Effect of a Virtual Biophilic Residential Environment on the Perception and Responses of Seniors
Abstract
1. Introduction
1.1. Background and Purpose
1.2. Research Scope and Flow
2. Literature Review
2.1. Biophilic Design Experience by Environmental Scale
2.2. Residential Environment Planning for the Seniors’ Biophilic Experience
2.3. Virtual Environment and the Physiological Response
3. Materials and Methods
3.1. Participants
3.2. Study Design
3.3. VE Simulation
3.4. Outcome Measures
3.5. Experimental Procedure
3.6. Statistical Analysis
4. Results
4.1. Descriptive Statistics
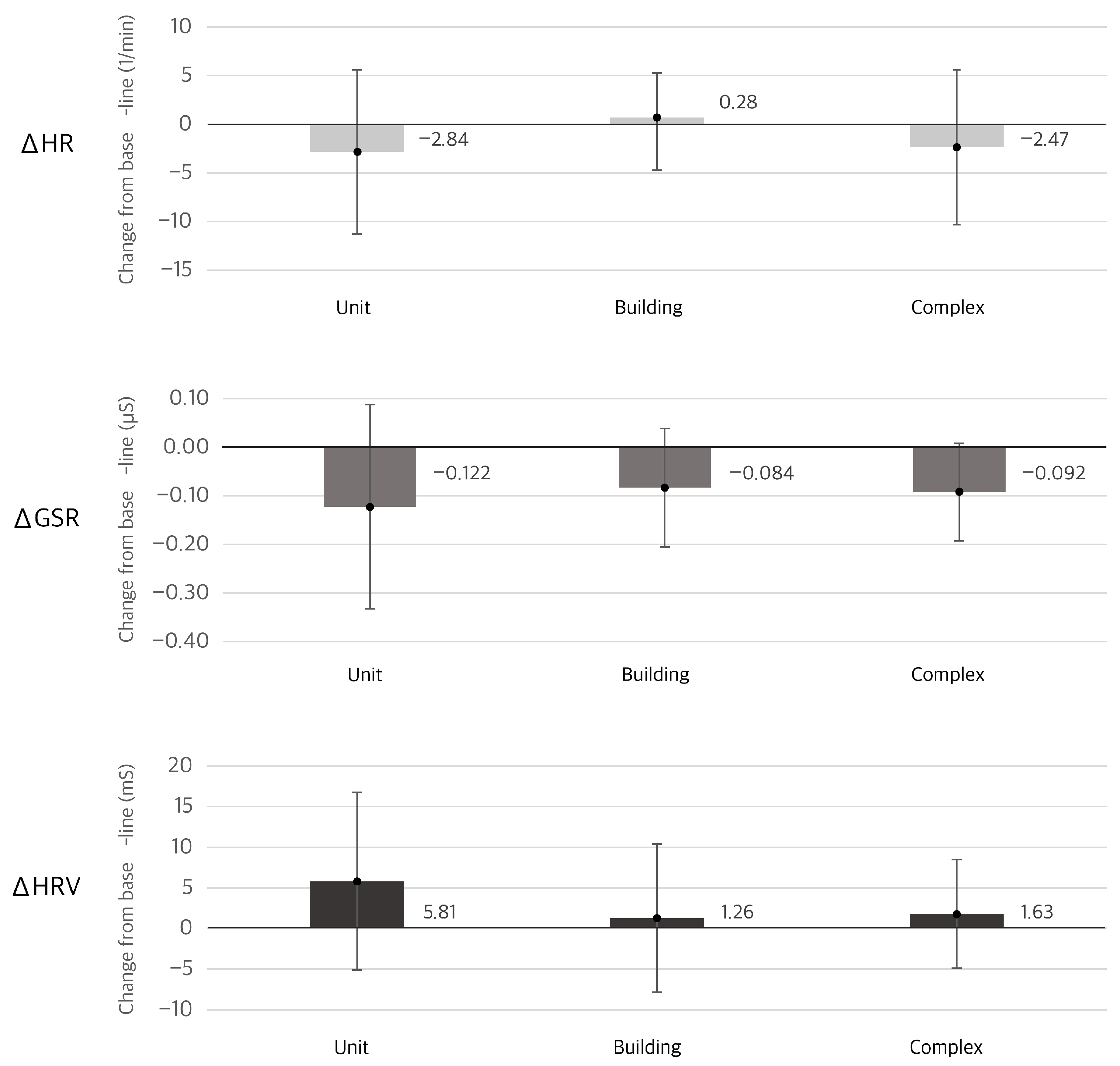
4.2. Physiological Response by Residential Scales
4.3. Physiological Response by Physical Versus Digital Intervention
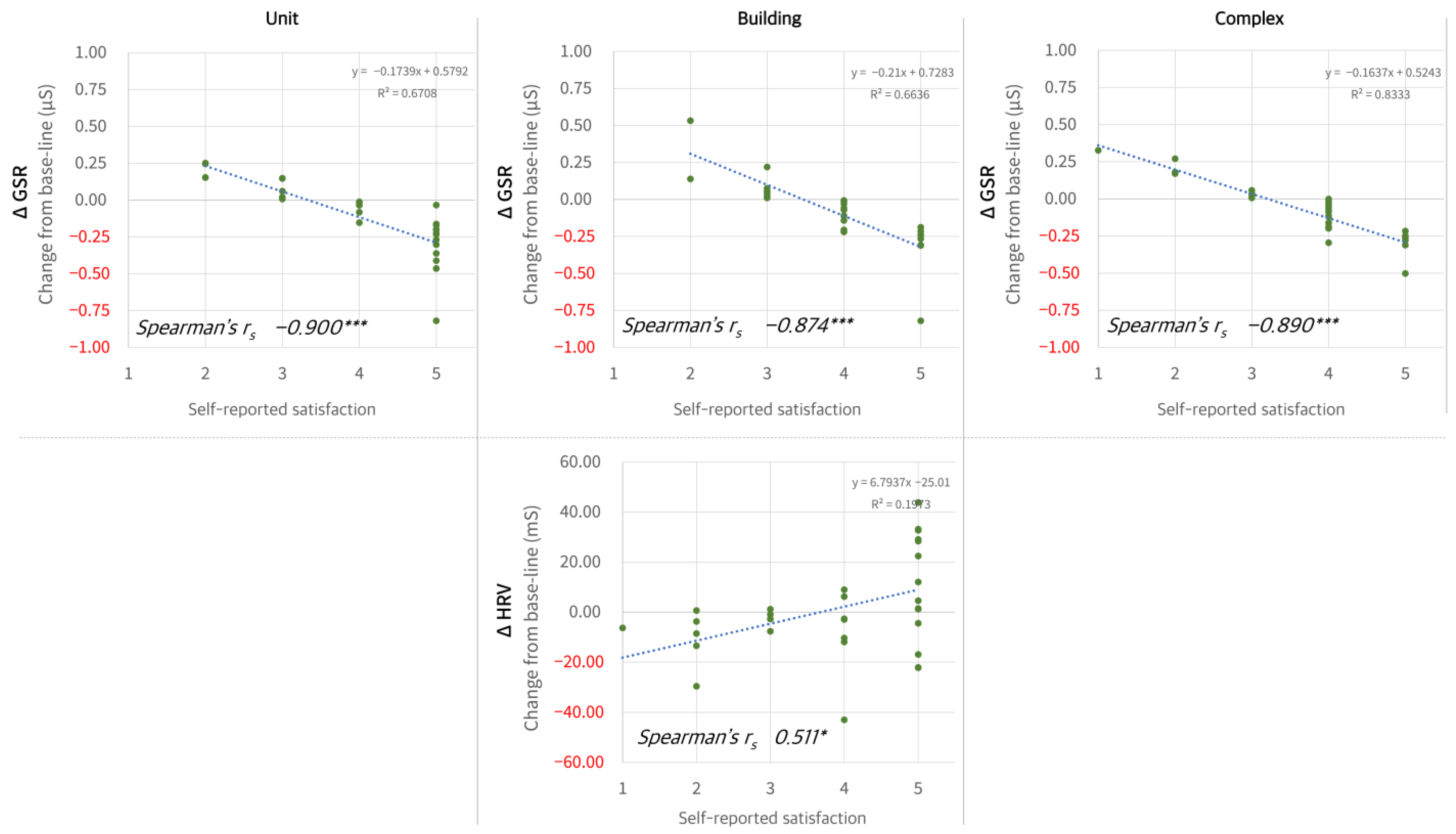
4.4. Correlation Between Physiological Response and Subjective Perception
5. Discussion
5.1. Benefits of the Virtual Biophilic Residential Environment
5.2. Effects of Physical and Digital Designs
5.3. Physiological Response and Satisfaction and Immersion
6. Conclusions
6.1. Intellectual Contributions and Innovations
6.2. Implications
6.3. Limitations and Opportunities
6.4. Future Research Directions
Supplementary Materials
Author Contributions
Funding
Institutional Review Board Statement
Informed Consent Statement
Data Availability Statement
Conflicts of Interest
Appendix A
| Variable | F(n) or Mean | % or SD | |
|---|---|---|---|
| Age | Middle-aged (59–64years) | 10 | 33.3 |
| Seniors (>65 years) | 20 | 66.7 | |
| Sex | Male | 14 | 46.7 |
| Female | 16 | 53.3 | |
| Total | 30 | 100.0 | |
| Variable | Appropriate Range | Mean ± SD |
|---|---|---|
| PM2.5 (μg/m3) | ≤100 | 0.3 ± 0.5 |
| CO2 (ppm) | ≤1000 | 712 ± 97 |
| Temperature (°C) | 22.3~26.5 | 23.4 ± 1.1 |
| Relative Humidity (%) | 32~48 | 36.4 ± 8.3 |
| Physiological Response | Self-Reported Satisfaction | Self-Reported Immersion | |||||
|---|---|---|---|---|---|---|---|
| Unit | Building | Complex | Unit | Building | Complex | ||
| HR | Unit | −0.113 | 0.167 | −0.126 | −0.897 *** | 0.072 | −0.018 |
| Building | 0.026 | 0.148 | 0.053 | −0.104 | −0.931 *** | 0.122 | |
| Complex | −0.063 | −0.072 | −0.321 | 0.007 | 0.311 | −0.925 *** | |
| HRV | Unit | −0.109 | −0.068 | −0.309 | −0.072 | 0.096 | 0.157 |
| Building | 0.220 | 0.511 ** | 0.064 | 0.076 | 0.084 | 0.109 | |
| Complex | 0.089 | 0.217 | 0.076 | 0.038 | 0.228 | −0.133 | |
| GSR | Unit | −0.900 *** | −0.594 ** | −0.431 ** | 0.083 | −0.251 | −0.046 |
| Building | −0.630 *** | −0.874 *** | −0.460 ** | 0.251 | −0.020 | −0.174 | |
| Complex | −0.604 *** | −0.422 ** | −0.890 *** | −0.122 | −0.061 | −0.227 | |
References
- Wilson, E.O. Biophilia; Harvard University Press: Cambridge, MA, USA, 1984. [Google Scholar]
- Kellert, S.R.; Wilson, E.O. The Biophilia Hypothesis; Island Press: Washington, DC, USA, 1993. [Google Scholar]
- Kellert, S.; Heerwagen, J.; Mador, P. Biophilic Design: The Theory, Science, and Practice of Bringing Buildings to Life; John Wiley & Sons: Hoboken, NJ, USA, 2008. [Google Scholar]
- James, P.; Banay, R.F.; Hart, J.E.; Laden, F. A review of the health benefits of greenness. Curr. Epidemiol. Rep. 2015, 2, 131–142. [Google Scholar] [CrossRef] [PubMed]
- Ulrich, R.S.; Simons, R.F.; Losito, B.D.; Fiorito, E.; Miles, M.A.; Zelson, M. Stress recovery during exposure to natural and urban environments. J. Environ. Psychol. 1991, 11, 201–230. [Google Scholar] [CrossRef]
- Franco, L.S.; Shanahan, D.F.; Fuller, R.A. A review of the benefits of nature experiences: More than meets the eye. Int. J. Environ. Res. Public Health 2017, 14, 864. [Google Scholar] [CrossRef] [PubMed]
- Berman, M.G.; Kross, E.; Krpan, K.M.; Askren, M.K.; Burson, A.; Deldin, P.J.; Kaplan, S.; Sherdell, L.; Gotlib, I.H.; Jonides, J. Interacting with nature improves cognition and affect for individuals with depression. J. Affect. Disord. 2012, 140, 300–305. [Google Scholar] [CrossRef] [PubMed]
- Lee, E.J.; Park, S.J. Toward the Biophilic Residential Regeneration for the Green New Deal. Int. J. Environ. Res. Public Health 2021, 18, 2523. [Google Scholar] [CrossRef]
- Lawton, M. Planning and designing housing environments for older adults. Exp. Aging Res. 1991, 17, 82. [Google Scholar]
- Korpela, K.M.; Hartig, T.; Kaiser, F.G.; Fuhrer, U. Restorative experience and self-regulation in favorite places. Environ. Behav. 2001, 33, 572–589. [Google Scholar] [CrossRef]
- Peters, T.; Verderber, S. Biophilic Design Strategies in Long-Term Residential Care Environments for Persons with Dementia. J. Aging Environ. 2022, 36, 227–255. [Google Scholar] [CrossRef]
- Yamane, K.; Adachi, M. Roles of daily horticultural activities in physical and mental QOL for elderly adults. In Proceedings of the VIII International People-Plant Symposium on Exploring Therapeutic Powers of Flowers, Greenery and Nature 790, Awaji, Japan, 30 June 2008; pp. 165–171. [Google Scholar] [CrossRef]
- Zarghami, E.; Olfat, M.; Fatourehchi, D. An investigation into the relationship between quality of life of the elderly in relation to physical spaces in order to select an ideal residence. J. Hous. Built Environ. 2019, 34, 465–488. [Google Scholar] [CrossRef]
- Dzhambov, A.M.; Dimitrova, D.D. Elderly visitors of an urban park, health anxiety and individual awareness of nature experiences. Urban For. Urban Green. 2014, 13, 806–813. [Google Scholar] [CrossRef]
- Frumkin, H.; Bratman, G.N.; Breslow, S.J.; Cochran, B.; Kahn Jr, P.H.; Lawler, J.J.; Levin, P.S.; Tandon, P.S.; Varanasi, U.; Wolf, K.L. Nature contact and human health: A research agenda. Environ. Health Perspect. 2017, 125, 075001. [Google Scholar] [CrossRef] [PubMed]
- Düzgün, G.; Durmaz Akyol, A. Effect of natural sunlight on sleep problems and sleep quality of the elderly staying in the nursing home. Holis. Nurs. Pract. 2017, 31, 295–302. [Google Scholar] [CrossRef] [PubMed]
- Han, A.-R.; Park, S.-A.; Ahn, B.-E. Reduced stress and improved physical functional ability in elderly with mental health problems following a horticultural therapy program. Complement. Ther. Med. 2018, 38, 19–23. [Google Scholar] [CrossRef]
- Emamjomeh, A.; Zhu, Y.; Beck, M. The potential of applying immersive virtual environment to biophilic building design: A pilot study. J. Build. Eng. 2020, 32, 101481. [Google Scholar] [CrossRef]
- Yin, J. Bringing Nature Indoors With Virtual Reality: Human Reponses to Biophilic Design in Buildings. Ph.D. Thesis, Harvard University, Cambridge, MA, USA, 2019. [Google Scholar]
- Zhang, X.; Lian, Z.; Ding, Q. Investigation variance in human psychological responses to wooden indoor environments. Build. Environ. 2016, 109, 58–67. [Google Scholar] [CrossRef]
- Kellert, S.R. Nature by Design: The Practice of Biophilic Design; Yale University Press: New Haven, CT, USA; London, UK, 2018. [Google Scholar]
- Kellert, S.R.; Kahn, P.H., Jr. Children and Nature: Psychological, Sociocultural, and Evolutionary Investigations; MIT Press: Cambridge MA, USA, 2002. [Google Scholar]
- Kaplan, R.; Kaplan, S. The Experience of Nature: A Psychological Perspective; Cambridge University Press: Cambridge, NY, USA, 1989. [Google Scholar]
- Beatley, T. Exploring the Nature Pyramid. Available online: https://www.thenatureofcities.com/2012/08/07/exploring-the-nature-pyramid/ (accessed on 21 July 2020).
- Ameri, F.; Vazifeshenas, N.; Haghparast, A. The impact of audio book on the elderly mental health. Basic Clin. Neurosci. 2017, 8, 361. [Google Scholar] [CrossRef]
- Curl, A.; Thompson, C.W.; Alves, S.; Aspinall, P. Outdoor environmental supportiveness and older people’s quality of life: A personal projects approach. J. Hous. Elderly 2016, 30, 1087925. [Google Scholar] [CrossRef]
- Lee, E.-J.; Park, S.-J. Biophilic Experience-Based Residential Hybrid Framework. Int. J. Environ. Res. Public Health 2022, 19, 8512. [Google Scholar] [CrossRef]
- Miller, E.; Burton, L.O. Redesigning aged care with a biophilic lens: A call to action. Cities Health 2020, 7, 1772557. [Google Scholar] [CrossRef]
- Lee, E.J. Developing Hybrid Residential Model for the Elderly’s Biophilic Experience. Ph.D. Thesis, Keimyung University, Daegu, Republic of Korea, 2022. [Google Scholar]
- Tabrizian, P.; Baran, P.K.; Smith, W.R.; Meentemeyer, R.K. Exploring perceived restoration potential of urban green enclosure through immersive virtual environments. J. Environ. Psychol. 2018, 55, 99–109. [Google Scholar] [CrossRef]
- Yin, J.; Arfaei, N.; MacNaughton, P.; Catalano, P.J.; Allen, J.G.; Spengler, J.D. Effects of biophilic interventions in office on stress reaction and cognitive function: A randomized crossover study in virtual reality. Indoor Air 2019, 29, 1028–1039. [Google Scholar] [CrossRef] [PubMed]
- Calogiuri, G.; Litleskare, S.; Fagerheim, K.A.; Rydgren, T.L.; Brambilla, E.; Thurston, M. Experiencing nature through immersive virtual environments: Environmental perceptions, physical engagement, and affective responses during a simulated nature walk. Front. Psychol. 2018, 8, 2321. [Google Scholar] [CrossRef] [PubMed]
- Mollazadeh, M.; Zhu, Y. Application of Virtual Environments for Biophilic Design: A Critical Review. Buildings 2021, 11, 148. [Google Scholar] [CrossRef]
- Yin, J.; Zhu, S.; MacNaughton, P.; Allen, J.G.; Spengler, J.D. Physiological and cognitive performance of exposure to biophilic indoor environment. Build. Environ. 2018, 132, 255–262. [Google Scholar] [CrossRef]
- Yu, C.-P.; Lee, H.-Y.; Lu, W.-H.; Huang, Y.-C.; Browning, M.H. Restorative effects of virtual natural settings on middle-aged and elderly adults. Urban For. Urban Green. 2020, 56, 126863. [Google Scholar] [CrossRef]
- Browning, M.H.; Saeidi-Rizi, F.; McAnirlin, O.; Yoon, H.; Pei, Y. The role of methodological choices in the effects of experimental exposure to simulated natural landscapes on human health and cognitive performance: A systematic review. Environ. Behav. 2021, 53, 687–731. [Google Scholar] [CrossRef]
- Barton, J.; Pretty, J. What is the best dose of nature and green exercise for improving mental health? A multi-study analysis. Environ. Sci. Technol. 2010, 44, 3947–3955. [Google Scholar] [CrossRef]
- Van den Berg, M.M.; Maas, J.; Muller, R.; Braun, A.; Kaandorp, W.; Van Lien, R.; Van Poppel, M.N.; Van Mechelen, W.; Van den Berg, A.E. Autonomic nervous system responses to viewing green and built settings: Differentiating between sympathetic and parasympathetic activity. Int. J. Environ. Res. Public Health 2015, 12, 15860–15874. [Google Scholar] [CrossRef]
- Dickerson, S.S.; Kemeny, M.E. Acute stressors and cortisol responses: A theoretical integration and synthesis of laboratory research. Psychol. Bull. 2004, 130, 355. [Google Scholar] [CrossRef]
- Von Dawans, B.; Kirschbaum, C.; Heinrichs, M. The Trier Social Stress Test for Groups (TSST-G): A new research tool for controlled simultaneous social stress exposure in a group format. Psychoneuroendocrinology 2011, 36, 514–522. [Google Scholar] [CrossRef]
- Herborn, K.A.; Graves, J.L.; Jerem, P.; Evans, N.P.; Nager, R.; McCafferty, D.J.; McKeegan, D.E. Skin temperature reveals the intensity of acute stress. Physiol. Behav. 2015, 152, 225–230. [Google Scholar] [CrossRef] [PubMed]
- Perez-Rosero, M.S.; Rezaei, B.; Akcakaya, M.; Ostadabbas, S. Decoding emotional experiences through physiological signal processing. In Proceedings of the 2017 IEEE International Conference on Acoustics, Speech and Signal Processing (ICASSP), New Orleans, LA, USA, 5–9 March 2017; pp. 881–885. [Google Scholar] [CrossRef]
- Childs, E.; White, T.L.; de Wit, H. Personality traits modulate emotional and physiological responses to stress. Behav. Pharmacol. 2014, 25, 493–502. [Google Scholar] [CrossRef] [PubMed]
- Appel, L.; Appel, E.; Bogler, O.; Wiseman, M.; Cohen, L.; Ein, N.; Abrams, H.B.; Campos, J.L. Older adults with cognitive and/or physical impairments can benefit from immersive virtual reality experiences: A feasibility study. Front. Med. 2020, 6, 329. [Google Scholar] [CrossRef] [PubMed]
- Swindells, C.; Po, B.A.; Hajshirmohammadi, I.; Corrie, B.; Dill, J.C.; Fisher, B.D.; Booth, K.S. Comparing CAVE, wall, and desktop displays for navigation and wayfinding in complex 3D models. In Proceedings of the Proceedings Computer Graphics International, Crete, Greece, 19 June 2004; pp. 420–427. [Google Scholar] [CrossRef]
- Tong, X.; Gromala, D.; Gupta, D.; Squire, P. Usability Comparisons of Head-Mounted vs. Stereoscopic Desktop Displays in a Virtual Reality Environment with Pain Patients. Stud. Health Technol. Inform. 2016, 220, 424–431. [Google Scholar] [CrossRef] [PubMed]
- Higuera-Trujillo, J.L.; Maldonado, J.L.-T.; Millán, C.L. Psychological and physiological human responses to simulated and real environments: A comparison between Photographs, 360 Panoramas, and Virtual Reality. Appl. Ergon. 2017, 65, 398–409. [Google Scholar] [CrossRef]
- Dreyer, B.C.; Coulombe, S.; Whitney, S.; Riemer, M.; Labbé, D. Beyond exposure to outdoor nature: Exploration of the benefits of a green building’s indoor environment on wellbeing. Front. Psychol. 2018, 9, 1583. [Google Scholar] [CrossRef]
- Bowman, D.A.; McMahan, R.P. Virtual reality: How much immersion is enough? Computer 2007, 40, 36–43. [Google Scholar] [CrossRef]
- Jager, J.; Putnick, D.L.; Bornstein, M.H., II. More than just convenient: The scientific merits of homogeneous convenience samples. Monogr. Soc. Res. Child. Dev. 2017, 82, 13–30. [Google Scholar] [CrossRef]
- Setz, C.; Arnrich, B.; Schumm, J.; La Marca, R.; Tröster, G.; Ehlert, U. Discriminating stress from cognitive load using a wearable EDA device. IEEE Trans. Inf. Technol. Biomed. 2010, 14, 410–417. [Google Scholar] [CrossRef]
- Kjellgren, A.; Buhrkall, H. A comparison of the restorative effect of a natural environment with that of a simulated natural environment. J. Environ. Psychol. 2010, 30, 464–472. [Google Scholar] [CrossRef]
- Valtchanov, D.; Barton, K.R.; Ellard, C. Restorative effects of virtual nature settings. Cyberpsychol. Behav. Soc. Netw. 2010, 13, 503–512. [Google Scholar] [CrossRef] [PubMed]
- Brown, D.K.; Barton, J.L.; Gladwell, V.F. Viewing nature scenes positively affects recovery of autonomic function following acute-mental stress. Environ. Sci. Technol. 2013, 47, 5562–5569. [Google Scholar] [CrossRef] [PubMed]
- Liu, C.-L.; Uang, S.-T. Effects of depth perception cues and display types on presence and cybersickness in the elderly within a 3D virtual store. J. Ambient Intell. Humaniz. Comput. 2016, 7, 763–775. [Google Scholar] [CrossRef]
- Liu, C.-L.; Uang, S.-T. Measurement and prediction of cybersickness on older users caused by a virtual environment. In Proceedings of the International Conference on Universal Access in Human-Computer Interaction, Beijing, China, 22–27 July 2007; pp. 666–675. [Google Scholar] [CrossRef]
- Lee, E.-J.; Park, S.-J. A Preference-Driven Smart Home Service for the Elderly’s Biophilic Experience. Sensors 2021, 21, 5108. [Google Scholar] [CrossRef] [PubMed]
- Fernández, M.D.M.; Hernández, J.D.S.; Gutiérrez, J.M.; Escuela, M.R.H.; Fino, E.R. Using communication and visualization technologies with senior citizens to facilitate cultural access and self-improvement. Comput. Hum. Behav. 2017, 66, 329–344. [Google Scholar] [CrossRef]
- Murovec, B.; Spaniol, J.; Campos, J.L.; Keshavarz, B. Enhanced vection in older adults: Evidence for age-related effects in multisensory vection experiences. Perception 2022, 51, 698–714. [Google Scholar] [CrossRef]
- Knaust, T.; Felnhofer, A.; Kothgassner, O.D.; Höllmer, H.; Gorzka, R.-J.; Schulz, H. Exposure to virtual nature: The impact of different immersion levels on skin conductance level, heart rate, and perceived relaxation. Virtual Real. 2022, 26, 925–938. [Google Scholar] [CrossRef]
- Yeo, N.; White, M.; Alcock, I.; Garside, R.; Dean, S.; Smalley, A.; Gatersleben, B. What is the best way of delivering virtual nature for improving mood? An experimental comparison of high definition TV, 360 video, and computer generated virtual reality. J. Environ. Psychol. 2020, 72, 101500. [Google Scholar] [CrossRef]
- Berto, R. The role of nature in coping with psycho-physiological stress: A literature review on restorativeness. Behav. Sci. 2014, 4, 394–409. [Google Scholar] [CrossRef]
- Bakker, J.; Pechenizkiy, M.; Sidorova, N. What’s your current stress level? Detection of stress patterns from GSR sensor data. In Proceedings of 2011 IEEE 11th International Conference on Data Mining Workshops, Vancouver, BC, Canada, 11 December 2011; pp. 573–580. [Google Scholar] [CrossRef]
- Jiang, B.; Chang, C.-Y.; Sullivan, W.C. A dose of nature: Tree cover, stress reduction, and gender differences. Landsc. Urban Plan. 2014, 132, 26–36. [Google Scholar] [CrossRef]
- Lim, H.-J.; Yoo, S.-K.; Jang, W.S. Analysis of Galvanic Skin Response Signal for High-Arousal Negative Emotion Using Discrete Wavelet Transform. Sci. Emot. Sensi. B 2017, 20, 13–22. [Google Scholar] [CrossRef]
- Slater, M.; Wilbur, S. A framework for immersive virtual environments (FIVE): Speculations on the role of presence in virtual environments. Presence Teleoperators Virtual Environ. 1997, 6, 603–616. [Google Scholar] [CrossRef]
- WHO. WHO Guidelines for Indoor Air Quality: Dampness and Mould. Available online: https://www.who.int/publications/i/item/9789289041683 (accessed on 10 May 2022).
- Shin, Y. A study on application of the elements of healing design according to functional space of senior activity centers- with a focus on the effects of color and image of nature on a sense of comfort. J. Integr. Des. Res. 2016, 15, 123–136. [Google Scholar] [CrossRef]
- Senn, S. Change from baseline and analysis of covariance revisited. Stat. Med. 2006, 25, 4334–4344. [Google Scholar] [CrossRef]
- Browning, W.D.; Ryan, C.O.; Clancy, J.O. Patterns of Biophilic Design; Terrapin Bright Green, LLC: New York, NY, USA, 2014. [Google Scholar]









| Biophilic Design Experience | Biophilic Residential Planning | |
|---|---|---|
| Direct experience of nature | Physical |
|
| Digital |
| |
| Indirect experience of nature | Physical |
|
| Digital |
| |
| Experience of space and place | Physical |
|
| Digital |
| |
| Parameters | Applications | Limitations/Opportunities |
|---|---|---|
| Subjects and Sample size |
| |
| VE setting |
|
|
| Exposure time |
|
|
| Physiological measuring | ||
| VE devices and sensors | ||
| Experimental environment |
|
| Outcomes | Biophilic Residential Environments (Exposure) | Baseline (Mean ± SD) | ||||
|---|---|---|---|---|---|---|
| Unit (Mean ± SD) | Building (Mean ± SD) | Complex (Mean ± SD) | Total (Mean ± SD) | |||
| Physiological response | HR (bpm) | 66.35 ± 9.12 | 69.47 ± 8.99 | 67.23 ± 10.50 | 67.68 ± 9.65 | 69.19 ± 6.53 |
| GSR (μSiemens) | 0.467 ± 0.17 | 0.506 ± 0.17 | 0.497 ± 0.19 | 0.489 ± 0.176 | 0.589 ± 0.244 | |
| HRV (ms) | 68.06 ± 14.98 | 63.51 ± 15.63 | 64.88 ± 14.80 | 65.15 ± 15.28 | 62.26 ± 11.83 | |
| Self-reported perception (Likert 5) | Satisfaction | 4.13 ± 1.01 | 3.87 ± 1.25 | 3.90 ± 0.99 | 3.97 ± 1.10 | - |
| Immersion | 4.10 ± 1.03 | 3.70 ± 0.99 | 3.83 ± 1.12 | 3.88 ± 1.13 | ||
| Variable | SS | df | F | p | η2 |
|---|---|---|---|---|---|
| Δ HR (bpm) | 174.108 | 2 | 1.584 | 0.214 | 0.052 |
| Δ GSR (μSiemens) | 382.690 | 2 | 0.970 | 0.378 | 0.032 |
| Δ HRV (ms) | 1.564 | 2 | 0.651 | 0.525 | 0.022 |
Disclaimer/Publisher’s Note: The statements, opinions and data contained in all publications are solely those of the individual author(s) and contributor(s) and not of MDPI and/or the editor(s). MDPI and/or the editor(s) disclaim responsibility for any injury to people or property resulting from any ideas, methods, instructions or products referred to in the content. |
© 2024 by the authors. Licensee MDPI, Basel, Switzerland. This article is an open access article distributed under the terms and conditions of the Creative Commons Attribution (CC BY) license (https://creativecommons.org/licenses/by/4.0/).
Share and Cite
Lee, E.-J.; Park, S.-J.; Choi, J.-H. Effect of a Virtual Biophilic Residential Environment on the Perception and Responses of Seniors. Appl. Sci. 2024, 14, 11431. https://doi.org/10.3390/app142311431
Lee E-J, Park S-J, Choi J-H. Effect of a Virtual Biophilic Residential Environment on the Perception and Responses of Seniors. Applied Sciences. 2024; 14(23):11431. https://doi.org/10.3390/app142311431
Chicago/Turabian StyleLee, Eun-Ji, Sung-Jun Park, and Joon-Ho Choi. 2024. "Effect of a Virtual Biophilic Residential Environment on the Perception and Responses of Seniors" Applied Sciences 14, no. 23: 11431. https://doi.org/10.3390/app142311431
APA StyleLee, E.-J., Park, S.-J., & Choi, J.-H. (2024). Effect of a Virtual Biophilic Residential Environment on the Perception and Responses of Seniors. Applied Sciences, 14(23), 11431. https://doi.org/10.3390/app142311431
