Size Dependency of Elastic and Plastic Properties of Metallic Polycrystals Using Statistical Volume Elements
Abstract
1. Introduction
2. Methods
2.1. Generation and Partitioning of Microstructural Domains
2.2. Crystal Plasticity Constitutive Equations
2.3. Apparent Elastic Properties
2.4. Apparent Plastic Properties
2.5. Mesh Sensitivity and Element Size
2.6. Size Effect Relations and Convergence to the Rve Limit
3. Results and Discussion
3.1. Geometric Property
3.2. Elastic Properties
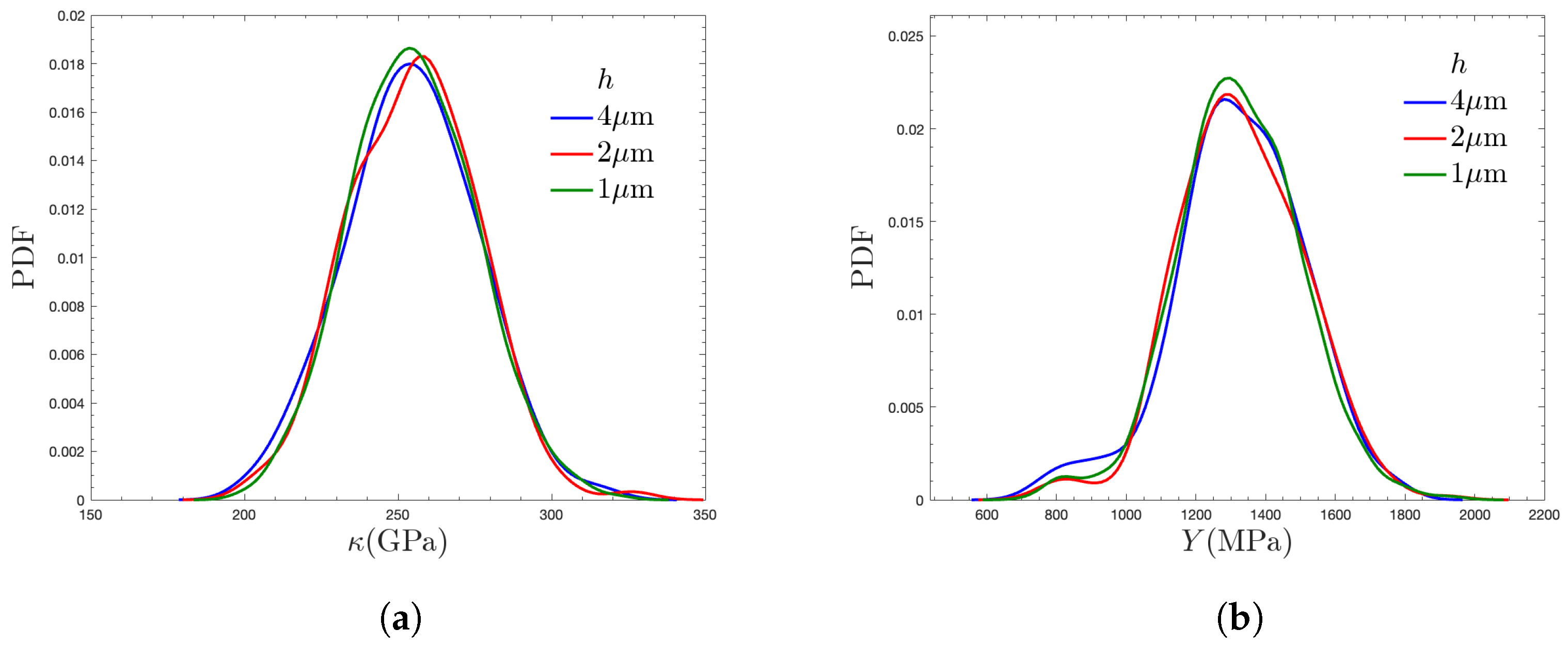
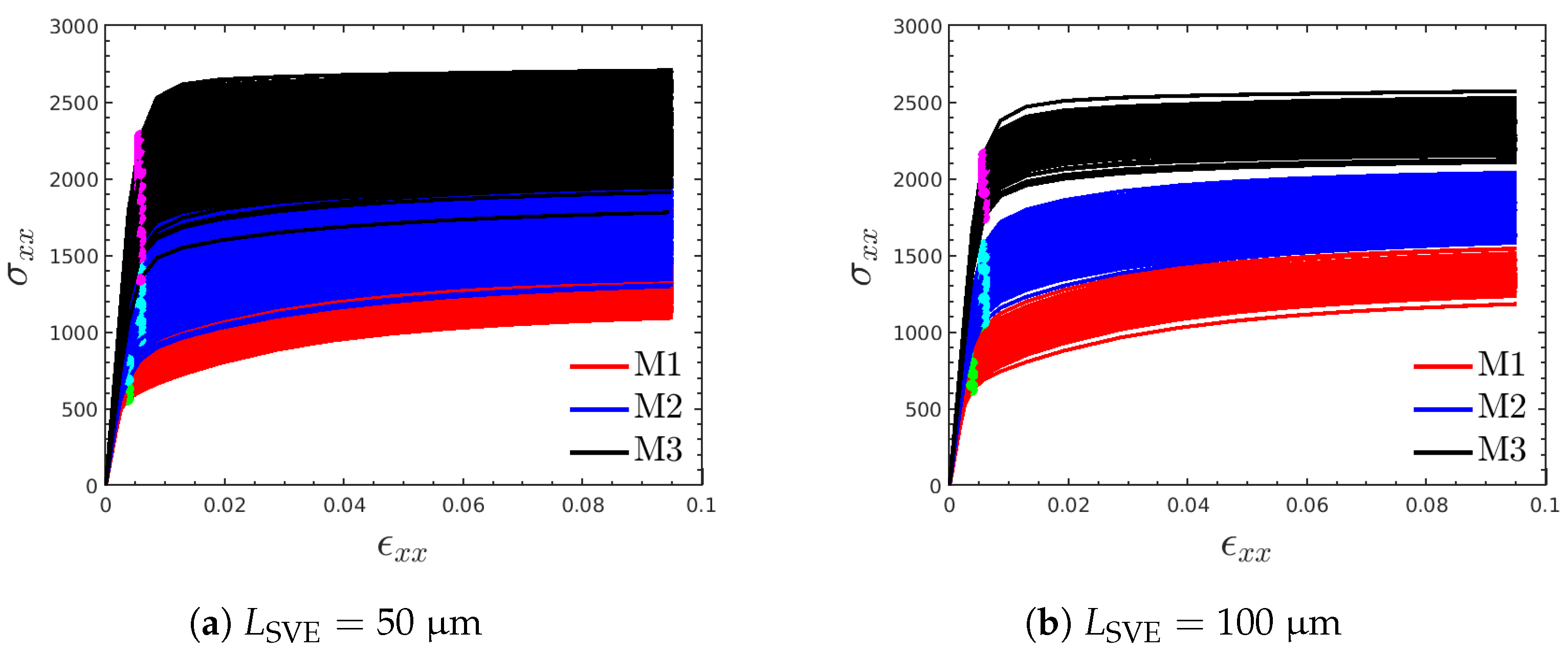
3.3. Plastic Properties
3.4. Anisotropy of Elastic and Plastic Properties
3.5. The Form of Homogenized Properties
4. Conclusions
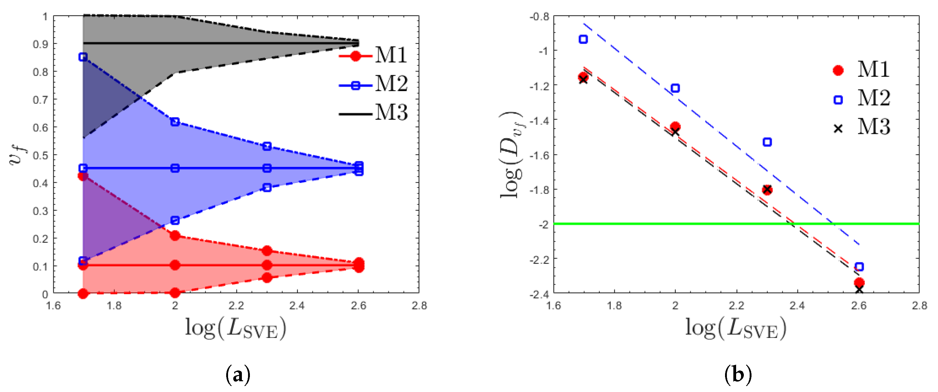
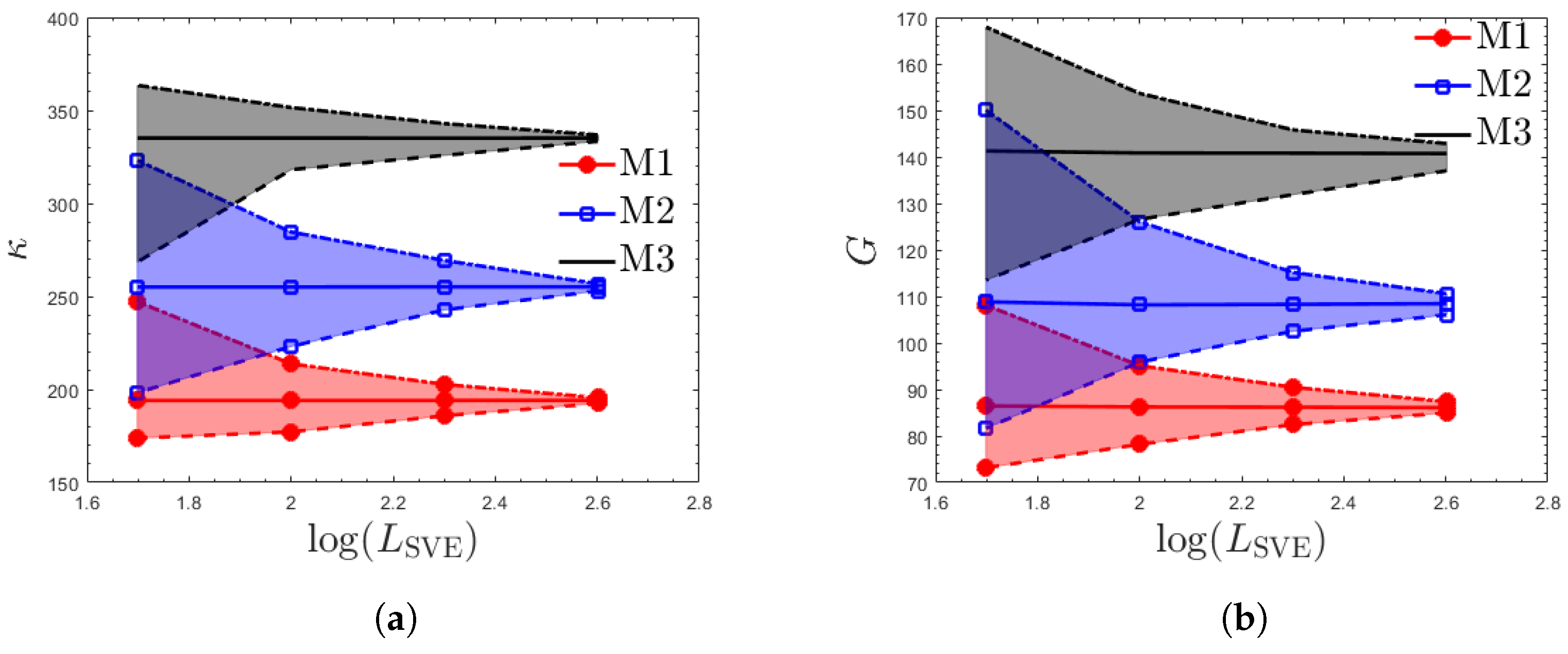
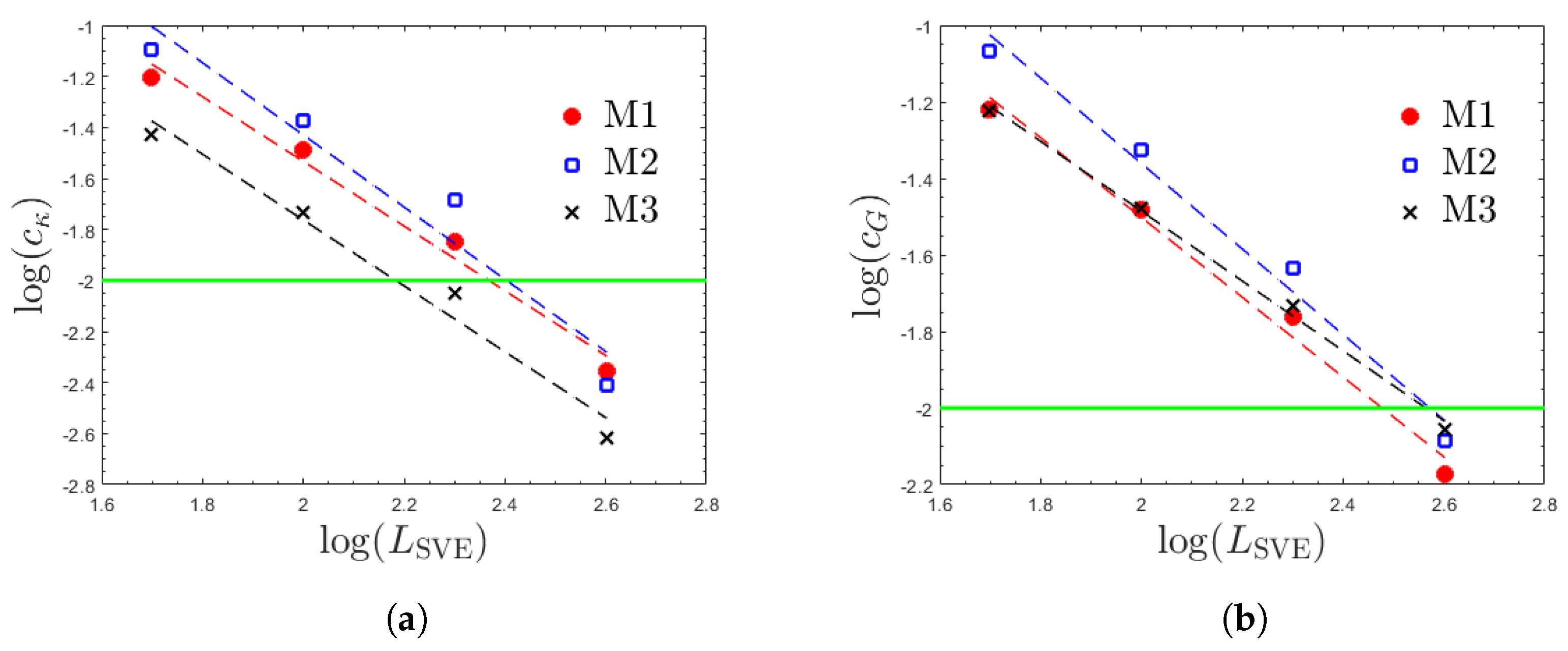
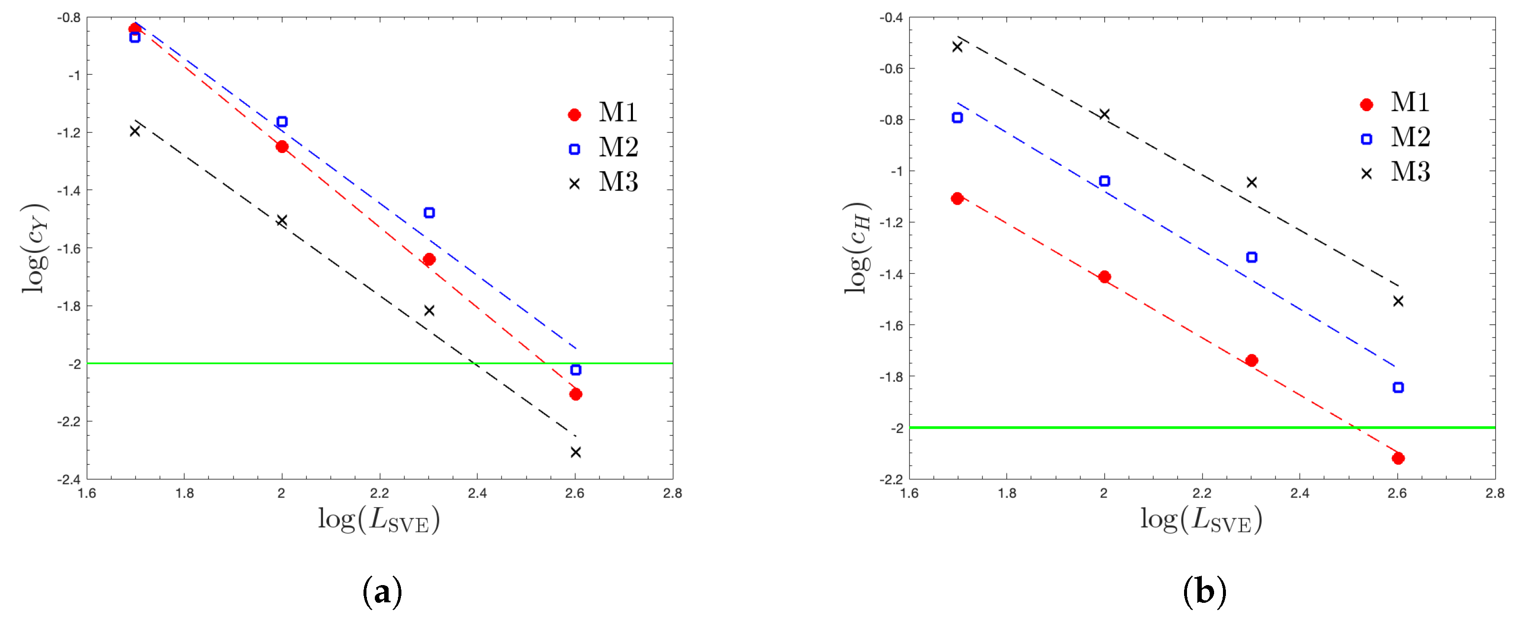
- For both geometry () and elastic properties, the largest RVE is required for M2. This ordering is justified as M2 has the highest point-wise variation in volume fraction. In contrast, for plastic properties, the RVE size monotonically increases as increases from 10% to 90% for M1 to M3.
- The smallest RVE size corresponds to the geometry property , followed by elastic properties ( about equal to twice larger than the geometry RVE size), and plastic properties. The combined elastoplastic RVE size has the highest variation across the three materials with to . The corresponding RVE size ranges (geometry, elastic, and elastoplastic) are approximately 250 to 330, 300 to 640, and 600 to 4400 m (50 to 66, 60 to 128, and 120 to 880 for , grains along the RVE edge) for the three materials considered. Given that is the key inherent length scale of the material, can be considered as the scale factor of the RVE size.
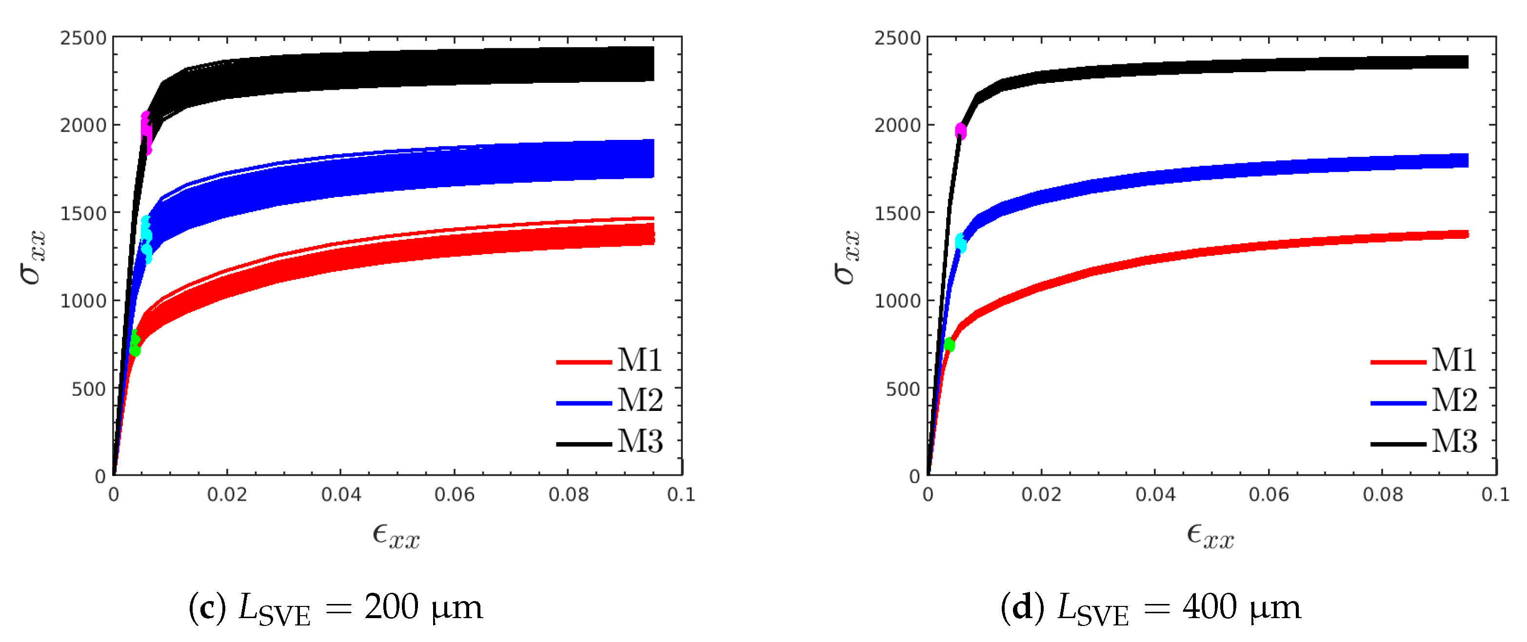
- The homogenized hardening modulus H shows a higher variability and anisotropy than the yield strength Y. This parameter is the main driver of large plastic RVE sizes, especially for M3 where the inclusion of H increases this size by approximately threefold. In fact, except for the response of H for M3, all the RVEs are smaller than 1 mm ().
- The isotropic and homogeneous elastic and plastic effective properties shown in Table 6 can be used for a bulk plasticity model. We believe that the macroscopic domain should be in the range or larger (at least for M3) to justify the use of these bulk-effective properties.
Author Contributions
Funding
Institutional Review Board Statement
Informed Consent Statement
Data Availability Statement
Conflicts of Interest
Abbreviations
| VE | Volume Element |
| RVE | Representative Volume Element |
| SVE | Statistical Volume Element |
| CP | Crystal Plasticity |
| FEM | Finite Element Method |
| CPFEM | Crystal Plasticity Finite Element Method |
| ODF | Orientation Distribution Function |
| MBC | Mixed Boundary Condition |
| KUBC | Kinematic Uniform Boundary Condition |
| SUBC | Static Uniform Boundary Condition |
References
- Roters, F.; Eisenlohr, P.; Hantcherli, L.; Tjahjanto, D.D.; Bieler, T.R.; Raabe, D. Overview of constitutive laws, kinematics, homogenization and multiscale methods in crystal plasticity finite-element modeling: Theory, experiments, applications. Acta Mater. 2010, 58, 1152–1211. [Google Scholar] [CrossRef]
- Ostoja-Starzewski, M. Microstructural randomness versus representative volume element in thermomechanics. J. Appl. Mech.-Trans. ASME 2002, 69, 25–35. [Google Scholar] [CrossRef]
- Kaminski, M.; Kleiber, M. Numerical homogenization of N-component composites including stochastic interface defects. Int. J. Numer. Methods Eng. 2000, 47, 1001–1027. [Google Scholar] [CrossRef]
- Sakata, S.; Ashida, F.; Zako, M. Kriging-based approximate stochastic homogenization analysis for composite materials. Comput. Methods Appl. Mech. Eng. 2008, 197, 1953–1964. [Google Scholar] [CrossRef]
- Sakata, S.; Ashida, F.; Enya, K. A microscopic failure probability analysis of a unidirectional fiber reinforced composite material via a multiscale stochastic stress analysis for a microscopic random variation of an elastic property. Comput. Mater. Sci. 2012, 62, 35–46. [Google Scholar] [CrossRef]
- Sakata, S.; Ashida, F.; Ohsumimoto, K. Stochastic homogenization analysis of a porous material with the perturbation method considering a microscopic geometrical random variation. Int. J. Mech. Sci. 2013, 77, 145–154. [Google Scholar] [CrossRef]
- Huyse, L.; Maes, M. Random field modeling of elastic properties using homogenization. J. Eng. Mech. 2001, 127, 27–36. [Google Scholar] [CrossRef]
- Segurado, J.; LLorca, J. Computational micromechanics of composites: The effect of particle spatial distribution. Mech. Mater. 2006, 38, 873–883. [Google Scholar] [CrossRef]
- Tregger, N.; Corr, D.; Graham-Brady, L.; Shah, S. Modeling the effect of mesoscale randomness on concrete fracture. Probabilistic Eng. Mech. 2006, 21, 217–225. [Google Scholar] [CrossRef]
- Baxter, S.C.; Graham, L.L. Characterization of random composites using moving-window technique. J. Eng. Mech. 2000, 126, 389–397. [Google Scholar] [CrossRef]
- Hill, R. Elastic properties of reinforced solids: Some theoretical principles. J. Mech. Phys. Solids 1963, 11, 357–372. [Google Scholar] [CrossRef]
- Ostoja-Starzewski, M.; Kale, S.; Karimi, P.; Malyarenko, A.; Raghavan, B.; Ranganathan, S.I.; Zhang, J. Scaling to RVE in random media. Adv. Appl. Mech. 2016, 49, 111–211. [Google Scholar]
- Abedi, R.; Garrard, J.; Acton, K. Elastic and strength properties of statistical volume elements: Determination of isotropic and homogeneous size limits. Comput. Struct. 2023, 277, 106959. [Google Scholar] [CrossRef]
- Graham-Brady, L.; Siragy, E.; Baxter, S. Analysis of heterogeneous composites based on moving-window techniques. J. Eng. Mech. 2003, 129, 1054–1064. [Google Scholar] [CrossRef]
- Abedi, R.; Garrard, J.; Yang, M.; Acton, K.; Soghrati, S. Effect of boundary condition and statistical volume element size on inhomogeneity and anisotropy of apparent properties. Mech. Mater. 2022, 173, 104408. [Google Scholar] [CrossRef]
- Kanit, T.; Forest, S.; Galliet, I.; Mounoury, V.; Jeulin, D. Determination of the size of the representative volume element for random composites: Statistical and numerical approach. Int. J. Solids Struct. 2003, 40, 3647–3679. [Google Scholar] [CrossRef]
- Shenoy, M.; Zhang, J.; McDowell, D.L. Estimating fatigue sensitivity to polycrystalline Ni-base superalloy microstructures using a computational approach. Fatigue Fract. Eng. Mater. Struct. 2007, 30, 889–904. [Google Scholar] [CrossRef]
- Teferra, K.; Graham-Brady, L. A random field-based method to estimate convergence of apparent properties in computational homogenization. Comput. Methods Appl. Mech. Eng. 2018, 330, 253–270. [Google Scholar] [CrossRef]
- Saroukhani, S.; Vafadari, R.; Andersson, R.; Larsson, F.; Runesson, K. On statistical strain and stress energy bounds from homogenization and virtual testing. Eur. J. Mech.-A/Solids 2015, 51, 77–95. [Google Scholar] [CrossRef]
- Ranganathan, S.I.; Ostoja-Starzewski, M. Scale-Dependent Homogenization of Inelastic Random Polycrystals. J. Appl. Mech. 2008, 75, 051008. [Google Scholar] [CrossRef]
- Pinz, M.; Weber, G.; Lenthe, W.; Uchic, M.; Pollock, T.; Ghosh, S. Microstructure and property based statistically equivalent RVEs for intragranular γ- γ’microstructures of Ni-based superalloys. Acta Mater. 2018, 157, 245–258. [Google Scholar] [CrossRef]
- Tu, X.; Shahba, A.; Shen, J.; Ghosh, S. Microstructure and property based statistically equivalent RVEs for polycrystalline-polyphase aluminum alloys. Int. J. Plast. 2019, 115, 268–292. [Google Scholar] [CrossRef]
- Salahouelhadj, A.; Haddadi, H. Estimation of the size of the RVE for isotropic copper polycrystals by using elastic–plastic finite element homogenisation. Comput. Mater. Sci. 2010, 48, 447–455. [Google Scholar] [CrossRef]
- Yang, S.; Dirrenberger, J.; Monteiro, E.; Ranc, N. Representative volume element size determination for viscoplastic properties in polycrystalline materials. Int. J. Solids Struct. 2019, 158, 210–219. [Google Scholar] [CrossRef]
- Tucker, J.C.; Cerrone, A.R.; Ingraffea, A.R.; Rollett, A.D. Crystal plasticity finite element analysis for René88DT statistical volume element generation. Model. Simul. Mater. Sci. Eng. 2015, 23, 035003. [Google Scholar] [CrossRef]
- Bouchedjra, M.; Kanit, T.; Boulemia, C.; Amrouche, A.; Belouchrani, M.E.A. Determination of the RVE size for polycrystal metals to predict monotonic and cyclic elastoplastic behavior: Statistical and numerical approach with new criteria. Eur. J. Mech.-A/Solids 2018, 72, 1–15. [Google Scholar] [CrossRef]
- Lim, H.; Battaile, C.C.; Bishop, J.E.; Foulk III, J.W. Investigating mesh sensitivity and polycrystalline RVEs in crystal plasticity finite element simulations. Int. J. Plast. 2019, 121, 101–115. [Google Scholar] [CrossRef]
- Askes, H.; Suiker, A.; Sluys, L. A classification of higher-order strain-gradient models–linear analysis. Arch. Appl. Mech. 2002, 72, 171–188. [Google Scholar] [CrossRef]
- Pijaudier-Cabot, G.; Bažant, Z.P. Nonlocal damage theory. J. Eng. Mech. 1987, 113, 1512–1533. [Google Scholar] [CrossRef]
- Peerlings, R.H.; de Borst, R.; Brekelmans, W.M.; de Vree, J. Gradient enhanced damage for quasi-brittle materials. Int. J. Numer. Methods Eng. 1996, 39, 3391–3403. [Google Scholar] [CrossRef]
- Bourdin, B.; Francfort, G.A.; Marigo, J.J. The variational approach to fracture. J. Elast. 2008, 91, 5–148. [Google Scholar] [CrossRef]
- Miehe, C.; Welschinger, F.; Hofacker, M. Thermodynamically consistent phase-field models of fracture: Variational principles and multi-field FE implementations. Int. J. Numer. Methods Eng. 2010, 83, 1273–1311. [Google Scholar] [CrossRef]
- Bažant, Z.P. Size effect. Int. J. Solids Struct. 2000, 37, 69–80. [Google Scholar] [CrossRef]
- Greer, J.R.; De Hosson, J.T.M. Plasticity in small-sized metallic systems: Intrinsic versus extrinsic size effect. Prog. Mater. Sci. 2011, 56, 654–724. [Google Scholar] [CrossRef]
- Moghaddam, M.G.; Achuthan, A.; Bednarcyk, B.A.; Arnold, S.M.; Pineda, E.J. Grain size-dependent crystal plasticity constitutive model for polycrystal materials. Mater. Sci. Eng. A 2017, 703, 521–532. [Google Scholar] [CrossRef]
- Lin, P.; Liu, Z.; Zhuang, Z. Numerical study of the size-dependent deformation morphology in micropillar compressions by a dislocation-based crystal plasticity model. Int. J. Plast. 2016, 87, 32–47. [Google Scholar] [CrossRef]
- Agius, D.; Kareer, A.; Al Mamun, A.; Truman, C.; Collins, D.M.; Mostafavi, M.; Knowles, D. A crystal plasticity model that accounts for grain size effects and slip system interactions on the deformation of austenitic stainless steels. Int. J. Plast. 2022, 152, 103249. [Google Scholar] [CrossRef]
- Ask, A.; Forest, S.; Appolaire, B.; Ammar, K.; Salman, O.U. A cosserat crystal plasticity and phase field theory for grain boundary migration. J. Mech. Phys. Solids 2018, 115, 167–194. [Google Scholar] [CrossRef]
- Trovalusci, P.; Ostoja-Starzewski, M.; De Bellis, M.L.; Murrali, A. Scale-dependent homogenization of random composites as micropolar continua. Eur. J. Mech.-A/Solids 2015, 49, 396–407. [Google Scholar] [CrossRef]
- Nellemann, C.; Niordson, C.; Nielsen, K. Hardening and strengthening behavior in rate-independent strain gradient crystal plasticity. Eur. J. Mech.-A/Solids 2018, 67, 157–168. [Google Scholar] [CrossRef]
- Quey, R.; Dawson, P.R.; Barbe, F. Large-scale 3D random polycrystals for the finite element method: Generation, meshing and remeshing. Comput. Methods Appl. Mech. Eng. 2011, 200, 1729–1745. [Google Scholar] [CrossRef]
- Groeber, M.A.; Jackson, M.A. DREAM. 3D: A digital representation environment for the analysis of microstructure in 3D. Integr. Mater. Manuf. Innov. 2014, 3, 56–72. [Google Scholar] [CrossRef]
- Ghosh, S.; Dimiduk, D.; Furrer, D. Statistically equivalent representative volume elements (SERVE) for material behaviour analysis and multiscale modelling. Int. Mater. Rev. 2023, 68, 1158–1191. [Google Scholar] [CrossRef]
- Roters, F.; Eisenlohr, P.; Bieler, T.R.; Raabe, D. Crystal Plasticity Finite Element Methods: In Materials Science and Engineering; John Wiley & Sons: Hoboken, NJ, USA, 2011. [Google Scholar]
- Graham, L.; Baxter, S. Simulation of local material properties based on moving-window GMC. Probabilistic Eng. Mech. 2001, 16, 295–305. [Google Scholar] [CrossRef]
- Huet, C. Application of variational concepts to size effects in elastic heterogeneous bodies. J. Mech. Phys. Solids 1990, 38, 813–841. [Google Scholar] [CrossRef]
- Hardie, C.; Long, D.J.; Demir, E.; Tarleton, E.; Dunne, F.P. A robust and efficient hybrid solver for crystal plasticity. Int. J. Plast. 2023, 170, 103773. [Google Scholar] [CrossRef]
- Eghtesad, A.; Knezevic, M. High-performance full-field crystal plasticity with dislocation-based hardening and slip system back-stress laws: Application to modeling deformation of dual-phase steels. J. Mech. Phys. Solids 2020, 134, 103750. [Google Scholar] [CrossRef]
- Tasan, C.C.; Diehl, M.; Yan, D.; Zambaldi, C.; Shanthraj, P.; Roters, F.; Raabe, D. Integrated experimental–simulation analysis of stress and strain partitioning in multiphase alloys. Acta Mater. 2014, 81, 386–400. [Google Scholar] [CrossRef]
- Cantara, A.M.; Zecevic, M.; Eghtesad, A.; Poulin, C.M.; Knezevic, M. Predicting elastic anisotropy of dual-phase steels based on crystal mechanics and microstructure. Int. J. Mech. Sci. 2019, 151, 639–649. [Google Scholar] [CrossRef]
- Liu, W.; Lian, J.; Aravas, N.; Münstermann, S. A strategy for synthetic microstructure generation and crystal plasticity parameter calibration of fine-grain-structured dual-phase steel. Int. J. Plast. 2020, 126, 102614. [Google Scholar] [CrossRef]
- Khisaeva, Z.; Ostoja-Starzewski, M. On the size of RVE in finite elasticity of random composites. J. Elast. 2006, 85, 153–173. [Google Scholar] [CrossRef]
- Hazanov, S.; Huet, C. Order relationships for boundary conditions effect in heterogeneous bodies smaller than the representative volume. J. Mech. Phys. Solids 1994, 42, 1995–2011. [Google Scholar] [CrossRef]
- Acton, K.; Garrard, J.; Abedi, R. Geometric partitioning schemes to reduce modeling bias in statistical volume elements smaller than the scale of isotropic and homogeneous size limits. Comput. Methods Appl. Mech. Eng. 2022, 393, 114772. [Google Scholar] [CrossRef]
- Zener, C.M.; Siegel, S. Elasticity and Anelasticity of Metals. J. Phys. Chem. 1949, 53, 1468. [Google Scholar] [CrossRef]
- Chung, D.; Buessem, W. The elastic anisotropy of crystals. J. Appl. Phys. 1967, 38, 2010–2012. [Google Scholar] [CrossRef]
- Ranganathan, S.I.; Murshed, M.R.; Costa, L. Heterogeneous Anisotropy Index and scaling in two-phase random polycrystals. Acta Mech. 2018, 229, 2631–2646. [Google Scholar] [CrossRef]
- Ranganathan, S.I.; Ostoja-Starzewski, M. Universal elastic anisotropy index. Phys. Rev. Lett. 2008, 101, 055504. [Google Scholar] [CrossRef] [PubMed]
- Nye, J.F. Physical Properties of Crystals: Their Representation by Tensors and Matrices; Oxford University Press: Oxford, UK, 1985. [Google Scholar]
- Rychlewski, J.; Zhang, J. Anisotropy degree of elastic materials. Arch. Mech 1989, 47, 697–715. [Google Scholar]
- Acton, K.; Sherod, C.; Bahmani, B.; Abedi, R. Effect of Volume Element Geometry on Convergence to a Representative Volume. ASCE-ASME J. Risk Uncertain. Eng. Syst. Part B Mech. Eng. 2019, 5, 030907. [Google Scholar] [CrossRef]
- Yang, M.; Garrard, J.; Abedi, R.; Soghrati, S. Effect of microstructural variations on the failure response of a nano-enhanced polymer: A homogenization-based statistical analysis. Comput. Mech. 2021, 67, 315–340. [Google Scholar] [CrossRef]
- Matheron, G. The Theory of Regionalized Variables and Its Applications, Vol. 5; École National Supérieure des Mines: Paris, France, 1971; Volume 211. [Google Scholar]
- Lantuejoul, C. Geostatistical Simulation: Models and Algorithms; Springer Science & Business Media: Berlin, Germany, 2002. [Google Scholar] [CrossRef]
- Bahmani, B.; Yang, M.; Nagarajan, A.; Clarke, P.L.; Soghrati, S.; Abedi, R. Automated homogenization-based fracture analysis: Effects of SVE size and boundary condition. Comput. Methods Appl. Mech. Eng. 2019, 345, 701–727. [Google Scholar] [CrossRef]
- Acton, K.A.; Baxter, S.C.; Bahmani, B.; Clarke, P.L.; Abedi, R. Voronoi tessellation based statistical volume element characterization for use in fracture modeling. Comput. Methods Appl. Mech. Eng. 2018, 336, 135–155. [Google Scholar] [CrossRef]
- Karimi, P.; Malyarenko, A.; Ostoja-Starzewski, M.; Zhang, X. RVE Problem: Mathematical aspects and related stochastic mechanics. Int. J. Eng. Sci. 2020, 146, 103169. [Google Scholar] [CrossRef]
- Malyarenko, A.; Ostoja-Starzewski, M. Tensor Random Fields in Continuum Mechanics. In Encyclopedia of Continuum Mechanics; Springer: Berlin/Heidelberg, Germany, 2020; pp. 2433–2441. [Google Scholar]













| Phase | (GPa) | (GPa) | (GPa) | n | (MPa) | m | ||
|---|---|---|---|---|---|---|---|---|
| Martensite | 417.40 | 242.40 | 211.10 | 0.001 | 20 | 40,000 | 700 | 2.5 |
| Ferrite | 218.37 | 113.31 | 105.34 | 0.001 | 20 | 4500 | 370 | 1.3 |
| Material | |||
|---|---|---|---|
| M1 | 1.302 | 13.018 | 246.57 |
| M2 | 1.409 | 35.234 | 328.67 |
| M3 | 1.311 | 13.011 | 237.76 |
| Material | f | |||
|---|---|---|---|---|
| M1 | 1.268 | 10.057 | 233.35 | |
| G | 1.042 | 3.822 | 300.44 | |
| M2 | 1.414 | 25.072 | 253.05 | |
| G | 1.117 | 7.459 | 373.45 | |
| M3 | 1.312 | 7.210 | 150.87 | |
| G | 0.912 | 2.175 | 366.65 |
| Material | f | |||
|---|---|---|---|---|
| M1 | Y | 1.390 | 33.859 | 345.93 |
| H | 1.114 | 6.320 | 326.37 | |
| M2 | Y | 1.252 | 20.381 | 439.38 |
| H | 1.146 | 16.244 | 634.75 | |
| M3 | Y | 1.209 | 7.864 | 248.11 |
| H | 1.072 | 22.094 | 1312.96 |
| Material | f | |||||||
|---|---|---|---|---|---|---|---|---|
| 1.034 | 0.986 | 82.66 | 0.365 | 0.051 | 85.07 | 85.07 | ||
| M1 | 1.330 | 5.095 | 108.63 | 1.050 | 1.384 | 109.39 | 109.39 | |
| 0.892 | 2.427 | 470.88 | 0.932 | 3.732 | 576.00 | 576.00 | ||
| 0.967 | 1.178 | 138.55 | 0.315 | 0.076 | 640.49 | 640.49 | ||
| M2 | 1.121 | 1.509 | 87.86 | 0.920 | 0.693 | 100.34 | 100.34 | |
| 1.001 | 7.834 | 734.26 | 1.039 | 11.079 | 851.78 | 851.78 | ||
| 1.060 | 1.606 | 120.49 | 0.317 | 0.071 | 486.44 | 486.44 | ||
| M3 | 0.924 | 0.483 | 66.42 | 0.876 | 0.507 | 88.64 | 88.64 | |
| 0.995 | 25.461 | 2653.10 | 0.878 | 15.843 | 4429.03 | 4429.03 |
| Material | (m) | (GPa) | G (GPa) | (m) | Y (MPa) | H (MPa) | ||
|---|---|---|---|---|---|---|---|---|
| M1 | 300.44 | 60.09 | 194.11 | 86.09 | 576.00 | 115.20 | 747.91 | 1848.85 |
| M2 | 640.49 | 128.09 | 255.18 | 108.45 | 851.78 | 170.36 | 1334.71 | 1277.37 |
| M3 | 486.44 | 97.29 | 335.12 | 140.71 | 4429.03 | 885.81 | 1966.94 | 526.09 |
Disclaimer/Publisher’s Note: The statements, opinions and data contained in all publications are solely those of the individual author(s) and contributor(s) and not of MDPI and/or the editor(s). MDPI and/or the editor(s) disclaim responsibility for any injury to people or property resulting from any ideas, methods, instructions or products referred to in the content. |
© 2024 by the authors. Licensee MDPI, Basel, Switzerland. This article is an open access article distributed under the terms and conditions of the Creative Commons Attribution (CC BY) license (https://creativecommons.org/licenses/by/4.0/).
Share and Cite
Anto, A.D.; Fleishel, R.; TerMaath, S.; Abedi, R. Size Dependency of Elastic and Plastic Properties of Metallic Polycrystals Using Statistical Volume Elements. Appl. Sci. 2024, 14, 8207. https://doi.org/10.3390/app14188207
Anto AD, Fleishel R, TerMaath S, Abedi R. Size Dependency of Elastic and Plastic Properties of Metallic Polycrystals Using Statistical Volume Elements. Applied Sciences. 2024; 14(18):8207. https://doi.org/10.3390/app14188207
Chicago/Turabian StyleAnto, Anik Das, Robert Fleishel, Stephanie TerMaath, and Reza Abedi. 2024. "Size Dependency of Elastic and Plastic Properties of Metallic Polycrystals Using Statistical Volume Elements" Applied Sciences 14, no. 18: 8207. https://doi.org/10.3390/app14188207
APA StyleAnto, A. D., Fleishel, R., TerMaath, S., & Abedi, R. (2024). Size Dependency of Elastic and Plastic Properties of Metallic Polycrystals Using Statistical Volume Elements. Applied Sciences, 14(18), 8207. https://doi.org/10.3390/app14188207

