Some Approaches for Light and Color on the Surface of Mars
Abstract
Featured Application
Abstract
1. Introduction
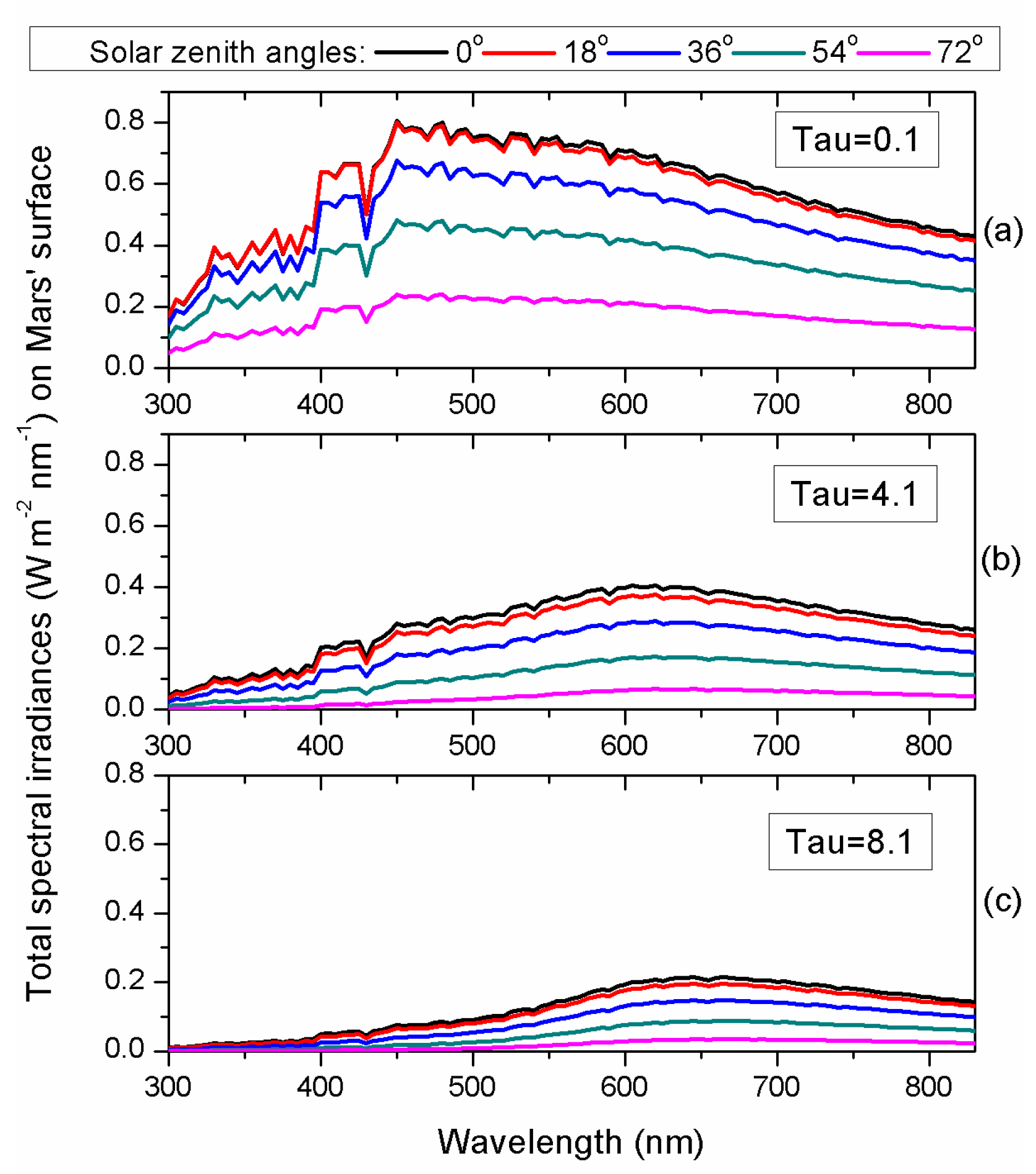
2. Materials and Methods
3. Results
3.1. Colorimetric Characteristics of Lights on Mars’ Surface
3.1.1. Correlated Color Temperature (CCT)
3.1.2. Distance from the Planckian Locus ()
3.1.3. CIE 2017 Color Fidelity Index ()
3.1.4. CIE x,y Chromaticity Coordinates
3.1.5. Color Inconstancy for Samples in the X-Rite ColorChecker®
3.2. Modeling Light on Mars’ Surface from CCT
3.2.1. Proposal for a Model Analogous to the One Adopted by CIE for Daylight [3]
3.2.2. Comparison with Spectral Irradiances Reported by Barnes [7]
4. Discussion
5. Conclusions
Supplementary Materials
Author Contributions
Funding
Data Availability Statement
Acknowledgments
Conflicts of Interest
Appendix A
| Wavelength (nm) | |||
|---|---|---|---|
| 300 | 0.10725233 | −0.03076008 | 0.06844971 |
| 305 | 0.14314817 | −0.04081334 | 0.09011341 |
| 310 | 0.13480432 | −0.03818179 | 0.08359607 |
| 315 | 0.1573771 | −0.04424705 | 0.09598776 |
| 320 | 0.18561136 | −0.05175401 | 0.11114268 |
| 325 | 0.20224757 | −0.05587057 | 0.11865292 |
| 330 | 0.25916588 | −0.07085768 | 0.14865228 |
| 335 | 0.23980736 | −0.06482405 | 0.13420139 |
| 340 | 0.25041275 | −0.06685835 | 0.13644633 |
| 345 | 0.22359765 | −0.05890594 | 0.11838833 |
| 350 | 0.25298031 | −0.06569689 | 0.1298993 |
| 355 | 0.2846522 | −0.07279801 | 0.14147285 |
| 360 | 0.26233759 | −0.06600863 | 0.1259613 |
| 365 | 0.29330715 | −0.07254302 | 0.13580607 |
| 370 | 0.32472845 | −0.07887415 | 0.14473207 |
| 375 | 0.27316413 | −0.06510301 | 0.11699688 |
| 380 | 0.32013008 | −0.07480053 | 0.13154592 |
| 385 | 0.28168677 | −0.06447666 | 0.11088027 |
| 390 | 0.35154298 | −0.07876859 | 0.13237012 |
| 395 | 0.3446681 | −0.07554804 | 0.12398884 |
| 400 | 0.49978178 | −0.10710084 | 0.17157268 |
| 405 | 0.50632297 | −0.10602631 | 0.16572196 |
| 410 | 0.49904148 | −0.10207684 | 0.15562103 |
| 415 | 0.54089798 | −0.1080432 | 0.16063205 |
| 420 | 0.54621077 | −0.10653344 | 0.15445321 |
| 425 | 0.55407447 | −0.10552727 | 0.14921303 |
| 430 | 0.42303878 | −0.07869746 | 0.10856006 |
| 435 | 0.55664006 | −0.10119272 | 0.13625538 |
| 440 | 0.58709675 | −0.1043753 | 0.13728601 |
| 445 | 0.63639233 | −0.11073059 | 0.14238576 |
| 450 | 0.70705757 | −0.12039565 | 0.15134 |
| 455 | 0.6877586 | −0.11445161 | 0.14046251 |
| 460 | 0.70225927 | −0.11389605 | 0.13611401 |
| 465 | 0.70631366 | −0.11118103 | 0.12887778 |
| 470 | 0.69003141 | −0.10493713 | 0.11747993 |
| 475 | 0.73774396 | −0.10786912 | 0.1161126 |
| 480 | 0.75910986 | −0.1061701 | 0.10937022 |
| 485 | 0.71499013 | −0.09513017 | 0.09332047 |
| 490 | 0.76185075 | −0.09585772 | 0.08907384 |
| 495 | 0.78155613 | −0.09239224 | 0.08086307 |
| 500 | 0.7676049 | −0.0846485 | 0.06934917 |
| 505 | 0.79265998 | −0.08088801 | 0.06161015 |
| 510 | 0.81194358 | −0.07595842 | 0.05336985 |
| 515 | 0.81289874 | −0.06894467 | 0.04428013 |
| 520 | 0.8081881 | −0.0613061 | 0.03560266 |
| 525 | 0.881142 | −0.05877756 | 0.03046008 |
| 530 | 0.90037581 | −0.05167395 | 0.0235066 |
| 535 | 0.91945737 | −0.044082 | 0.01723362 |
| 540 | 0.88400714 | −0.03394228 | 0.01108406 |
| 545 | 0.95360928 | −0.02745046 | 0.00719103 |
| 550 | 0.97415929 | −0.01865847 | 0.00368306 |
| 555 | 1.01139987 | −0.00965108 | 0.00128458 |
| 560 | 1 | 0 | 0 |
| 565 | 1.02775098 | 0.00968364 | −6.33 × 10−5 |
| 570 | 1.04890403 | 0.01958173 | 0.00107897 |
| 575 | 1.09682211 | 0.03035998 | 0.00349657 |
| 580 | 1.11552803 | 0.04059586 | 0.00703414 |
| 585 | 1.13584869 | 0.05081217 | 0.01163544 |
| 590 | 1.0928715 | 0.05752547 | 0.01621408 |
| 595 | 1.15921636 | 0.06957667 | 0.02305681 |
| 600 | 1.1709624 | 0.07822551 | 0.02949436 |
| 605 | 1.19875526 | 0.08742301 | 0.03657909 |
| 610 | 1.18672394 | 0.09306639 | 0.04240896 |
| 615 | 1.19683764 | 0.09975484 | 0.04880209 |
| 620 | 1.21796488 | 0.10690224 | 0.05552769 |
| 625 | 1.17770753 | 0.10806878 | 0.05908548 |
| 630 | 1.20526742 | 0.11497969 | 0.06572705 |
| 635 | 1.21129693 | 0.11961103 | 0.07111549 |
| 640 | 1.20518108 | 0.12271871 | 0.0755468 |
| 645 | 1.211332 | 0.12675747 | 0.0804719 |
| 650 | 1.18695464 | 0.12724743 | 0.08300751 |
| 655 | 1.15750621 | 0.12677035 | 0.08469759 |
| 660 | 1.18610163 | 0.13236706 | 0.0903112 |
| 665 | 1.19278661 | 0.13532168 | 0.09403341 |
| 670 | 1.17645699 | 0.1353944 | 0.0955923 |
| 675 | 1.16540585 | 0.13579348 | 0.09719937 |
| 680 | 1.15822675 | 0.13639793 | 0.09878767 |
| 685 | 1.13093451 | 0.13439206 | 0.09831388 |
| 690 | 1.13370116 | 0.13574917 | 0.10014826 |
| 695 | 1.1219074 | 0.13519072 | 0.10044241 |
| 700 | 1.1002169 | 0.13327072 | 0.09959695 |
| 705 | 1.10941517 | 0.13495554 | 0.10134151 |
| 710 | 1.08686373 | 0.13265233 | 0.09999346 |
| 715 | 1.07334256 | 0.13132455 | 0.09927908 |
| 720 | 1.04532117 | 0.12810639 | 0.09704034 |
| 725 | 1.06180378 | 0.13024012 | 0.09877115 |
| 730 | 1.04025061 | 0.12761567 | 0.09681577 |
| 735 | 1.02944708 | 0.12622384 | 0.09572203 |
| 740 | 0.99679033 | 0.12207816 | 0.09247554 |
| 745 | 1.00480394 | 0.12284497 | 0.09289088 |
| 750 | 0.99376811 | 0.12121823 | 0.09144012 |
| 755 | 0.98330058 | 0.11947781 | 0.0901013 |
| 760 | 0.96841099 | 0.11715993 | 0.0882852 |
| 765 | 0.95266277 | 0.11470901 | 0.08633446 |
| 770 | 0.93686498 | 0.11223166 | 0.08433648 |
| 775 | 0.922595 | 0.1099238 | 0.08244486 |
| 780 | 0.9195483 | 0.10893849 | 0.08152787 |
| 785 | 0.91182118 | 0.10738633 | 0.08017343 |
| 790 | 0.89869736 | 0.10519966 | 0.07833933 |
| 795 | 0.87178158 | 0.10141983 | 0.07532222 |
| 800 | 0.87298935 | 0.1009289 | 0.07475232 |
| 805 | 0.85278797 | 0.09797984 | 0.07236832 |
| 810 | 0.84262005 | 0.09620919 | 0.07086448 |
| 815 | 0.84240739 | 0.09558593 | 0.07021073 |
| 820 | 0.8133602 | 0.09171438 | 0.06718019 |
| 825 | 0.81399557 | 0.09121213 | 0.06662654 |
| 830 | 0.80292511 | 0.0894072 | 0.06512605 |
References
- Judd, D.B.; MacAdam, D.L.; Wyszecki, G. Spectral distribution of typical daylight as a function of correlated color temperature. J. Opt. Soc. Am. 1964, 54, 1031–1040. [Google Scholar] [CrossRef]
- Hernández-Andrés, J.; Romero, J.; Nieves, J.L. Color and spectral analysis of daylight in southern Europe. J. Opt. Soc. Am. 2001, 18, 1325–1335. [Google Scholar] [CrossRef] [PubMed]
- International Commission on Illumination. CIE 015:2018. Colorimetry, 4th ed.; CIE Central Bureau: Vienna, Austria, 2018; ISBN 978-3-902842-13-8. [Google Scholar] [CrossRef]
- Diakite-Kortlever, A.; Weber, N.; Knoop, M. Reconstruction of daylight spectral power distribution based on correlated color temperature: A comparative study between the CIE approach and localized procedures in assessing non-image forming effects. Leukos 2023, 19, 118–145. [Google Scholar] [CrossRef]
- Andrekson, P. Optical communication in very long space links. In Proceedings of the Book of Abstracts VI International Conference on Application of Optics and Photonics, AOP2024, Aveiro, Portugal, 16–19 July 2024; ISBN 978-989-8798-09-1. [Google Scholar]
- Bell III, J.F.; Godber, A.; McNair, S.; Caplinger, M.A.; Maki, J.N.; Lemmon, M.T.; Van Beek, J.; Malin, M.C.; Wellington, D.; Kinch, K.M.; et al. The Mars Science Laboratory Curiosity rover Mastcam instruments: Preflight and in-flight calibration, validation, and data archiving. Earth Space Sci. 2017, 4, 396–452. [Google Scholar] [CrossRef]
- Barnes, D. Mars Rover Colour Vision: Generating the True Colours of Mars. The 12th Symposium on Advanced Space Technologies in Automation and Robotics. 2013. Available online: http://robotics.estec.esa.int/ASTRA/Astra2013/Papers/barnes_2811165.pdf (accessed on 18 November 2024).
- Wang, A.; Zhao, B.; Li, J.; Luo, M.R.; Pointer, M.R.; Melgosa, M.; Li, C. Interpolation, extrapolation, and truncation in computations of CIE tristimulus values. Color Res. Appl. 2017, 42, 10–18. [Google Scholar] [CrossRef]
- Vicente-Retortillo, A.; Valero, F.; Vázquez, L.; Martínez, G.M. A model to calculate solar radiation fluxes on the Martian surface. J. Space Weather Clim. 2015, 5, A33. [Google Scholar] [CrossRef]
- Wolff, M.J.; Smith, M.D.; Clancy, R.T.; Arvidson, R.; Kahre, M.; Seelos IV, F.; Murchie, S.; Savijärvi, H. Wavelength dependence of dust aerosol single scattering albedo as observed by the Compact Reconnaissance Imaging Spectrometer. J. Geophys. Res-Planet 2009, 114, E00D04. [Google Scholar] [CrossRef]
- Wolff, M.J.; Clancy, R.T.; Goguen, J.D.; Malin, M.C.; Cantor, B.A. Ultraviolet dust aerosol properties as observed by MARCI. Icarus 2010, 208, 143–155. [Google Scholar] [CrossRef]
- Connour, K.; Wolff, M.J.; Schneider, N.M.; Deighan, J.; Lefèvre, F.; Jain, S.K. Another one derives the dust: Ultraviolet dust aerosol properties retrieved from MAVEN/IUVS data. Icarus 2022, 387, 115177. [Google Scholar] [CrossRef]
- Joseph, J.H.; Wiscombe, W.J.; Weinman, J.A. The delta-Eddington approximation for radiative flux transfer. J. Atmos. Sci. 1976, 33, 2452–2459. [Google Scholar] [CrossRef]
- Stamnes, K.; Tsay, S.-C.; Wiscombe, W.; Jayaweera, K. Numerically stable algorithm for discrete-ordinate-method radiative transfer in multiple scattering and emitting layered media. Appl. Optics 1988, 27, 2502–2509. [Google Scholar] [CrossRef]
- McCamy, C.S.; Marcus, H.; Davidson, J.G. A color-rendition chart. J. Appl. Photogr. Eng. 1976, 2, 95–99. [Google Scholar]
- Robert, E.; Shen, C.; Estribeau, M.; Cucchetti, E.; Fairchild, M. Color correction of Mars images: A study of illumination discrimination along solight locus. J. Imaging Sci. Technol. 2023, 67, 050410. [Google Scholar] [CrossRef]
- Hernández-Andrés, J.; Lee, R.L.; Romero, J. Calculating correlated color temperatures across the entire gamut of daylight and skylight chromaticities. Appl. Optics 1999, 38, 5703–5709. [Google Scholar] [CrossRef]
- Ohno, Y. Practical use and calculation of CCT and Duv. Leukos 2014, 10, 47–55. [Google Scholar] [CrossRef]
- International Commission on Illumination. CIE 224:2017. CIE 2017 Colour Fidelity Index for Accurate Scientific Use; CIE Central Bureau: Vienna, Austria, 2017; ISBN 978-3-902842-61-9. [Google Scholar]
- Berns, R.S. Billmeyer and Saltzman’s Principles of Color Technology, 3rd ed.; John Wiley & Sons, Inc.: Hoboken, NJ, USA, 2000; Appendix F; ISBN 0-471-19459-X. [Google Scholar]
- Fairchild, M.D. Color Appearance Models, 2nd ed.; Chapters 8 and 9; John Wiley & Sons. Ltd.: Hoboken, NJ, USA, 2005; ISBN 0-470-01216-1. [Google Scholar]
- International Commission on Illumination. CIE 248:2022. The CIE 2016 Colour Appearance Model for Colour Management Systems: CIECAM16; CIE Central Bureau: Vienna, Austria, 2022; Annex A; ISBN 978-3-902842-94-7. [Google Scholar]
- Huang, M.; Cui, G.; Melgosa, M.; Sánchez-Marañón, M.; Li, C.; Luo, M.R.; Liu, H. Power functions improving the performance of color-difference formulas. Opt. Express 2015, 23, 597–610. [Google Scholar] [CrossRef]
- Romero, J.; García-Beltrán, A.; Hernández-Andrés, J. Linear bases for representation of natural and artificial illuminants. J. Opt. Soc. Am. A 1997, 14, 1007–1014. [Google Scholar] [CrossRef]
- International Commission on Illumination. CIE TN 001:2014. Chromaticity Difference Specification for Light Sources; CIE Central Bureau: Vienna, Austria, 2014; Available online: https://cie.co.at/publications/chromaticity-difference-specification-light-sources (accessed on 18 November 2024).
- Roatgi, A. WebPlotDigitizer. Available online: https://apps.automeris.io/wpd4/ (accessed on 18 November 2024).
- Murcia-Piñeros, J.; Prado, A.F.B.A.; Dimino, I.; de Moraes, R.V. Optimal gliding trajectories for descent on Mars. Appl. Sci. 2024, 14, 7786. [Google Scholar] [CrossRef]
- Zhang, T.; Peng, S.; Jia, Y.; Tian, H.; Sun, J.; Yan, C. Slip estimation for Mars rover Zhurong based on data drive. Appl. Sci. 2022, 12, 1676. [Google Scholar] [CrossRef]
- Rodin, A.; Vinogradov, A.; Zenevich, S.; Spiridonov, M.; Gazizov, I.; Kazakov, V.; Meshcherinov, V.; Golovin, I.; Kozlova, T.; Lebedev, Y.; et al. Martian multichannel diode laser spectrometer (M-DLS) for in-situ atmospheric composition measurements on Mars onboard ExoMars-2022 landing platform. Appl. Sci. 2020, 10, 8805. [Google Scholar] [CrossRef]
- National Renewable Energy Laboratory (NREL). 2000 ASTM Standard Extraterrestrial Spectrum Reference E-490-00. Available online: https://www.nrel.gov/grid/solar-resource/spectra-astm-e490.html (accessed on 18 November 2024).
- Bell III, J.F.; Wolff, M.J.; Malin, M.C.; Calvin, W.M.; Cantor, B.A.; Caplinger, M.A.; Clancy, R.T.; Edgett, K.S.; Edwards, L.J.; Fahle, J.; et al. Mars Reconnaissance Orbiter Mars Color Imager (MARCI): Instrument description, calibration, and performance. J. Geophys. Res.-Planet 2009, 114, E08S92. [Google Scholar] [CrossRef]
- Malin, M.C.; Ravine, M.A.; Caplinger, M.A.; Ghaemi, F.T.; Schaffner, J.A.; Maki, J.N.; Bell III, J.F.; Cameron, J.F.; Dietrich, W.E.; Edgett, K.S.; et al. The Mars Science Laboratory (MSL) Mast cameras and Descent imager: Investigation and instrument descriptions. Earth Space Sci. 2017, 4, 506–539. [Google Scholar] [CrossRef] [PubMed]
- Murchie; Barnouin-Jha, O.; Barnouin-Jha, K.; Bishop, J.; Johnson, J.; McSween, H.; Morris, R. New Insights into the Geology of the Mars Pathfinder Landing Site from Spectral and Morphologic Analysis of the 12-Color Superpan Panorama. 6th International Conference on Mars, Abstract 3060. Available online: https://www.lpi.usra.edu/meetings/sixthmars2003/pdf/3060.pdf (accessed on 18 November 2024).
- Sánchez-Marañón, M.; Cuadros, J.; Michalski, J.R.; Melgosa, M.; Dekov, V. Identification of iron in Earth analogues of Martian phyllosilicates using visible reflectance spectroscopy: Spectral derivatives and color parameters. Appl. Clay Sci. 2018, 165, 264–276. [Google Scholar] [CrossRef]













| Basic Statistics Parameters | GFC (Equation (1)) | ΔEu′v′ Units [25] |
|---|---|---|
| Average | 0.9999558 | 0.00090 |
| Standard Deviation | 0.0000630 | 0.00079 |
| Best fit | 0.9999998 | 0.00001 |
| Worst fit | 0.9996321 | 0.00336 |
| Basic Statistics Parameters | GFC (Equation (1)) | ΔE′v′ Units [25] |
|---|---|---|
| Average | 0.9979521 | 0.00227 |
| Standard Deviation | 0.0001299 | 0.00077 |
| Best fit | 0.9980494 | 0.00130 |
| Worst fit | 0.9977288 | 0.00322 |
Disclaimer/Publisher’s Note: The statements, opinions and data contained in all publications are solely those of the individual author(s) and contributor(s) and not of MDPI and/or the editor(s). MDPI and/or the editor(s) disclaim responsibility for any injury to people or property resulting from any ideas, methods, instructions or products referred to in the content. |
© 2024 by the authors. Licensee MDPI, Basel, Switzerland. This article is an open access article distributed under the terms and conditions of the Creative Commons Attribution (CC BY) license (https://creativecommons.org/licenses/by/4.0/).
Share and Cite
Melgosa, M.; Hernández-Andrés, J.; Sánchez-Marañón, M.; Cuadros, J.; Vicente-Retortillo, Á. Some Approaches for Light and Color on the Surface of Mars. Appl. Sci. 2024, 14, 10812. https://doi.org/10.3390/app142310812
Melgosa M, Hernández-Andrés J, Sánchez-Marañón M, Cuadros J, Vicente-Retortillo Á. Some Approaches for Light and Color on the Surface of Mars. Applied Sciences. 2024; 14(23):10812. https://doi.org/10.3390/app142310812
Chicago/Turabian StyleMelgosa, Manuel, Javier Hernández-Andrés, Manuel Sánchez-Marañón, Javier Cuadros, and Álvaro Vicente-Retortillo. 2024. "Some Approaches for Light and Color on the Surface of Mars" Applied Sciences 14, no. 23: 10812. https://doi.org/10.3390/app142310812
APA StyleMelgosa, M., Hernández-Andrés, J., Sánchez-Marañón, M., Cuadros, J., & Vicente-Retortillo, Á. (2024). Some Approaches for Light and Color on the Surface of Mars. Applied Sciences, 14(23), 10812. https://doi.org/10.3390/app142310812

