4. Flow Characteristics According to the Angle Position
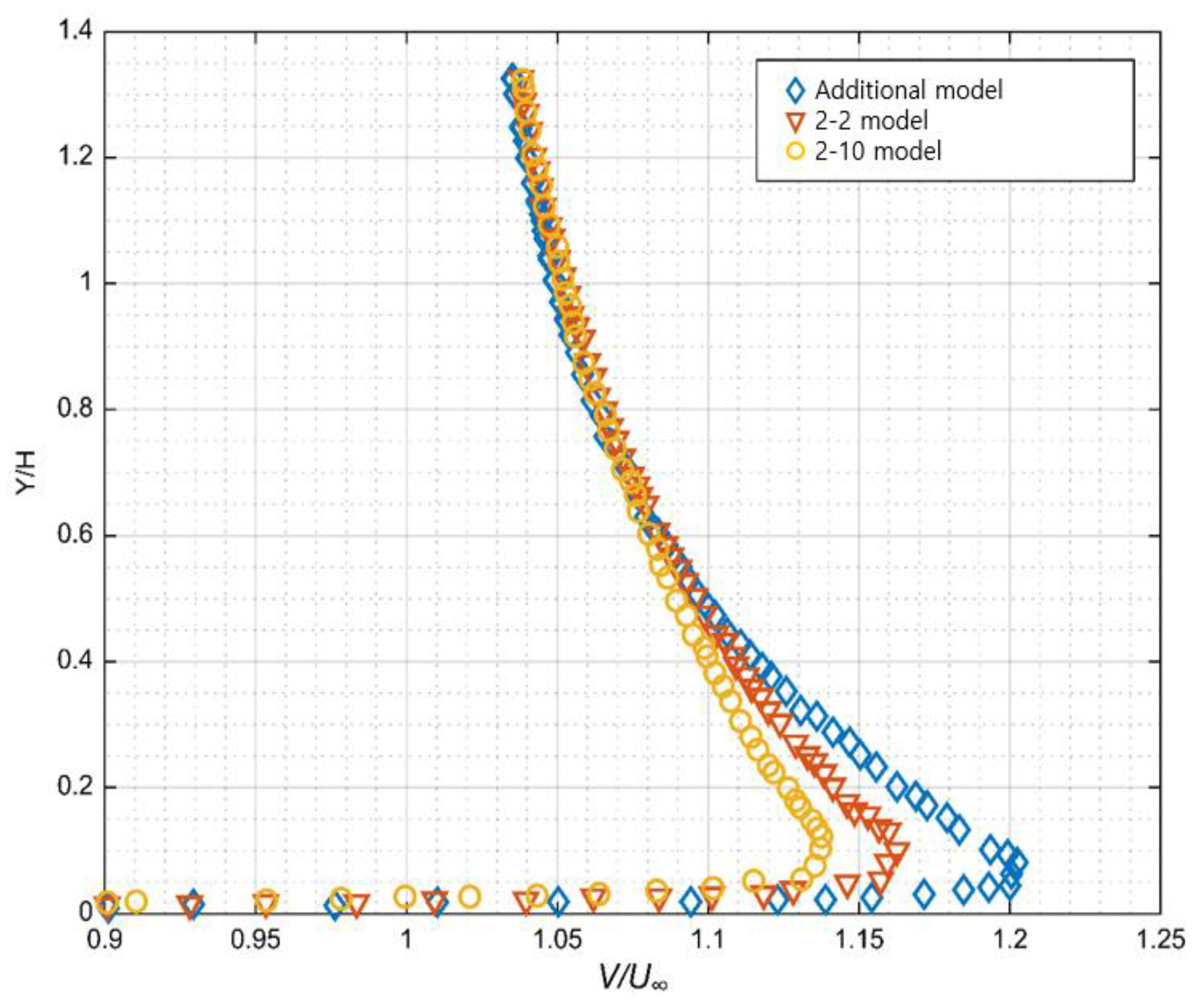
4.5. Flow Characteristics According to the Overhang Length
4.6. Comparison of the Drag Coefficient, Lift Coefficient, and Energy Reduction Rate According to the Geometry
4.7. Design Optimization




4.8. Empirical Correlation
5. Discussion
6. Conclusions
Author Contributions
Funding
Institutional Review Board Statement
Informed Consent Statement
Data Availability Statement
Acknowledgments
Conflicts of Interest
References
- Krishnani; Nari, P.; Zhou, D. CFD analysis of drag reduction for a generic SUV. In Proceedings of the ASME International Mechanical Engineering Congress and Exposition, Lake Buena Vista, FL, USA, 13–19 November 2009; Volume 43864. [Google Scholar]
- Adem, F.A. Drag Reduction of Pickup Truck Using Add-On Devices. Ph.D. Thesis, California State University, Sacramento, CA, USA, 2009. [Google Scholar]
- Yang, Z.; Khalighi, B. CFD simulations for flow over pickup trucks. Soc. Automot. Eng. 2005, 1, 0547. [Google Scholar]
- Al-Garni, A.M.; Bernal, L.P. Experimental investigation of the near wake of a pick-up truck. In Proceedings of the SAE 2003 World Congress & Exhibition, Detroit, MI, USA, 3–7 March 2003. [Google Scholar]
- Mukda, P. Effect from accessories on pickup aerodynamics by computational fluid dynamics. In Proceedings of the 6th Int’l Conference on Advances in Engineering Sciences and Applied Mathematics (ICAESAM’2016), Kuala Lumpur, Malaysia, 21–22 December 2016; pp. 59–63. [Google Scholar]
- Ha, J.; Obayashi, S.; Kohama, Y. Drag characteristics of a pickup truck according to the bed geometry. In Proceedings of the 7th IASME/WSEAS International Conference on Fluid Mechanics and Aerodynamics (FMA’09), Moscow, Russia, 20–22 August 2009; pp. 122–127. [Google Scholar]
- Ha, J.; Jeong, S.; Obayashi, S. Flow characteristics of a pickup truck with regard to the bed geometry variation. Proc. Inst. Mech. Eng. Part D J. Automob. Eng. 2010, 224, 881–891. [Google Scholar] [CrossRef]
- Tian, J.; Zhang, Y.; Zhu, H.; Xiao, H. Aerodynamic drag reduction and flow control of Ahmed body with flaps. Adv. Mech. Eng. 2017, 9. [Google Scholar] [CrossRef]
- Altaf, A.; Omar, A.A.; Asrar, W. Passive drag reduction of square back road vehicles. J. Wind Eng. Ind. Aerodyn. 2014, 134, 30–43. [Google Scholar] [CrossRef]
- Ha, J.; Jeong, S.; Obayashi, S. Drag reduction of a pickup truck by a rear downward flap. Int. J. Automot. Technol. 2011, 12, 369–374. [Google Scholar] [CrossRef]
- Ahmed, S.R.; Ramm, G.; Faltin, G. Some salient features of the time-averaged ground vehicle wake. In Proceedings of the SAE International Congress and Exposition, Detroit, MI, USA, 24–28 February 1984; pp. 473–503. [Google Scholar]
- Ait, M.A.; Fischer, J.; Yadav, R. Aerodynamic drag reduction for a generic truck using geometrically optimized rear cabin bumps. J. Eng. 2015, 2015, 789475. [Google Scholar]
- Markina, A.A.; Lukashuk, A.D.; Chepkasov, S.N.; Starovoytenko, A.V. Improving aerodynamic characteristics for drag reduction of heavy truck. IOP Conf. Ser. Mater. Sci. Eng. 2020, 862, 032032. [Google Scholar] [CrossRef]
- Kim, J.; Pattermann, J.; Menon, V.; Mokhtar, W. A CFD study of pickup truck aerodynamics. In Proceedings of the 2011 ASEE North Central & Illinois-Indiana Section Conference, Pleasant, WI, USA, 1–2 April 2011. [Google Scholar]
- Lietz, R.; Larson, L.; Bachant, P.; Goldstein, J.; Silveira, R.; Shademan, M.; Ireland, P.; Mooney, K. An Extensive Validation of an Open Source Based Solution for Automobile External Aerodynamics; No. 2017-01-1524; SAE Technical Paper; SAE International: Warrendale, PA, USA, 2017. [Google Scholar]
- Paul, A.J.; Jain, A.; Alam, F. Drag reduction of a passenger car using flow control techniques. Int. J. Automot. Technol. 2019, 20, 397–410. [Google Scholar] [CrossRef]
- Ildarkhanov, R. The calculation of the fuel cost for a car. Period. Polytech. Transp. Eng. 2019, 47, 277–282. [Google Scholar] [CrossRef]
- Yuan, X.; Li, L.; Gou, H.; Dong, T. Energy and environmental impact of battery electric vehicle range in China. Appl. Energy 2015, 157, 75–84. [Google Scholar] [CrossRef]
- Menter, F.R. Two-equation eddy-viscosity turbulence models for engineering applications. AIAA J. 1994, 32, 1598–1605. [Google Scholar] [CrossRef]
- Mohamed, M.H.; Ali, A.M.; Hafiz, A.A. CFD analysis for H-rotor Darrieus turbine as a low speed wind energy converter. Eng. Sci. Technol. 2015, 18, 1–13. [Google Scholar] [CrossRef]
- Bardina, J.; Huang, P.; Coakley, T.; Bardina, J.; Huang, P.; Coakley, T. Turbulence modeling validation. In Proceedings of the 28th Fluid Dynamics Conference, Snowmass Village, CO, USA, 29 June 1997–2 July 1997; p. 2121. [Google Scholar]
- Ibraheem, A. Evaluating the efficiency of polyhedral mesh elements in solving the problem of the flow around ship’s rudder. Int. J. Eng. Manag. Sci. 2021, 6, 241–256. [Google Scholar]


















| Authors | Ref | Research Focus |
|---|---|---|
| Al-Garni et al. | [4] | Analysis of wake effects inside and on top of the pickup truck bed |
| Mukda | [5] | Comparison of drag coefficients of six types of pickup trucks |
| Ha et al. | [6,7] | Flow and drag analysis according to pickup truck bed geometry |
| Tian et al. | [8] | Comparison of the drag coefficient according to the angle of the Ahmed model |
| Altaf et al. | [9] | Study of the optimal angle and length of rectangular, oval, and triangular flaps |
| Ha et al. | [10] | Comparison of drag coefficients for the angle and length of cabin rear flaps |
| Ahmed et al. | [11] | Analysis of the influence of the rear flap angle at different velocities |
| Ait et al. | [12] | Application of an optimization method to determine the number and size of bumps at the cabin roof end |
| Markina et al. | [13] | Investigation of fuel savings by installing cab fairing and cab-side extenders in the cabin of a large truck |
| Kim et al. | [14] | Flow analysis according to the tapered cab roof of a pickup truck |
| Lietz et al. | [15] | Comparison of drag coefficients for various external geometries of vehicles |
| Paul et al. | [16] | Analysis of the influence of a vortex generator and rear spoiler on drag coefficient |
| Ildarkhanov and Radik | [17] | Formula proposal for the fuel consumption of trucks taking into account various technical variables |
| Yuan, Xinmei et al. | [18] | Comparison of mileage according to the rolling coefficient, battery energy density, and drag area and the resulting CO2 emissions. |
| 0.16 | 0.5 0.66 | ||
| 0.13 | |||
| 0.1 |
| Case | Front Angle [Degree] | Rear Angle [Degree] | ||
|---|---|---|---|---|
| Base model | 0.16 | 0.5 | 0 | 0 |
| 1-1 | 0.16 | 0.5 | 0 | 5 |
| 1-2 | 0.16 | 0.5 | 0 | 10 |
| 1-3 | 0.16 | 0.5 | 3 | 0 |
| 1-4 | 0.16 | 0.5 | 3 | 5 |
| 1-5 | 0.16 | 0.5 | 3 | 10 |
| 1-6 | 0.16 | 0.5 | 5 | 0 |
| 1-7 | 0.16 | 0.5 | 5 | 5 |
| 1-8 | 0.16 | 0.5 | 5 | 10 |
| Base model | 0.16 | 0.66 | 0 | 0 |
| 1-9 | 0.16 | 0.66 | 0 | 5 |
| 1-10 | 0.16 | 0.66 | 0 | 10 |
| 1-11 | 0.16 | 0.66 | 3 | 0 |
| 1-12 | 0.16 | 0.66 | 3 | 5 |
| 1-13 | 0.16 | 0.66 | 3 | 10 |
| 1-14 | 0.16 | 0.66 | 5 | 0 |
| 1-15 | 0.16 | 0.66 | 5 | 5 |
| 1-16 | 0.16 | 0.66 | 5 | 10 |
| 2-1 | 0.13 | 0.5 | 0 | 0 |
| 2-2 | 0.13 | 0.5 | 0 | 5 |
| 2-3 | 0.13 | 0.5 | 0 | 10 |
| 2-4 | 0.13 | 0.5 | 3 | 0 |
| 2-5 | 0.13 | 0.5 | 3 | 5 |
| 2-6 | 0.13 | 0.5 | 3 | 10 |
| 2-7 | 0.13 | 0.5 | 5 | 0 |
| 2-8 | 0.13 | 0.5 | 5 | 5 |
| 2-9 | 0.13 | 0.5 | 5 | 10 |
| 2-1 | 0.13 | 0.66 | 0 | 0 |
| 2-10 | 0.13 | 0.66 | 0 | 5 |
| 2-11 | 0.13 | 0.66 | 0 | 10 |
| 2-12 | 0.13 | 0.66 | 3 | 0 |
| 2-13 | 0.13 | 0.66 | 3 | 5 |
| 2-14 | 0.13 | 0.66 | 3 | 10 |
| 2-15 | 0.13 | 0.66 | 5 | 0 |
| 2-16 | 0.13 | 0.66 | 5 | 5 |
| 2-17 | 0.13 | 0.66 | 5 | 10 |
| 3-1 | 0.1 | 0.5 | 0 | 0 |
| 3-2 | 0.1 | 0.5 | 0 | 5 |
| 3-3 | 0.1 | 0.5 | 0 | 10 |
| 3-4 | 0.1 | 0.5 | 3 | 0 |
| 3-5 | 0.1 | 0.5 | 3 | 5 |
| 3-6 | 0.1 | 0.5 | 3 | 10 |
| 3-7 | 0.1 | 0.5 | 5 | 0 |
| 3-8 | 0.1 | 0.5 | 5 | 5 |
| 3-9 | 0.1 | 0.5 | 5 | 10 |
| 3-1 | 0.1 | 0.66 | 0 | 0 |
| 3-10 | 0.1 | 0.66 | 0 | 5 |
| 3-11 | 0.1 | 0.66 | 0 | 10 |
| 3-12 | 0.1 | 0.66 | 3 | 0 |
| 3-13 | 0.1 | 0.66 | 3 | 5 |
| 3-14 | 0.1 | 0.66 | 3 | 10 |
| 3-15 | 0.1 | 0.66 | 5 | 0 |
| 3-16 | 0.1 | 0.66 | 5 | 5 |
| 3-17 | 0.1 | 0.66 | 5 | 10 |
| Flap Length | Downward Angle | Experimental Values | CFD Results | Error | ||
|---|---|---|---|---|---|---|
| 0.2 H | 0.491 | 0.535 | 0.506 | 7.1% | 3.0% | |
| 0 H (Base model) | 0.479 | 0.523 | 0.491 | 9.2% | 2.6% | |
| - | Model | Drag Coefficient | Lift Coefficient | Energy Reduction Rate |
|---|---|---|---|---|
| Base Model | 0 | 0 | 0 | |
| Rear angle | 1-1 model | −6.06% | 2.04% | −6.40% |
| 1-2 model | −8.84% | 2.78% | −8.74% | |
| Front angle | 1-3 model | −0.37% | −2.81% | −0.34% |
| 1-6 model | −1.09% | −2.92% | −1.06% | |
| Overhang | 2-1 model | 0.82% | −12.66% | 0.97% |
| 3-1 model | 1.79% | −37.16% | 1.06% | |
| Angle position | 1-4 model | −6.71% | 4.38% | −6.81% |
| 1-12 model | −5.94% | −1.83% | −5.74% |
| Correlation Verification Model | Front Angle [Degree] | Rear Angle [Degree] | Drag Coefficient [CFD] | Drag Coefficient [Correlation] | Difference [%] | ||
|---|---|---|---|---|---|---|---|
| 1 | 0.12 | 0.55 | 2 | 2.5 | 0.4821 | 0.4879 | 1.19 |
| 2 | 0.14 | 0.55 | 2 | 2.5 | 0.4800 | 0.4834 | 0.69 |
| 3 | 0.14 | 0.6 | 4 | 7.5 | 0.4599 | 0.4614 | 0.33 |
| 4 | 0.15 | 0.58 | 2 | 8 | 0.4549 | 0.4607 | 1.27 |
Disclaimer/Publisher’s Note: The statements, opinions and data contained in all publications are solely those of the individual author(s) and contributor(s) and not of MDPI and/or the editor(s). MDPI and/or the editor(s) disclaim responsibility for any injury to people or property resulting from any ideas, methods, instructions or products referred to in the content. |
© 2024 by the authors. Licensee MDPI, Basel, Switzerland. This article is an open access article distributed under the terms and conditions of the Creative Commons Attribution (CC BY) license (https://creativecommons.org/licenses/by/4.0/).
Share and Cite
Kim, M.S.; Bang, Y.; Kim, J.; Kim, T.K. Optimal Design of an Ecofriendly Pickup Truck Overhang and Roof to Reduce the Drag Coefficient. Appl. Sci. 2024, 14, 4667. https://doi.org/10.3390/app14114667
Kim MS, Bang Y, Kim J, Kim TK. Optimal Design of an Ecofriendly Pickup Truck Overhang and Roof to Reduce the Drag Coefficient. Applied Sciences. 2024; 14(11):4667. https://doi.org/10.3390/app14114667
Chicago/Turabian StyleKim, Min Seok, Yein Bang, Jongwon Kim, and Taek Keun Kim. 2024. "Optimal Design of an Ecofriendly Pickup Truck Overhang and Roof to Reduce the Drag Coefficient" Applied Sciences 14, no. 11: 4667. https://doi.org/10.3390/app14114667
APA StyleKim, M. S., Bang, Y., Kim, J., & Kim, T. K. (2024). Optimal Design of an Ecofriendly Pickup Truck Overhang and Roof to Reduce the Drag Coefficient. Applied Sciences, 14(11), 4667. https://doi.org/10.3390/app14114667

