Research on Hybrid Relay Protocol Design and Cross-Layer Performance Based on NOMA
Abstract
1. Introduction
- For the hybrid relay system of wireless and power line communication based on NOMA, the cross-layer performance analysis model of the combined physical layer and MAC layer is established. Based on the CSMA algorithm of IEEE 802.11 and IEEE 1901 standards [14,15], a media access control scheme of two-hop NOMA is presented. By studying the influence of power control on physical layer and MAC layer, a cross-layer performance analysis model is established considering MAC layer retreat flow and physical layer channel conditions, and expressions such as normalized throughput, packet loss probability, and delay are derived.
- For the hybrid relay system of wireless and power line communication, by studying the influence of power control on the transmission reliability of the physical layer and the number of competing nodes in the MAC layer, a cross-layer optimization model based on multi-objective programming is established to realize the combined optimization of the transmitted power at the source end and the power distribution factor among users, and the optimal power distribution factor under different parameters is determined by using a genetic algorithm and exhaustion method.
- The model and algorithm performance are simulated through extensive Monte Carlo simulation. This paper compares the cross-layer performance of the system under different transmission schemes such as NOMA, OMA, and wireless single-hop, and analyzes the law of the influence of physical layer parameters and MAC layer parameters on system performance. The simulation results verify the validity and reliability of the theoretical model and show that the best power allocation algorithm in this paper makes the system have better performance in terms of normalized throughput, packet loss rate, and delay.
2. System Model and Signal Processing
2.1. System Model
2.2. Signal Processing
3. Cross-Layer Performance Analysis of Two-Hop Relay System Based on NOMA
| Algorithm 1 Cross-layer performance analysis method combining physical layer and MAC layer | |
| 1: | Step 1: The SNR , of different links is calculated by Formulas (1) to (8) |
| 2: | Step 2: Calculate , and by Formula (15) to Formula (21) by comparing the relationship between SNR and threshold |
| 3: | Step 3: Calculate n by Formulas (24) and (25), substitute the value of n into Formula (22) to solve the nonlinear equation and get and |
| 4: | Step 4: Substitute the value of n, and into Formula (22) to calculate , , and |
| 5: | Step 5: Formulas (23) to (36) are used to calculate the relevant probabilities of system idle, successful transmission, collision and interruption and the time used in different cases. |
| 6: | Step 6: Substitute Formulas (37) to (39), and comprehensively consider the channel conditions of physical layer and the backoff process of MAC layer to calculate the system performance index , , . |
3.1. Physical Layer Outage Probability
3.2. Two-Hop Transport Protocol Design Based on NOMA
3.3. Cross-Layer Performance Analysis
4. Simulation Results and Analysis
4.1. Simulation Parameter Settings
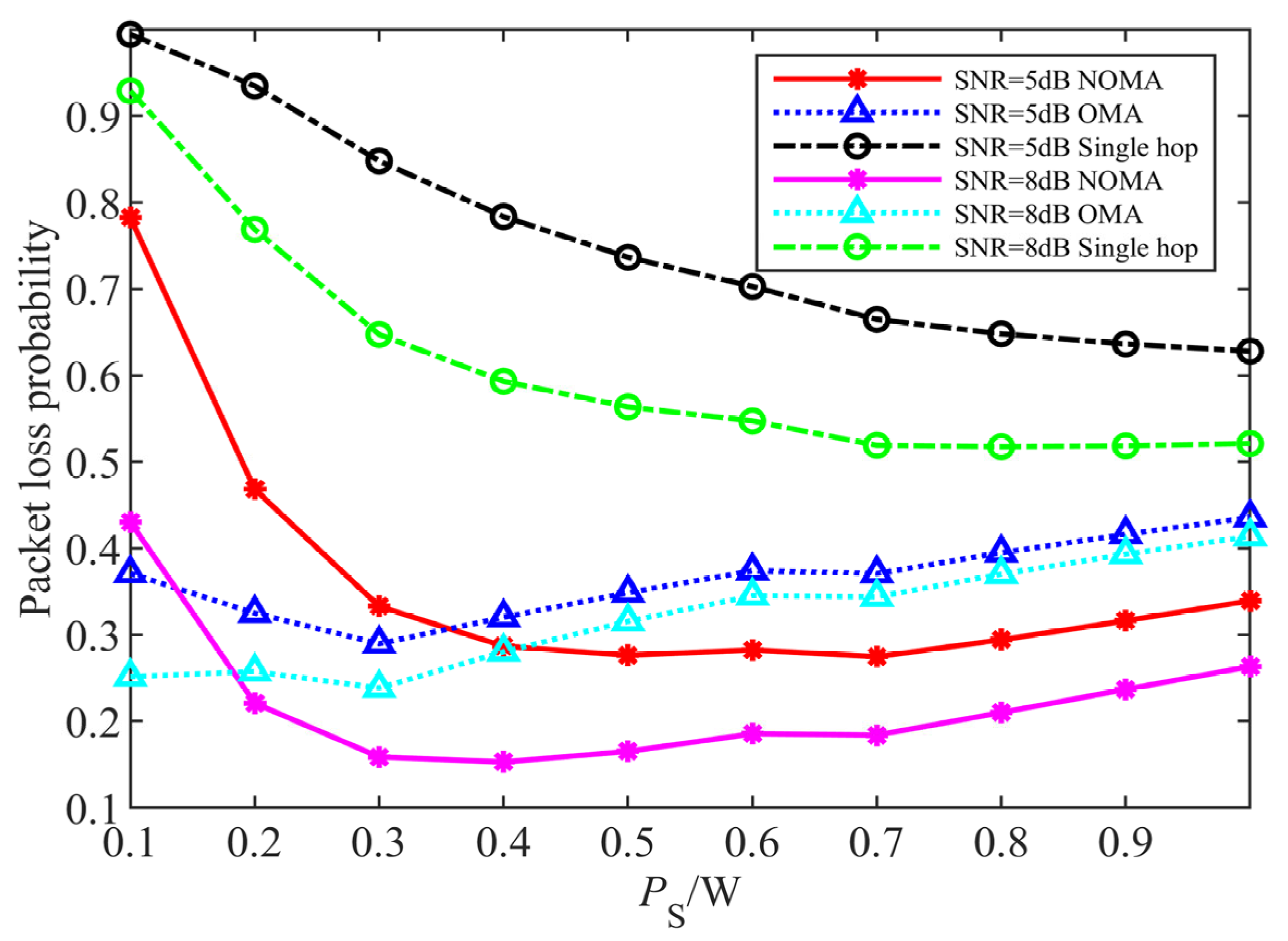
4.2. Simulation Results and Analysis
5. Power optimal Allocation Algorithm
6. Conclusions
Author Contributions
Funding
Institutional Review Board Statement
Informed Consent Statement
Data Availability Statement
Conflicts of Interest
References
- Orlando, M.; Estebsari, A.; Pons, E.; Pau, M.; Quer, S.; Poncino, M.; Bottaccioli, L.; Patti, E. A smart meter infrastructure for smart grid IoT applications. IEEE Internet Things J. 2021, 9, 12529–12541. [Google Scholar] [CrossRef]
- De Mba Dib, L.; Fernandes, V.; Filomeno, M.L.; Ribeiro, M.V. Hybrid PLC/wireless communication for smart grids and internet of things applications. IEEE Internet Things J. 2017, 5, 655–667. [Google Scholar]
- Chen, Z.X.; Zhang, Z.K.; Cao, T.S.; Zhenyu, Z. PLC for In-Vehicle Network: A DRL-Based Algorithm of Diversity Combination of OFDM Subcarriers. Chin. J. Electron. 2023, 32, 1245–1257. [Google Scholar]
- Wei, X.; Al-Obiedollah, H.; Cumanan, K.; Ding, Z.; Dobre, O.A. Energy efficiency maximization for hybrid TDMA-NOMA system with opportunistic time assignment. IEEE Trans. Veh. Technol. 2022, 71, 8561–8573. [Google Scholar] [CrossRef]
- Pu, H.H.; Liu, X.S.; Han, M.; Xv, D.G. Distributed opportunity Relay Selection for Cooperative non-orthogonal multiple access systems in Power line communication channels. Trans. China Electrotech. Soc. 2020, 35, 2306–2318. (In Chinese) [Google Scholar]
- Samir, A.; Elsayed, M.; El-Banna, A.A.A.; Wu, K.; ElHalawany, B.M. Performance of noma-based dual-hop hybrid powerline-wireless communication systems. IEEE Trans. Veh. Technol. 2022, 71, 6548–6558. [Google Scholar] [CrossRef]
- Liau, Q.Y.; Leow, C.Y. Successive user relaying in cooperative NOMA system. IEEE Wirel. Commun. Lett. 2019, 8, 921–924. [Google Scholar] [CrossRef]
- Ding, H.; Leung, K.C. Cross-Layer Resource Allocation in HetNet NOMA Systems with Dynamic Traffic Arrivals. IEEE Trans. Commun. 2023, 71, 1403–1415. [Google Scholar] [CrossRef]
- Tang, J.; Zhao, Y.; Feng, W.; Zhao, X.; Zhang, X.Y.; Liu, M.; Wong, K.-K. Cross-Layer Optimization for Industrial Internet of Things in NOMA-Based C-RANs. IEEE Internet Things J. 2021, 9, 16962–16975. [Google Scholar] [CrossRef]
- Liu, Y.; Chen, W.; Lee, J. Joint queue-aware and channel-aware scheduling for non-orthogonal multiple access. IEEE Trans. Wirel. Commun. 2021, 21, 264–279. [Google Scholar] [CrossRef]
- Lu, H.; Jiang, X.; Chen, C.W. Distortion-aware cross-layer power allocation for video transmission over multi-user NOMA systems. IEEE Trans. Wirel. Commun. 2020, 20, 1076–1092. [Google Scholar] [CrossRef]
- Zhao, X.; Chen, W. Non-orthogonal multiple access for delay-sensitive communications: A cross-layer approach. IEEE Trans. Commun. 2019, 67, 5053–5068. [Google Scholar] [CrossRef]
- Yin, Y.; Liu, M.; Gui, G.; Gacanin, H.; Sari, H.; Adachi, F. Cross-layer resource allocation for UAV-assisted wireless caching networks with NOMA. IEEE Trans. Veh. Technol. 2021, 70, 3428–3438. [Google Scholar] [CrossRef]
- Bianchi, G. Performance analysis of the IEEE 802.11 distributed coordination function. IEEE J. Sel. Areas Commun. 2000, 18, 535–547. [Google Scholar] [CrossRef]
- Hao, S.; Zhang, H. Theoretical modeling for performance analysis of IEEE 1901 power-line communication networks in the multi-hop environment. J. Supercomput. 2020, 76, 2715–2747. [Google Scholar] [CrossRef]
- Safari, M.; Uysal, M. Cooperative diversity over log-normal fading channels: Performance analysis and optimization. IEEE Trans. Wirel. Commun. 2008, 7, 1963–1972. [Google Scholar] [CrossRef]
- Rahdari, F.; Khayyambashi, M.R.; Movahhedinia, N. QoE-aware NOMA user grouping in 5G mobile communications using a multi-stage interval type-2 fuzzy set model. Ad Hoc Netw. 2023, 149, 103227. [Google Scholar] [CrossRef]
- Dubey, A.; Mallik, R.K.; Schober, R. Performance analysis of a multi-hop power line communication system over log-normal fading in presence of impulsive noise. IET Commun. 2015, 9, 1–9. [Google Scholar] [CrossRef]
- Di Bert, L.; Caldera, P.; Schwingshackl, D.; Tonello, A.M. On noise modeling for power line communications. In Proceedings of the 2011 IEEE International Symposium on Power Line Communications and Its Applications, Udine, Italy, 3–6 April 2011; pp. 283–288. [Google Scholar]
- Choi, J. Re-transmission diversity multiple access based on SIC and HARQ-IR. IEEE Trans. Commun. 2016, 64, 4695–4705. [Google Scholar] [CrossRef]
- Kwon, Y.; Baek, H.; Lim, J. Uplink NOMA using power allocation for UAV-aided CSMA/CA networks. IEEE Syst. J. 2020, 15, 2378–2381. [Google Scholar] [CrossRef]
- Bianchi, G. IEEE 802.11-saturation throughput analysis. IEEE Commun. Lett. 1998, 2, 318–320. [Google Scholar] [CrossRef]
- Kim, S.; Stark, W. Cross-layer analysis of energy–throughput tradeoff for relay networks. IEEE Trans. Wirel. Commun. 2014, 13, 6716–6726. [Google Scholar] [CrossRef]
- Chen, Z.X.; Han, D.S.; Qiu, L.J. Research on Performance of Indoor Wireless and Power Line Dual-Medium Cooperative Communication System. Proc. CSEE 2017, 37, 2589–2599. (In Chinese) [Google Scholar]
- Al-Khasawneh, M.A.S.; Faheem, M.; Aldhahri, E.A.; Alzahrani, A.; Alarood, A.A. A MapReduce based approach for secure batch satellite image encryption. IEEE Access 2023, 11, 62865–62878. [Google Scholar] [CrossRef]
- Faheem, M.; Kuusniemi, H.; Eltahawy, B.; Bhutta, M.S.; Raza, B. A lightweight smart contracts framework for blockchain-based secure communication in smart grid applications. IET Gener. Transm. Distrib. 2024, 18, 625–638. [Google Scholar] [CrossRef]









| Ref. | Year | Major Focus | Optimization Objective and Performance |
|---|---|---|---|
| [4] | 2022 | Hybrid TDMA-NOMA system. | Joint allocation of available time slots and available transmit power in hybrid TDMA-NOMA systems to maximize energy efficiency. |
| [6] | 2023 | Hybrid wireless and power line communication systems. | A power allocation optimization technique is proposed to achieve an outage-optimal performance. |
| [8] | 2023 | A long-term cross-layer resource allocation model with dynamic traffic arrivals and limited channel information. | Minimizes long-term average total power consumption while meeting QoS requirements. |
| [9] | 2021 | Cloud Radio Access Network (C-RAN) based on NOMA. | Maximize energy efficiency by jointly optimizing power distribution, analog and digital precoding. |
| [10] | 2021 | NOMA system with delay requirements. | Get the best delay power trade-off in NOMA systems |
| [13] | 2021 | Unmanned Aerial Vehicle (UAV) Assisted Wireless Cache Network (WCN). | A cross-layer resource allocation strategy including UAV scheduling, number of grouped users and power allocation is proposed to reduce file interrupt probability and improve hit probability. |
| Parameter | Numerical Value |
|---|---|
| Slot Time () | |
| Packet Header () | |
| Short interframe space () | |
| Distributed Interframe Space () | |
| Acknowledgement frame () | |
| Channel propagation delay () | |
| + |
| Parameter | Numerical Value |
|---|---|
| Slot Time () | |
| Priority Resolution Slot () | |
| Preamble () | |
| Contention Interframe Space () | |
| Response Interframe Space () | |
| Acknowledgement frame () | |
| Extended Interframe Space () | |
| + |
Disclaimer/Publisher’s Note: The statements, opinions and data contained in all publications are solely those of the individual author(s) and contributor(s) and not of MDPI and/or the editor(s). MDPI and/or the editor(s) disclaim responsibility for any injury to people or property resulting from any ideas, methods, instructions or products referred to in the content. |
© 2024 by the authors. Licensee MDPI, Basel, Switzerland. This article is an open access article distributed under the terms and conditions of the Creative Commons Attribution (CC BY) license (https://creativecommons.org/licenses/by/4.0/).
Share and Cite
Chen, Z.; Cao, T.; Wang, P.; Feng, J. Research on Hybrid Relay Protocol Design and Cross-Layer Performance Based on NOMA. Appl. Sci. 2024, 14, 3044. https://doi.org/10.3390/app14073044
Chen Z, Cao T, Wang P, Feng J. Research on Hybrid Relay Protocol Design and Cross-Layer Performance Based on NOMA. Applied Sciences. 2024; 14(7):3044. https://doi.org/10.3390/app14073044
Chicago/Turabian StyleChen, Zhixiong, Tianshu Cao, Pengjiao Wang, and Junhao Feng. 2024. "Research on Hybrid Relay Protocol Design and Cross-Layer Performance Based on NOMA" Applied Sciences 14, no. 7: 3044. https://doi.org/10.3390/app14073044
APA StyleChen, Z., Cao, T., Wang, P., & Feng, J. (2024). Research on Hybrid Relay Protocol Design and Cross-Layer Performance Based on NOMA. Applied Sciences, 14(7), 3044. https://doi.org/10.3390/app14073044

