Next Article in Journal
A Performance Comparison of Japanese Sign Language Recognition with ViT and CNN Using Angular Features
Next Article in Special Issue
A New Method for Evaluating the Reactive Strength Index in Track and Field Sprinting: Relationships with Muscle Architecture
Previous Article in Journal
Aqueous Theta-Phase Aluminum Oxide Nanofluid for Energy Applications: Experimental Study on Thermal Conductivity
Previous Article in Special Issue
Impact of Prolonged Sitting Interruption on Blood Glucose, Insulin and Triacylglycerol in Adults: A Systematic Review and Meta-Analysis
 
 
Font Type:
Arial Georgia Verdana
Font Size:
Aa Aa Aa
Line Spacing:
Column Width:
Background:
Article

A New Flexometric Method to Evaluate Range of Movement: A Validity and Reliability Study

by
Gerard Moras Feliu
1,2,
Jose Gisbert-Orozco
1,2,
Jacob González
2,
Jairo Vazquez-Guerrero
3,
Sergio Rodríguez-Jiménez
1,
Sara González-Millan
2 and
Bruno Fernández-Valdés
2,*
1
Institut Nacional d’Educació Física de Catalunya (INEFC), Department of Sports Performance, Universitat de Barcelona (UB), 08038 Barcelona, Spain
2
Research Group in Technology Applied to High Performance and Health, Department of Health Sciences, TecnoCampus, Universitat Pompeu Fabra (UPF), 08302 Barcelona, Spain
3
Sport Performance Area, FC Barcelona, 08028 Barcelona, Spain
*
Author to whom correspondence should be addressed.
Appl. Sci. 2024, 14(8), 3226; https://doi.org/10.3390/app14083226
Submission received: 22 January 2024 / Revised: 17 March 2024 / Accepted: 10 April 2024 / Published: 11 April 2024

Abstract

Hip range of movement (ROM) impairments could affect individuals’ quality of life. The aim of this study is to describe a new flexometric method (FM) as a means to estimate hip ROM and to determine its concurrent validity and inter-rater and intra-rater reliability. Hip ROM was measured by performing the straight leg raise test (SLR) and hip abduction test (HA). The WIMU system is the gold standard. ROM was calculated in degrees using a trigonometric function based on values derived from measurements with a flexometer. The SLR and the HA showed high concurrent validity and good inter- and intra-rater reliability with an interclass correlation coefficient value that was at all times > 0.9. The minimal detectable change at the 90% confidence level for inter- and intra-rater reliability was equal to or greater than 5.7° in SLR-Right, 5.6° in SLR-Left, 5.1° in HA, 6.3° in SLR-Right, 4.9° in SLR-Left, and 5.4° in HA, respectively. This study suggests that the FM is a valid and reliable tool for assessing hip ROM. Due to its convenience and cost-effectiveness, this method could be widely used to measure the ROM of several joints in field-based tests.

1. Introduction

A lack of hip range of motion (ROM) could affect the quality and quantity of mobility to perform functional tasks [1] as it has been associated with higher risk of spinal alteration [2], development of groin pain [3], low back pain [4], changes in lumbopelvic rhythm [5], patellar tendinitis [6], patellofemoral pain syndrome [7], and may predict the occurrence of leg injuries [8]. Therefore, the assessment of hip range of motion may offer numerous advantages in selecting accurate interventions [9], and it is recommended to perform regular monitoring as part of an injury prevention program [10].
Innovations in technology and diagnostic techniques may improve the framework for ROM evaluation. Hence, accurate and reliable measurement instruments are therefore essential to objectively monitor progression, outcomes, and mobility impairments. ROM can be assessed using various quantification methods [11,12,13]. Measurements vary in complexity and include observation, tape measurement (TM), electrical, electromagnetic and mechanical goniometry, electrical and mechanical inclinometry, flexible curve linear, and roentgenographic or radiographic analysis [11,14,15,16,17], and, more recently, an iPhone app was validated to measure ankle dorsiflexion [18]. Overall, these methods measure the angles created at human joints and may be used to determine the total amount of motion available at a joint. Radiographic analysis is the recognized gold standard for assessing ROM, but this is an expensive procedure with a risk of exposure to radiation [11]. Currently, given its high validity and reliability as a measure of ROM, the WIMU system (WI) is often used as the gold standard [19]. To assess the ROM, measurements of hip flexion, extension, abduction, adduction, and internal and external rotation can be performed using a goniometer [20]. This provides insights into joint mobility and potential limitations. Additionally, techniques for evaluating the range of motion in the hip and knee joints, as well as the length and flexibility of associated muscles, include the prone hip extension test, the Thomas test, the knee extension test, the Ober test, the modified Ober test, the gastrocnemius muscle length test, the straight leg raise test, and the abduction test [21]. The universal goniometer remains the most documented device for measuring ROM in these tests [22], although the reliability of the goniometric technique may be reduced when measuring hip ROM and may be highly variable depending on the movement assessed [23]. However, physical trainers and coaches commonly prioritize the capability to conduct widely accessible, cost-effective, and minimally invasive tests for analyzing athletes’ performance [13,24]. In this regard, field-based tests are generally used. Such tests are useful for measuring the distance between bony anatomical landmarks with a TM in centimeters [25,26]. Although the tape measure method (TMM) is currently being used, non-negligible effects of individual differences in leg, trunk, and arm lengths and anatomical diameter are difficult to be considered by this method. Moreover, these differences between subjects frequently have a negative impact on the validity of the test scores [26,27]. Several studies have assessed hip ROM by combining TM with trigonometric principles to provide reliable measures of joint angles [28,29,30,31], yet no studies have found valid measures to avoid individual anthropometrical differences.
As a consequence of the TMM´s limitations, the aims of this study are (i) to propose a trigonometric equation that uses values obtained from the tape measurements of the flexometric method (FM) to assess the ROM from field-based tests and (ii) to assess the concurrent validity and intra- and inter-rater reliability when applied to the right and left straight leg raise test (SLR) and the hip abduction test (HA).

2. Materials and Methods

2.1. Participants

Thirty-one physically active young students (nine women) from the Sports Science University (Institut Nacional d’Educació Física de Catalunya, INEFC) of Barcelona (age 23 ± 2.6 years; height, 174.5 ± 8.1 cm; body mass, 73.7 ± 12.6 kg; Body Mass Index, 21 ± 3.1 kg/m2) participated in this study. Participants who could not reach right and left leg abduction of 45° were excluded. All participants were fully informed regarding the procedures and risks before written consent was obtained. The study was approved by the local Human Research Ethics Committee (11/2018/CEICGC).

2.2. Procedures

2.2.1. The Gold Standard

The WIMU system (WI) (RealTrack Systems, Almería, Spain) was established as the gold standard to establish the concurrent validity of FM measurements [19,32,33,34]. It comprises a digital inclinometer displaying a range of 360° marked in 0.1° increments. The system is a small wireless device with more than 20 integrated sensors. The sensors are a 1000 Hz 3D accelerometer and a 1000 Hz gyroscope with barometer that works with an integration of sensors to improve the information. All data regarding the angle reached in each repetition [32] for both legs were sent via Bluetooth to a personal computer and were then recorded using Qüiko® software v.882 (RealTrack Systems, Almeria, Spain).

2.2.2. Field-Based Tests

Two field-based tests were carried out: the HA test and the SLR test. In the HA starting position, the subject was seated on the floor, with the torso perpendicular to the ground and the hands resting behind the body, with legs at hip level and knees extended. The subject then moved the legs into abduction. Motion occurred in the transversal plane around a vertical axis (Figure 1a). In the SLR starting position, the subject was positioned supine, with hips and knees extended. Then, the subject moved the right (SLR-R) or left (SLR-L) leg with the knee fully extended. The contralateral leg was kept on the support surface with the knee fully extended to avoid inaccurate measurement due to pelvic motion. Motion occurs in the sagittal plane around a medial–lateral axis (Figure 1b).

2.2.3. Raters’ Training

The two raters were trained by an expert (G.M.) in four separate sessions, 1 week prior to the testing session. At the start of the study, the raters did not have any experience with the use of the WI and TMM or identification of anatomical landmarks. During the first three sessions, raters were familiarized with the device and the measurement of leg length and the bitrochanteric diameter. During the final session, the ability of raters increased through the use of a specific measuring protocol for this study. Raters received clear instructions about the positioning of the device over the distal tibia and tape measuring for both the HA and SLR tests. Four healthy subjects participated in these training sessions, but only two carried out the subsequent testing.

2.2.4. Measuring Protocol

Each subject performed both the SLR (SLR-R and SLR-L) and HA tests. Rater A (RA) and Rater B (RB) measured both tests twice [measure 1 (M1), measure 2 (M2)] (Figure 2). The two raters were blinded to each other’s assessments and the results were randomly presented. WI and TMM measurements were taken at the maximal ROM of the evaluated joint. The procedure for measuring SLR and HA using the WI involved placing one device over the distal tibia of each leg. Once the subject was standing in the anatomical position, RB marked the anatomical references (greater trochanter of the femur and the lateral epicondyle of the femur) and both raters assessed the length of the leg and the bitrochanteric diameter. Then, RB indicated the subject to seat with the knee extended and feet spaced hip-width apart and move both legs into maximal abduction (M1). The subject remained immobile while the raters performed all the tests. Subsequently, using a TMM, the raters determined in random order the distance from both external sides of the calcaneus. Thereafter, RB asked the subject to move both legs again to the maximal ROM (M2). In this position, the raters repeated all the measurements.
RB asked the subject to lie face upwards with the knee extended and to raise the right or left leg with the knee fully extended (M1). The subject remained immobile while the raters performed all the tests. Subsequently, using a TMM, the raters determined the distance from the posterior calcaneal tuberosity to the initial position. Subsequently, RB asked the subject to move both legs again to the maximal ROM (M2). The raters repeated all the measurements with the subject in this position. The recovery between measurements was 5 min. A warmup on the cycle ergometer was performed, consisting of 5 min of pedaling at low intensity.

2.3. Data Analysis

2.3.1. The Flexometric Method

An isosceles triangle was generated for both extended legs. A parallel line to one leg through the greater trochanter landmark of the opposite side was used to describe a similar isosceles triangle.
The anatomical reference points are as follows:
  • Length of the leg (Lc): It is the distance between the greater trochanter and the outer edge of the calcaneus.
  • Bitrochanteric (Ac): Distance between both greater trochanters of each leg when the subject is standing and the lateral process of the tuberosity of the calcaneus.
The theoretical representation of the isosceles triangle is performed using various anatomical reference points. In the SLR test, the isosceles triangle is described by connecting the following anatomical points; the greater trochanter and both outer edges correspond to the lateral process of the tuberosity of both calcanei. In the HA test, the isosceles triangle is represented by connecting both outer edges of the lateral processes of the tuberosities of both calcanei and drawing two straight lines that, originating from these edges, project until they meet above the hip at the crossing point of each greater trochanter as anatomical reference points. Then, a line parallel to one side of the isosceles triangle is drawn passing through the greater trochanter of the opposite leg. This way, we obtain a smaller but similar isosceles triangle to the previous one, allowing for the necessary trigonometric calculations to obtain the range of motion.
This triangle was used to calculate the ROM in degrees using trigonometry (Figure 1). Specifically, the ROM was calculated from the following equations:
HA(°) = (2 × ASENO ((TM − TD)/(2 × L))) × 180/3.1416
SLR(°) = (2 × ASENO ((TM)/(2 × L))) × 180/3.1416
where TM is the tape measure (cm), TD is the trochanteric diameter (cm), L is the leg length (cm), R is the right leg length (cm), and ASENO is the inverse of the sinus.

2.3.2. Statistical Analyses

Statistical analyses were performed using the SPSS software package version 15.0 (SPSS Inc., Chicago, IL, USA) for Windows statistical program. Descriptive statistics (mean and standard deviation or SD) were used to summarize ROM measurements for both the FM and WI measurements. Two attempts for every test were recorded in each participant. Inter- and intra-observer reliability were evaluated by the interclass correlation coefficient (ICC), i.e., a two-way random effects model with a single measure (model 2.1). The ICC value can range from 0 to 1; values close to 1 indicate high reliability. Our interpretation of the ICC value was based on guidelines provided by Portney and Watkins [35], where 1 = perfect reliability, 0.90 to 0.99 = very high reliability, 0.70 to 0.89 = high reliability, 0.50 to 0.69 = moderate reliability, and a value of 0.90–0.95 was considered satisfactory for individual comparisons [36]; Scientific Advisory Committee of the Medical Outcomes Trust; [9,37,38]. In order to perform research on hip ROM and contribute to the existing knowledge, we should consider providing data on measurement properties (e.g., the standard error of measurement, SEM; and minimal detectable change, MDC) [3]. Therefore, the measurement error was evaluated by the SEM for intra- and inter-observer reliability using the formula  S E M = ×   S D 1 S r , where SD is the standard deviation of observed test scores and r is the Pearson’s correlation coefficient (PCC) for those data [9]. SEM provides an estimate of the amount of day-to-day fluctuation that is expected for a given individual’s score due to factors such as fatigue, motivation, or compliance [39]. In addition, the MDC for the inter-rater measurements at the 90% confidence level (MDC90), also called the reliable change index [40], was employed to analyze the clinically meaningful degree of difference using SEM, and was defined as MDC90  = 1.65 S E M 2 . MDC90 determines the magnitude of change that would exceed the threshold of measurement error at the 90% confidence level [40]. Pearson’s (r) correlation coefficients were calculated additionally to determine concurrent validity between FM and WIMU® system. The r values yield the degree of correlation between two measures, where 0 = no correlation between two scores and 1 or −1 = the absolute correlation between two scores. Pearson’s correlation coefficients are interpreted as follows: 0.00 to 0.19 = very weak correlation; 0.20 to 0.39 = weak correlation; 0.40 to 0.69 = moderate correlation; 0.70 to 0.89 = strong correlation; and 0.90 to 1 = very strong correlation [41,42]. Bland and Altman plots were used to provide a visual illustration of the relationship and 95% limits of agreement between the mean angle of measurement and the individual mean difference scores [35] from the validity and inter- and intra-rater reliability analyses.

3. Results

The means, standard deviations, PCC, and ICC from the SLR and HA tests are presented in Table 1. The data show very strong PCC values ranging from 0.95 to 0.97 and very high reliability (ICC = 0.99).
The mean angular measurement values for the intra- and inter-rater reliability analyses with SD, SEM, MCD90, and ICC (95% CI) are presented in Table 2 and Table 3. The data show excellent inter- and intra-rater reliability and for right and left SLR and HIP-ABD. Overall, the intra- and inter-rater reliability ICC ranged from 0.97 to 0.99. The MCD90 for the inter- and intra-rater reliability indicates that a change of equal to or greater than 5.7° (SLR-R), 5.6° (SLR-L), 5.1° (HA), 6.3° (SLR-R), 4.9° (SLR-L), and 5.4° (HA) indicates certainty that the change is not due to inertial variability or measurement error.
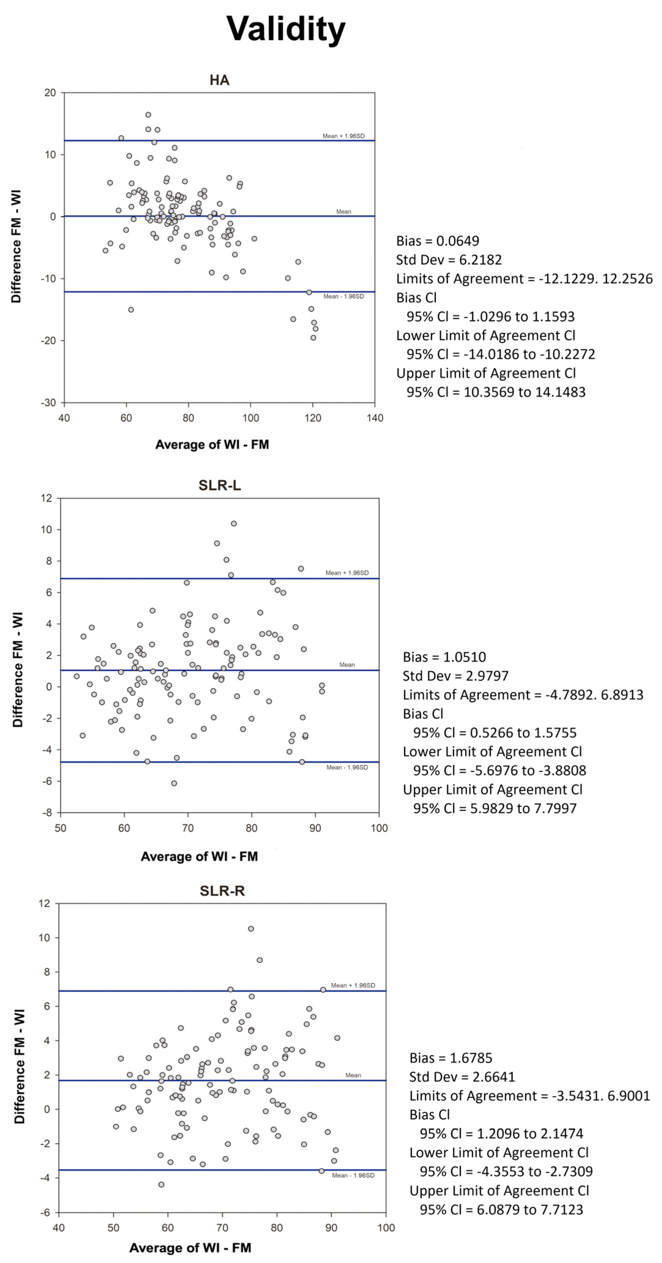
The Bland and Altman plots with accompanying 95% limits of agreement illustrate the wide range of measurement scores. For validity plots, comparisons between the FM and WI methods over the HA, SLR-L, and SLR-R tests include RA, RB, M1, and M2 scores. For the inter-reliability plots, comparisons between both raters RA and RB over the HA, SLR-L, and SLR-R tests include FM, WI, M1, and M2 scores. For the intra-reliability plots, comparisons between both measures M1 and M2 over the HA, SLR-L, and SLR-R tests include FM, WI, RA, and RB scores. The results (Figure 3 and Figure 4) indicate that both methods, the FM and WI, were unbiased in scoring SLR-R and SLR-L, and also the FM in the HA test. In contrast, a small bias existed whereby the WI tended to score higher regarding the HA test. RA and RB were unbiased in scoring over themselves, as well as M1 and M2.

4. Discussion

When physical trainers or coaches introduce a new technique for clinical assessment, an appropriate rationale for their proposals is crucial [13]. This is the first study to use an FM to determine the validity and intra- and inter-rater reliability of SLR and HA. Despite the simplicity of the TMM assessment of ROM, there is a lack of scientific evidence confirming the validity of these procedures compared with different gold standards, such as X-ray analysis, an electrical goniometer, or an inclinometer. Sometimes, the poor validity has been related to the proportional differences in arm and leg lengths between subjects [43,44,45]. For instance, some limitations include the TheraBite for measuring the motion of the temporomandibular joint, and specialized devices for measuring the motion of the shoulder [46], forearm [36,47], wrist [48], hand [49,50], hip [51], knee [51], foot, and ankle [52,53].
This study was conducted to evaluate a novel FM by which the hip ROM can be calculated in degrees using the values provided by a flexometer. The method uses TMM and several anatomical lengths and diameters as anatomical references. The FM for field-based tests was designed to estimate ROM and eliminate the effects of individual and developmental differences in leg length and bitrochanteric diameter that negatively influence test scores.
The main finding of this study was that the FM is a valid and reliable method to assess ROM for both SLR and HA tests. The FM method involves a non-invasive, simple, and easy test, which produced nearly identical ROM results to those obtained by using the WI. The PCC analysis showed an almost perfect correlation between the two methods, suggesting that the FM may be as useful as the WI if used consistently [54]. Moreover, the ICC in our study ranged from 0.97 to 0.99. This range is placed above the upper limit of 0.85 for being considered clinically useful [55] and appropriate when testing single subjects [56]. The MDC90 indicates that a change equal to or greater than the values reported in this investigation would be required over treatment sessions or in research trials to be 90% certain that the change is not due to inter-trial variability or measurement error. Furthermore, FM requires only minimal training, and there is no need for specialized equipment or facilities.
The overall reliability and measurement error of this new method were similar to the WI. When we compared the WI results obtained in our study with a previous study measuring a passive straight leg raise test, the results showed similar overall reliability based on the ICC analysis [19]. The inter- and intra-rater reliability were similar for the SLR and HA measurements. Nonetheless, higher SEM and MDC90 were obtained using the WI for the HA inter- and intra-rater reliability. The higher SEM, MDC90, and the widest range of scores in the Bland and Altman plots for the WI in the HA test could be explained by recording with two WIs simultaneously.
Although the raters who participated in this study had little experience in TMM, WI utilization, and anatomical landmark location, excellent inter- and intra-rater reliability results were obtained. The standardization and training in the process of measurement during several preliminary meetings should be sufficient to minimize interpretation errors. Owing to the variations between the two tests for hip flexion and hip abduction, the reliability of measurements may be variable depending on the technique being used. Nevertheless, the levels of inter- and intra-rater reliability reported by several authors using different techniques ranged from poor to good, and were usually slightly lower for HA [57,58].
Lima et al. [59] proposed a trigonometric method to evaluate the abduction angle of the lower limbs in neonates. This method, which is similar to that previously described by Moras et al. [26], uses as a reference an isosceles triangle drawn on a clipboard. Measurement of the inferential abduction angle from one of the two straight triangles, and generated with the bisectrix of the isosceles triangle, was obtained by calculating the sine dividing the opposite side of the angle by the hypotenuse. This method has been defined by the authors as a precise measurement of the abduction angle of the lower limbs. However, this latter study has some limitations, being that each limb was measured independently and the rater has to mark the references on a piece of paper before drawing the triangle on a clipboard and calculating the sine. Furthermore, the reference point on the sagittal line, which corresponds to one of the two equal sides of the isosceles triangle, does not completely eliminate the influence of the bitrochanteric diameter in the final result. Particularly, the reference used to depict the isosceles triangle is the umbilical scar instead of the bitrochanteric diameter. Conversely, the ROMs in the present study were calculated after obtaining the measurements, using simple equations previously generated in an Excel spreadsheet, to eliminate the effects of individual differences in leg lengths and bitrochanteric diameter. Lima et al. generated an isosceles triangle for both extended legs, and a parallel line to one leg through the greater trochanter landmark on the opposite side is used to describe a similar isosceles triangle, from which two straight triangles are generated. One of the two triangles should be used to calculate the ROM by means of a simple equation. However, a shortcoming derived from this latter issue may be that a slight variation during identification and localization of anatomical landmarks and tape measuring could influence the final ROM calculation depending on the length of the subject’s legs. In contrast to this disadvantage, changes in the TM score have less influence on the calculated ROM when using the FM method in subjects irrespective of the length of their legs.
Flexibility is of interest to coaches, fitness trainers, physical education teachers, physiologists, and physiotherapists, among others, all of whom agree on its importance in sports performance, injury prevention, and rehabilitation. Therefore, having valid and reliable indirect tests is essential. Although in this study the FM has been applied to two tests, namely the SLR and the HA, this method can be extended to any test in which the joint angle to be measured is delimited by anatomical landmarks that enable describing an isosceles triangle.

5. Conclusions

The FM has been observed to be a valid, reliable, accurate, simple, and widely available test that is interchangeable with the WI. Unlike commercial goniometers, using the FM puts aside the need to purchase a special device. All that is needed is a simple TM and an Excel spreadsheet. This study has several limitations. First, hip ROM was only measured in two planes; however, the FM can be applied to other joints. Second, the FM can only be applied when the selected test can be depicted as an isosceles triangle. Third, a lack of between-day reliability data was observed. Due to its convenience and cost-effectiveness, this novel method could be widely used for measuring the ROM of several joints; however, its concurrent validity and reliability need to be further studied.

Author Contributions

Conceptualization, G.M.F.; methodology, G.M.F., J.G.-O., S.R.-J., B.F.-V. and S.G.-M.; software, G.M.F. and B.F.-V.; validation, G.M.F., B.F.-V., J.G.-O. and J.G.; formal analysis, J.G.-O. and J.G.; investigation, G.M.F., J.G.-O., J.G., J.V.-G., S.R.-J. and B.F.-V.; resources, G.M.F.; data curation, J.G.-O., J.G., S.R.-J., B.F.-V. and S.G.-M.; writing—original draft preparation, G.M.F.; writing—review and editing, G.M.F., J.G.-O., B.F.-V. and S.G.-M.; visualization, G.M.F., J.G.-O., J.G., J.V.-G., S.R.-J., B.F.-V. and S.G.-M.; supervision, G.M.F.; project administration, G.M.F. and B.F.-V.; funding acquisition, B.F.-V. All authors have read and agreed to the published version of the manuscript.

Funding

This study has not received external funding.

Institutional Review Board Statement

The study was conducted according to the guidelines of the Declaration of Helsinki and approved by the Ethics Committee for Clinical Sport Research of Catalonia (11/2018/CEICGC).

Informed Consent Statement

Informed consent was obtained from all subjects involved in the study.

Data Availability Statement

The raw data supporting the conclusions of this article will be made available by the authors on request.

Acknowledgments

We thank the participants of the study for their collaboration.

Conflicts of Interest

Author Jairo Vazquez-Guerrero was employed by the company FC Barcelona. The remaining authors declare that the research was conducted in the absence of any commercial or financial relationships that could be construed as a potential conflict of interest.

References

  1. Davis Hammonds, A.L.; Laudner, K.G.; McCaw, S.; McLoda, T.A. Acute Lower Extremity Running Kinematics after a Hamstring Stretch. J. Athl. Train. 2012, 47, 5–14. [Google Scholar] [CrossRef]
  2. Muyor, J.M.; López-Miñarro, P.A.; Alacid, F. The Relationship between Hamstring Muscle Extensibility and Spinal Postures Varies with the Degree of Knee Extension. J. Appl. Biomech. 2013, 29, 678–686. [Google Scholar] [CrossRef] [PubMed]
  3. Tak, I.; Engelaar, L.; Gouttebarge, V.; Barendrecht, M.; Van Den Heuvel, S.; Kerkhoffs, G.; Langhout, R.; Stubbe, J.; Weir, A. Is Lower Hip Range of Motion a Risk Factor for Groin Pain in Athletes? A Systematic Review with Clinical Applications. Br. J. Sports Med. 2017, 51, 1611–1621. [Google Scholar] [CrossRef] [PubMed]
  4. Radwan, A.; Bigney, K.A.; Buonomo, H.N.; Jarmak, M.W.; Moats, S.M.; Ross, J.K.; Tatarevic, E.; Tomko, M.A. Evaluation of Intra-Subject Difference in Hamstring Flexibility in Patients with Low Back Pain: An Exploratory Study. J. Back. Musculoskelet. Rehabil. 2015, 28, 61–66. [Google Scholar] [CrossRef] [PubMed]
  5. Esola, M.A.; McClure, P.W.; Fitzgerald, G.K.; Siegler, S. Analysis of Lumbar Spine and Hip Motion during Forward Bending in Subjects with and without a History of Low Back Pain. Spine 1996, 21, 71–78. [Google Scholar] [CrossRef]
  6. Scattone Silva, R.; Nakagawa, T.H.; Ferreira, A.L.G.; Garcia, L.C.; Santos, J.E.M.; Serrão, F. V Lower Limb Strength and Flexibility in Athletes with and without Patellar Tendinopathy. Phys. Ther. Sport 2016, 20, 19–25. [Google Scholar] [CrossRef] [PubMed]
  7. Piva, S.R.; Goodnite, E.A.; Childs, J.D. Strength around the Hip and Flexibility of Soft Tissues in Individuals with and without Patellofemoral Pain Syndrome. J. Orthop. Sports Phys. Ther. 2005, 35, 793–801. [Google Scholar] [CrossRef] [PubMed]
  8. Dallinga, J.M.; Benjaminse, A.; Lemmink, K.A.P.M. Which Screening Tools Can Predict Injury of the Lower Extremeties in Team Sports? Sports Med. 2012, 42, 791–815. [Google Scholar] [CrossRef] [PubMed]
  9. Kolber, M.J.; Vega, F., Jr.; Widmayer, K.; Cheng, M.-S.S. The Reliability and Minimal Detectable Change of Shoulder Mobility Measurements Using a Digital Inclinometer. Physiother. Theory Pract. 2011, 27, 176–184. [Google Scholar] [CrossRef]
  10. Paul, D.J.; Nassis, G.P.; Whiteley, R.; Marques, J.B.; Kenneally, D.; Chalabi, H. Acute Responses of Soccer Match Play on Hip Strength and Flexibility Measures: Potential Measure of Injury Risk. J. Sports Sci. 2014, 32, 1318–1323. [Google Scholar] [CrossRef]
  11. Ng, J.K.F.; Kippers, V.; Richardson, C.A.; Parnianpour, M. Range of Motion and Lordosis of the Lumbar Spine: Reliability of Measurement and Normative Values. Spine 2001, 26, 53–60. [Google Scholar] [CrossRef] [PubMed]
  12. Van Herp, G.; Rowe, P.; Salter, P.; Paul, J.P. Three-dimensional Lumbar Spinal Kinematics: A Study of Range of Movement in 100 Healthy Subjects Aged 20 to 60+ Years. Rheumatology 2000, 39, 1337–1340. [Google Scholar] [CrossRef] [PubMed]
  13. Pazira, P.; Rostami Haji-Abadi, M.; Zolaktaf, V.; Sabahi, M.; Pazira, T. The Better Way to Determine the Validity, Reliability, Objectivity and Accuracy of Measuring Devices. Work. 2016, 54, 495–505. [Google Scholar] [CrossRef] [PubMed]
  14. Ensink, F.-B.M.; Saur, P.M.M.; Frese, K.; Seeger, D.; Hildebrandt, J. Lumbar Range of Motion: Influence of Time of Day and Individual Factors on Measurements. Spine 1996, 21, 1339–1343. [Google Scholar] [CrossRef] [PubMed]
  15. Lee, S.-W.; Wong, K.W.N.; Chan, M.-K.; Yeung, H.-M.; Chiu, J.L.F.; Leong, J.C.Y. Development and Validation of a New Technique for Assessing Lumbar Spine Motion. Spine 2002, 27, E215–E220. [Google Scholar] [CrossRef]
  16. Mayer, T.G.; Kondraske, G.; Beals, S.B.; Gatchel, R.J. Spinal Range of Motion: Accuracy and Sources of Error with Inclinometric Measurement. Spine 1997, 22, 1976–1984. [Google Scholar] [CrossRef]
  17. Perret, C.; Poiraudeau, S.; Fermanian, J.; Revel, M. Pelvic Mobility When Bending Forward in Standing Position: Validity and Reliability of 2 Motion Analysis Devices. Arch. Phys. Med. Rehabil. 2001, 82, 221–226. [Google Scholar] [CrossRef] [PubMed]
  18. Balsalobre-Fernández, C.; Romero-Franco, N.; Jiménez-Reyes, P. Concurrent Validity and Reliability of an IPhone App for the Measurement of Ankle Dorsiflexion and Inter-Limb Asymmetries. J. Sports Sci. 2018, 37, 249–253. [Google Scholar] [CrossRef]
  19. Muyor, J.M. Validity and Reliability of a New Device (WIMU®) for Measuring Hamstring Muscle Extensibility. Int. J. Sports Med. 2017, 38, 691–695. [Google Scholar] [CrossRef] [PubMed]
  20. Norkin, C.C.; White, D.J. Measurement of Joint Motion: A Guide to Goniometry; F. A. Davis: Philadelphia, PA, USA, 2016; ISBN 0803658478. [Google Scholar]
  21. Bandy, W.D.; Reese, N.B. Joint Range of Motion and Muscle Length Testing; Elsevier: Amsterdam, The Netherlands, 2009. [Google Scholar]
  22. Lea, R.D.; Gerhardt, J.J. Range-of-Motion Measurements. JBJS 1995, 77, 784–798. [Google Scholar] [CrossRef]
  23. van Trijffel, E.; van de Pol, R.J.; Oostendorp, R.A.B.; Lucas, C. Inter-Rater Reliability for Measurement of Passive Physiological Movements in Lower Extremity Joints Is Generally Low: A Systematic Review. J. Physiother. 2010, 56, 223–235. [Google Scholar] [CrossRef]
  24. van der Wurff, P.; Hagmeijer, R.H.M.; Meyne, W. Clinical Tests of the Sacroiliac Joint: A Systematic Methodological Review. Part 1: Reliability. Man. Ther. 2000, 5, 30–36. [Google Scholar] [CrossRef]
  25. Kirby, R.F. Kirby’s Guide to Fitness and Motor Performance Tests; BenOak Pub. Co.: Cape Girardeau, MO, USA, 1991; ISBN 9780962909832. [Google Scholar]
  26. Moras, G. Amplitud de Moviment Articular i La Seva Valoració: El Test Flexomètric. Ph.D. Thesis, University of Barcelona, Barcelona, Spain, 2002. [Google Scholar]
  27. MacDougall, J.D.; Wenger, H.A.; Green, H.J. Physiological Testing of the High-Performance Athlete; Human Kinetics Books: Champaign, IL, USA, 1991; ISBN 0873223004. [Google Scholar]
  28. Tanigawa, M.C. Comparison of the Hold-Relax Procedure and Passive Mobilization on Increasing Muscle Length. Phys. Ther. 1972, 52, 725–735. [Google Scholar] [CrossRef]
  29. Frost, M.; Stuckey, S.; Smalley, L.A.; Dorman, G. Reliability of Measuring Trunk Motions in Centimeters. Phys. Ther. 1982, 62, 1431–1437. [Google Scholar] [CrossRef]
  30. Hsieh, C.-Y.; Walker, J.M.; Gillis, K. Straight-Leg-Raising Test: Comparison of Three Instruments. Phys. Ther. 1983, 63, 1429–1433. [Google Scholar] [CrossRef] [PubMed]
  31. Wakefield, C.B.; Halls, A.; Difilippo, N.; Cottrell, G.T. Reliability of Goniometric and Trigonometric Techniques for Measuring Hip-Extension Range of Motion Using the Modified Thomas Test. J. Athl. Train. 2015, 50, 460–466. [Google Scholar] [CrossRef] [PubMed]
  32. Oliva-Lozano, J.M.; Martín-Fuentes, I.; Muyor, J.M. Validity and Reliability of a New Inertial Device for Monitoring Range of Motion at the Pelvis during Sexual Intercourse. Int. J. Environ. Res. Public Health 2020, 17, 2884. [Google Scholar] [CrossRef] [PubMed]
  33. Oliva-Lozano, J.M.; Martín-Fuentes, I.; Muyor, J.M. Validity and Reliability of an Inertial Device for Measuring Dynamic Weight-Bearing Ankle Dorsiflexion. Sensors 2020, 20, 399. [Google Scholar] [CrossRef] [PubMed]
  34. García-Rubio, J.; Pino, J.; Olivares, P.R.; Ibáñez, S.J. Validity and Reliability of the WIMUTM Inertial Device for the Assessment of Joint Angulations. Int. J. Environ. Res. Public Health 2020, 17, 193. [Google Scholar] [CrossRef]
  35. Portney, L.G.; Watkins, M.P. Foundations of Clinical Research: Applications to Practice, 3rd ed.; Prentice Hall: Upper Saddle River, NJ, USA, 2009; ISBN 1540-580X. [Google Scholar]
  36. Burdock, E.I.; Fleiss, J.L.; Hardesty, A.S. A New View of Inter-Observer Agreement. Pers. Psychol. 1963, 16, 373–384. [Google Scholar] [CrossRef]
  37. de Winter, A.F.; Heemskerk, M.A.M.B.; Terwee, C.B.; Jans, M.P.; Devillé, W.; Van Schaardenburg, D.-J.; Scholten, R.J.P.M.; Bouter, L.M. Inter-Observer Reproducibility of Measurements of Range of Motion in Patients with Shoulder Pain Using a Digital Inclinometer. BMC Musculoskelet. Disord. 2004, 5, 18. [Google Scholar] [CrossRef] [PubMed]
  38. Aaronson, N.; Alonso, J.; Burman, A.; Lohr, K.N.; Patrick, D.L.; Perrin, E.; Stein, R.E. Assessing Health Status and Quality-of-Life Instruments: Attributes and Review Criteria. Qual. Life Res. 2002, 11, 193–205. [Google Scholar] [PubMed]
  39. Hinderer, K.A.; Richardson, P.K.; Atwater, S.W. Clinical Implication of the Peabody Developmental Motor Scales: A Constructive Review. Phys. Occup. Ther. Pediatr. 1989, 9, 81–106. [Google Scholar] [CrossRef] [PubMed]
  40. Haley, S.M.; Fragala-Pinkham, M.A. Interpreting Change Scores of Tests and Measures Used in Physical Therapy. Phys. Ther. 2006, 86, 735–743. [Google Scholar] [CrossRef] [PubMed]
  41. Fowler, J.; Jarvis, P.; Chevannes, M. Practical Statistics for Nursing and Health Care; John Wiley & Sons: Hoboken, NJ, USA, 2013; ISBN 111868561X. [Google Scholar]
  42. Streiner, D.L.; Norman, G.R.; Cairney, J. Health Measurement Scales: A Practical Guide to Their Development and Use; Oxford University Press: Oxford, UK, 2015; ISBN 0199685215. [Google Scholar]
  43. Hoeger, W.W.K.; Hopkins, D.R. A Comparison of the Sit and Reach and the Modified Sit and Reach in the Measurement of Flexibility in Women. Res. Q. Exerc. Sport 1992, 63, 191–195. [Google Scholar] [CrossRef]
  44. Minkler, S.; Patterson, P. The Validity of the Modified Sit-and-Reach Test in College-Age Students. Res. Q. Exerc. Sport 1994, 65, 189–192. [Google Scholar] [CrossRef]
  45. Patterson, P.; Wiksten, D.L.; Ray, L.; Flanders, C.; Sanphy, D. The Validity and Reliability of the Back Saver Sit-and-Reach Test in Middle School Girls and Boys. Res. Q. Exerc. Sport 1996, 67, 448–451. [Google Scholar] [CrossRef] [PubMed]
  46. Allander, E.; Björnsson, O.J.; Olafsson, O.; Sigfusson, N.; Thorsteinsson, J. Normal Range of Joint Movements in Shoulder, Hip, Wrist and Thumb with Special Reference to Side: A Comparison between Two Populations. Int. J. Epidemiol. 1974, 3, 253–261. [Google Scholar] [CrossRef] [PubMed]
  47. Armstrong, A.D.; MacDermid, J.C.; Chinchalkar, S.; Stevens, R.S.; King, G.J.W. Reliability of Range-of-Motion Measurement in the Elbow and Forearm. J. Shoulder Elb. Surg. 1998, 7, 573–580. [Google Scholar] [CrossRef]
  48. Darcus, H.D.; Salter, N. The Amplitude of Pronation and Supination with the Elbow Flexed to a Right Angle. J. Anat. 1953, 87, 169–184. [Google Scholar]
  49. Ellis, B.; Bruton, A.; Goddard, J.R. Joint Angle Measurement: A Comparative Study of the Reliability of Goniometry and Wire Tracing for the Hand. Clin. Rehabil. 1997, 11, 314–320. [Google Scholar] [CrossRef] [PubMed]
  50. Hamilton, G.F.; Lachenbruch, P.A. Reliability of Goniometers in Assessing Finger Joint Angle. Phys. Ther. 1969, 49, 465–469. [Google Scholar] [CrossRef] [PubMed]
  51. Fairbank, J.C.; Pynsent, P.B.; Phillips, H. Quantitative Measurements of Joint Mobility in Adolescents. Ann. Rheum. Dis. 1984, 43, 288–294. [Google Scholar] [CrossRef] [PubMed]
  52. Åström, M.; Arvidson, T. Alignment and Joint Motion in the Normal Foot. J. Orthop. Sports Phys. Ther. 1995, 22, 216–222. [Google Scholar] [CrossRef]
  53. Rome, K. Ankle Joint Dorsiflexion Measurement Studies. A Review of the Literature. J. Am. Podiatr. Med. Assoc. 1996, 86, 205–211. [Google Scholar] [CrossRef] [PubMed]
  54. Williams, R.M.; Goldsmith, C.; Minuk, T. Validity of the Double Inclinometer Method for Measuring Lumbar Flexion. Physiother. Can. 1998, 50, 147–152. [Google Scholar]
  55. Chinn, S. Statistics in Respiratory Medicine. 2. Repeatability and Method Comparison. Thorax 1991, 46, 454. [Google Scholar] [CrossRef] [PubMed]
  56. Ware Jr, J.E.; Brook, R.H.; Davies, A.R.; Lohr, K.N. Choosing Measures of Health Status for Individuals in General Populations. Am. J. Public Health 1981, 71, 620–625. [Google Scholar] [CrossRef] [PubMed]
  57. Ahlbäck, S.-O.; Lindahl, O. Sagittal Mobility of the Hip-Joint. Acta Orthop. Scand. 1964, 34, 310–322. [Google Scholar] [CrossRef]
  58. Clapper, M.P.; Wolf, S.L. Comparison of the Reliability of the Orthoranger and the Standard Goniometer for Assessing Active Lower Extremity Range of Motion. Phys. Ther. 1988, 68, 214–218. [Google Scholar] [CrossRef]
  59. Lima, T.; Alves, C.; Funayama, C.A.R. Proposal for a Trigonometric Method to Evaluate the Abduction Angle of the Lower Limbs in Neonates. J. Child. Neurol. 2008, 23, 1451–1454. [Google Scholar] [CrossRef] [PubMed]
Figure 1. (a). Hip abduction test (HA). L: leg length; TD: bitrochanteric diameter; TM; tape measure. (b). Straight leg raise test (SLR) (Right: SLR-R; Left: SLR-L): L: leg length; TM; tape measure.
Figure 1. (a). Hip abduction test (HA). L: leg length; TD: bitrochanteric diameter; TM; tape measure. (b). Straight leg raise test (SLR) (Right: SLR-R; Left: SLR-L): L: leg length; TM; tape measure.
Applsci 14 03226 g001
Figure 2. An illustrative chart of the study design. HA: hip abduction test; SLR: straight leg raise test; SLR-R: R: right leg; SLR-L: left leg. WI: WIMU system; FM: flexometric method.
Figure 2. An illustrative chart of the study design. HA: hip abduction test; SLR: straight leg raise test; SLR-R: R: right leg; SLR-L: left leg. WI: WIMU system; FM: flexometric method.
Applsci 14 03226 g002
Figure 3. Bland and Altman plots for validity visual illustration. HA: hip abduction test. SLR-R: straight leg raise test for right leg. SLR-L: straight leg raise test for left leg, illustrated with FM: flexometric method and WI: WIMU system comparisons, where M1: Measure 1, M2: Measure 2, RA: Rater A, and RB: Rater B scores were included for each plot.
Figure 3. Bland and Altman plots for validity visual illustration. HA: hip abduction test. SLR-R: straight leg raise test for right leg. SLR-L: straight leg raise test for left leg, illustrated with FM: flexometric method and WI: WIMU system comparisons, where M1: Measure 1, M2: Measure 2, RA: Rater A, and RB: Rater B scores were included for each plot.
Applsci 14 03226 g003
Figure 4. Bland and Altman plots for INTER: inter-reliability and INTRA: intra-reliability visual illustration. HA: hip abduction test. SLR-R: straight leg raise test for right leg. SLR-L: straight leg raise test for left leg were illustrated. For INTER plots, RA: Rater A and RB: Rater B comparisons were used, where M1: Measure 1, M2: Measure 2, FM: flexometric method, and WI: WIMU system scores were included for each plot. For INTRA plots, M1: Measure 1 and M2: Measure 2 comparisons were used, where RA: Rater A, RB: Rater B, FM: flexometric method, and WI: WIMU system scores were included for each plot.
Figure 4. Bland and Altman plots for INTER: inter-reliability and INTRA: intra-reliability visual illustration. HA: hip abduction test. SLR-R: straight leg raise test for right leg. SLR-L: straight leg raise test for left leg were illustrated. For INTER plots, RA: Rater A and RB: Rater B comparisons were used, where M1: Measure 1, M2: Measure 2, FM: flexometric method, and WI: WIMU system scores were included for each plot. For INTRA plots, M1: Measure 1 and M2: Measure 2 comparisons were used, where RA: Rater A, RB: Rater B, FM: flexometric method, and WI: WIMU system scores were included for each plot.
Applsci 14 03226 g004
Table 1. Correlations between the FM and WI from the two raters. Values are mean (SD). FM: flexometric method; WI: WIMU system; ROM: range of movement; PCC: Pearson’s correlation coefficient; ICC: interclass correlation coefficient; CI: confidence interval; SLR: straight leg raise test; SLR-R: right; SLR-L: left; HA: hip abduction.
Table 1. Correlations between the FM and WI from the two raters. Values are mean (SD). FM: flexometric method; WI: WIMU system; ROM: range of movement; PCC: Pearson’s correlation coefficient; ICC: interclass correlation coefficient; CI: confidence interval; SLR: straight leg raise test; SLR-R: right; SLR-L: left; HA: hip abduction.
ROM Mean Angle ° (SD)Correlations
ModalityMovementFMWIPCCICC95% CI
FM/WISLR-R70.9 (10.8)69.2 (10.5)0.97 **0.990.98–0.99
SLR-L71.2 (10.3)70.2 (9.9)0.96 **0.990.98–0.99
HA79.1 (13.3)79.1 (17.0)0.95 **0.990.98–0.99
** p < 0.001.
Table 2. Inter-rater reliability for both the FM and WI.
Table 2. Inter-rater reliability for both the FM and WI.
ROM Mean Angle ° (SD)
ModalityMovementRater ARater BSEMMCD 90%ICC95% CI
FMSLR-R70.9 (10.4)71.2 (11.4)2.45.70.970.95–0.98
SLR-L71.2 (9.5)71.7 (10.2)2.45.60.980.96–0.99
HA79.1 (12.6)78.7 (13)2.25.10.990.98–0.99
WISLR-R69.3 (10.1)69.2 (11)2.45.50.970.95–0.99
SLR-L70.7 (9.1)70.3 (9.7)2.35.40.980.96–0.99
HA79.2 (17.1)79.2 (17.3)3.480.990.98–0.99
Values are mean (SD). FM: flexometric method; WI: WIMU system; ROM: range of movement; SEM: standard error of measurement; MDC: minimal detectable change; ICC: interclass correlation coefficient; CI: confidence interval; SLR: straight leg raise test; SLR-R: right; SLR-L: left; HA: hip abduction.
Table 3. Intra-rater (B) reliability for both the FM and WI.
Table 3. Intra-rater (B) reliability for both the FM and WI.
ROM Mean Angle ° (SD)
ModalityMovementMeasure 1Measure 2SEMMCD 90%ICC95% CI
FMSLR-R71.2 (11.3)73.3 (10.5)2.76.30.970.93–0.99
SLR-L71.7 (10.2)72.9 (10.9)2.14.90.980.95–0.99
HA78.7 (13)79.5 (13.9)2.35.40.980.96–0.99
WISLR-R69.2 (11)71.1 (10.1)2.660.970.93–0.98
SLR-L70.3 (9.7)71.3 (10.4)2.35.30.980.95–0.99
HA79.2 (17.3)80 (17.7)3.99.10.970.95–0.99
Values are mean (SD). FM: flexometric method; WI: WIMU system; ROM: range of movement; SEM: standard error of measurement; MDC: minimal detectable change; ICC: interclass correlation coefficient; CI: confidence interval; SLR: straight leg raise test; SLR-R: right; SLR-L: left; HA: hip abduction.
Disclaimer/Publisher’s Note: The statements, opinions and data contained in all publications are solely those of the individual author(s) and contributor(s) and not of MDPI and/or the editor(s). MDPI and/or the editor(s) disclaim responsibility for any injury to people or property resulting from any ideas, methods, instructions or products referred to in the content.

Share and Cite

MDPI and ACS Style

Moras Feliu, G.; Gisbert-Orozco, J.; González, J.; Vazquez-Guerrero, J.; Rodríguez-Jiménez, S.; González-Millan, S.; Fernández-Valdés, B. A New Flexometric Method to Evaluate Range of Movement: A Validity and Reliability Study. Appl. Sci. 2024, 14, 3226. https://doi.org/10.3390/app14083226

AMA Style

Moras Feliu G, Gisbert-Orozco J, González J, Vazquez-Guerrero J, Rodríguez-Jiménez S, González-Millan S, Fernández-Valdés B. A New Flexometric Method to Evaluate Range of Movement: A Validity and Reliability Study. Applied Sciences. 2024; 14(8):3226. https://doi.org/10.3390/app14083226

Chicago/Turabian Style

Moras Feliu, Gerard, Jose Gisbert-Orozco, Jacob González, Jairo Vazquez-Guerrero, Sergio Rodríguez-Jiménez, Sara González-Millan, and Bruno Fernández-Valdés. 2024. "A New Flexometric Method to Evaluate Range of Movement: A Validity and Reliability Study" Applied Sciences 14, no. 8: 3226. https://doi.org/10.3390/app14083226

APA Style

Moras Feliu, G., Gisbert-Orozco, J., González, J., Vazquez-Guerrero, J., Rodríguez-Jiménez, S., González-Millan, S., & Fernández-Valdés, B. (2024). A New Flexometric Method to Evaluate Range of Movement: A Validity and Reliability Study. Applied Sciences, 14(8), 3226. https://doi.org/10.3390/app14083226

Note that from the first issue of 2016, this journal uses article numbers instead of page numbers. See further details here.

Article Metrics

Back to TopTop