The Effect of Inulin Addition on Rice Dough and Bread Characteristics
Abstract
Featured Application
Abstract
1. Introduction
2. Materials and Methods
2.1. Material
2.2. Dough Behavior during Uniaxial Deformation
2.3. Rheological Characterization of Dough during Heating
2.4. Bread Preparation
2.5. Properties of Breadcrumbs
2.6. Sensory Evaluation
2.7. Statistical Analysis
3. Results and Discussion
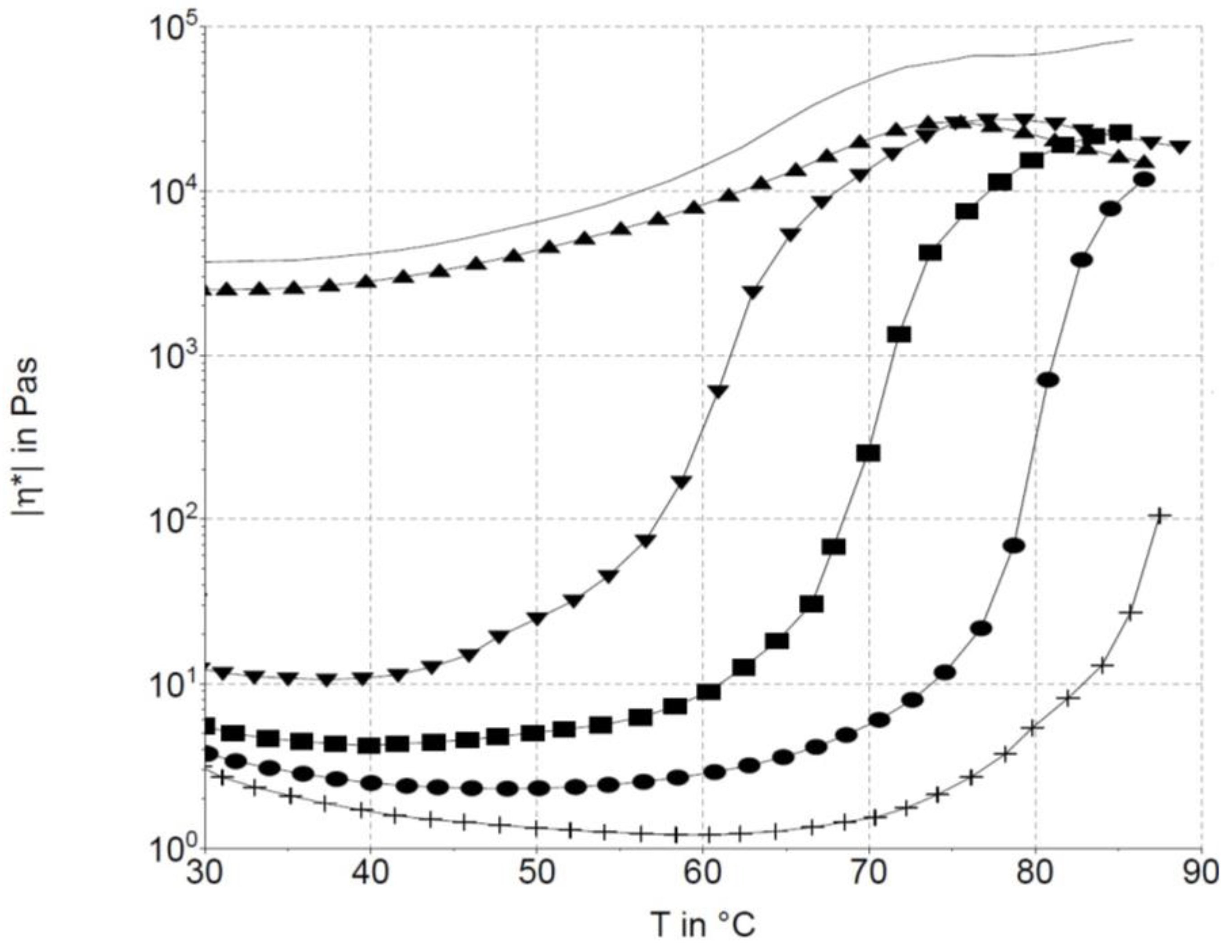
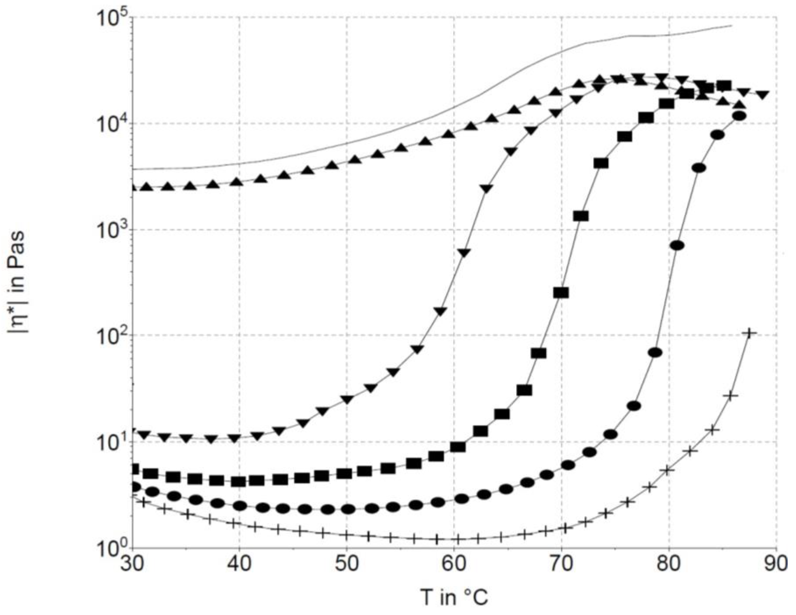
3.1. The Effect of Inulin on Dough Characteristics
3.2. Effect of Inulin on Bread Characteristics
3.3. Effect of Inulin on Sensory Characteristics of Bread
4. Conclusions
Author Contributions
Funding
Institutional Review Board Statement
Informed Consent Statement
Data Availability Statement
Acknowledgments
Conflicts of Interest
References
- Redondo-Cuenca, A.; Herrera-Vázquez, S.E.; Condezo-Hoyos, L.; Gómez-Ordóñez, E.; Rupérez, P. Inulin extraction from common inulin-containing plant sources. Ind. Crops Prod. 2021, 170, 113726. [Google Scholar] [CrossRef]
- Kaur, N.; Gupta, A.K. Applications of inulin and oligofructose in health and nutrition. J. Biosci. 2002, 27, 703–714. [Google Scholar] [CrossRef] [PubMed]
- Roberfroid, M.B. Introducing inulin-type fructans. Br. J. Nutr. 2005, 93, S13–S25. [Google Scholar] [CrossRef] [PubMed]
- Roberfroid, M.B. Inulin-type fructans: Functional food ingredients. J. Nutr. 2007, 137, 2493S–2502S. [Google Scholar] [CrossRef] [PubMed]
- Shoaib, M.; Shehzad, A.; Omar, M.; Rakha, A.; Raza, H.; Sharif, H.R.; Shakeel, A.; Ansari, A.; Niazi, S. Inulin: Properties, health benefits and food applications. Carbohyd. Polym. 2016, 147, 444–454. [Google Scholar] [CrossRef] [PubMed]
- Commission Regulation (EU) 2015/2314 of 7 December 2015 Authorising a Health Claim Made on Foods, Other than Those Referring to the Reduction of Disease Risk and to Children’s Development and Health and Amending Regulation (EU) No 432/2012 (Text with EEA Relevance). Available online: https://eur-lex.europa.eu/legal-content/en/ALL/?uri=CELEX%3A32015R2314 (accessed on 14 February 2024).
- Morris, C.; Morris, G.A. The effect of inulin and fructo-oligosaccharide supplementation on the textural, rheological and sensory properties of bread and their role in weight management: A review. Food Chem. 2012, 133, 237–248. [Google Scholar] [CrossRef] [PubMed]
- Niness, K.R. Inulin and oligofructose: What are they? J. Nutr. 1999, 129, 1402S–1406S. [Google Scholar] [CrossRef] [PubMed]
- Meyer, D. Inulin. In Handbook of Hydrocolloids; Phillips, G.O., Williams, P.A., Eds.; CRC Press: Boca Raton, FL, USA, 2009; pp. 829–848. [Google Scholar]
- Mohammadi, F.; Shiri, A.; Tahmouzi, S.; Mollakhalili-Meybodi, N.; Nematollahi, A. Application of inulin in bread: A review of technological properties and factors affecting its stability. Food Sci. Nutr. 2023, 11, 639–650. [Google Scholar] [CrossRef]
- Regulation (EC) No 1333/2008 of The European Parliament and of The Council of 16 December 2008 on Food Additives (Text with EEA Relevance). Available online: https://eur-lex.europa.eu/legal-content/EN/TXT/HTML/?uri=CELEX:32008R1333 (accessed on 14 February 2024).
- Wouters, R. Inulin. In Stabilisers, Thickeners and Gelling Agents; Imerson, A., Ed.; John Wiley and Sons, Ltd.: Chichester, UK, 2010; pp. 180–197. [Google Scholar]
- Alencar, N.M.M.; de Araújo, V.A.; Faggian, L.; da Silveira Araújo, M.B.; Capriles, V.D. What about gluten-free products? An insight on celiac consumers’ opinions and expectations. J. Sens. Stud. 2021, 36, e12664. [Google Scholar] [CrossRef]
- Aguiar, E.V.; Santos, F.G.; Krupa-Kozak, U.; Capriles, V.D. Nutritional facts regarding commercially available gluten-free bread worldwide: Recent advances and future challenges. Crit. Rev. Food Sci. 2023, 63, 693–705. [Google Scholar] [CrossRef]
- Roman, L.; Belorio, M.; Gomez, M. Gluten-free breads: The gap between research and commercial reality. Compr. Rev. Food Sci. Food Saf. 2019, 18, 690–702. [Google Scholar] [CrossRef] [PubMed]
- Goesaert, H.; Brijs, K.; Veraverbeke, W.S.; Courtin, C.M.; Gebruers, K.; Delcour, J.A. Wheat flour constituents: How they impact bread quality, and how to impact their functionality. Trends Food Sci. Technol. 2005, 16, 12–30. [Google Scholar] [CrossRef]
- Avramenko, N.A.; Tyler, R.T.; Scanlon, M.G.; Hucl, P.; Nickerson, M.T. The chemistry of bread making: The role of salt to ensure optimal functionality of its constituents. Food Rev. Int. 2018, 34, 204–225. [Google Scholar] [CrossRef]
- Taylor, J.R.; Taylor, J.; Campanella, O.H.; Hamaker, B.R. Functionality of the storage proteins in gluten-free cereals and pseudocereals in dough systems. J. Cereal Sci. 2016, 67, 22–34. [Google Scholar] [CrossRef]
- Arendt, E.K.; Dal Bello, F. Functional cereal products for those with gluten intolerance. In Technology of Functional Cereal Products; Hamaker, B.R., Ed.; Woodhead Publishing: Cambridge, UK, 2007; pp. 446–475. [Google Scholar]
- Matos, M.E.; Rosell, C.M. Understanding gluten-free dough for reaching breads with physical quality and nutritional balance. J. Sci. Food Agr. 2015, 95, 653–661. [Google Scholar] [CrossRef] [PubMed]
- Gujral, H.S.; Rosell, C.M. Improvement of the breadmaking quality of rice flour by glucose oxidase. Food Res. Int. 2004, 37, 75–81. [Google Scholar] [CrossRef]
- Vici, G.; Belli, L.; Biondi, M.; Polzonetti, V. Gluten free diet and nutrient deficiencies: A review. Clin. Nutr. 2016, 35, 1236–1241. [Google Scholar] [CrossRef]
- Matos Segura, M.E.; Rosell, C.M. Chemical composition and starch digestibility of different gluten-free breads. Plant Foods Hum. Nutr. 2011, 66, 224–230. [Google Scholar] [CrossRef]
- Romão, B.; Botelho, R.B.A.; Alencar, E.R.; da Silva, V.S.N.; Pacheco, M.T.B.; Zandonadi, R.P. Chemical composition and glycemic index of gluten-free bread commercialized in Brazil. Nutrients 2020, 12, 2234. [Google Scholar] [CrossRef]
- Sciarini, L.S.; Bustos, M.C.; Vignola, M.B.; Paesani, C.; Salinas, C.N.; Perez, G.T. A study on fibre addition to gluten free bread: Its effects on bread quality and in vitro digestibility. J. Food Sci. Technol. 2017, 54, 244–252. [Google Scholar] [CrossRef]
- Ziobro, R.; Korus, J.; Juszczak, L.; Witczak, T. Influence of inulin on physical characteristics and staling rate of gluten-free bread. J. Food Eng. 2013, 116, 21–27. [Google Scholar] [CrossRef]
- Shiri, A.; Ehrampoush, M.H.; Yasini Ardakani, S.A.; Shamsi, F.; Mollakhalili-Meybodi, N. Technological characteristics of inulin enriched gluten-free bread: Effect of acorn flour replacement and fermentation type. Food Sci. Nutr. 2021, 9, 6139–6151. [Google Scholar] [CrossRef]
- Smewing, J. Measurement of Dough and Gluten Extensibility Using the SMS/Kieffer Rig and the TA.XT2 Texture Analyser; Stable Micro Systems Ltd.: Godalming, UK, 1995; 20p. [Google Scholar]
- Trinh, K.T.; Glasgow, S. On the texture profile analysis test. In Proceedings of the Chemeca, Wellington, New Zealand, 23–26 September 2012. [Google Scholar]
- ISO 8586; Sensory Analysis—General Guidelines for the Selection, Training and Monitoring of Selected Assessors and Expert Sensory Assessors. International Organization for Standardization: Geneva, Switzerland, 2012.
- Elia, M. A procedure for sensory evaluation of bread: Protocol developed by a trained panel. J. Sens. Stud. 2011, 26, 269–277. [Google Scholar] [CrossRef]
- ISO 8589; Sensory Analysis—General Guidance for the Design of Test Rooms. International Organization for Standardization: Geneva, Switzerland, 2007.
- Liu, Y.; Leng, Y.; Xiao, S.; Zhang, Y.; Ding, W.; Ding, B.; Wu, Y.; Wang, X.; Fu, Y. Effect of inulin with different degrees of polymerization on dough rheology, gelatinization, texture and protein composition properties of extruded flour products. LWT 2022, 159, 113225. [Google Scholar] [CrossRef]
- Luo, D.; Liang, X.; Xu, B.; Kou, X.; Li, P.; Han, S.; Liu, J.; Zhou, L. Effect of inulin with different degree of polymerization on plain wheat dough rheology and the quality of steamed bread. J. Cereal Sci. 2017, 75, 205–212. [Google Scholar] [CrossRef]
- Juszczak, L.; Witczak, T.; Ziobro, R.; Korus, J.; Cieślik, E.; Witczak, M. Effect of inulin on rheological and thermal properties of gluten-free dough. Carbohyd. Polym. 2012, 90, 353–360. [Google Scholar] [CrossRef]
- Burešová, I.; Kráčmar, S.; Dvořáková, P.; Středa, T. The relationship between rheological characteristics of gluten-free dough and the quality of biologically leavened bread. J. Cereal Sci. 2014, 60, 271–275. [Google Scholar] [CrossRef]
- Hager, A.S.; Ryan, A.M.; Schwab, C.; Gänzle, M.G.; O’Doherty, J.V.; Arendt, E.K. Influence of the soluble fibres inulin and oat β-glucan on quality of dough and bread. Eur. Food Res. Technol. 2011, 232, 405–413. [Google Scholar] [CrossRef]
- Tester, R.F.; Sommerville, M.D. The effects of non-starch polysaccharides on the extent of gelatinization, swelling and α-amylase hydrolysis of maize and wheat starches. Food Hydrocoll. 2003, 17, 41–54. [Google Scholar] [CrossRef]
- Chen, Y.; Li, X.; Xu, F.; Yu, Q.; Zhang, Q. Effects of inulin with different polymerisation degrees on dough rheology and water distribution in the fresh noodles. Int. J. Food Sci. Technol. 2023, 58, 5418–5429. [Google Scholar] [CrossRef]
- Hu, X.; Cheng, L.; Hong, Y.; Li, Z.; Li, C.; Gu, Z. An extensive review: How starch and gluten impact dough machinability and resultant bread qualities. Crit. Rev. Food Sci. 2023, 63, 1930–1941. [Google Scholar] [CrossRef] [PubMed]
- Peressini, D.; Sensidoni, A. Effect of soluble dietary fibre addition on rheological and breadmaking properties of wheat doughs. J. Cereal Sci. 2009, 49, 190–201. [Google Scholar] [CrossRef]
- Capriles, V.D.; Arêas, J.A. Effects of prebiotic inulin-type fructans on structure, quality, sensory acceptance and glycemic response of gluten-free breads. Food Funct. 2013, 4, 104–110. [Google Scholar] [CrossRef] [PubMed]
- Rubel, I.A.; Pérez, E.E.; Manrique, G.D.; Genovese, D.B. Fibre enrichment of wheat bread with Jerusalem artichoke inulin: Effect on dough rheology and bread quality. Food Struct. 2015, 3, 21–29. [Google Scholar] [CrossRef]
- Český Statistický Úřad. Available online: https://www.czso.cz/csu/xj/spotreba-potravin-1948-az-2022-v-grafech (accessed on 10 March 2024).
- UCSF. Available online: https://www.ucsfhealth.org/education/increasing-fiber-intake (accessed on 10 March 2024).



| Inulin (%) | Rm (mN) | Area (mN mm) | E (mm) | 
|---|---|---|---|
| 0 | 131 ± 13 a | 704 ± 90 a | 8.5 ± 0.4 b | 
| 5 | 57 ± 9 b | 683 ± 90 a | 10.2 ± 0.9 a | 
| 10 | 60 ± 7 b | 472 ± 90 b | 12.1 ± 0.9 a | 
| 20 | 64 ± 6 b | 382 ± 95 bc | 12.3 ± 0.9 a | 
| 30 | 67 ± 6 b | 442 ± 80 b | 11.4 ± 0.4 a | 
| 40 | 57 ± 2 b | 306 ± 70 c | 8.9 ± 0.3 b | 
| Inulin (%) | Loaf-Specific Volume (mL/g) | Baking Losses (%) | Hardness (N) | Springiness (%) | Cohesiveness (%) | Resilience (%) | Adhesiveness (N s) | Chewiness (J) | Porosity (%) | 
|---|---|---|---|---|---|---|---|---|---|
| 0 | 1.16 ± 0.07 e | 15.1 ± 0.2 c | 24 ± 4 a | 79 ± 6 ab | 78 ± 5 a | 47 ± 2 a | 0.33 ± 0.09 a | 15.1 ± 3.5 a | 36 | 
| 5 | 1.17 ± 0.02 e | 15.6 ± 0.2 c | 23 ± 3 a | 77 ± 6 ab | 77 ± 2 ab | 45 ± 2 ab | 0.16 ± 0.09 ab | 13.5 ± 2.9 a | 58 | 
| 10 | 1.41 ± 0.02 b | 16.8 ± 0.3 b | 17 ± 2 b | 77 ± 6 ab | 79 ± 3 a | 48 ± 3 a | 0.22 ± 0.09 a | 12.1 ± 1.7 a | 55 | 
| 20 | 1.35 ± 0.02 c | 16.7 ± 0.2 b | 16 ± 3 b | 70 ± 8 ab | 75 ± 3 ab | 41 ± 4 bc | 0.05 ± 0.02 b | 10.4 ± 2.9 a | 57 | 
| 30 | 1.48 ± 0.02 a | 18.5 ± 0.2 a | 18 ± 4 ab | 83 ± 2 a | 80 ± 5 a | 48 ± 3 a | 0.02 ± 0.02 b | 8.1 ± 0.9 b | 55 | 
| 40 | 1.29 ± 0.02 d | 17.1 ± 0.5 b | 20 ± 4 ab | 63 ± 8 b | 72 ± 4 b | 39 ± 3 c | 0.04 ± 0.02 b | 8.1 ± 1.0 b | 33 | 
| Inulin (%) | Crust Color | Crumb Color | Crumb Hardness | Pore (Size, Uniformity) | Flavor Intensity | Flavor Aftertaste | Overall Acceptability | 
|---|---|---|---|---|---|---|---|
| 0 | 5 a | 4 a | 5 ab | 4 ab | 3 b | 3 b | 3 ab | 
| 5 | 5 a | 4 a | 2 b | 3 b | 3 b | 3 b | 3 b | 
| 10 | 5 a | 4 a | 3 ab | 6 a | 3 b | 4 ab | 4 ab | 
| 20 | 5 a | 4 a | 3 ab | 5 a | 4 b | 4 ab | 4 b | 
| 30 | 5 a | 4 a | 6 a | 6 a | 8 a | 5 a | 8 a | 
| 40 | 5 a | 4 a | 2 b | 2 b | 2 b | 3 b | 2 b | 
| Disclaimer/Publisher’s Note: The statements, opinions and data contained in all publications are solely those of the individual author(s) and contributor(s) and not of MDPI and/or the editor(s). MDPI and/or the editor(s) disclaim responsibility for any injury to people or property resulting from any ideas, methods, instructions or products referred to in the content. | 
© 2024 by the authors. Licensee MDPI, Basel, Switzerland. This article is an open access article distributed under the terms and conditions of the Creative Commons Attribution (CC BY) license (https://creativecommons.org/licenses/by/4.0/).
Share and Cite
Burešová, I.; Šebestíková, R.; Šebela, J.; Adámková, A.; Zvonková, M.; Skowronková, N.; Mlček, J. The Effect of Inulin Addition on Rice Dough and Bread Characteristics. Appl. Sci. 2024, 14, 2882. https://doi.org/10.3390/app14072882
Burešová I, Šebestíková R, Šebela J, Adámková A, Zvonková M, Skowronková N, Mlček J. The Effect of Inulin Addition on Rice Dough and Bread Characteristics. Applied Sciences. 2024; 14(7):2882. https://doi.org/10.3390/app14072882
Chicago/Turabian StyleBurešová, Iva, Romana Šebestíková, Jaromír Šebela, Anna Adámková, Magdalena Zvonková, Nela Skowronková, and Jiří Mlček. 2024. "The Effect of Inulin Addition on Rice Dough and Bread Characteristics" Applied Sciences 14, no. 7: 2882. https://doi.org/10.3390/app14072882
APA StyleBurešová, I., Šebestíková, R., Šebela, J., Adámková, A., Zvonková, M., Skowronková, N., & Mlček, J. (2024). The Effect of Inulin Addition on Rice Dough and Bread Characteristics. Applied Sciences, 14(7), 2882. https://doi.org/10.3390/app14072882
 
        


 
       