Exploring Structural Changes in Ge-Te Amorphous Films Through Small-Angle Neutron Scattering
Abstract
1. Introduction
2. Materials and Methods
2.1. Sample Preparation
2.2. Small-Angle Neutron Scattering
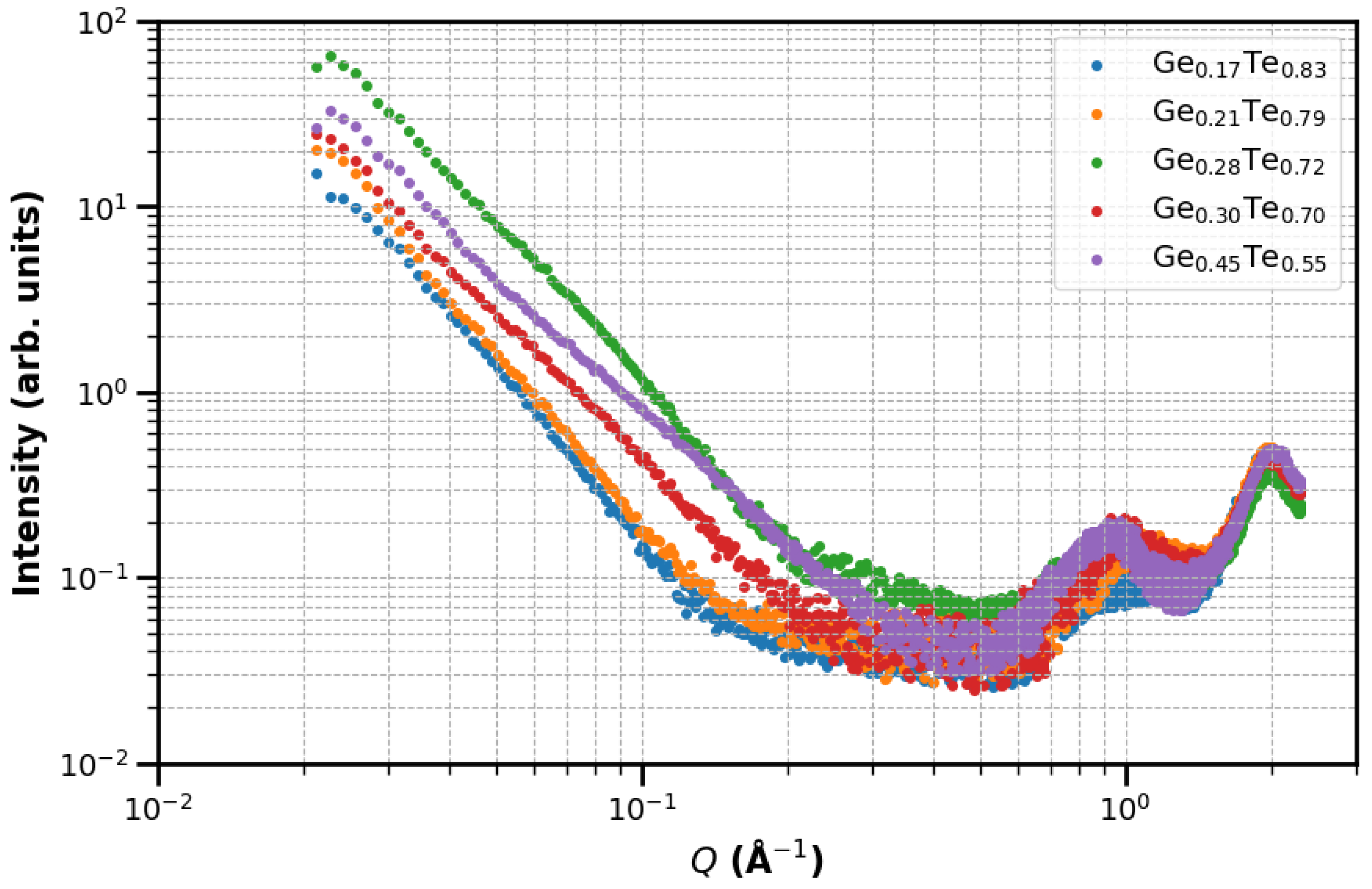
3. Results
4. Discussion
4.1. Low-Q Region: Porod’s Region
4.2. High-Q Region: Diffraction Region
4.2.1. Peak Positions
4.2.2. Peak Widths
5. Conclusions
Author Contributions
Funding
Institutional Review Board Statement
Informed Consent Statement
Data Availability Statement
Acknowledgments
Conflicts of Interest
Abbreviations
| CD-RW | Compact Disc ReWritable |
| CNRS | Conseil National de la Recherche Scientifique |
| DVD-RW | Digital Versatile Disc ReWritable |
| ENSCM | École Nationale Supérieure de Chimie de Montpellier |
| EPMA | Electron-Probe Micro-Analysis |
| EXAFS | Extended X-ray absorption fine structure |
| FSDP | First Sharp Diffraction Peak |
| FWHM | Full width at half maximum |
| ICGM | Institut Charles Gerhardt Montpellier |
| ILL | Institut Laue Langevin |
| IRO | Intermediate-range order |
| LAMP | Large Array Manipulation Program |
| MLC | Multi-level cell |
| PC-RAM | Phase-Change Random-Access Memory |
| PCM | Phase-Change Materials |
| PP | Principal Peak |
| RMC | Reverse Monte Carlo |
| SANS | Small-angle neutron scattering |
| SRO | Short-range order |
| WANS | Wide-Angle Neutron Scattering |
References
- Noé, P.; Vallée, C.; Hippert, F.; Fillot, F.; Raty, J.-Y. Phase-change materials for non-volatile memory devices: From technological challenges to materials science issues. Semicond. Sci. Technol. 2018, 33, 013002. [Google Scholar] [CrossRef]
- Nandihall, N. Thermoelectric films and periodic structures and spin Seebeck effect systems: Facets of performance optimization. Mater. Today Energy 2022, 25, 100965. [Google Scholar] [CrossRef]
- Hong, M.; Chen, Z.-G. Chemistry in Advancing Thermoelectric GeTe Materials. Acc. Chem. Res. 2022, 55, 3178. [Google Scholar] [CrossRef] [PubMed]
- Ovshinsky, S.R. Reversible Electrical Switching Phenomena in Disordered Structures. Phys. Rev. Lett. 1968, 21, 1450. [Google Scholar] [CrossRef]
- Bruns, G.; Merkelbach, P.; Schlockermann, C.; Salinga, M.; Wuttig, M.; Happ, T.D.; Philipp, J.B.; Kund, M. Nanosecond switching in GeTe phase change memory cells. Appl. Phys. Lett. 2009, 95, 043108. [Google Scholar] [CrossRef]
- Wuttig, M. Towards a universal memory? Nat. Mater. 2005, 4, 265. [Google Scholar] [CrossRef]
- Yamada, N. Erasable Phase-Change Optical Materials. Mater. Res. Soc. Bull. 1996, 21, 48. [Google Scholar] [CrossRef]
- Noé, P.; Hippert, F. Phase Change Memory; Redaelli, A., Ed.; Springer: Cham, Switzerland, 2018; pp. 125–179. [Google Scholar]
- Wuttig, M.; Yamada, N. Phase-change materials for rewriteable data storage. Nat. Mater. 2007, 6, 824. [Google Scholar] [CrossRef] [PubMed]
- Wang, J.; Dong, X.; Sun, G.; Niu, D.; Xie, Y. Energy-efficient multi-level cell phase-change memory system with data encoding. In Proceedings of the IEEE 29th International Conference on Computer Design (ICCD), Amherst, MA, USA, 9–12 October 2011; pp. 175–182. [Google Scholar]
- Karpov, I.V.; Mitra, M.; Kau, D.; Spadini, G.; Kryukov, Y.A.; Karpov, V.G. Fundamental drift of parameters in chalcogenide phase change memory. J. Appl. Phys. 2007, 102, 124503. [Google Scholar] [CrossRef]
- Noé, P.; Sabbione, C.; Castellani, N.; Veux, G.; Navarro, G.; Sousa, V.; Hippert, F.; d’Acapito, F. Structural change with the resistance drift phenomenon in amorphous GeTe phase change materials’ thin films. J. Phys. D Appl. Phys. 2016, 49, 035305. [Google Scholar] [CrossRef]
- Pries, J.; Stenz, C.; Schäfer, L.; Gutsche, A.; Wei, S.; Lucas, P.; Wuttig, M. Resistance Drift Convergence and Inversion in Amorphous Phase Change Materials. Adv. Funct. Mater. 2022, 32, 2207194. [Google Scholar] [CrossRef]
- Maeda, Y.; Wakagi, M. Ge K-Edge Extended X-Ray Absorption Fine Structure Study of the Local Structure of Amorphous GeTe and the Crystallization. Jpn. J. Appl. Phys. 1991, 30, 101. [Google Scholar] [CrossRef]
- Hirota, K.; Nagino, K.; Ohbayashi, G. Local structure of amorphous GeTe and PdGeSbTe alloy for phase change optical recording. J. Appl. Phys. 1997, 82, 65. [Google Scholar] [CrossRef]
- Sen, S.; Joshi, S.; Aitken, B.G.; Khalid, S. Atomic structure and chemical order in binary Ge–Te and As–Te glasses: A Te K-edge X-ray absorption fine structure spectroscopic study. J. Non-Cryst. Solids 2008, 354, 4620. [Google Scholar] [CrossRef]
- Stellhorn, J.R.; Hosokawa, S.; Pilgrim, W.-C.; Blanc, N.; Boudet, N.; Tajiri, H.; Kohara, S. Short- and intermediate-range order in amorphous GeTe. Phys. Status Solidi B 2016, 253, 1038. [Google Scholar] [CrossRef]
- Kameda, Y.; Uemura, O.; Usuki, T. Time-of-Flight Neutron Diffraction Study of Amorphous and Liquid Ge–Te Alloys. Mater. Trans. 1996, 37, 1655. [Google Scholar] [CrossRef]
- Stellhorn, J.R.; Hosokawa, S.; Kaiser, B.; Kimura, K.; Boudet, N.; Blanc, N.; Tajiri, H.; Kohara, S.; Pilgrim, W.-C. The structure of the amorphous (GeTe)1−x(Sb2Te3)x system and implications for its phase-change properties. Z. Phys. Chem. 2021, 235, 141. [Google Scholar] [CrossRef]
- Akola, J.; Jones, R.O. Structural phase transitions on the nanoscale: The crucial pattern in the phase change materials Ge2Sb2Te5 and GeTe. Phys. Rev. B 2007, 76, 235201. [Google Scholar] [CrossRef]
- Gunasekera, K.; Boolchand, P.; Micoulaut, M. Effect of mixed Ge/Si cross-linking on the physical properties of amorphous Ge-Si-Te networks. J. Appl. Phys. 2014, 115, 164905. [Google Scholar] [CrossRef]
- Bouzid, A.; Massobrio, C.; Boero, M.; Ori, G.; Sykina, K.; Furet, E. Role of the van der Waals interactions and impact of the exchange-correlation functional in determining the structure of glassy GeTe4. Phys. Rev. B 2015, 92, 134208. [Google Scholar] [CrossRef]
- Luckas, J.; Olk, A.; Jost, P.; Volker, H.; Alvarez, J.; Jaffré, A.; Zalden, P.; Piarristeguy, A.; Pradel, A.; Longeaud, C.; et al. Impact of Maxwell rigidity transitions on resistance drift phenomena in GexTe1−x glasses. Appl. Phys. Lett. 2014, 105, 092108. [Google Scholar] [CrossRef]
- Jóvári, P.; Piarristeguy, A.A.; Escalier, R.; Kaban, I.; Bednarcik, J.; Pradel, A. Short range order and stability of amorphous GexTe100−x alloys (12 ≤ x ≤ 44.6). J. Phys. Condens. Matter 2013, 25, 195401. [Google Scholar] [CrossRef] [PubMed]
- Piarristeguy, A.A.; Micoulaut, M.; Escalier, R.; Jóvári, P.; Kaban, I.; van Eijk, J.; Luckas, J.; Ravindren, S.; Boolchand, P.; Pradel, A. Structural singularities in GexTe100−x films. J. Chem. Phys. 2015, 143, 074502. [Google Scholar] [CrossRef]
- Piarristeguy, A.; Pradel, A.; Raty, J.-Y. Phase-change materials and rigidity. MRS Bull. 2017, 42, 45. [Google Scholar] [CrossRef]
- Phillips, J.C. Topology of Covalent Non-Crystalline Solids I: Short-Range Order in Chalcogenide Alloys. J. Non-Cryst. Solids 1979, 34, 153. [Google Scholar] [CrossRef]
- Thorpe, M.F. Continuous deformations in random networks. J. Non-Cryst. Solids 1983, 57, 355. [Google Scholar] [CrossRef]
- Wright, A.C. Neutron and X-ray amorphography. J. Non-Cryst. Solids 1988, 106, 1. [Google Scholar] [CrossRef]
- Elliot, S.R. Medium-range structural order in covalent amorphous solids. Nature 1991, 354, 445. [Google Scholar] [CrossRef]
- Porod, G. Small Angle X-Ray Scattering; Glatter, O., Kratky, O., Eds.; Academic Press: London, UK, 1982; pp. 17–51. ISBN 0-12-286280-5. [Google Scholar]
- Richard, D.; Ferrand, M.; Kearley, G.J. Analysis and Visualisation of Neutron-Scattering Data. J. Neutron Res. 1996, 4, 33. [Google Scholar] [CrossRef]
- Sinha, S.K.; Sirota, E.B.; Stanley, H.B. X-ray and neutron scattering from rough surfaces. Phys. Rev. B 1988, 38, 2297. [Google Scholar] [CrossRef] [PubMed]
- Salmon, P.S.; Martin, R.A.; Mason, P.E.; Cuello, G.J. Topological versus chemical ordering in network glasses at intermediate and extended length scales. Nature 2005, 435, 75. [Google Scholar] [CrossRef] [PubMed]





| 0.17 | 0.21 | 0.28 | 0.30 | 0.45 | |
|---|---|---|---|---|---|
| 9.93 (29) | 9.15 (26) | 206.6 (3.2) | 85.2 (1.8) | 95.5 (1.9) | |
| 3.1689 (88) | 3.2487 (86) | 2.7587 (47) | 2.6770 (64) | 2.7897 (60) | |
| 2.52 (17) | 3.89 (14) | 2.40 (58) | 2.46 (21) | 7.25 (20) |
| FSDP | PP | FSDP | PP | ||
|---|---|---|---|---|---|
| A | A | ||||
| Q | Q | ||||
| D | D | ||||
| FSDP | PP | ||||
| A | |||||
| Q | |||||
| D | |||||
| FSDP | PP | FSDP | PP | ||
| A | A | ||||
| Q | Q | ||||
| D | D |
Disclaimer/Publisher’s Note: The statements, opinions and data contained in all publications are solely those of the individual author(s) and contributor(s) and not of MDPI and/or the editor(s). MDPI and/or the editor(s) disclaim responsibility for any injury to people or property resulting from any ideas, methods, instructions or products referred to in the content. |
© 2024 by the authors. Licensee MDPI, Basel, Switzerland. This article is an open access article distributed under the terms and conditions of the Creative Commons Attribution (CC BY) license (https://creativecommons.org/licenses/by/4.0/).
Share and Cite
Piarristeguy, A.A.; Escalier, R.; Pradel, A.; Cristiglio, V.; Cuello, G.J. Exploring Structural Changes in Ge-Te Amorphous Films Through Small-Angle Neutron Scattering. Appl. Sci. 2024, 14, 11713. https://doi.org/10.3390/app142411713
Piarristeguy AA, Escalier R, Pradel A, Cristiglio V, Cuello GJ. Exploring Structural Changes in Ge-Te Amorphous Films Through Small-Angle Neutron Scattering. Applied Sciences. 2024; 14(24):11713. https://doi.org/10.3390/app142411713
Chicago/Turabian StylePiarristeguy, Andrea A., Raphaël Escalier, Annie Pradel, Viviana Cristiglio, and Gabriel J. Cuello. 2024. "Exploring Structural Changes in Ge-Te Amorphous Films Through Small-Angle Neutron Scattering" Applied Sciences 14, no. 24: 11713. https://doi.org/10.3390/app142411713
APA StylePiarristeguy, A. A., Escalier, R., Pradel, A., Cristiglio, V., & Cuello, G. J. (2024). Exploring Structural Changes in Ge-Te Amorphous Films Through Small-Angle Neutron Scattering. Applied Sciences, 14(24), 11713. https://doi.org/10.3390/app142411713

