Abstract
Combining phytoextraction and biochar amendment was suggested as an alternative for selenium (Se) bioremediation in contaminated soils. The current study aimed to test the performance of activated biochar as an amendment for the phytoextraction of selenium-contaminated soil by Phleum sp. Results showed that Se immobilization in soil was enhanced by the addition of activated biochar owing to its improved physicochemical structure compared to pristine biochar. In parallel, activated biochar contributed to improving soil fertility by increasing pH and organic matter. The bioaccumulation factor (BAF) of Se in the absence of activated biochar and biochar amendment was 8.7, which suggests the suitability of the Phleum plant species as a Se secondary accumulator species to be further used in a Nordic context. Se plant uptake was positively correlated to Se level in soil, pH, redox potential, organic matter, cations (Ca, Mg, Na, K), metals (Al, Cr, Fe, Mn, Co, Pb) and anions (Cl, SO4). However, Se bioavailability for plant uptake was reduced due to Se immobilization in soil by activated biochar. Thus, activated biochar addition played an important role to support Se levels reduction in contaminated soil and consequently hinder phytoextraction performance by Phleum species. This combination of activated biochar and Phleum Se-accumulator plant was validated as an efficient solution for Se remediation in contaminated soil which could be applied at large scale under cold climates.
1. Introduction
In Québec, mining projects need to be compliant with Directive 019, which requires a complete restoration of a degraded and contaminated site to obtain a certificate of authorization. For this, contaminated soil with metal and metalloids should be restored and perennial vegetation cover established as part of the stipulated requirements [1]. Particularly, soil contamination with Se resulting from mining activities poses serious risks to environmental safety and human health [2] due to its excessive accumulation, non-degradability, and widespread distribution [3]. Inexpensive and environmentally friendly alternatives to Se remediation are phytoextraction and phytostabilization using several species of plants able to grow in Se-contaminated soils. Phytostabilization aims to reduce the mobility and bioavailability of contaminants and to prevent metal dispersion in surface and groundwater while phytoextraction aims to accumulate metals in the aerial part of the plants which makes it possible to reduce their quantity in the soil [4].
Many plants accumulate different levels of Se in their tissues, ranging from less than 50 mg/kg of dry matter for non-accumulators to 100–1000 mg/kg dry matter for hyper-accumulators [5]. Some members of the Brassicaceae family, such as Indian mustard (Brassica juncea Czern. L.), and canola (Brassica napus cv. Westar), are known as phytoaccumulators, while some other members are known as Se volatilizers, such as cabbage (Brassica oleracea var. capitata), broccoli (Brassica oleracea var. botrytis cv. Green Valiant), cauliflower (Brassica oleracea var. cauliflora), and Chinese mustards (Brassica juncea Czern. L. and B. campestris var. chinesis), next to rice (Oryza sativa L.), hybrid poplars (Populus tremula H alba L.), alfalfa (Medicago sativa L.), and vetiver (Vetiveria zizanioides L.)] [6]. The mechanisms and soil parameters controlling Se availability and plant uptake are still not well understood [7]. Moreover, to increase the efficiency of soil bioremediation, phytostabilization has been effectively used to immobilize metalloids and govern their bioavailability and biotransformation in contaminated soils [8,9].
Indeed, biochar increases soil pH and fertility; enhances water-holding capacity, nutrients, and microbial activity in the soil [10]; and increases agricultural yields by enhancing germination rate, root length, and plant growth. Hence, biochar reduces plant-available metalloids, and increases the microbial biomass that reduces the phytotoxicity of metalloids in soils, which consequently promotes revegetation. However, the efficiency of biochar’s adsorption depends on its characteristics, mainly its surface properties, microporous structure, specific surface area with various functional groups, and high ion exchange capacity, which are influenced by the type of feedstock and the different pyro-gasification systems [11,12,13,14,15,16]. Biochar can immobilize heavy metals in soil, and effectively reduce their concentration in the edible parts of plants [3]. Thus, phytoremediation and biochar were widely combined for available heavy metal immobilization (by biochar) and the removal of the remaining available fraction by phytoextraction. Selenium mobility in the soil depends on redox potential in soil and higher oxidation states [17]. Nevertheless, in the presence of biochar, Se may be reduced to a less mobile species due to interaction with oxygen-containing functional groups on the surface of biochar [18]. Furthermore, the extraction of Se by plant accumulators is improved by adsorbing competing nutrients with the biochar, favoring metal uptake by plants [19]. Indeed, biochar with positive charges can retain anionic metalloids such as selenite and selenate which are weakly adsorbed by the negatively charged soil particles [20].
To the best of our knowledge, no work was set to investigate the phytoremediation potential of the native plants of North America like Phleum sp., a grass belonging to the Poaceae family, which has adapted to the cold climate of northern Québec. These plants have a fast growth and development rate, high biomass, and tolerance to high Se levels. Due to the lack of previous research on finding a solution for Se remediation in a cold climate, this work aimed to test the potential of activated biochar in combination with phytoextraction in contaminated soil in a Nordic context. The specific objectives were as follows: (1) to assess the effect of pristine and activated biochar addition on Se mobility in soil; (2) to identify their effect on soil characteristics; (3) to investigate the effects of the addition of biochar materials on Se uptake from soil and the phytoextraction potential. This study also aimed to fill the knowledge gaps on the integrated effects of biochar materials and Phleum plant species on soil remediation and to provide a sustainable solution for an effective Se bioremediation in the cold climate Nordic regions in Canada.
2. Materials and Methods
2.1. Biochar Production and Characterization
White birch residues were transformed into biochar through fast pyrolysis (Carbon FX from Airex Énergie, Bécancour, QC, Canada) at 450 °C for 2 s in an oxygen-free environment. Biochar was then activated at 900 °C in presence of superheated steam (0.3 L/min) using an in-house pilot furnace. The obtained activated biochar was air-dried and ground to less than 1 mm before use. The characteristics such as pH, electrical conductivity, elemental composition, specific surface area, and pore volume were measured. The pH of biochar and activated biochar was determined according to a standard test method (ASTM D3838-05(2017)) [21] using a SevenMulti, Mettler Toledo (Greifensee, Switzerland) equipped with Inlab Routine Pro electrode. Elemental analyses were carried out in a CHNS elemental analyzer, Perkin Elmer 2400 CHNS/O Analyzer (Waltham, MA, USA), by combustion of samples in presence of pure O2. Micromeritics ASAP 2460 automatic apparatus (Norcross, GA, USA) was used for obtaining N2 adsorption/desorption and CO2 adsorption isotherms for biochar and activated biochar at −196 °C and 0 °C, respectively. The data were then treated for measuring surface area, SBET (m2/g), calculated by the Brunauer–Emmett–Teller (BET) model [22]; micropore volume, Vμ (cm3/g), determined by the Dubinin–Radushkevich (DR) equation [23]; total pore volume, Vt (cm3/g), calculated from the amount of nitrogen adsorbed at the relative pressure of 0.97 [24]; and mesopore volume, Vm (cm3/g), calculated by the difference Vt − Vμ, N2.
2.2. Experimental Soil Collection, Analysis and Incubation
Agricultural soil was collected, from 0 to 15 cm below the surface, from the Mont Brunt area located in the Abitibi-Témiscamingue region, Northern Québec, Canada. The soil was air-dried and sieved to lower than a 2 mm fraction. Initial characterization of soil was performed in terms of pH as described in Section 2.1, conductivity, oxygen redox potential (ORP), and dissolved oxygen (DO) by electrochemistry using an HQ40d portable multi-parameter (HACH, Mississauga, ON, Canada), and organic matter was determined by Computrac (Max 5000XL, Arizona Instrument, Chandle, AZ, USA). Metals including (Al, Cd, Ca, Cr, Co, Cu, Fe, Mg, Mn, Ni, Pb, K, Na, and Zn) were analyzed using inductively coupled plasma-mass spectrometer (ICP-MS 7800 instrument, Agilent Technologies, Toronto, ON, Canada). Agricultural soil was artificially contaminated with a synthetic solution of sodium selenite (Na2SeO3) and sodium selenate (Na2SeO4) provided by Sigma-Aldrich, Inc. (St. Louis, MO, USA) to reach final Se concentrations of 1, 2, and 3 mg/kg. After two weeks of incubation in dark, the biochar was added at 1% and the activated biochar was added at 1 and 5% and mixed up the three selenium doses. Each treatment was performed in triplicate. In total, two types of controls were considered: (i) agricultural soil without Se treatment nor biochar addition (ii) Se-treated agricultural soil without biochar addition. Both controls did not have biochar materials addition. Soil samples were monitored for pH, electrical conductivity, ORP, and DO every week.
2.3. Pot Experiment and Plant Growth
One week after biochar and activated biochar incubation with soil, Phleum sp. was planted in plastic pots under an average temperature of 19 °C and 16 h of light. The methodological approach of this study was a version of a randomized complete block design, which involved using experimental units that were grouped with similar replicates. The greenhouse dispositive was placed from August 2020 to January 2021. The pots were watered regularly according to the soil moisture level. The morphological parameters such as shoot length for Phleum were monitored every week. After five months, Phleum sp. plants were harvested and the collected soil samples were air-dried for 48 h, sieved through a 150 µm stainless steel mesh, and then finely ground and placed in hermetically sealed identified plastic bags. Plants were collected and rinsed first with tap water and then with deionized water to remove dust and sediment particles. Afterward, above ground, and below ground parts were separated. Plant leaves were dried at 60 °C until they reached constant weight. Once dried, leaves were ground to a fine powder (<0.05 mm) and placed in hermetically sealed identified plastic bags and stored in the dark for analysis. Soil samples were analyzed for pH, conductivity, oxygen redox potential, dissolved oxygen, and organic matter as described in Section 2.3. Cations and heavy metals concentrations including Al, Cd, Ca, Cr, Co, Cu, Fe, Mg, Mn, Ni, Pb, K, Na, and Zn were analyzed using ICP-MS (7800 instrument, Agilent Technologies, Toronto, ON, Canada).
2.4. Total Selenium Analysis in Soil and Plants
The total selenium analysis was obtained following the EPA methods 200.2, 200.3, and 200.8 [25,26,27]. Solid samples of 0.5 g (soil and plants) were digested by adding 4 mL of nitric acid and 12 mL of hydrochloric acid through heating at 95 °C. After cooling down, the different digested solutions were filtered through a 0.45 μm nylon membrane filter disc before introduction into the ICP-MS instrument for analysis.
2.5. Bioaccumulation Factor (BAF)
The bioaccumulation coefficient (BAF) was calculated as a ratio of a metal or metalloid in aboveground parts of plants to that in soil [Equation (1)]. This indicates the capacity of the plant to accumulate metals or metalloids [28].
where [Me in plant] is the concentration of a metal or metalloid in plants (mg/kg); and [Me in soil] is the concentration of the same metal or metalloid in the soil where the plant grew (mg/kg).
BAF = [Me in plants]/[Me in soil]
2.6. Statistical Analysis
All experiments were conducted with three replicates and the data collected were statistically analyzed. Analysis of variance was performed using ANOVA at significance level of p < 0.05, to observe the significance difference among means. Statistical correlations between total Se levels and heavy metals, cations, and anions concentrations were performed using the calculation of the correlation coefficient (r) which described the degree of correlation between the two variables through Equation (2):
where x and y are the samples means average (array1) and average (array2). In this study, the relevant data were extracted when r ≥ 0.5 or r < −0.5. Later, regression analysis was used to determine the effect of soil characteristics on total Se concentration in soil and plants. Correlations were calculated using the LINEST function from Excel. To determine which soil factors (independent variables) contributed to the increase in total Se concentration in plants (dependent variable), the square of the correlation coefficient (r2) was determined and the degree of correlation between the two variables were described. Relevant data were extracted when the determination coefficient r2 > 0.5. p values < 0.05 were considered statistically significant.
3. Results and Discussion
3.1. Biochar Production and Characterization
The physicochemical and textural properties of the biochar (B) and activated biochar (AB) prepared in this study are summarized in Table 1. The biochar made from wood residues did not present a higher developed porosity than the activated biochar because of the thermal conditions used in the fast-pyrolysis reactor: low temperatures (i.e., 450 °C) and the short residence time (approximately 2 s). The activation of biochar in presence of superheated steam maximized the reactions between the steam and carbon causing the gasification of carbon atoms at high temperatures (900 °C). Indeed, low-weight carbon molecules are formed during the latter reaction, generating some gaps or pores in the structure of the material [29]. In this context, the surface area of the activated biochar (590 m2/g) was much higher compared to the biochar (177 m2/g). Also, the activated biochar presented a total pore volume of 0.34 g/cm3, essentially micropores. Carbon, oxygen, and hydrogen contents were significantly different after the thermal treatments: 75.4%, 3.5%, and 19.7% for B while 89.1%, 10.1%, and 0.6% for AB, respectively. Nitrogen and sulfur were very low (less than 1%) for both materials.
Table 1.
Textural and physicochemical properties of biochar and activated biochar prepared as a soil amendment.
3.2. Effect of the Addition of Biochar Materials on Selenium Mobility in Soil
The distribution of Se concentrations in soil and Phleum plants at different concentrations and proportions (including the control) is shown in Figure 1. Th initial Se concentration in non-treated soil with no addition of biochar materials was 0.854 mg/kg. After artificially contaminating the soil with three doses of Se (1 mg/kg, 2 mg/kg, and 3 mg/kg), an average Se value of 1.221 mg/kg was registered. Then, after adding biochar for 3 mg/kg-dose treatments, the Se level decreased in soil from 1.985 mg/kg to 1.628 mg/kg, and this concentration continued to decrease when adding activated biochar to reach 1.554 mg/kg in presence of 50 g AB and 1.336 mg/kg using 10 g AB (Figure 1). Thus, for Se bioremediation in soil, the biochar addition contributed to Se immobilization, but the activated biochar was more efficient for Se immobilization due to its decreased level in the soil. This proves the efficiency of activated biochar in enhancing Se bioremediation in soil compared to biochar owing to its improved physical structure and better performance for Se sequestration. Biochar has a rudimentary porous structure, relatively neutral pH values, aromatic components, and active surface functional groups acting as heavy metals immobilizers in soil via different mechanisms such as physical adsorption, ion exchange, electrostatic interaction, complexation, and precipitation [30]. On the other hand, activated biochar demonstrated better performance than pristine biochar such as increased specific surface area, surface energy, and pore volume which enhanced the physical adsorption as well as the van der Waals interactions with heavy metals on the surface of the activated biochar [31]. Also, other mechanisms such as the increase in cation exchange capacity related to acidic oxygen functional groups such as –COOH and –OH when soil pH is lower than biochar pH at point of zero charges (6.6 and 9.0 for biochar and activated biochar, respectively) enhances the interaction of biochar with metals. Liu et al. [32] declared that the ion exchange process is more effective than physical adsorption. Moreover, metals can be immobilized by forming stable complexes with oxygen functional groups such as –COOH, –COH, and –OH present at the surface of biochar [33]. Complexation can be generated between the positively charged metal cation and the C=O ligand of the oxygen functional group [34]. Another possible mechanism of metal immobilization in the soil is its co-precipitation with alkaline biochar to form insoluble phosphates and carbonates in the soil [35]. Finally, biochar, when highly negatively charged, improves electrostatic attraction with metal cations depending on the soil pH, valence, and ionic radius of metals and the biochar point of zero charges [36,37].
Figure 1.
Selenium level distribution in soil and plants at different concentrations (1, 2, and 3 mg/kg) using different quantities of materials: 10 and 50 g of activated biochar and 10 g of pristine biochar collected at the end of the greenhouse experimental device. * A level of 0.05 was accepted as significant p < 0.05 and ** as highly significant (p < 0.01).
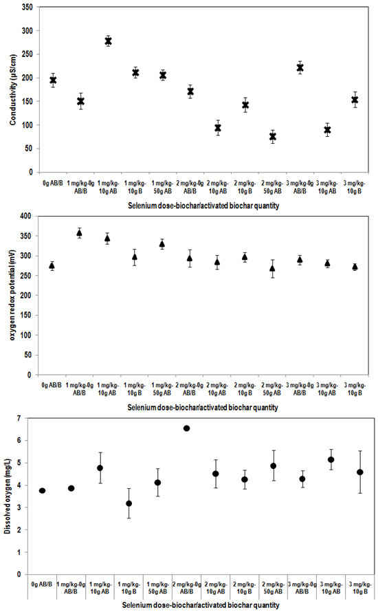
3.3. Effect of the Addition of Biochar Materials on Soil Parameters
The variations in soil parameters, mainly pH, electrical conductivity, oxygen redox potential, dissolved oxygen, and organic matter, were monitored and their influence on Se level in soil is shown in Figure 2. Following the addition of activated biochar, the soil pH increased from 6.3 to reach an average value of almost 8.0 while electrical conductivity, oxygen redox potential, and dissolved oxygen did not show significant variation for all the treatments. However, organic matter was improved by 1.7 to 1.4 fold in soil following the addition of 10 g and 50 g of activated biochar, respectively, to 1 mg/kg of selenium-treated soil. This result revealed the positive impact of the modified biochar amendment on soil structure enhancement by neutralizing soil pH which permitted boosting biological activities and plant growth owing to better water and nutrient retention. Improvements in soil fertility after modified biochar addition are often attributed to soil pH enhancement, increased water, nutrient retention, improved biological activity, and cation exchange capacity, as well as the synergistic effects between all these parameters [38,39].


Figure 2.
Soil parameters such as electrical conductivity, oxygen redox potential, pH, dissolved oxygen, and organic matter at different Se concentrations (1, 2, and 3 mg/kg) using different quantities of materials: 10 and 50 g of activated biochar and 10 g of pristine biochar collected at the end of the greenhouse experimental device.
3.4. Effect of the Addition of Biochar Materials on Se Uptake from Soil and Its Phytoextraction
Se levels significantly increased in plants growing in Se-treated soil at different concentrations: 1–3 mg/kg and registered an average value of 11.7 mg/kg compared to 0.415 mg/kg in control plants growing in non-contaminated soil (Figure 1). This result demonstrated an efficient translocation of Se from soil to plants and a significant accumulation of Se proven by a BAF value of 8.8, superior to the 0.5 obtained for non-treated plants (Figure 3). This confirms the capacity of Phleum species to uptake and translocate selenium from soil and then to bioaccumulate it to much higher levels over time. The good translocation and accumulation of Se in plants were also confirmed by a significant positive correlation between selenium in plants and selenium in soil with a correlation coefficient r of 0.759, coefficient of determination R2 of 0.577, and p value of 0.00412. These statistical results demonstrated the efficiency of Phleum plants as a Se secondary accumulator species which can be further used for Se phytoremediation, especially in the Nordic context. Moreover, these levels of Se in plants were significantly correlated with soil parameters, mainly pH, redox potential, organic matter, cations including Ca, K, Mg, Na, metals, chiefly Al, Cr, Fe, Mn, Co, Pb, and also anions, mostly Cl− and SO42− (Table 2). However, no correlation was observed between Se content and Ni (r = 0.399) and NO3− (r = 0.249) in soil. These findings were previously confirmed by Saha et al. [40] and Shahid et al. [41] who revealed the dependence of Se plant uptake on sediment factors, mainly pH, redox conditions, organic matter, sediment texture, Se content in the soil, and competing anions.
Figure 3.
Bioaccumulation factors of Se calculated in the soil at different Se concentrations (1, 2, and 3 mg/kg) using different quantities of materials: 10 and 50 g of activated biochar and 10 g of pristine biochar collected at the end of the greenhouse experimental device.
Table 2.
Correlation coefficients (r) of Se in plant with soil parameters.
Then, the investigation of the statistical correlation between Se levels in plants and other parameters such as anions, heavy metals, and cations in plants demonstrated that Se in the plant was significantly positively correlated to anions concentrations (Cl−, SO42−, NO3−) with an r of 0.92, R2 of 0.85 and p-value of 0.004769. However, a low correlation between Se in plants and heavy metals and cations concentrations in plants was noted. Thus, Se in plants was significantly correlated to the above anion concentrations but not to heavy metals and cations. The correlation between Se and nitrogen was previously confirmed by Chen et al. [42] who showed that nitrogen increases Se uptake and translocation to plants given that nitrogen increases sulfur assimilation. Consequently, plants could absorb Se and sulfur using the same metabolic pathway involved in the activation of O-acetyl serine which induces the synthesis of cysteine and selenoproteins. Also, high concentrations of nitrate cause Se anions to be released in soil, which permits Se uptake by the plants [43]. Cations usually show this antagonistic effect on Se as they are considered essential nutrients for plant growth and therefore Se competes with them [44]. Furthermore, the antagonistic effect of Se with heavy metals was previously reported by Zhou et al. [45] who noted it chiefly for As and Se depending on their levels in soil, their chemical forms, and plant genotype. They can be uptaken by the root system via the same transporter, showing a competitive interaction that minimizes the translocation to shoot of one of them.
Furthermore, the addition of both biochar and activated biochar to soil decreased the Se uptake by plants. The addition of 10 g of biochar significantly decreased the Se plant uptake from 8.28 to 5.72 mg/kg (p = 0.0274) for 1 mg/kg treatments, from 18.9 to 11.09 mg/kg (p = 0.0248) for 2 mg/kg treatments and from 43.17 to 21.3 mg/kg for 3 mg/kg treatments. Additionally, the activated biochar was more efficient in significantly decreasing Se uptake and its levels in plants compared to pristine biochar. Se levels significantly decreased from 8.28 mg/kg in soils with no biochar materials to 6.57 mg/kg (p = 0.00353) and 4.324 mg/kg after adding 10 g and 50 g of activated biochar, respectively, in the presence of 1 mg/kg of Se. Similarly, for the second dose (2 mg/kg), Se levels in plants significantly decreased by almost 5 fold from 18.9 mg/kg to 3.835 mg/kg (p = 0.0373) and 4.009 mg/kg after adding 10 g and 50 g of activated biochar, respectively. Finally, Se levels in plants showed a 6.5 fold decrease from 43.17 mg/kg to 6.62 mg/kg (p = 0.0296) and 6.61 mg/kg after adding 10 g and 50 g of activated biochar, respectively, in the presence of 3 mg/kg of Se. Hence, the activated biochar demonstrated higher efficiency than the biochar for diminishing Se uptake. The latter further decreased when adding a higher amount of activated biochar (50 g). This was further confirmed by the decrease in the Se bioaccumulation factor from 10.73 to 6.57 after biochar addition and to 4.75 after activated biochar addition (50 g) in the presence of a 1 mg/kg dose. For a 2 mg/kg dose, BAF decreased from 16.65 to 9.56 after the addition of biochar (10 g) and to 3.7 and 3.49 after the addition of activated biochar (10 and 50 g respectively). For the 3 mg/kg dose, BAF decreased from 21.74 to 13.08 and then to 4.25 after the addition of biochar and activated biochar (50 g), respectively. Thus, biochar, and especially activated biochar reduced the translocation of Se from soil to plant and then its bioaccumulation decreased with the increase to a higher amount of activated biochar.
In total, activated biochar showed more efficiency in significantly decreasing Se uptake and accumulation in plants compared to pristine biochar. Thus, the activated biochar addition played an important role in supporting Se levels reduction in contaminated soil and consequently reducing soil phytoextraction performance. This finding was previously confirmed by Hartley et al. [46] and Lebrun et al. [47] who reported that biochar rapidly immobilized heavy metals and reduced their bioavailability in soils and their uptake by non-hyperaccumulator plants.
Hence, biochar materials reduced metal bioavailability and bioaccumulation in plants. Additionally, biochar amendment can hinder the phytoextraction of metals by precipitation, complexation, metal electron reduction, and root adsorption while it improves pH, fertility and water-holding capacity, and encourages revegetation [8]. For instance, phytoremediation of mine sludge soil with biochar at 0, 1, 5, and 10% rates promoted the plant species revegetation in metal- and metalloid-contaminated soils [48]. Furthermore, Ye et al. [49] confirmed that the addition of activated biochar as soil amendment provoked a higher reduction in metal concentrations owing to its higher porosity that promoted aeration conditions and transported oxygen molecules. Also, its larger specific surface area was considered a habitat for microbial attachment. The strong carbon sequestration capacity and an appropriate C/N ratio was beneficial to the growth and reproduction of microorganisms as an energy source. The greater ion exchange capacity benefited from the presence of surface functional groups. Organic matter adsorption could be also enhanced on the biochar surface, promoting the binding of metals and acting as a bridge between biochar and metals for pollutant immobilization. Indeed, the metal mobility could be also influenced by the transformation of its valence and speciation on the activated biochar surface.
Although many previous studies confirmed the potential of activated biochar for metal stabilization, until now there is a lack of experiments trying to combine both approaches to soil remediation. Scarce studies tested some combinations such as Hartley et al. [46] who found that hardwood biochar could be used for phytoextraction, limiting As transfer to plants in three soils planted with Miscanthus. Houben et al. [9] tested another combination of biochar made from miscanthus straw and Brassica napus for the phytoextraction of Cd and Zn resulting in low bioaccumulation in plant tissues. Based on these findings, Paz-Ferreiro et al. [50] suggested that biochar could also be used to alleviate metal contamination in mine soils before plant colonization.
3.5. Potential for Heavy Metals and Cations Bioaccumulation
Some heavy metals, especially Cr, showed high bioaccumulation in all treatments, and especially the dose with 10 g of activated biochar (1.27–1.97). High bioaccumulation of Ni was also found in the following treatment: treated soil with 1 mg/kg and 2 mg/kg of Se in absence of biochar and activated biochar (1.69 and 1.53 respectively); treated soil with 1 mg/kg Se and 10 g of biochar (2.24); treated soil with 2 mg/kg Se and 10 g of activated biochar (1.83); treated soil with 3 mg/kg Se and 10 g of activated biochar (3.29); and pristine biochar (1.20) (Figure 4). Thus, Phleum species could be considered not only for the phytoremediation of Se, but also for Cr and Ni, as heavy metals highly bioaccumulating in plants. K and Ca registered high bioaccumulation for all treatments (their average BAF was of 6.8 and 1.2, respectively) (Figure 5).
Figure 4.
Bioaccumulation factors of heavy metals in plants at different Se concentrations (1, 2, and 3 mg/kg) using different quantities of materials: 10 and 50 g of activated biochar and 10 g of pristine biochar collected at the end of the greenhouse experimental device.
Figure 5.
Bioaccumulation factors of cations in plants at different Se concentrations (1, 2, and 3 mg/kg) using different quantities of materials: 10 and 50 g of activated biochar and 10 g of pristine biochar collected at the end of the greenhouse experimental device.
4. Conclusions
Biochar and activated biochar were tested individually as a soil amendment and they demonstrated good potential for heavy metal immobilization from contaminated soil. The current work tested the dual effect of biochar/activated biochar amendment with Phleum sp. species for the remediation of Se in the soil. Activated biochar enhanced soil characteristics, mainly pH and organic matter, and reduced Se mobility in soil. In comparison with pristine biochar, activated biochar demonstrated better performance due to its developed porous structure which was able to sequester Se via possible different mechanisms. In the absence of biochar and activated biochar, Se presented high accumulation potential in plant tissues (BAF of 8.8), showing that Phleum specie could be considered as a good accumulator to be used for Se phytoremediation under cold climate. Phleum plants could also be used for the phytoremediation of some heavy metals, mainly Cr and Ni, showing high bioaccumulation factors (almost 2.0 and 3.3, respectively). Se uptake is also influenced by soil factors, mainly Se concentration, pH, redox potential, organic matter, cations, anions, and metals (Al, Cr, Fe, Mn, Co, Pb). Se levels in plants were also significantly correlated with anion concentrations (Cl−, SO42−, NO3−) but not to heavy metals and cations levels. However, in the presence of biochar or activated biochar, Se plant uptake and accumulation were reduced. This confirmed that the use of pristine and activated biochar hindered the phytoextraction of Se levels. This solution combining activated biochar and Phleum plant species could be upscaled and applied by managers for the restoration of Se-contaminated mine soils in a cold environment.
Author Contributions
Conceptualization, S.E.; methodology, S.E. and F.B.; software, S.E.; validation, S.E., F.B., É.R., S.K.B. and J.-F.B.; formal analysis, S.E.; investigation, S.E. and F.B.; resources, S.E., F.B. and É.R.; data curation, S.E.; writing—original draft preparation, S.E.; writing—review and editing, S.E., F.B., S.K.B. and J.-F.B.; visualization, S.E.; supervision, S.M., S.K.B. and J.-F.B.; project administration, F.B., S.M., S.K.B. and J.-F.B.; funding acquisition, S.E., F.B., S.K.B. and J.-F.B. All authors have read and agreed to the published version of the manuscript.
Funding
This research was funded by Mitacs-Acceleration Postdoctoral Research Fellowship (Ref FR46934), the Québec’s Ministry of Economy, Science and Innovation (Ministère de l’Économie, de la Science et de l’Innovation du Québec) that financed the project through the Program for College Research (2020–2021) 2021-CO-285724.
Institutional Review Board Statement
Not applicable.
Informed Consent Statement
Not applicable.
Data Availability Statement
All data are available in the article.
Acknowledgments
The authors express their great appreciation to researchers and laboratory personnel of the Centre Technologique des Résidus Industriels (CTRI) for technical assistance.
Conflicts of Interest
The authors declare that they have no conflicts of interest to report regarding the present study.
References
- MDDELCC. Directive 019 sur L’industrie Minière; Gouvernement du Québec: Québec City, QC, Canada, 2012.
- Anae, J.; Ahmad, N.; Kumar, V.; Thakur, V.K.; Gutierrez, T.; Yang, X.J.; Cai, C.; Yang, Z.; Coulon, F. Recent advances in biochar engineering for soil contaminated with complex chemical mixtures: Remediation strategies and future perspective. Sci. Total Environ. 2021, 767, 144351. [Google Scholar] [CrossRef]
- Li, K.; Yang, B.; Wang, H.; Xu, X.; Gao, Y.; Zhu, Y. Dual effects of biochar and hyperaccumulator Solanum nigrum L. on the remediation of Cd-contaminated soil. PeerJ 2019, 7, e6631. [Google Scholar] [CrossRef]
- Bolan, N.S.; Park, J.H.; Robinson, B.; Naidu, R.; Huh, K.Y. Phytostabilization: A Green Approach to Contaminant Containment. In Advances in Agronomy; Elsevier: Amsterdam, The Netherlands, 2011; Volume 112, pp. 145–204. [Google Scholar] [CrossRef]
- Gupta, M.; Gupta, S. An overview of selenium uptake, metabolism, and toxicity in plants. Front. Plant Sci. 2017, 7, 2074. [Google Scholar] [CrossRef]
- Rasooli, S.; Yousefirad, M.; Taghavi, L. Selenium phytoremediation study of contaminated soils by Vetiveria zizanioides and Medicago sativa. Environ. Conserv. J. 2015, 16, 429–434. [Google Scholar] [CrossRef]
- Supriatin, S.; Weng, L.; Comans, R.N.J. Selenium-rich dissolved organic matter determines selenium uptake in wheat grown on Low-selenium arable land soils. Plant Soil 2016, 408, 73–94. [Google Scholar] [CrossRef]
- Fellet, G.; Marmiroli, M.; Marchiol, L. Elements uptake by metal accumulator species grown on mine tailings amended with three types of biochar. Sci. Total Environ. 2014, 468–469, 598–608. [Google Scholar] [CrossRef]
- Houben, D.; Evrard, L.; Sonnet, P. Mobility, bioavailability and pH-dependent leaching of cadmium, zinc and lead in a con-taminated soil amended with biochar. Chemosphere 2013, 92, 1450–1457. [Google Scholar] [CrossRef]
- Wang, D.; Fonte, S.J.; Parikh, S.J.; Six, J.; Scow, K.M. Biochar additions can enhance soil structure and the physical stabilization of C in aggregates. Geoderma 2017, 303, 110–117. [Google Scholar] [CrossRef]
- Ahmed, A.; Kurian, J.; Raghavan, V. Biochar influences on agricultural soils, crop production, and the environment: A review. Environ. Rev. 2016, 24, 495–502. [Google Scholar] [CrossRef]
- He, T.; Meng, J.; Chen, W.; Liu, Z.; Cao, T.; Cheng, X.; Huang, Y.; Yang, X. Effects of biochar on cadmium accumulation in rice and cadmium fractions of soil: A three-year pot experiment. BioResources 2016, 12, 622–642. [Google Scholar] [CrossRef]
- Pourret, O.; Houben, D. Characterization of metal binding sites onto biochar using rare earth elements as a fingerprint. Heliyon 2018, 4, e00543. [Google Scholar] [CrossRef] [PubMed]
- Hamid, Y.; Tang, L.; Sohail, M.I.; Cao, X.; Hussain, B.; Aziz, M.Z.; Usman, M.; He, Z.-L.; Yang, X. An explanation of soil amendments to reduce cadmium phytoavailability and transfer to food chain. Sci. Total Environ. 2019, 660, 80–96. [Google Scholar] [CrossRef] [PubMed]
- Wu, Q.; Xian, Y.; He, Z.; Zhang, Q.; Wu, J.; Yang, G.; Zhang, X.; Qi, H.; Ma, J.; Xiao, Y.; et al. Adsorption characteristics of Pb(II) using biochar derived from spent mushroom substrate. Sci. Rep. 2019, 9, 15999. [Google Scholar] [CrossRef] [PubMed]
- Godlewska, P.; Bogusz, A.; Dobrzyńska, J.; Dobrowolski, R.; Oleszczuk, P. Engineered biochar modified with iron as a new adsorbent for treatment of water contaminated by selenium. J. Saudi Chem. Soc. 2020, 24, 824–834. [Google Scholar] [CrossRef]
- Winkel, L.; Vriens, B.; Jones, G.; Schneider, L.; Pilon-Smits, E.; Bañuelos, G. Selenium Cycling Across Soil-Plant-Atmosphere Interfaces: A Critical Review. Nutrients 2015, 7, 4199–4239. [Google Scholar] [CrossRef] [PubMed]
- Liu, C.; Wang, H.; Tang, X.; Guan, Z.; Reid, B.J.; Rajapaksha, A.U.; Ok, Y.S.; Sun, H. Biochar increased water holding capacity but accelerated organic carbon leaching from a sloping farmland soil in China. Environ. Sci. Pollut. Res. 2016, 23, 995–1006. [Google Scholar] [CrossRef] [PubMed]
- Gong, X.; Huang, D.; Liu, Y.; Zeng, G.; Chen, S.; Wang, R.; Xu, P.; Cheng, M.; Zhang, C.; Xue, W. Biochar facilitated the phytoremediation of cadmium contaminated sediments: Metal behavior, plant toxicity, and microbial activity. Sci. Total Environ. 2019, 666, 1126–1133. [Google Scholar] [CrossRef] [PubMed]
- Gupta, A.; Sharma, V.; Sharma, K.; Kumar, V.; Choudhary, S.; Mankotia, P.; Kumar, B.; Mishra, H.; Moulick, A.; Ekielski, A.; et al. A review of adsorbents for heavy metal decontamination: Growing approach to wastewater treatment. Materials 2021, 14, 4702. [Google Scholar] [CrossRef] [PubMed]
- ASTM D3838-05; Test Method for pH of Activated Carbon. ASTM International: West Conshohocken, PA, USA, 2017. [CrossRef]
- Brunauer, S.; Emmett, P.H.; Teller, E. Adsorption of gases in multimolecular layers. J. Am. Chem. Soc. 1938, 60, 309–319. [Google Scholar] [CrossRef]
- Dubinin, M.M. Fundamentals of the theory of adsorption in micropores of carbon adsorbents: Characteristics of their adsorption properties and microporous structures. Carbon 1989, 27, 457–467. [Google Scholar] [CrossRef]
- Gregg, S.J.; Sing, K.S.W. Adsorption, Surface Area, and Porosity, 2nd ed.; Academic Press: London, UK; New York, NY, USA, 1982. [Google Scholar]
- U.S. EPA. Method 200.2: Sample Preparation Procedure for Spectrochemical Determination of Total Recoverable Elements; Revision 2.8; Environmental Protection Agency: Cincinnati, OH, USA, 1994.
- U.S. EPA. Method 200.3: Sample Preparation Procedure For Spectrochemical Determination of Total Recoverable Elements In Biological Tissues; Revision 1.0; Environmental Protection Agency: Cincinnati, OH, USA, 1991.
- U.S. EPA. Method 200.8: Determination of Trace Elements in Waters and Wastes by Inductively Coupled Plasma-Mass Spectrometry; Revision 5.4; Environmental Protection Agency: Cincinnati, OH, USA, 1994.
- Aladesanmi, O.T.; Oroboade, J.G.; Osisiogu, C.P.; Osewole, A.O. Bioaccumulation factor of selected heavy metals in Zea mays. J. Health Pollut. 2019, 9, 191207. [Google Scholar] [CrossRef] [PubMed]
- Braghiroli, F.L.; Bouafif, H.; Hamza, N.; Bouslimi, B.; Neculita, C.M.; Koubaa, A. The influence of pilot-scale pyro-gasification and activation conditions on porosity development in activated biochars. Biomass Bioenergy 2018, 118, 105–114. [Google Scholar] [CrossRef]
- Zhang, W.; Cho, Y.; Vithanage, M.; Shaheen, S.M.; Rinklebe, J.; Alessi, D.S.; Hou, C.-H.; Hashimoto, Y.; Withana, P.A.; Ok, Y.S. Arsenic removal from water and soils using pristine and modified biochars. Biochar 2022, 4, 55. [Google Scholar] [CrossRef]
- Beesley, L.; Inneh, O.S.; Norton, G.J.; Moreno-Jimenez, E.; Pardo, T.; Clemente, R.; Dawson, J.J.C. Assessing the influence of compost and biochar amendments on the mobility and toxicity of metals and arsenic in a naturally contaminated mine soil. Environ. Pollut. 2014, 186, 195–202. [Google Scholar] [CrossRef] [PubMed]
- Liu, Z.; Zhang, F.-S.; Wu, J. Characterization and application of chars produced from pinewood pyrolysis and hydrothermal treatment. Fuel 2010, 89, 510–514. [Google Scholar] [CrossRef]
- Park, J.H.; Choppala, G.K.; Bolan, N.S.; Chung, J.W.; Chuasavathi, T. Biochar reduces the bioavailability and phytotoxicity of heavy metals. Plant Soil 2011, 348, 439–451. [Google Scholar] [CrossRef]
- Uchimiya, M.; Klasson, K.T.; Wartelle, L.H.; Lima, I.M. Influence of soil properties on heavy metal sequestration by biochar amendment: 1. Copper desorption isotherms. Chemosphere 2011, 82, 1438–1447. [Google Scholar] [CrossRef] [PubMed]
- Shen, Z.; Zhang, Y.; Jin, F.; McMillan, O.; Al-Tabbaa, A. Qualitative and quantitative characterisation of adsorption mechanisms of lead on four biochars. Sci. Total Environ. 2017, 609, 1401–1410. [Google Scholar] [CrossRef] [PubMed]
- Mukherjee, A.; Zimmerman, A.R.; Harris, W. Surface chemistry variations among a series of laboratory-produced biochars. Geoderma 2011, 163, 247–255. [Google Scholar] [CrossRef]
- He, L.; Zhong, H.; Liu, G.; Dai, Z.; Brookes, P.C.; Xu, J. Remediation of heavy metal contaminated soils by biochar: Mechanisms, potential risks and applications in China. Environ. Pollut. 2019, 252, 846–855. [Google Scholar] [CrossRef]
- Břendová, K.; Tlustoš, P.; Száková, J. Biochar immobilizes cadmium and zinc and improves phytoextraction potential of willow plants on extremely contaminated soil. Plant Soil Environ. 2015, 61, 303–308. [Google Scholar] [CrossRef]
- Das, S.K.; Ghosh, G.K.; Avasthe, R.K.; Sinha, K. Compositional heterogeneity of different biochar: Effect of pyrolysis temperature and feedstocks. J. Environ. Manag. 2021, 278, 111501. [Google Scholar] [CrossRef] [PubMed]
- Saha, U. Selenium in the soil-plant environment: A review. Int. J. Appl. Agric. Sci. 2017, 3, 1. [Google Scholar] [CrossRef]
- Shahid, M.; Niazi, N.K.; Khalid, S.; Murtaza, B.; Bibi, I.; Rashid, M.I. A critical review of selenium biogeochemical behavior in soil-plant system with an inference to human health. Environ. Pollut. 2018, 234, 915–934. [Google Scholar] [CrossRef]
- Chen, Y.; Peng, Q.; Liang, D.; Song, W.; Lei, L.; Yu, D. Effects of nitrogen application on selenium uptake, translocation and distribution in winter wheat. Environ. Sci. 2017, 38, 825–831. [Google Scholar] [CrossRef]
- Dinh, Q.T.; Cui, Z.; Huang, J.; Tran, T.A.T.; Wang, D.; Yang, W.; Zhou, F.; Wang, M.; Yu, D.; Liang, D. Selenium distribution in the Chinese environment and its relationship with human health: A review. Environ. Int. 2018, 112, 294–309. [Google Scholar] [CrossRef]
- Etteieb, S.; Magdouli, S.; Komtchou, S.P.; Zolfaghari, M.; Tanabene, R.; Brar, K.K.; Calugaru, L.L.; Brar, S.K. Selenium speciation and bioavailability from mine discharge to the environment: A field study in Northern Quebec, Canada. Environ. Sci. Pollut. Res. 2021, 28, 50799–50812. [Google Scholar] [CrossRef] [PubMed]
- Zhou, X.; Yang, J.; Kronzucker, H.J.; Shi, W. Selenium biofortification and interaction with other elements in plants: A review. Front. Plant Sci. 2020, 11, 586421. [Google Scholar] [CrossRef]
- Hartley, W.; Dickinson, N.M.; Riby, P.; Lepp, N.W. Arsenic mobility in brownfield soils amended with green waste compost or biochar and planted with Miscanthus. Environ. Pollut. 2009, 157, 2654–2662. [Google Scholar] [CrossRef]
- Lebrun, M.; Macri, C.; Miard, F.; Hattab-Hambli, N.; Motelica-Heino, M.; Morabito, D.; Bourgerie, S. Effect of biochar amendments on As and Pb mobility and phytoavailability in contaminated mine technosols phytoremediated by Salix. J. Geochem. Explor. 2017, 182, 149–156. [Google Scholar] [CrossRef]
- Narayanan, M.; Ma, Y. Influences of biochar on bioremediation/phytoremediation potential of metal-contaminated soils. Front. Microbiol. 2022, 13, 929730. [Google Scholar] [CrossRef] [PubMed]
- Ye, S.; Zeng, G.; Wu, H.; Liang, J.; Zhang, C.; Dai, J.; Xiong, W.; Song, B.; Wu, S.; Yu, J. The effects of activated biochar addition on remediation efficiency of co-composting with contaminated wetland soil. Resour. Conserv. Recycl. 2019, 140, 278–285. [Google Scholar] [CrossRef]
- Paz-Ferreiro, J.; Lu, H.; Fu, S.; Méndez, A.; Gascó, G. Use of phytoremediation and biochar to remediate heavy metal polluted soils: A review. Solid Earth 2014, 5, 65–75. [Google Scholar] [CrossRef]
Disclaimer/Publisher’s Note: The statements, opinions and data contained in all publications are solely those of the individual author(s) and contributor(s) and not of MDPI and/or the editor(s). MDPI and/or the editor(s) disclaim responsibility for any injury to people or property resulting from any ideas, methods, instructions or products referred to in the content. |
© 2024 by the authors. Licensee MDPI, Basel, Switzerland. This article is an open access article distributed under the terms and conditions of the Creative Commons Attribution (CC BY) license (https://creativecommons.org/licenses/by/4.0/).






