A Hierarchy of Variables That Influence the Force–Velocity Profile of Acrobatic Gymnasts: A Tool Based on Artificial Intelligence
Abstract
1. Introduction
2. Materials and Methods
2.1. Sample Characterization
2.2. Procedures and Instruments
2.3. Statistical Analysis
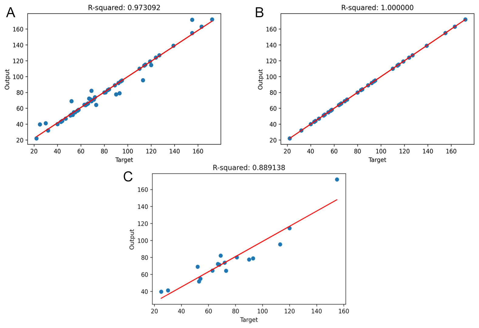
3. Results
4. Discussion
5. Conclusions
Author Contributions
Funding
Institutional Review Board Statement
Informed Consent Statement
Data Availability Statement
Acknowledgments
Conflicts of Interest
References
- Marina, M.; Jemni, M. Plyometric training performance in elite-oriented prepubertal female gymnasts. J. Strength Cond. Res. 2014, 28, 1015–1025. [Google Scholar] [CrossRef] [PubMed]
- Kraemer, W.J.; Newton, R.U. Training for muscular power. Phys. Med. Rehabil. Clin. 2000, 11, 341–368. [Google Scholar] [CrossRef]
- Fédération Internationale de Gymnastique. Acrobatic Gymnastics Code of Points 2022–2024. Available online: https://www.gymnastics.sport/publicdir/rules/files/en_2022-2024%20ACRO%20CoP.pdf (accessed on 13 September 2023).
- Taboada-Iglesias, Y.; Gutierrez-Sanchez, A.; Vernetta Santana, M. Anthropometric profile of elite acrobatic gymnasts and prediction of role performance. J. Sports Med. Phys. Fit. 2016, 56, 433–442. [Google Scholar]
- Vernetta, M.; Montosa, I.; López-Bedoya, J. Lesiones en jóvenes gimnastas femeninas de acrobática de la élite nacional. Rev. Iberoam. De Cienc. De La Act. Física Y El Deporte 2019, 7, 71–84. [Google Scholar] [CrossRef]
- Bradley, E.; Harrington, K.; Tiffin, C. A comparison of a tucked back somersault between novice and experienced acrobatic gymnasts: An inertial measurement approach. In Proceedings of the ISBS Proceedings Archive: ISBS Conference 2020, Liverpool, UK, 21–25 July 2020. [Google Scholar]
- Gómez-Landero, L.A.; Leal Del Ojo, P.; Walker, C.; Floría, P. Static balance performance differs depending on the test, age and specific role played in acrobatic gymnastics. Gait Posture 2021, 90, 48–54. [Google Scholar] [CrossRef]
- Floria, P.; Harrison, A.J. Influence of the range of motion of jumping height in childhood. In Proceedings of the 29 International Conference on Biomechanics in Sports (2011), Porto, Portugal, 27 June–1 July 2011. [Google Scholar]
- Leite, I.; Goethel, M.; Conceição, F.; Ávila-Carvalho, L. How Does the Jumping Performance Differs between Acrobatic and Rhythmic Gymnasts? Biomechanics 2023, 3, 457–468. [Google Scholar] [CrossRef]
- Samozino, P.; Rejc, E.; Di Prampero, P.E.; Belli, A.; Morin, J.-B. Optimal force–velocity profile in ballistic movements—Altius: Citius or Fortius? Med. Sci. Sports Exerc. 2012, 44, 313–322. [Google Scholar] [CrossRef] [PubMed]
- Samozino, P.; Edouard, P.; Sangnier, S.; Brughelli, M.; Gimenez, P.; Morin, J.-B. Force-velocity profile: Imbalance determination and effect on lower limb ballistic performance. Int. J. Sports Med. 2014, 35, 505–510. [Google Scholar] [CrossRef]
- Alvarez, J.A.E.; Reyes, P.J.; Sousa, M.A.P.; Conceicao, F.; Garcia, J.P.F. Analysis of the Force-Velocity Profile in Female Ballet Dancers. J. Danc. Med. Sci. 2020, 24, 59–65. [Google Scholar] [CrossRef]
- Yang, H. Application of Multilayer Neural Network in Sports Psychology. Sci. Program. 2022, 2022, 3692428. [Google Scholar] [CrossRef]
- Linder, R.; Mohamed, E.I.; De Lorenzo, A.; Pöppl, S.J. The capabilities of artificialneural networks in body composition research. Acta Diabetol. 2003, 40, s9–s14. [Google Scholar] [CrossRef] [PubMed]
- Maszczyk, A.; Gołaś, A.; Pietraszewski, P.; Roczniok, R.; Zając, A.; Stanula, A. Application of Neural and Regression Models in Sports Results Prediction. Procedia—Soc. Behav. Sci. 2014, 117, 482–487. [Google Scholar] [CrossRef]
- Garnica-Caparrós, M.; Memmert, D. Understanding gender differences in professional European football through machine learning interpretability and match actions data. Sci. Rep. 2021, 11, 10805. [Google Scholar] [CrossRef] [PubMed]
- Jiménez-Reyes, P.; Samozino, P.; Pareja-Blanco, F.; Conceição, F.; Cuadrado-Peñafiel, V.; González-Badillo, J.J.; Morin, J.-B. Validity of a simple method for measuring force-velocity-power profile in countermovement jump. Int. J. Sports Physiol. Perform. 2017, 12, 36–43. [Google Scholar] [CrossRef]
- Balsalobre-Fernández, C.; Glaister, M.; Lockey, R.A. The validity and reliability of an iPhone app for measuring vertical jump performance. J. Sports Sci. 2015, 33, 1574–1579. [Google Scholar] [CrossRef] [PubMed]
- Bogataj, Š.; Pajek, M.; Hadžić, V.; Andrašić, S.; Padulo, J.; Trajković, N. Validity, reliability, and usefulness of My Jump 2 App for measuring vertical jump in primary school children. Int. J. Environ. Res. Public Health 2020, 17, 3708. [Google Scholar] [CrossRef] [PubMed]
- Morin, J.-B.; Samozino, P. Interpreting power-force-velocity profiles for individualized and specific training. Int. J. Sports Physiol. Perform. 2016, 11, 267–272. [Google Scholar] [CrossRef]
- Ferreira Melo de Sá, L.; Leite, I.; Batista Santos, A.; Tristão Ávila Carvalho, M.d.L. Jump ability and force-velocity profile in Rhythmic Gymnastics. Sci. Gymnast. J. 2023, 15, 225–237. [Google Scholar] [CrossRef]
- Junge, N.; Morin, J.-B.; Nybo, L. Leg extension force-velocity imbalance has negative impact on sprint performance in ball-game players. Sports Biomech. 2020, 22, 1027–1040. [Google Scholar] [CrossRef]
- Jimenez-Reyes, P.; Samozino, P.; Cuadrado-Penafiel, V.; Conceicao, F.; Gonzalez-Badillo, J.J.; Morin, J.B. Effect of countermovement on power-force-velocity profile. Eur. J. Appl. Physiol. 2014, 114, 2281–2288. [Google Scholar] [CrossRef]
- Jimenez-Reyes, P.; Cuadrado, V.; Blanco, F.; Montilla, J.A.; Bendala, F.; González-Badillo, J. Load that maximizes power output in countermovement jump. Rev. Bras. Med. Esporte 2016, 22, 13–16. [Google Scholar] [CrossRef][Green Version]
- Loturco, I.; Nakamura, F.Y.; Tricoli, V.; Kobal, R.; Cal Abad, C.C.; Kitamura, K.; Ugrinowitsch, C.; Gil, S.; Pereira, L.A.; González-Badillo, J.J. Determining the Optimum Power Load in Jump Squat Using the Mean Propulsive Velocity. PLoS ONE 2015, 10, e0140102. [Google Scholar] [CrossRef] [PubMed]
- Jimenez-Reyes, P.; Samozino, P.; Brughelli, M.; Morin, J.B. Effectiveness of an individualized training based on force-velocity profiling during jumping. Front. Physiol. 2017, 7, 677. [Google Scholar] [CrossRef] [PubMed]
- Cohen, J. Statistical Power Analysis for the Behavioral Sciences, 2nd ed.; Routledge: New York, NY, USA, 1988; p. 567. [Google Scholar]
- Lundberg, S.M.; Lee, S.-I. A unified approach to interpreting model predictions. Adv. Neural Inf. Process. Syst. 2017, 30, 1–10. [Google Scholar] [CrossRef]
- Perl, J. Artificial Neural Networks in Sports: New Concepts and Approaches. Int. J. Perform. Anal. Sport 2001, 1, 106–121. [Google Scholar] [CrossRef]
- Taboada-Iglesias, Y.; Vernetta-Santana, M.; Alonso-Fernandez, D.; Gutierrez-Sanchez, A. Anthropometric Specificity and Level of Participation in Acrobatic Gymnastics Based on Sex. Int. J. Morphol. 2019, 37, 1534–1540. [Google Scholar] [CrossRef]
- Guimarães, E.; Baxter-Jones, A.D.G.; Williams, A.M.; Tavares, F.; Janeira, M.A.; Maia, J. The role of growth, maturation and sporting environment on the development of performance and technical and tactical skills in youth basketball players: The INEX study. J. Sports Sci. 2021, 39, 979–991. [Google Scholar] [CrossRef]
- Ávila-Carvalho, L.; Conceição, F.; Escobar-Álvarez, J.A.; Gondra, B.; Leite, I.; Rama, L. The Effect of 16 Weeks of Lower-Limb Strength Training in Jumping Performance of Ballet Dancers. Front. Physiol. 2021, 12, 774327. [Google Scholar] [CrossRef]
- Temfemo, A.; Hugues, J.; Chardon, K.; Mandengue, S.-H.; Ahmaidi, S. Relationship between vertical jumping performance and anthropometric characteristics during growth in boys and girls. Eur. J. Pediatr. 2009, 168, 457–464. [Google Scholar] [CrossRef]
- Focke, A.; Strutzenberger, G.; Jekauc, D.; Worth, A.; Woll, A.; Schwameder, H. Effects of age, sex and activity level on counter-movement jump performance in children and adolescents. Eur. J. Sport Sci. 2013, 13, 518–526. [Google Scholar] [CrossRef]
- Guimarães, E.; Baxter-Jones, A.; Maia, J.; Fonseca, P.; Santos, A.; Santos, E.; Tavares, F.; Janeira, M.A. The Roles of Growth, Maturation, Physical Fitness, and Technical Skills on Selection for a Portuguese Under-14 Years Basketball Team. Sports 2019, 7, 61. [Google Scholar] [CrossRef] [PubMed]
- Rossi, J.; Slotala, R.; Samozino, P.; Morin, J.B.; Edouard, P. Sprint acceleration mechanics changes from children to adolescent. Comput. Methods Biomech. Biomed. Eng. 2017, 20, 181–182. [Google Scholar] [CrossRef] [PubMed]
- Floría, P.; Harrison, A.J. The influence of range of motion versus application of force on vertical jump performance in prepubescent girls and adult females. Eur. J. Sport Sci. 2014, 14, S197–S204. [Google Scholar] [CrossRef] [PubMed]
- Fernández-Galván, L.M.; Boullosa, D.; Jiménez-Reyes, P.; Cuadrado-Peñafiel, V.; Casado, A. Examination of the Sprinting and Jumping Force-Velocity Profiles in Young Soccer Players at Different Maturational Stages. Int. J. Environ. Res. Public Health 2021, 18, 4646. [Google Scholar] [CrossRef]
- Samozino, P.; Rabita, G.; Dorel, S.; Slawinski, J.; Peyrot, N.; Saez de Villarreal, E.; Morin, J.-B. A simple method for measuring power, force, velocity properties, and mechanical effectiveness in sprint running. Scand. J. Med. Sci. Sports 2016, 26, 648–658. [Google Scholar] [CrossRef]
Variables (Mean ± SD) | Top Gymnasts (n = 11) | Base Gymnasts (n = 17) | p-Value | Effect Size (95% CI) |
---|---|---|---|---|
Subject information | ||||
Age (years) | 13.75 ± 2.14 | 18.15 ± 3.05 | <0.001 * | 1.6 (0.1–2.2) |
Sex (M; F) | M = 1; F = 10 | M = 3; F = 14 | 0.05 * | 0.5 (−0.0–1.0) |
Training experience (years) | 7.09 ± 3.28 | 8.35 ± 3.43 | 0.17 | 0.4 (−0.2–0.9) |
Weekly training volume (hours) | 29.45 ± 1.77 | 29.29 ± 1.96 | 0.75 | −0.1 (−0.6–0.5) |
Level (1st division and elite) | 1st = 5; E = 6 | 1st = 9; E = 8 | 0.59 | −0.1 (−0.7–0.4) |
Anthropometrics | ||||
Body mass (kg) | 35.77 ± 7.70 | 63.67 ± 10.70 | <0.001 * | 2.9 (2.1–3.6) |
Height (cm) | 145.64 ± 9.66 | 167.67 ± 5.86 | <0.001 * | 2.9 (2.1–3.7) |
Height of push-off (cm) | 32.57 ± 4.09 | 38.37 ± 5.25 | <0.001 * | 1.2 (0.6–1.8) |
Body fat percentage (%) | 21.72 ± 4.83 | 18.16 ± 5.92 | 0.01 * | −0.6 (−1.1; −0.1) |
BMI (kg/m2) | 16.64 ± 1.53 | 22.53 ± 2.68 | <0.001 * | 2.6 (1.8–3.3) |
F-V profile associated variables | ||||
F0 (N/kg) | 29.10 ± 3.19 | 33.57 ± 7.09 | 0.88 | −0.0 (−0.6; 0.5) |
V0 (m/s) | 2.98 ± 1.00 | 3.38 ± 1.25 | 0.21 | 0.3 (−0.2; 0.9) |
Pmax (W/kg) | 24.15 ± 4.87 | 27.20 ± 5.85 | 0.04 * | 0.6 (0.0; 1.1) |
CMJ height (cm) | 29.10 ± 3.19 | 35.30 ± 6.22 | <0.001 * | 1.2 (0.6; 1.8) |
F-V imbalance (%) | 81.00 ± 34.96 | 79.56 ± 36.61 | 0.88 | −0.0 (−0.6; 0.5) |
Disclaimer/Publisher’s Note: The statements, opinions and data contained in all publications are solely those of the individual author(s) and contributor(s) and not of MDPI and/or the editor(s). MDPI and/or the editor(s) disclaim responsibility for any injury to people or property resulting from any ideas, methods, instructions or products referred to in the content. |
© 2024 by the authors. Licensee MDPI, Basel, Switzerland. This article is an open access article distributed under the terms and conditions of the Creative Commons Attribution (CC BY) license (https://creativecommons.org/licenses/by/4.0/).
Share and Cite
Leite, I.; Goethel, M.; Fonseca, P.; Vilas-Boas, J.P.; Ávila-Carvalho, L.; Mochizuki, L.; Conceição, F. A Hierarchy of Variables That Influence the Force–Velocity Profile of Acrobatic Gymnasts: A Tool Based on Artificial Intelligence. Appl. Sci. 2024, 14, 3191. https://doi.org/10.3390/app14083191
Leite I, Goethel M, Fonseca P, Vilas-Boas JP, Ávila-Carvalho L, Mochizuki L, Conceição F. A Hierarchy of Variables That Influence the Force–Velocity Profile of Acrobatic Gymnasts: A Tool Based on Artificial Intelligence. Applied Sciences. 2024; 14(8):3191. https://doi.org/10.3390/app14083191
Chicago/Turabian StyleLeite, Isaura, Márcio Goethel, Pedro Fonseca, João Paulo Vilas-Boas, Lurdes Ávila-Carvalho, Luis Mochizuki, and Filipe Conceição. 2024. "A Hierarchy of Variables That Influence the Force–Velocity Profile of Acrobatic Gymnasts: A Tool Based on Artificial Intelligence" Applied Sciences 14, no. 8: 3191. https://doi.org/10.3390/app14083191
APA StyleLeite, I., Goethel, M., Fonseca, P., Vilas-Boas, J. P., Ávila-Carvalho, L., Mochizuki, L., & Conceição, F. (2024). A Hierarchy of Variables That Influence the Force–Velocity Profile of Acrobatic Gymnasts: A Tool Based on Artificial Intelligence. Applied Sciences, 14(8), 3191. https://doi.org/10.3390/app14083191