Real-Time Short-Circuit Current Calculation in Electrical Distribution Systems Considering the Uncertainty of Renewable Resources and Electricity Loads
Abstract
1. Introduction
- An improved iterative short-circuit current calculation algorithm is proposed considering real-time output power of DGs and electricity loads under high penetration of DGs with LVRT strategies;
- Output power fluctuation analysis of PV stations of residential loads are conducted via clustering algorithms. Several typical daily curves of PV stations and electricity loads are obtained and used to obtain the typical daily short-circuit current curves for all branches.
2. Short-Circuit Current Calculation in Distribution Network with Renewable DGs
2.1. Traditional Simplified Short-Circuit Current Calculation
2.2. Short-Circuit Current Calculation for Distribution Networks with Renewable DGs
2.3. Equivalent Model of Renewable DGs for Short-Circuit Calculation
3. Short-Circuit Current Calculation Considering Power Fluctuation
3.1. Output Power Fluctuation Analysis of PV Stations
3.2. Output Power Fluctuation Analysis of Residential Loads
3.3. Real-Time Short-Circuit Current Calculation Considering Fluctuation in DGs and Loads
- (1)
- In the short-circuit calculation, the node voltage value before the fault time should be obtained in real time by considering the source-load stochasticity, which cannot be simplified to the rated voltage. It can be derived that the voltage changed because of the volatility in DGs and loads at each node of the distribution network throughout the day and 24 h. In the meantime, the short-circuit current of each branch is directly determined via the voltage at each node after the fault based on Equation (7);
- (2)
- In the short-circuit calculation, DGs in distribution networks can be equivalent to voltage-controlled current sources according to the LVRT strategies. According to Equations (10)–(12), the output current of DGs after the fault will change from the output current at the pre-fault moment. If the output current of a DG at the node j before and after the fault changed by ΔIIIDG,j, this updated injected current ΔIIIDG,j is directly determined by the post-fault DG terminal voltage. It will also be indirectly affected by the DG output power before the fault moment.
- (1)
- During the normal operation stage, the distributed DGs and load nodes of the distribution network are equivalent to PQ nodes, and the nodes of the distribution network connected to the main network are equivalent to the balanced node. Then, taking into account the source-load stochasticity, the voltage of each node is calculated at each moment of the whole day based on traditional power flow calculation algorithms, as well as the current of each branch. In the results, the voltage at the node i in the normal operation at the time t is denoted as , and the branch current between the node m and node n is denoted as , and the injected current of the DG at the node j is denoted as ;
- (2)
- The external power system connected to the whole distribution network is equivalent to a current source with an internal resistance. And the node conductance matrix Y and impedance matrix Z of the distribution network are constructed according to the topology and parameters of the distribution network;
- (3)
- When a fault occurs at node f at moment t, the initial voltage of each node of the distribution network and the short-circuit current of each branch are calculated using Equations (5)–(7) under the assumption that the there is no change in the output current of DGs, and then, the initial value of the short-circuit current calculation results of the distribution network can be obtained. In the results, the initial fault voltage at node i is noted as , and the initial fault current in the branch circuit between node m and node n is noted as ;
- (4)
- According to the relationship between the output current and the terminal voltage in the LVRT strategies, the change in the output current of each accessed DG after the k-th iteration is given bywhere represent the output current of each DG accessing node j in the distribution network after the k-th iteration;
- (5)
- According to the change in the output current of DGs, the voltage at node i after k-th iteration is given bywhere H represent the set of all PCCs, represents the voltage at node i after the k-th iteration when a fault occurred, and Zij is the i-th row and j-th column element of the distribution network impedance matrix Z formed in step 2;
- (6)
- Calculate the current in branch mn between node m and node n after the k-th iteration based on the short-circuit voltage at each node after the k-th iteration viawhere represent the branch current between node m and node n after the k-th iteration at time t, represent the impedance of the branch mn, and represent the voltage at node m and node n after k-th iteration at time t when a fault occurred;
- (7)
- Perform the abovementioned steps (4)–(6) cyclically until the following convergence condition is satisfied:where represent the maximum iteration number, and represent the maximum voltage error. The convergence condition means that the voltage at node i remains the same after the k + 1 iteration even considering the change in the output current of DGs under LVRT strategies.
4. Simulation and Verification
4.1. Simulation Model
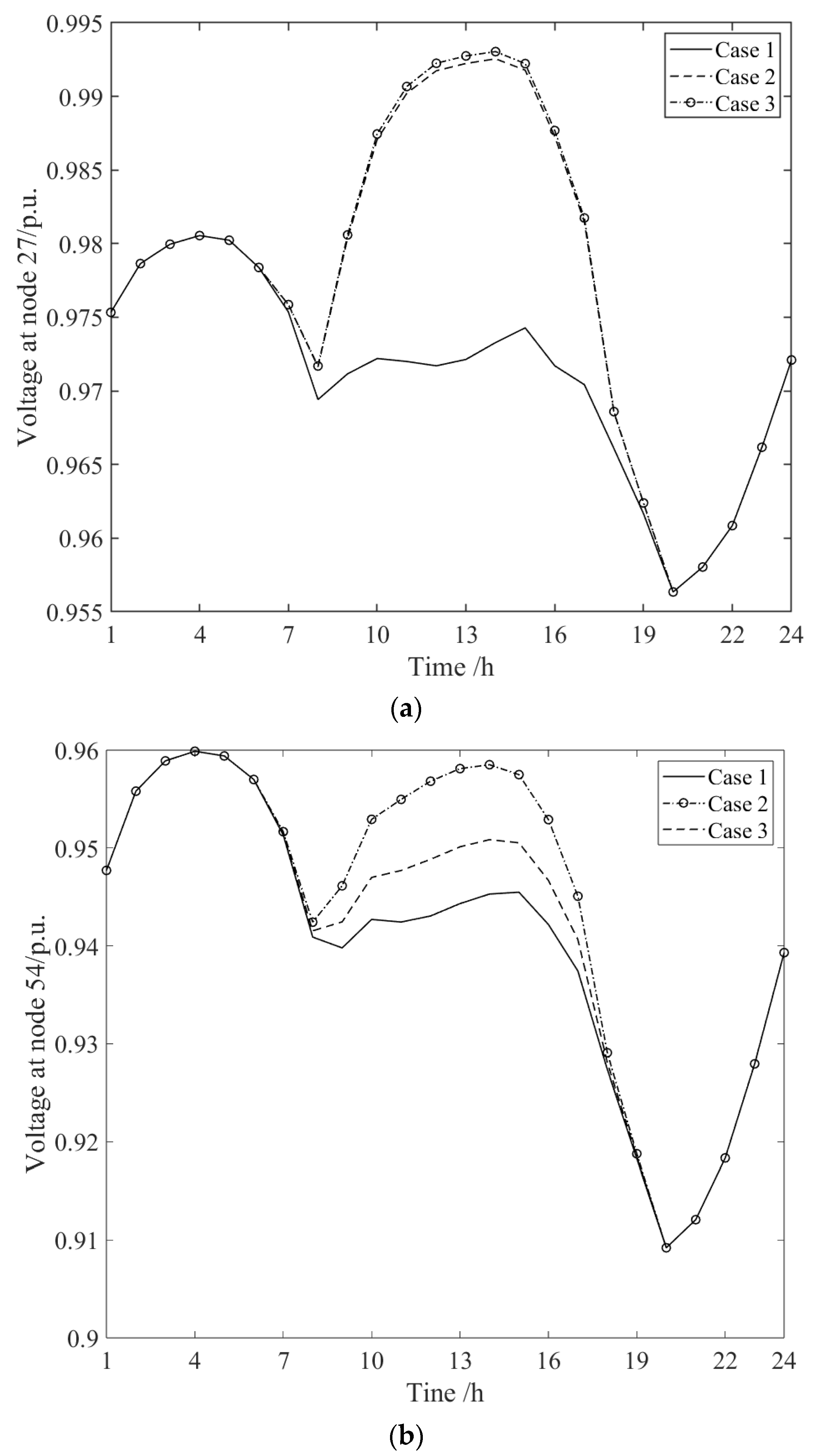
4.2. Simulation Results
4.3. Sensitivity Analysis
5. Conclusions
Author Contributions
Funding
Institutional Review Board Statement
Informed Consent Statement
Data Availability Statement
Conflicts of Interest
References
- Gonzalez, R.S.; Aryasomyajula, V.A.; Ayyagari, K.S.; Gatsis, N.; Alamaniotis, M.; Ahmed, S. Modeling and studying the impact of dynamic reactive current limiting in grid-following inverters for distribution network protection. Electr. Power Syst. Res. 2023, 224, 109609. [Google Scholar] [CrossRef]
- Shafik, M.B.; Elbarbary, Z.M.; Siqi, B.; Azmy, A.M.; Hussien, M.G. Distribution networks reliability assessment considering distributed automation system with penetration of DG units and SOP devices. Energy Rep. 2023, 9, 6199–6210. [Google Scholar] [CrossRef]
- Rizwan, M.; Gao, C.; Yan, X.; Ahmad, S.; Zaindin, M. An approach to disparage the blindness of backup protection in grid connected renewable energy sources system by inducing artificial fault current. Int. J. Electr. Power Energy Syst. 2023, 153, 109185. [Google Scholar] [CrossRef]
- Li, C.; Chen, D.; Liu, X.; Shahidehpour, M.; Yang, H.; Liu, H.; Huang, W.; Wang, J.; Deng, X.; Zhang, Q. Fault mitigation mechanism to pave the way to accommodate over 90% renewable energy in electric power systems. Appl. Energy 2024, 359, 122623. [Google Scholar] [CrossRef]
- Xiong, Y.; Zeng, Z.; Xin, J.; Song, G.; Xia, Y.; Xu, Z. Renewable energy time series regulation strategy considering grid flexible load and N-1 faults. Energy 2023, 284, 129140. [Google Scholar] [CrossRef]
- Chen, W.; He, Y.; Li, N.; Wang, Z.; Peng, J.; Xiang, X. A smart platform (BEVPro) for modeling, evaluating, and optimizing community microgrid integrated with buildings, distributed renewable energy, electricity storage, and electric vehicles. J. Build. Eng. 2024, 87, 109077. [Google Scholar] [CrossRef]
- Li, J.; Bi, H.; Li, C.; Li, J.; Zeng, D.; Wang, G. Analysis and calculation method for multiple faults in low-resistance grounded systems with inverter-interfaced distributed generators based on a PQ control strategy. Int. J. Electr. Power Energy Syst. 2022, 138, 107980. [Google Scholar] [CrossRef]
- Cho, N.; Wendha, B.; Yoo, J. Analysis of reverse fault current regarding the impact of transformer core types on the two most common winding connections of distributed energy resources in distribution systems. Int. J. Electr. Power Energy Syst. 2024, 155, 109548. [Google Scholar] [CrossRef]
- Luka, V.S.; Nikola, G.S. Quantifying the impact of inverter-based distributed energy resource modeling on calculated fault current flow in microgrids. Int. J. Electr. Power Energy Syst. 2023, 151, 109161. [Google Scholar]
- Yoosefian, D.; Askarian-Abyaneh, H.; Kheshti, M.; Li, Q.; Terzija, V. Fault ride through constrained protection scheme for distribution networks with DFIG-based wind parks. Electr. Power Syst. Res. 2023, 215, 108973. [Google Scholar] [CrossRef]
- Li, C.; Cao, Y.; Li, B.; Liu, B.; Qiao, F.; Chen, P. A novel low voltage ride-through scheme for DFIG based on the cooperation of hybrid energy storage system and crowbar circuit. J. Energy Storage 2023, 73, 108879. [Google Scholar] [CrossRef]
- Sanati, S.; Azzouz, M. A new inrush current detection for collector transformers’ differential protection in DFIG-based wind farms. Electr. Power Syst. Res. 2023, 225, 109766. [Google Scholar] [CrossRef]
- Davi, M.J.; Iscuissati RD, B.; Oleskovicz, M.; Lopes, F.V. Investigating the potential of Machine Learning for fault location on Inverter-Based Resource interconnection lines: Insights and recommendations. Electr. Power Syst. Res. 2024, 231, 110366. [Google Scholar] [CrossRef]
- Hassan, Y.B.; Orabi, M.; Gaafar, M.A. Failures causes analysis of grid-tie photovoltaic inverters based on faults signatures analysis (FCA-B-FSA). Sol. Energy 2023, 262, 111831. [Google Scholar] [CrossRef]
- Song, G.; Chang, P.; Hou, J.; Xiong, F. An improved single-terminal fault location method for inverter grid-connected system based on active control. Electr. Power Syst. Res. 2023, 217, 109100. [Google Scholar] [CrossRef]
- Chang, Y.; Hu, J.; Yuan, X. Mechanism Analysis of DFIG-Based Wind Turbine’s Fault Current During LVRT With Equivalent Inductances. IEEE J. Emerg. Sel. Top. Power Electron. 2020, 8, 1515–1527. [Google Scholar] [CrossRef]
- Gururaj, M.V.; Padhy, N.P. PHIL Experimentation on Fault Ride Through Behavior of Doubly Fed Induction Generator-Based Wind System in the Presence of Fault Current Limiter. IEEE Trans. Ind. Appl. 2020, 56, 2988–3005. [Google Scholar] [CrossRef]
- Liu, X.; Zhang, Z.; Liu, Y.; Liu, Z.; Su, M.; Li, C.; Ge, L.; Zhang, X.; Wang, P. Fault Current Unified Calculation Method for Whole Process Fault Ride-Through of DFIG-Based Wind Farms. IEEE Trans. Smart Grid 2024, 15, 485–503. [Google Scholar] [CrossRef]
- Jia, K.; Hou, L.; Liu, Q.; Fang, Y.; Zheng, L.; Bi, T. Analytical calculation of transient current from an inverter-interfaced renewable energy. IEEE Trans. Power Syst. 2022, 37, 1554–1563. [Google Scholar] [CrossRef]
- Jia, K.; Liu, Q.; Yang, B.; Zheng, L.; Fang, Y.; Bi, T. Transient fault current analysis of IIRESs considering controller saturation. IEEE Trans. Smart Grid 2022, 13, 496–504. [Google Scholar] [CrossRef]
- Fang, C.; Mu, L.; Wang, Z.; Chen, G. Analysis of grid-forming IIDG’s transient- and steady-State fault model. IEEE Trans. Smart Grid 2022, 13, 1187–1199. [Google Scholar] [CrossRef]
- Wang, Q.; Jin, T.; Wang, M. A Hierarchical Minimum Hitting Set Calculation Method for Multiple Multiphase Faults in Power Distribution Networks. IEEE Trans. Ind. Electron. 2021, 68, 4–14. [Google Scholar] [CrossRef]
- Li, B.; Chen, F.; Li, B.; Zhang, J.; Ji, X.; Xiao, F.; Hong, Q. A Multi-Terminal Current Differential Protection Setting Method for Fully Weak-Infeed Distribution Networks Based on Restricted Enumeration Method. IEEE Trans. Smart Grid 2024, 15, 2570–2585. [Google Scholar] [CrossRef]
- Qian, W.; Zhou, N.; Wu, J.; Li, Y.; Wang, Q.; Guo, P. Probabilistic Short-Circuit Current in Active Distribution Networks Considering Low Voltage Ride-Through of Photovoltaic Generation. IEEE Access 2019, 7, 140071–140083. [Google Scholar] [CrossRef]
- Işık, C.; Kuziboev, B.; Ongan, S.; Saidmamatov, O.; Mirkhoshimova, M.; Rajabov, A. The volatility of global energy uncertainty: Renewable alternatives. Energy 2024, 297, 131250. [Google Scholar] [CrossRef]
- Zhu, Y.; Liu, J.; Hu, Y.; Xie, Y.; Zeng, D.; Li, R. Distributionally robust optimization model considering deep peak shaving and uncertainty of renewable energy. Energy 2024, 288, 129935. [Google Scholar] [CrossRef]
- Igeland, P.; Schroeder, L.; Yahya, M.; Okhrin, Y.; Uddin, G.S. The energy transition: The behavior of renewable energy stock during the times of energy security uncertainty. Renew. Energy 2024, 221, 119746. [Google Scholar] [CrossRef]
- Zheng, X.Y.; Zhu, J.; Li, Y.H. Improved methods to improve the iterative convergence of short-circuit calculation in new energy AC power grids. Electr. Power Autom. Equip. 2024, 44, 201–209. [Google Scholar]
- Jia, K.; Hou, L.; Bi, T.; Li, Y.; Qin, H.; Ding, X. Practical engineering calculation of short-circuit current for renewable energy based on local iteration of fault area. Autom. Electr. Power Syst. 2021, 45, 151–158. [Google Scholar]
- Ausgrid. Available online: https://www.ausgrid.com.au/Industry/Our-Research/Data-to-share/ (accessed on 7 July 2024).
- Hou, T.; Fang, R.; Tang, J.; Ge, G.; Yang, D.; Liu, J.; Zhang, W. A novel short-term residential electric load forecasting method based on adaptive load aggregation and deep learning algorithms. Energies 2021, 14, 7820. [Google Scholar] [CrossRef]
















| Node | Maximum Power/kW | Type of Load Curve | Node | Maximum Power/kW | Type of Load Curve |
|---|---|---|---|---|---|
| 1 | / | / | 36 | 0 | / |
| 2 | 0 | / | 37 | 79 | 2 |
| 3 | 0 | / | 38 | 384.7 | 4 |
| 4 | 0 | / | 39 | 384.7 | 4 |
| 5 | 0 | / | 40 | 40.5 | 1 |
| 6 | 2.6 | 1 | 41 | 3.6 | 1 |
| 7 | 40.4 | 1 | 42 | 4.3 | 1 |
| 8 | 75 | 2 | 43 | 26.4 | 1 |
| 9 | 30 | 1 | 44 | 24 | 1 |
| 10 | 28 | 1 | 45 | 0 | / |
| 11 | 145 | 3 | 46 | 0 | / |
| 12 | 145 | 3 | 47 | 0 | / |
| 13 | 8 | 1 | 48 | 100 | 3 |
| 14 | 8 | 1 | 49 | 0 | / |
| 15 | 0 | / | 50 | 1244 | 4 |
| 16 | 45.5 | 1 | 51 | 32 | 1 |
| 17 | 60 | 2 | 52 | 0 | / |
| 18 | 60 | 2 | 53 | 227 | 4 |
| 19 | 0 | / | 54 | 59 | 2 |
| 20 | 1 | 1 | 55 | 18 | 1 |
| 21 | 114 | 3 | 56 | 18 | 1 |
| 22 | 5.3 | 1 | 57 | 28 | 1 |
| 23 | 0 | / | 58 | 28 | 1 |
| 24 | 28 | 1 | 59 | 26 | 1 |
| 25 | 0 | / | 60 | 26 | 1 |
| 26 | 14 | 1 | 61 | 0 | / |
| 27 | 14 | 1 | 62 | 24 | 1 |
| 28 | 26 | 1 | 63 | 24 | 1 |
| 29 | 26 | 1 | 64 | 1.2 | 1 |
| 30 | 0 | / | 65 | 0 | / |
| 31 | 0 | / | 66 | 6 | 1 |
| 32 | 0 | / | 67 | 0 | / |
| 33 | 14 | 1 | 68 | 39.2 | 1 |
| 34 | 19.5 | 1 | 69 | 39.2 | 1 |
| 35 | 6 | 1 | Total | 3802.1 | / |
| Access Node of DGs | Capacity of DGs/kW | Access Node of DGs | Capacity of DGs/kW |
|---|---|---|---|
| 6 | 304.2 | 35 | 380.2 |
| 16 | 304.2 | 44 | 152.1 |
| 27 | 380.2 | 54 | 380.2 |
| Access Node of DGs | Capacity of DGs/kW | Access Node of DGs | Capacity of DGs/kW |
|---|---|---|---|
| 23 | 380.2 | 43 | 570.3 |
| 26 | 228.1 | 56 | 342.2 |
| 29 | 570.3 | 61 | 570.3 |
| Branch | Normal Current/kA | Short-Circuit Current/kA | Branch | Normal Current /kA | Short-Circuit Current/kA |
|---|---|---|---|---|---|
| 1–2 | 0.2236 | 0.9155 | 8–9 | 0.1511 | 0.9277 |
| 3–28 | 0.0051 | 0.0043 | 9–42 | 0.1052 | 0.1043 |
| 3–59 | 0.0103 | 0.0087 | 9–10 | 0.0441 | 0.8214 |
| 3–4 | 0.2082 | 0.9054 | 11–55 | 0.0021 | 0.0020 |
| 4–5 | 0.1604 | 0.9161 | 11–12 | 0.0321 | 0.8099 |
| 4–36 | 0.0478 | 0.0404 | 12–13 | 0.0204 | 0.7988 |
| 8–40 | 0.0025 | 0.0025 | 12–57 | 0.0032 | 0.0031 |
| Branch | Rated Normal Current /kA | Short-Circuit Current/kA | Branch | Rated Normal Current /kA | Short-Circuit Current/kA | ||
|---|---|---|---|---|---|---|---|
| 4:00 | 20:00 | 4:00 | 20:00 | ||||
| 1–2 | 0.2236 | 0.8946 | 0.9155 | 8–9 | 0.1511 | 0.8677 | 0.9277 |
| 3–28 | 0.0051 | 0.0032 | 0.0043 | 9–42 | 0.1052 | 0.0485 | 0.1043 |
| 3–59 | 0.0103 | 0.0063 | 0.0087 | 9–10 | 0.0441 | 0.8161 | 0.8214 |
| 3–4 | 0.2082 | 0.8876 | 0.9054 | 11–55 | 0.0021 | 0.0008 | 0.0020 |
| 4–5 | 0.1604 | 0.8792 | 0.9161 | 11–12 | 0.0321 | 0.8111 | 0.8099 |
| 4–36 | 0.0478 | 0.0301 | 0.0404 | 12–13 | 0.0204 | 0.8064 | 0.7988 |
| 8–40 | 0.0025 | 0.0011 | 0.0025 | 12–57 | 0.0032 | 0.0012 | 0.0031 |
| Branch | Short-Circuit Current on Sunny Day/kA | Short-Circuit Current on Cloudy Day/kA | Short-Circuit Current on Rainy Day/kA | |||
|---|---|---|---|---|---|---|
| 4:00 | 13:00 | 4:00 | 13:00 | 4:00 | 13:00 | |
| 1–2 | 1.20 | 1.2167 | 1.20 | 1.2182 | 1.20 | 1.22 |
| 3–28 | 0.0032 | 0.0001 | 0.0032 | 0.0015 | 0.0032 | 0.0030 |
| 3–59 | 0.0063 | 0.0072 | 0.0063 | 0.0072 | 0.0063 | 0.0072 |
| 3–4 | 1.1910 | 1.2098 | 1.1910 | 1.2100 | 1.1910 | 1.2103 |
| 4–5 | 1.1649 | 1.1785 | 1.1649 | 1.1826 | 1.1649 | 1.1876 |
| 4–36 | 0.0301 | 0.0334 | 0.0301 | 0.0334 | 0.0301 | 0.0334 |
| 8–40 | 0.0011 | 0.0017 | 0.0011 | 0.0017 | 0.0011 | 0.0017 |
| 8–9 | 1.1395 | 1.1561 | 1.1395 | 1.1606 | 1.1395 | 1.1659 |
| 9–42 | 0.1064 | 0.1135 | 0.1064 | 0.1204 | 0.1064 | 0.1284 |
| 9–10 | 1.0370 | 1.0464 | 1.0370 | 1.0440 | 1.0370 | 1.0411 |
| 11–55 | 0.0008 | 0.0012 | 0.0008 | 0.0012 | 0.0008 | 0.0012 |
| 11–12 | 1.0324 | 1.0397 | 1.0324 | 1.0373 | 1.0324 | 1.0344 |
| 12–13 | 1.0281 | 1.0333 | 1.0281 | 1.0308 | 1.0281 | 1.0279 |
| 12–57 | 0.0012 | 0.0019 | 0.0012 | 0.0020 | 0.0012 | 0.0020 |
| Branch | Short-Circuit Current on Sunny Day/kA | Short-Circuit Current on Cloudy Day/kA | Short-Circuit Current on Rainy Day/kA | |||
|---|---|---|---|---|---|---|
| 4:00 | 13:00 | 4:00 | 13:00 | 4:00 | 13:00 | |
| 1–2 | 0.9606 | 0.9742 | 0.9606 | 0.9778 | 0.9606 | 0.9821 |
| 3–28 | 0.0032 | 0.0017 | 0.0032 | 0.0004 | 0.0032 | 0.0028 |
| 3–59 | 0.0063 | 0.0019 | 0.0063 | 0.0040 | 0.0063 | 0.0064 |
| 3–4 | 0.9528 | 0.9742 | 0.9528 | 0.9743 | 0.9528 | 0.9745 |
| 4–5 | 0.9384 | 0.9552 | 0.9384 | 0.9595 | 0.9384 | 0.9646 |
| 4–36 | 0.0301 | 0.0334 | 0.0301 | 0.0334 | 0.0301 | 0.0334 |
| 8–40 | 0.0011 | 0.0017 | 0.0011 | 0.0017 | 0.0011 | 0.0017 |
| 8–9 | 0.9372 | 0.9518 | 0.9372 | 0.9604 | 0.9372 | 0.9706 |
| 9–42 | 0.0769 | 0.0816 | 0.0769 | 0.0869 | 0.0769 | 0.0931 |
| 9–10 | 0.8651 | 0.8743 | 0.8651 | 0.8778 | 0.8651 | 0.8820 |
| 11–55 | 0.1249 | 0.1250 | 0.1249 | 0.1270 | 0.1249 | 0.1294 |
| 11–12 | 0.8112 | 0.8258 | 0.8112 | 0.8258 | 0.8112 | 0.8257 |
| 12–13 | 0.8064 | 0.8188 | 0.8064 | 0.8187 | 0.8064 | 0.8186 |
| 12–57 | 0.0012 | 0.0019 | 0.0012 | 0.0019 | 0.0012 | 0.0020 |
Disclaimer/Publisher’s Note: The statements, opinions and data contained in all publications are solely those of the individual author(s) and contributor(s) and not of MDPI and/or the editor(s). MDPI and/or the editor(s) disclaim responsibility for any injury to people or property resulting from any ideas, methods, instructions or products referred to in the content. |
© 2024 by the authors. Licensee MDPI, Basel, Switzerland. This article is an open access article distributed under the terms and conditions of the Creative Commons Attribution (CC BY) license (https://creativecommons.org/licenses/by/4.0/).
Share and Cite
Liu, D.; Xiong, P.; Tang, J.; Li, L.; Wang, S.; Cao, Y. Real-Time Short-Circuit Current Calculation in Electrical Distribution Systems Considering the Uncertainty of Renewable Resources and Electricity Loads. Appl. Sci. 2024, 14, 11001. https://doi.org/10.3390/app142311001
Liu D, Xiong P, Tang J, Li L, Wang S, Cao Y. Real-Time Short-Circuit Current Calculation in Electrical Distribution Systems Considering the Uncertainty of Renewable Resources and Electricity Loads. Applied Sciences. 2024; 14(23):11001. https://doi.org/10.3390/app142311001
Chicago/Turabian StyleLiu, Dan, Ping Xiong, Jinrui Tang, Lie Li, Shiyao Wang, and Yunyu Cao. 2024. "Real-Time Short-Circuit Current Calculation in Electrical Distribution Systems Considering the Uncertainty of Renewable Resources and Electricity Loads" Applied Sciences 14, no. 23: 11001. https://doi.org/10.3390/app142311001
APA StyleLiu, D., Xiong, P., Tang, J., Li, L., Wang, S., & Cao, Y. (2024). Real-Time Short-Circuit Current Calculation in Electrical Distribution Systems Considering the Uncertainty of Renewable Resources and Electricity Loads. Applied Sciences, 14(23), 11001. https://doi.org/10.3390/app142311001

