Petrophysical Analysis of Low-Contrast Oil Reservoirs with Low Porosity and Low Formation-Water Salinity in SaPu Intercalation of Longxi Area, Daqing Oilfield, China
Abstract
1. Introduction
2. Geological Setting and Reservoir Characteristics
2.1. Geological Introduction
2.2. Reservoir Characteristics
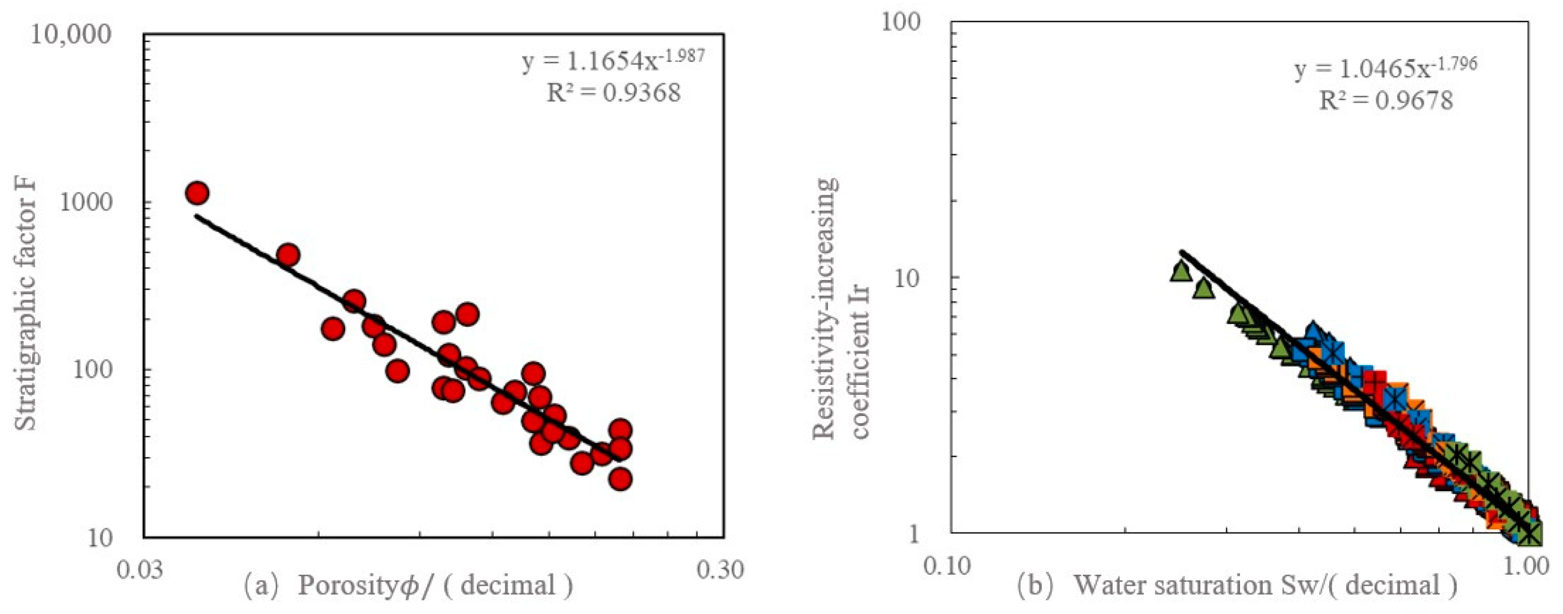
3. Petrophysical Experiments
4. Analysis of the Origin of Low-Resistivity Oil Reservoirs
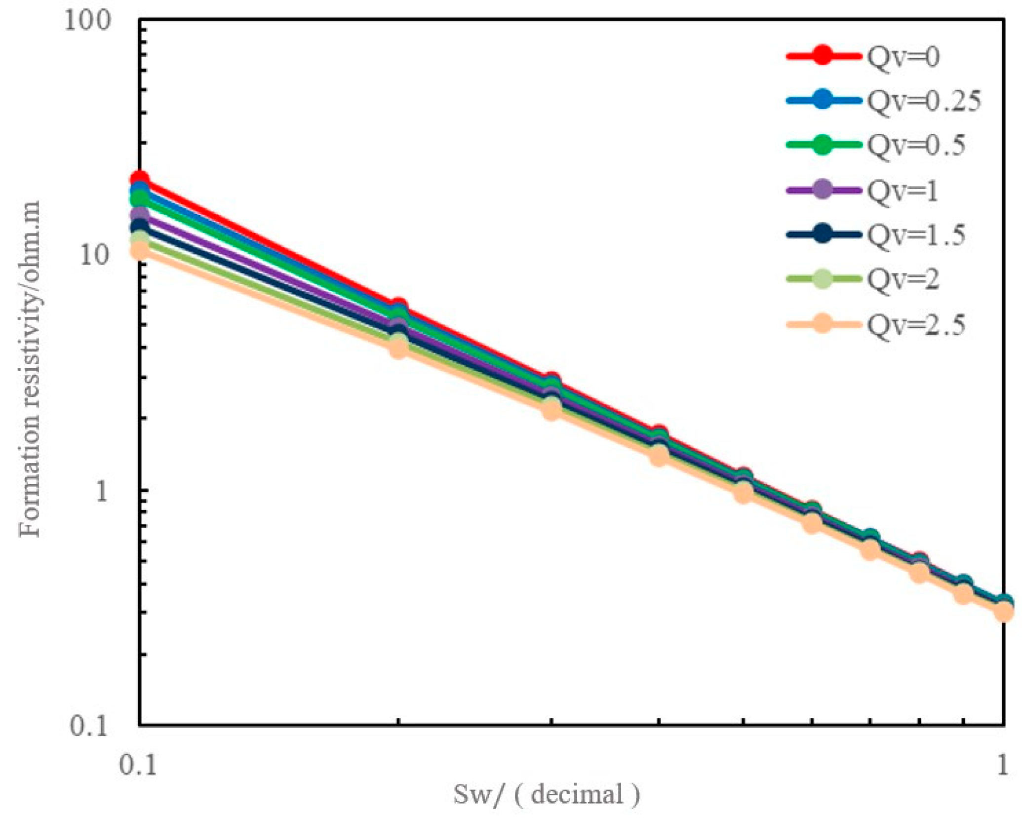
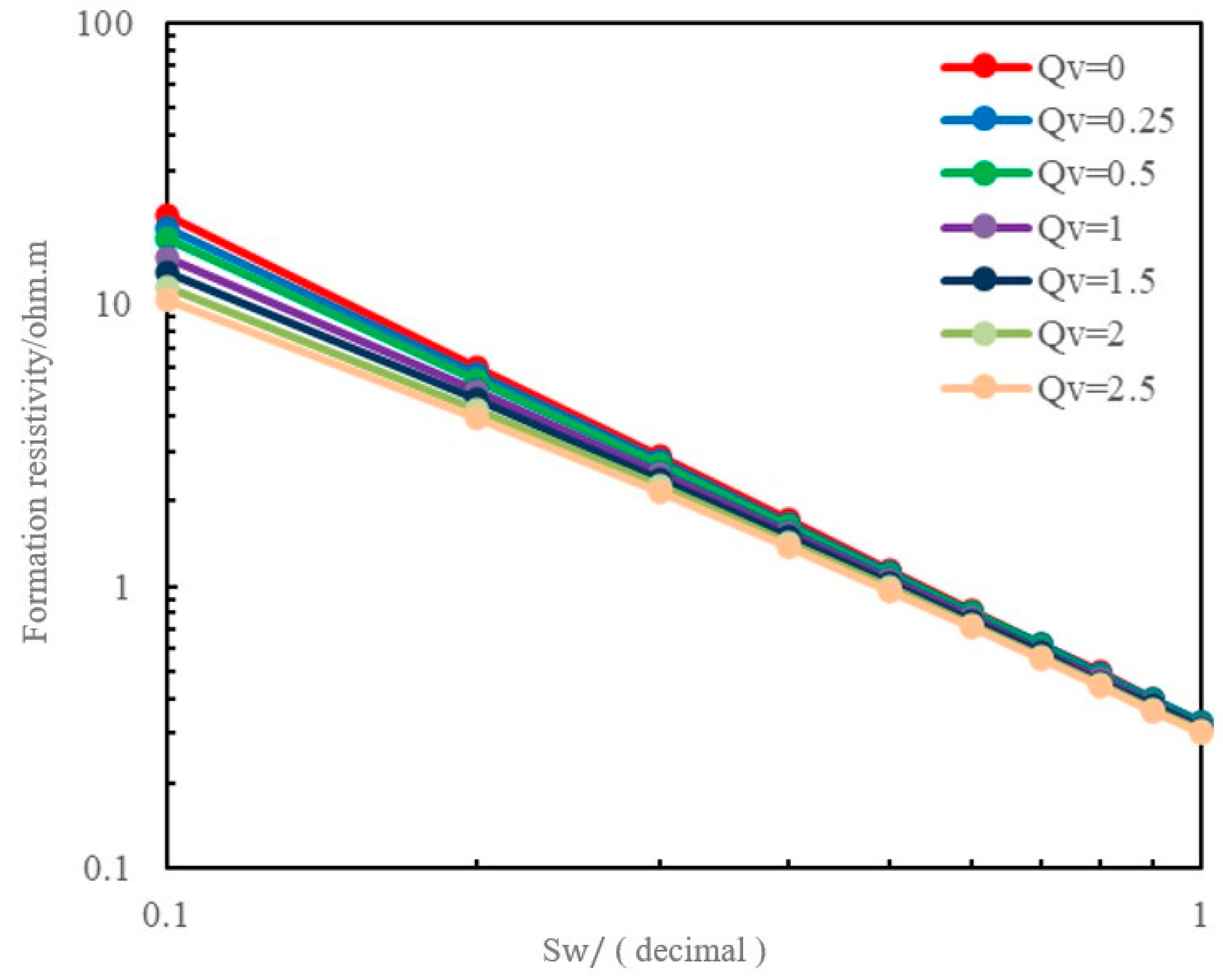
4.1. Theoretical Model Based on the Experimental Law of Additional Electrical Conductivity of Clay
4.2. Additional Conductivity of Clay Minerals
4.3. Irreducible Water Saturation
5. Verification
6. Conclusions
Author Contributions
Funding
Institutional Review Board Statement
Informed Consent Statement
Data Availability Statement
Conflicts of Interest
References
- Zhao, Z.Z.; Ouyang, J.; Liu, D.L. Logging Technology and Interpretation Methods of Low Resistance Oil and Gas Formations in Bohai Bay Area; Petroleum Industry Press: Beijing, China, 2000; pp. 1–58. [Google Scholar]
- Mao, Z.Q.; Gong, F.H.; Liu, C.Y.; Zhu, D.Z.; Zuo, Z.G. Experimental study on low resistance genesis of oil and gas formations in the Tarim Basin (I). Logging Technol. 1999, 4, 3–8. [Google Scholar] [CrossRef]
- Kuang, L.C.; Mao, Z.Q.; Sun, Z.C.; Zhang, Y.P. Comprehensive evaluation of oil and gas reservoir logging based on new technology. Pet. Explor. Dev. 2003, 2, 58–60. [Google Scholar]
- PetroChina Exploration and Production Branch (Ed.) Proceedings of the China National Petroleum Corporation Exploration Engineering Technology Exchange Conference; Petroleum Industry Press: Beijing, China, 2000. [Google Scholar]
- Kuang, L.C. Logging Identification and Evaluation of Complex Oil and Gas Reservoirs in Junggar Basin. Ph.D. Thesis, China University of Petroleum, Beijing, China, 2002. [Google Scholar]
- Yao, G.Q.; Ma, Z.; Zhao, Y.C. Reservoir characteristics of sand bodies in shallow deltaic diversion channels. J. Pet. 1995, 16, 24–31. [Google Scholar]
- Yan, W.L.; Liu, C.P.; Li, Z.C.; Zhong, S.M. Identification method of complex oil and water layers in the Grape Flower oil formation in Longhu Bubble oilfield. Daqing Pet. Geol. Dev. 2018, 37, 133–139. [Google Scholar] [CrossRef]
- Ouyang, J. Petroleum Logging Interpretation and Reservoir Description; Petroleum Industry Press: Beijing, China, 1994; ISBN 7-5021-1038-0. [Google Scholar]
- Zhao, J.; Wang, M.; Yan, S.; Li, H.W. Application of natural potential logging in the identification of low-resistance oil and gas formations—An example of Triassic low-resistance oil and gas formations in Jilak area, Tarim Basin. Oil Gas Geol. 2011, 32, 245–250. [Google Scholar]
- Xiao, L.Z. Nuclear Magnetic Resonance Imaging Logging and Rock Nuclear Magnetic Resonance and Its Application; Science Press: Beijing, China, 1998; ISBN 7-03-006924-2. [Google Scholar]
- Hill, H.J.; Milburn, J.D. Effect of clay and water salinity on electrochemical behavior of reservoir rocks. Trans. AIME 1956, 207, 65–72. [Google Scholar] [CrossRef]
- Mao, Z.Q.; Zhu, W.H. Experimental study on low resistance genesis of oil and gas formations in the Tarim Basin (II). Logging Technol. 1999; 6, 404–410+479. [Google Scholar] [CrossRef]
- Waxman, M.H.; Smits, L.J.M. Electrical conductivities in oil-bearing shaly sands. Soc. Pet. Eng. J. 1968, 8, 107–122. [Google Scholar] [CrossRef]
- Hu, Y.J.; Xiao, C.W. Evaluation of cation exchange and oil saturation in low-resistance oil reservoirs in the Tarim Basin(III). Logging Technol. 2000; 6, 407–409+419. [Google Scholar] [CrossRef]
- Waxman, M.H.; Thomas, E.C. Electrical Conductivities in Shaly Sands-I. The Relation Between Hydrocarbon Saturation and Resistivity Index; II. The Temperature Coefficient of Electrical Conductivity. J. Pet. Technol. 1974, 26, 213–225. [Google Scholar] [CrossRef]
- Clavier, C.; Coates, G.; Dumanoir, J. Theoretical and experimental bases for the dual-water model for interpretation of shaly sands. Soc. Pet. Eng. J. 1984, 24, 153–168. [Google Scholar] [CrossRef]
- Kuang, L.C.; Mao, Z.Q. Study on the controlling factors of bound water saturation in low resistivity oil formation of Cretaceous in Lu9 well area of Junggar Basin. Logging Technol. 2002, 1, 14–17+89. [Google Scholar] [CrossRef]
- Schlumberger Limited. Schlumberger Log Interpretation Charts; Schlumberger: Houston, TX, USA, 1985. [Google Scholar]
- Zhai, Y.F. Seepage Mechanics, 3rd ed.; Petroleum Industry Press: Beijing, China, 2009; ISBN 9787502171780. [Google Scholar]
- Hill, H.J.; Klein, G.E.; Shirley, O.J.; Thomas, E.C.; Waxman, W.H. Bound water in shaly sands-it’s relation to Qv and other formation properties. Log Anal. 1979, 20, 3–19. [Google Scholar]
- Ouyang, J.; Mao, Z.; Xiu, L.J. Mechanism of Formation Genesis and Evaluation Method for Logging Low-Contrast Oil Formations; Petroleum Industry Press: Beijing, China, 2009; ISBN 9787502163884. [Google Scholar]
- Zhang, Y.Y. Clay Minerals and Clay Mineral Analysis; Ocean Press: Beijing, China, 1990; ISBN 7-5027-1192-9. [Google Scholar]
- PetroChina Exploration and Production Branch. Low-Resistance Reservoir Logging Evaluation Technology and Application; Petroleum Industry Press: Beijing, China, 2009; ISBN 9787502174033. [Google Scholar]
- Yong, S.H.; Zhang, C.M. Logging Data Processing and Comprehensive Interpretation; Petroleum University Press: Beijing, China, 1996; ISBN 7-5636-0886-9. [Google Scholar]
- Kuang, L.C. Application of cable stratigraphic testing technology in oil and gas exploration in Junggar Basin. Logging Technol. 2002, 3, 229–232+264. [Google Scholar] [CrossRef]
- Gao, L.; Xie, R.; Xiao, L.; Wang, S.; Xu, C.Y. Identification of low-resistivity-low-contrast pay zones in the feature space with a multi-layer perceptron based on conventional well log data. Pet. Sci. 2022, 19, 570–580. [Google Scholar] [CrossRef]

















| Clay Mineral | Montmorillonite | Illite | Chlorite | Kaolinite |
|---|---|---|---|---|
| Cation exchange capacity (mgeq/100 g sample) | 80–150 | 10–40 | 10 | 8–15 |
| Parameters | Formulas |
|---|---|
| Movable fluid volume fraction, | |
| Movable fluid oil saturation, | |
| Reservoir fluid production factor, | |
| Reservoir oil production factor, |
| Type of Layer | Criteria for Classification |
|---|---|
| oil layer | |
| watery oil layer | |
| oil–water stratification | |
| oil-bearing layer | |
| pelagic |
| Level Number | Thickness/(m) | Resistivity/(Ω·m) | Porosity/(Decimal) | Permeability/(mD) | Water Saturation/(Decimal) | Bound Water Saturation/(Decimal) |
|---|---|---|---|---|---|---|
| 36 | 1.350 | 8.70 | 0.19 | 0.019 | 0.79 | 0.76 |
| 37 | 4.350 | 11.48 | 0.18 | 0.019 | 0.84 | 0.76 |
Disclaimer/Publisher’s Note: The statements, opinions and data contained in all publications are solely those of the individual author(s) and contributor(s) and not of MDPI and/or the editor(s). MDPI and/or the editor(s) disclaim responsibility for any injury to people or property resulting from any ideas, methods, instructions or products referred to in the content. |
© 2024 by the authors. Licensee MDPI, Basel, Switzerland. This article is an open access article distributed under the terms and conditions of the Creative Commons Attribution (CC BY) license (https://creativecommons.org/licenses/by/4.0/).
Share and Cite
Fu, J.; Wang, G.; Xiao, Z. Petrophysical Analysis of Low-Contrast Oil Reservoirs with Low Porosity and Low Formation-Water Salinity in SaPu Intercalation of Longxi Area, Daqing Oilfield, China. Appl. Sci. 2024, 14, 3210. https://doi.org/10.3390/app14083210
Fu J, Wang G, Xiao Z. Petrophysical Analysis of Low-Contrast Oil Reservoirs with Low Porosity and Low Formation-Water Salinity in SaPu Intercalation of Longxi Area, Daqing Oilfield, China. Applied Sciences. 2024; 14(8):3210. https://doi.org/10.3390/app14083210
Chicago/Turabian StyleFu, Jianwei, Guiwen Wang, and Zhipeng Xiao. 2024. "Petrophysical Analysis of Low-Contrast Oil Reservoirs with Low Porosity and Low Formation-Water Salinity in SaPu Intercalation of Longxi Area, Daqing Oilfield, China" Applied Sciences 14, no. 8: 3210. https://doi.org/10.3390/app14083210
APA StyleFu, J., Wang, G., & Xiao, Z. (2024). Petrophysical Analysis of Low-Contrast Oil Reservoirs with Low Porosity and Low Formation-Water Salinity in SaPu Intercalation of Longxi Area, Daqing Oilfield, China. Applied Sciences, 14(8), 3210. https://doi.org/10.3390/app14083210
