Seismic Response Analysis of Underground Large Liquefied Natural Gas Tanks Considering the Fluid–Structure–Soil Interaction
Abstract
1. Introduction
2. Materials and Methods
2.1. Two-Way Fluid–Structure Interaction
2.2. Volume of Fluid (VOF) Model
- (1)
- αair = 1: The calculation element is entirely filled with the gas phase, as indicated by the red portion in the Figure 2.
- (2)
- αair = 0: The calculation element is completely filled with the liquid phase, as depicted by the portion in the blue.
- (3)
- 0 < αair < 1: The calculation element is partially filled with the liquid phase, and the point where αair = 0.5 can be defined as the LNG liquid surface.
2.3. Finite Element Model
2.4. Earthquake Parameters
2.5. Monitoring Reference Points
3. Results and Discussion
3.1. Modal Analysis of LNG Tanks
3.2. Fluctuations in the LNG
3.3. Tank Deformation
3.4. Stress and Acceleration
3.5. Limitation and Improvements
4. Conclusions
- (1)
- After computing the modes of empty and full LNG storage tanks on the ground, we found that the frequency of full tanks is lower (3.193 Hz) than that of empty ones (3.714 Hz).
- (2)
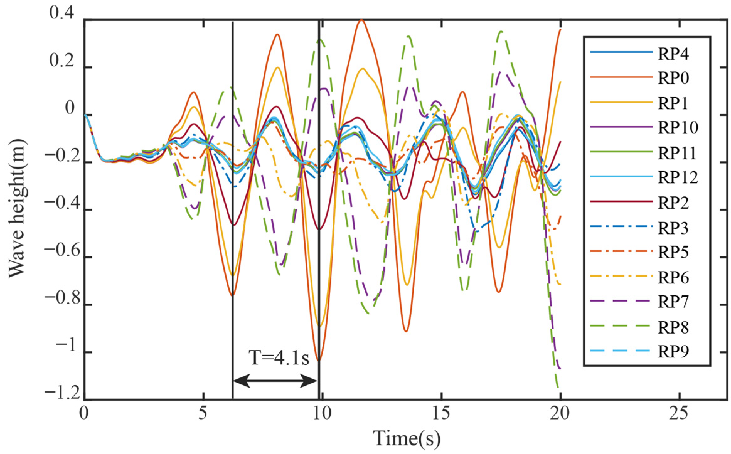
- Due to the soil restraining the structure, the period and height of the liquid sloshing wave in underground tanks are 0.284 m and 1.9 s, smaller than those in aboveground tanks (0.392 m, 4.1 s). Excessive waves will impact the ceiling of the tank, causing adverse effects. Thus, underground full tanks are safer than aboveground full tanks.
- (3)
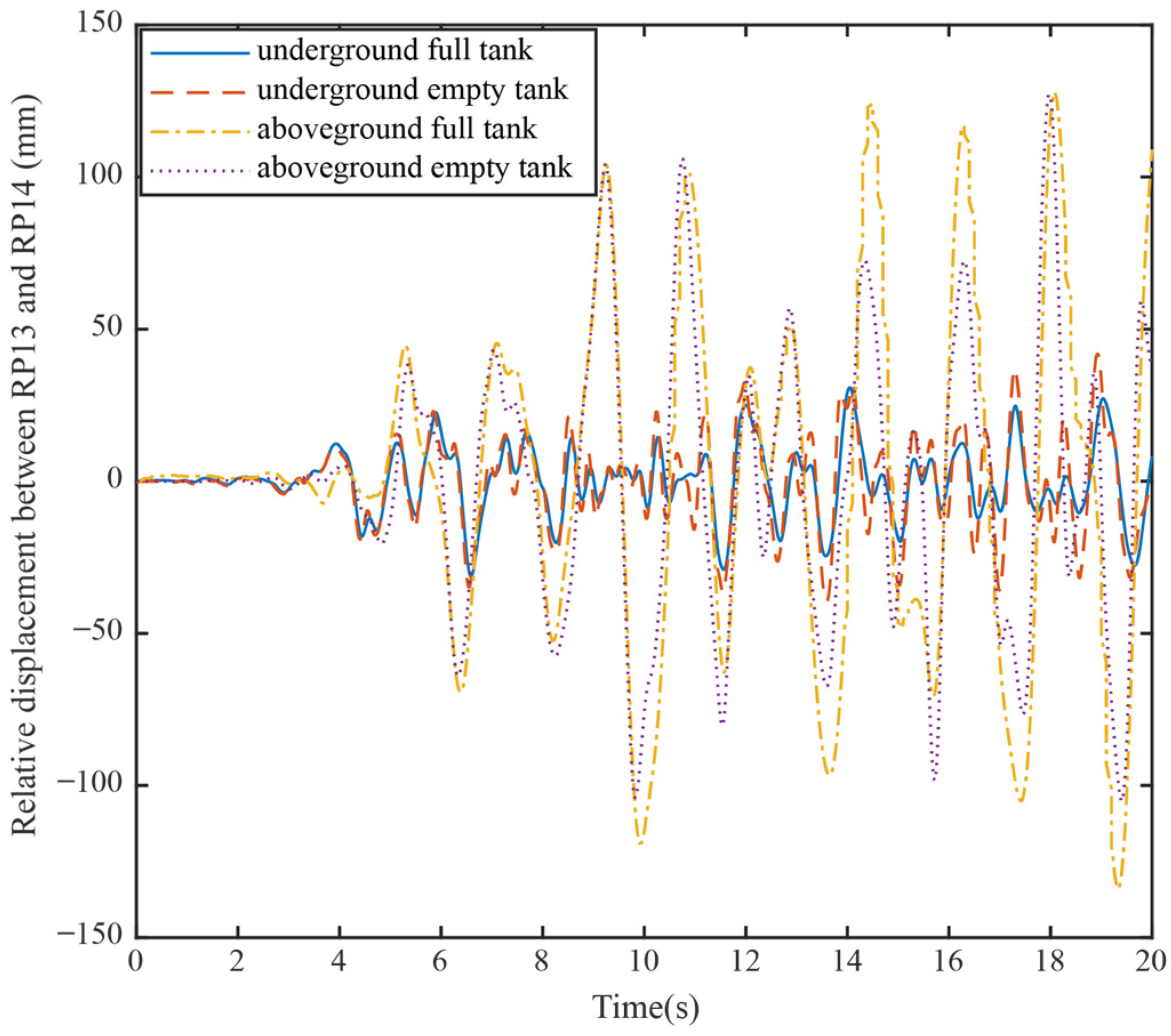
- Under earthquake loads, the deformation, acceleration, and stress of aboveground and underground tanks exhibit distinct patterns. The maximum relative horizontal displacement of an aboveground tank in a full state (136 mm) exceeds that in an empty state (122 mm), indicating that liquid sloshing significantly impacts the tank’s structure. The maximum story drift of the underground full tank wall (37 mm) is less than that in an empty tank (41.5 mm). Meanwhile, both the acceleration and displacement of underground tanks are lower than those of aboveground tanks. Due to the influence of soil pressure, the stress in underground tanks exceeds that in aboveground tanks, both in the empty and full states.
- (4)
- The seismic response varies under different waves. Soft soil also has an amplifying effect on the deformation and stress response of structures. Therefore, in the seismic response analysis of structures, it is necessary to conduct parametric analysis under various seismic motions to ensure the safe operation of storage tanks under multiple seismic waves.
Author Contributions
Funding
Institutional Review Board Statement
Informed Consent Statement
Data Availability Statement
Conflicts of Interest
References
- Farasat, N.; Farasat, A.; Heysami, A.R.; Moridi, N. A Review of the Literature on the Underground (Buried) Storage Tanks. J. Appl. Environ. Biol. Sci. 2015, 5, 737–747. [Google Scholar]
- He, M. The Risk Evaluation of Transportation and Storage on Liquefied Natural Gas; Tongji University: Shanghai, China, 2007. [Google Scholar]
- Yu, T.; Dai, X. Fault Tree Analvsis of Fire Blast Accidents Caused by LNG Tanks. China Saf. Sci. J. 2007, 8, 110–114. [Google Scholar]
- Hosseini, S.E.A.; Beskhyroun, S. Fluid Storage Tanks: A Review on Dynamic Behaviour Modelling, Seismic Energy-Dissipating Devices, Structural Control, and Structural Health Monitoring Techniques. Structures 2023, 49, 537–556. [Google Scholar] [CrossRef]
- Housner, G.W. Dynamic Pressures on Accelerated Fluid Containers. Bull. Seismol. Soc. Am. 1957, 47, 15–35. [Google Scholar] [CrossRef]
- Veletsos, A.S. Seismic Effects in Flexible Liquid Storage Tanks. In Proceedings of the 5th World Conference on Earthquake Engineering, Rome, Italy, 25–29 June 1973; Bulletin of the Seismological Society of America: McLean, VA, USA, 1974; Volume 1, pp. 630–639. [Google Scholar]
- Haroun, M.A. Vibration Studies and Tests of Liquid Storage Tanks. Earthq. Eng. Struct. Dyn. 1983, 11, 179–206. [Google Scholar] [CrossRef]
- Malhotra, P.K.; Wenk, T.; Wieland, M. Simple Procedure for Seismic Analysis of Liquid-Storage Tanks, Structural Engineering International. J. Int. Assoc. Bridge Struct. Eng. 2000, 10, 197–201. [Google Scholar] [CrossRef]
- Sun, J.; Cui, L.; Zhang, Y.; Zhao, C. Research on seismic responses of storage-tanks considering soil-structure interaction. Earthq. Eng. Eng. Vib. 2010, 30, 141–146. [Google Scholar]
- Zheng, J.; Sun, J. Seismic response of LNG Storage Tank with Base Isolation Considering Pile-Soil. Earthq. Eng. Eng. Dyn. 2014, 34, 223–232. [Google Scholar]
- Ibrahim, R.A. Liquid Sloshing Dynamics: Theory and Applications; Cambridge University Press: Cambridge, UK, 2005. [Google Scholar]
- Sierikova, O.; Strelnikova, E.; Degtyarev, K. Seismic Loads Influence Treatment on the Liquid Hydrocarbon Storage Tanks Made of Nanocomposite Materials. Wseas Trans. Appl. Theor. Mech. 2022, 17, 62–70. [Google Scholar] [CrossRef]
- Livaoglu, R. Investigation of Seismic Behavior of Fluid–Rectangular Tank–Soil/Foundation Systems in Frequency Domain. Soil Dyn. Earthq. Eng. 2008, 28, 132–146. [Google Scholar] [CrossRef]
- Nicolici, S.; Bilegan, R.M. Fluid Structure Interaction Modeling of Liquid Sloshing Phenomena in Flexible Tanks. Nucl. Eng. Des. 2013, 258, 51–56. [Google Scholar] [CrossRef]
- Zhao, Y.; Li, H.; Fu, X.; Zhang, S.; Mercan, O. Seismic Analysis of a Large Lng Tank Considering the Effect of Liquid Volume. Shock Vib. 2020, 2020, 8889055. [Google Scholar] [CrossRef]
- Tomohiko, T.; Risa, K.; Kaoru, Y.; Satoshi, T.; Tetsuya, I. Coupled heat and water response analysis of LNG tank using multi scale integrated model. J. Jpn. Soc. Civ. Eng. 2019, 75, 125–141. [Google Scholar]
- Tomohiko, T.; Hiroyuki, Y.; Taira, Y.; Masato, N.; Tatsuya, Y. A study on seismic performance evaluation and evaluation of bearing capacity of LNG underground tank. J. Jpn. Soc. Civ. Eng. 2020, 76, 152–162. [Google Scholar]
- Benra, F.; Dohmen, H.J.; Pei, J.; Schuster, S.; Wan, B. A Comparison of One-Way and Two-Way Coupling Methods for Numerical Analysis of Fluid-Structure Interactions. J. Appl. Math. 2011, 2011, 853560. [Google Scholar] [CrossRef]
- Gopala, V.R.; Van Wachem, B.G. Volume of Fluid Methods for Immiscible-Fluid and Free-Surface Flows. Chem. Eng. J. 2008, 141, 204–221. [Google Scholar] [CrossRef]
- Wu, S.; Ju, Y.; Lin, J.; Fu, Y. Numerical Simulation and Experiment Verification of the Static Boil-Off Rate and Temperature Field for a New Independent Type B Liquefied Natural Gas Ship Mock Up Tank. Appl. Therm. Eng. 2020, 173, 115265. [Google Scholar] [CrossRef]
- Brackbill, J.U.; Kothe, D.B.; Zemach, C. A Continuum Method for Modeling Surface Tension. J. Comput. Phys. 1992, 100, 335–354. [Google Scholar] [CrossRef]
- Schnabel, P.B. SHAKE, a Computer Program for Earthquake Response Analysis of Horizontally Layered Sites; Report No. EERC 72-12; University of California: Berkeley, CA, USA, 1972. [Google Scholar]
- Huang, S.; Wang, Y. Code for Seismic Design of Buildings; China Architecture & Building Press: Beijing, China, 2003. [Google Scholar]
- Xiang, Z.; Li, Q. Seismic Resistance of Vertical Storage Tank; Seismological Press: Beijing, China, 1990. [Google Scholar]
- Jain, S.K.; Jaiswal, O.R. Modified Proposed Provisions for Aseismic Design of Liquid Storage Tanks: Part I-Codal Provisions. J. Struct. Eng. SERC 2005, 32, 195–206. [Google Scholar]














| Name | γ/kN·m−3 | c/kPa | φ/(°) | Elastic Modulus/MPa | Poisson’s Ratio | Damping Ratio | Layer Thickness/m |
|---|---|---|---|---|---|---|---|
| ① Filling | 18.2 | 12 | 3.5 | 24 | 0.32 | 0.07 | 7.5 |
| ③ sandy silt | 19.6 | 10 | 28.5 | 61 | 0.3 | 0.07 | 12.5 |
| ④ clay | 17.4 | 14 | 4 | 20 | 0.31 | 0.08 | 11.2 |
| ⑤ silt | 19.7 | 4 | 31.5 | 73 | 0.3 | 0.07 | 10.3 |
| ⑥ clay | 19.1 | 27 | 11 | 64 | 0.31 | 0.08 | 22.2 |
| ⑦ silt | 19.4 | 9 | 30 | 62.5 | 0.31 | 0.08 | 11.3 |
| ⑧ clay | 19.8 | 56 | 14.5 | 55 | 0.31 | 0.08 | |
| Diaphragm walls | 24 | 32,500 | 0.20 | 0.05 | |||
| Tank structure | 24 | 34,500 | 0.20 | 0.05 | |||
| Reinforcing steel | 7850 | 200,000 | 0.3 |
| Material | Density (kg/m3) | Sonic Speed (m/s1) | Dynamic Viscosity (kg/(m·s) |
|---|---|---|---|
| LNG | 480 | 1500 | 0.00113 |
| Modal | 1 | 2 | 3 | 4 | 5 | 6 | 7 | 8 | 9 | 10 |
|---|---|---|---|---|---|---|---|---|---|---|
| Frequency of empty tanks (Hz) | 3.714 | 6.935 | 7.019 | 7.026 | 7.028 | 7.045 | 7.070 | 7.080 | 7.106 | 7.113 |
| Frequency of full tanks (Hz) | 3.193 | 4.976 | 4.978 | 5.031 | 5.035 | 5.192 | 5.205 | 5.972 | 5.974 | 6.283 |
| Numerical Simulation Result | Theoretical Calculation Result | Relative Error | |
|---|---|---|---|
| Frequency of empty tanks (Hz) | 7.019 (4th mode) | 7.503 | 6.79% |
| Frequency of full tanks (Hz) | 4.98 (2nd mode) | 5.52 | 9.9% |
| Taft Wave | EI-Centro | Taft Wave (Harder Soil) | ||||
|---|---|---|---|---|---|---|
| Max Von Mises Stress (MPa) | Max Acceleration (m/s2) | Max Von Mises Stress (MPa) | Max Acceleration (m/s2) | Max Von Mises Stress (MPa) | Max Acceleration (m/s2) | |
| Underground full tank | 10.35 | 5.81 | 12.82 | 8.02 | 9.62 | 6.37 |
| Underground empty tank | 11.6 | 9.23 | ||||
| Aboveground full tank | 8.42 | 6.17 | 11.36 | 8.63 | 7.87 | 7.05 |
| Aboveground empty tank | 5.35 | 10.04 | ||||
Disclaimer/Publisher’s Note: The statements, opinions and data contained in all publications are solely those of the individual author(s) and contributor(s) and not of MDPI and/or the editor(s). MDPI and/or the editor(s) disclaim responsibility for any injury to people or property resulting from any ideas, methods, instructions or products referred to in the content. |
© 2024 by the authors. Licensee MDPI, Basel, Switzerland. This article is an open access article distributed under the terms and conditions of the Creative Commons Attribution (CC BY) license (https://creativecommons.org/licenses/by/4.0/).
Share and Cite
Jin, G.; Zhang, Y.; Zhao, M.; Xie, X.; Li, H. Seismic Response Analysis of Underground Large Liquefied Natural Gas Tanks Considering the Fluid–Structure–Soil Interaction. Appl. Sci. 2024, 14, 4753. https://doi.org/10.3390/app14114753
Jin G, Zhang Y, Zhao M, Xie X, Li H. Seismic Response Analysis of Underground Large Liquefied Natural Gas Tanks Considering the Fluid–Structure–Soil Interaction. Applied Sciences. 2024; 14(11):4753. https://doi.org/10.3390/app14114753
Chicago/Turabian StyleJin, Guolong, Yonglai Zhang, Mingrui Zhao, Xiongyao Xie, and Hongqiao Li. 2024. "Seismic Response Analysis of Underground Large Liquefied Natural Gas Tanks Considering the Fluid–Structure–Soil Interaction" Applied Sciences 14, no. 11: 4753. https://doi.org/10.3390/app14114753
APA StyleJin, G., Zhang, Y., Zhao, M., Xie, X., & Li, H. (2024). Seismic Response Analysis of Underground Large Liquefied Natural Gas Tanks Considering the Fluid–Structure–Soil Interaction. Applied Sciences, 14(11), 4753. https://doi.org/10.3390/app14114753

