Abstract
The aim of using minimal food processing technologies is to preserve the raw material or to achieve a special technological goal with the least possible impact. When several technologies are used together, the intensity of each treatment can be reduced according to Leistner’s hurdle principle. Does the order of application of the treatments result in a detectable difference? This research focuses on the effect of the combination of the sous-vide technology and the high hydrostatic pressure (HHP) treatment. The effect of the pressure level (300 and 600 MPa) and the influence of the treatment order was investigated on pork (longissimus thoracis and lumborum muscles (LTL)). Physico-chemical and microbiological measurements were carried out on day 0 and after 21-day storage at 2 °C and 8 °C. Significant differences were found for both the order of treatment and pressure level in weight loss (p < 0.001), CIELab color parameters a* and b* (p < 0.001), and denaturation enthalpy (p < 0.01). The texture (p < 0.001) and lipid oxidation TBARS values (p < 0.05) were only influenced by the pressure level. In the challenge test, the initial count of 105 CFU/g Listeria monocytogenes dropped below detection limit in all cases. Total aerobic and anaerobic viable numbers were below/near the detection limit in all combined-treated samples on day 0 and showed only slight or more notable growth after 21-day storage at 2 °C and 8 °C, respectively. An additional 300 MPa pressure treatment can increase the safety of sous-vide cooked pork samples while having only a minor effect on physicochemical properties. The 600 MPa pressure treatment results in a stable, albeit not shelf-stable product, but it also affects a considerable number of quality parameters such as color, texture, weight loss, and TBARS values.
1. Introduction
The target of all minimal food processing technology is to preserve food with the least invasive method and at the lowest possible level of treatment. Extending the shelf life of meat-based food products while protecting their high nutritional value is still a major concern for food researchers.
The production and consumption of sous-vide (SV) products have increased significantly throughout the world. These products cooked at lower temperatures are becoming more and more popular due to several reasons, such as their higher nutritional value, sensory characteristics (more intense taste and rich aroma), and the attraction of some consumers to new and exotic food experiences [1,2,3,4]. Longer shelf life, easier handling, and less food waste are also advantages of this cooking technique. There are also disadvantages to this method. The generally applied heat treatment parameters at sous-vide technology result in a product that requires extra care regarding storage temperature. Treated samples should be kept under precise storage conditions (<3 °C) to ensure food safety [5,6,7]. The reason for this is to inhibit toxin production by any clostridial spores that may still be present after low-temperature heat treatment, as Clostridium botulinum spores are not capable of growth or toxin production below 3.3 °C in the case of the C. botulinum type E and non-proteolytic types B and F, while in the case of type A and proteolytic types B and F, the minimum temperature for growth is 10 °C [8]. This refrigeration (uninterrupted cold chain) limits the logistics of the sous-vide food products and has a significant cost-increasing effect on the supply chain. A recent review [9] reveals the very broad range of temperature (50 to 85 °C) and treatment time (from 2 to 48 h) applied in sous-vide technology. These parameters are highly dependent on the raw material and the physical size of the sample.
The sous-vide technology has been a constant focus of interest since its development in the 1970s. Today, it is not only used alone but also in combination with other low-impact processes, as these combined processes can reduce the food safety risk associated with the technology due to the low-temperature heat treatment. Forward-looking results have been obtained for sous-vide chicken breasts, where the temperature was increased in several steps during the heat treatment [10,11,12]. Both the texture, weight loss values, and organoleptic properties were improved compared to the single-step treatment.
High hydrostatic pressure (HHP) extends shelf life while retaining the original flavor and characteristics of food [13,14]. The different effects of HHP are widely investigated and have been found to be very effective in stabilizing the microbial state while having only a mild impact on the structural, organoleptic, or other physical or chemical parameters of the product. HHP inactivates microorganisms by damaging their membranes, denaturing the enzymes, and changing cell morphology [15]. This technology is being applied to dry-fermented sausage [16], fish [17], seafood (oyster) processing [18], cheese [19], sauerkraut [20], and pseudo-meat products [21]. In the case of meat alternatives, the quality attributes were highly affected by the pre-treatment method, so the results for aroma, texture, and weight loss are promising both in the mild-heat and the HHP treatment [21].
Apart from the above-mentioned beneficial results, the application of HHP may generate higher lipid oxidation rates [22,23] or higher weight loss due to the modified cell structure and membrane damage. Hassoun and colleagues [24] provide a thorough description of the effects of traditional and low-impact technologies, noting the importance of heat load reduction and homogeneity in heat treatments. In the case of HHP technology, all cited studies report an increase in shelf life [24].
Combining these two physical minimal processing methods—a thermal and a non-thermal technique—without altering the composition with the addition of acids or preservative chemicals seems to fulfill the requirements. Following the hurdle principle [25], the heat treatment may increase the lethality and decrease the intensity of the high-pressure treatment process [26]. In fact, the sous-vide technology itself is a three-step combined technology and thus a good example of the hurdle principle [25]. It combines (i) vacuum packaging with the exclusion of oxygen and resulting anaerobic conditions, (ii) mild heat treatment (55–90 °C) with precise temperature control, and (iii) quick cooling and refrigerated storage after heat treatment. The high hydrostatic pressure as an additional hurdle may reduce the necessity of strict refrigeration and could mean safer and more stable products, lower costs, higher nutritional value, and easier handling. As the PA/PE poach packaging of the raw material is suitable for both technologies, cross- and post-contamination is excluded at all levels of the technology chain during treatments.
Traditional cooking methods, pasteurization alone, or pressure treatment at ambient temperature are not sufficient to inactivate bacterial spores. Even when food is processed for extended holding times, only living bacterial cells are vulnerable. Single-step treatments at higher temperatures (>121 °C) or at higher pressure levels (>800 MPa) can kill pathogens and inactivate spores as well. On the other hand, the combination of pressure (500–900 MPa) and heat (90–120 °C) is required to inactivate bacterial spores [27]. The application of heat at slightly elevated pressure values (2–300 kPa) is widely used as a sterilization process for medical or waste treatment purposes. Examples can be found for pressure-assisted thermal sterilization of foods, aiming to inactivate bacterial spores [27,28,29,30,31]. Hygreeva and Pandey [32] reviewed the safety aspects of the HHP processing, mentioning the “intelligent combination of pressure (600–800 MPa) and high temperature (60–90 °C)”. Researchers and engineers are facing several technical difficulties in implementing the simultaneous application of heat and pressure treatment (process control, seals and leakage in the unit, and more intensive check intervals). Moreover, these types of treatment are often inappropriate when speaking of minimal processing techniques aiming to preserve fresh organoleptic character and high nutritional value. It is essential to find the right balance between preservation goals and an acceptable level of quality damage due to the different treatments applied.
Little research has been recently published within the scope of the combined heat and pressure treatment. Zamri et al. [33] investigated the texture of chicken breast; Picouet et al. [34] prepared and tested pressurized sous-vide cooked salmon; Yi et al. [35] studied wine-marinated ready-to-eat shrimp treated by HHP; Chakraborty, et al. [36] researched pineapple; Espinosa et al. [37] investigated sous-vide cooked seabream; Hong et al. [38] measured the characteristics of combined thermal—HHP treated pork; Sun et al. [39] treated beef steak intended to be used for sous-vide cooking; while Zheng et al. [40] published results on chicken batters—applying all combinations, including simultaneous heat and pressure treatment. A recent paper on beef patties focused on weight loss, color and texture parameters, and the optimum values (°C, MPa, time) for the heat and pressure treatment, but without considering the order of the procedures [41].
Consequently, the aim of this work was to study the effect of the combined sous-vide and high hydrostatic pressure treatment on the physical, chemical, and microbiological parameters of pork. The same parameters were measured after the 21-day storage period both at a satisfactory 2 °C and at an exceeding 8 °C. The required storage temperature for sous-vide products is limited to strictly below 3 °C to prevent toxin production by Clostridium spores, which can only occur above 3.5 °C. The 2 °C meets the regulations, while 8 °C is clearly outside the expected storage temperature range [5]. Thus, on the one hand, we can show the effect of compliant and non-compliant storage temperatures and, on the other hand, we wanted to model the clear reliability of the combined technologies in cases where the storage temperature exceeds the regulatory value. Similar studies have already been published in this field but to the best of our knowledge, this is the first complex study to investigate in detail the effects of the order of the dual heat-pressure treatment.
2. Materials and Methods
2.1. Preparation of the Samples
Meat samples (3 whole vacuum-packed pork chops (longissimus thoracis and lumborum muscles (LTL)) were purchased from a local wholesale market. The pork chops weighed m1 = 3.74 kg, m2 = 3.88 kg, and m3 = 3.69 kg. Besides the breed (Hungahybrid AB, Béta Fresh Kft., Hajdúnánás, Hungary), other biological characteristics of the meat were unknown. The main focus of this research was the impacts of various treatment combinations on randomly selected raw materials rather than the effects of gender or age. Samples were prepared by cutting the meat crosswise in the direction of muscle fibers after removing surface fat, ligament, and connective tissue. A total of 126 samples were prepared for analysis. Two sample sets were prepared (one set: two sample/treatment/pork chop) one for physical and chemical analysis while the other set was used for microbiological and challenge tests. The average sample size was 43.53 ± 3.27 g.
Meat pieces were vacuum-packed using a Multivac C100 vacuum sealing machine (MULTIVAC Sepp Haggenmüller SE & Co. KG, Wolfertschwenden, Germany) in a 90 µm PA/PE pouch (20 µm PA—70 µm PE, AMCO Kft., Budapest, Hungary); the pouch had an oxygen permeability of 50 cm3/m2 per 24 h at 23 °C/75% HR and a water/steam permeability of 2.6 g/m2 per 24 h at 23 °C/85% HR.
The moisture, pH, protein, and fat content of the raw meat were measured in triplicate using the procedures reported by AOAC [42]. Additionally, the color, texture, TBARS, DSC, and microbiological analyses were also carried out on the untreated meat. Table 1 shows the measured parameters of the raw material.
Table 1.
Compositional data and characterization of the raw longissimus muscle.
For conducting challenge experiments, fresh overnight cultures of Listeria monocytogenes H3 isolated from meat in BH broth (Merck 110493, Darmstadt, Germany) were washed three times and re-suspended in a sterile saline solution. The viable count of the washed cell suspension in Maximal Recovery Diluent (MRD) (Merck 112535, Darmstadt, Germany) was determined by spread-plating 0.1 mL of the suspensions on Palcam Agar Base (Merck 111755, Darmstadt, Germany) supplemented with Palcam Listeria Selective Supplement (Merck 112122, Darmstadt, Germany). The plates were incubated at 37 °C for 24 h.
The washed suspension of L. monocytogenes was used to inoculate the meat samples to reach an approximate initial count of 105 CFU/g. Uninoculated meat samples were also prepared as a control.
2.2. Treatments
The samples were subjected to either single heat or pressure treatments, as well as dual treatments (combined heat + pressure or pressure + heat) (Table 2).
Table 2.
The parameters of the single and combined treatment sample groups.
2.2.1. Single Sous-Vide (SV) and High Hydrostatic Pressure (HHP) Processing
Samples that had been subjected to thermal treatment were processed sous vide in a 25 L water bath (Labor Műszeripari Művek LP507/1, Budapest, Hungary) at a constant temperature of 60 ± 1 °C for 60 min, which is equivalent to the heat treatment (core temperature) of a medium-cooked steak. The samples were immediately cooled in ice water after cooking. Temperature control of the process was achieved using a portable Testo 926 thermometer equipped with a Testo type T thermocouple needle probe (Testo SE & Co. KGaA, Lenzkirch, Germany).
Meat samples were pressure-treated at 300 MPa and 600 MPa for 5 min at room temperature using RESATO FPU-100-2000 equipment with a vessel volume of 2 L (Resato International B.V., Assen, The Netherlands). The pressure-transmitting fluid was supplied by the manufacturer (Resato PG fluid, Assen, The Netherlands). The initial temperature of the pressure-transmitting fluid was 21 ± 0.5 °C; after the adiabatic temperature rise, the maximum temperature in the pressure chamber was 28.8 °C. The pressure build-up rate was 100 MPa/min. The treatment time did not include the build-up and decompression times. The applied pressure values were determined for the experiment using the extensive review by Cheftel-Culioli (1997). 600 MPa is a generally applied pressure value in the industry and has a strong effect on both meat structure and microbiological parameters. The lower 300 MPa pressure value is considered a mild pressure treatment, minimally affecting the textural attributes and the protein structure of meat [43].
2.2.2. Combined Heat and High Hydrostatic Pressure Processing
The technologies of heat and pressure treatment were also combined (Table 2). Heat treatment was conducted at 60 ± 1 °C for 60 min, and high hydrostatic pressure was applied at 300 MPa and 600 MPa for 5 min. The combinations were as follows: heat after pressure treatment and pressure after heat treatment at both pressure levels.
2.2.3. Treatment Parameters
Considering the size of our samples, the treatment parameters were determined by heat transfer calculations [44] and previous practical experience of cooking sous vide. For the high hydrostatic pressure treatment, two threshold pressure values were chosen: 300 MPa, which is approximately the minimum pressure required for irreversible protein denaturation and microbiological inactivation, and 600 MPa, which is a commonly used pressure value in the food industry [45].
2.3. Storage Conditions
The treated samples were stored for three weeks at two different temperatures, 2 °C and 8 °C, in two identical cooling cabinets (J 600-2, Thermotechnika Ker. Ltd., Budapest, Hungary). Sampling was conducted on day 0 (4 h after processing) and at the end of the three-week storage period.
2.4. Analysis of the Quality Parameters
2.4.1. Weight Loss
Weight loss is expressed as a percentage of the original weight of each sample. It was calculated by dividing the difference between pre- and post-treatment weight by the pre-treatment weight of the meat samples measured with a Kern PLJ 3500-2NM balance (Kern & Sohn, Ebingen, Germany).
2.4.2. pH Value
The pH value was determined at room temperature using a Testo 206 pH meter (Testo SE & Co. KGaA, Lenzkirch, Germany).
2.4.3. Moisture Content
Moisture content was determined using a Sartorius Thermo Control YTC 01L moisture analyzer (Sartorius AG., Goettingen, Germany). The samples were dried at 105 °C until a constant weight was achieved.
2.4.4. Water Holding Capacity (WHC)
The WHC was determined with a modified enhanced force approach method, known as the Grau & Hamm filter paper method [46]. A 500 g weight was used to press the small pieces of meat cut off from the samples (~0.2 g) for 5 min. The values are expressed in mm2/mg.
2.4.5. Color
The color of the meat samples was measured using a Minolta CR-400 chroma meter (Konica Minolta, Inc., Tokyo, Japan) with an 8 mm aperture size and a 2° observer. Prior to measurements, the device was calibrated with illuminant C on a standard white CR A43 reflectance calibration plate. The measured CIELAB data [47] were L* (lightness), a* (redness), and b* (yellowness) values. The meat color was measured at room temperature on the freshly cut surface of the sample.
2.4.6. Texture
Measurements were conducted at room temperature using a Stable Micro System TA XT Plus instrument (Stable Micro Systems Ltd. Godalming, Surrey, UK) equipped with a 50 kg force load cell. A 2 mm diameter needle probe (P/2N) was used for the puncture test. The direction of penetration was perpendicular to the fibers, the distance was 20 mm, and the trigger force was 0.05 N. Both the pre-test and test speeds were 2 mm/s. The force was recorded as a function of distance. To determine the hardness of the samples, the maximal force (Fmax, N) was used as a texture parameter.
2.4.7. Lipid Oxidation
The thiobarbituric acid-reacting substances (TBARS) were determined in the samples using the method described by Botsoglou et al. [48]. This method is based on the reaction of malondialdehydes (MDAs) with thiobarbituric acid, resulting in a pinkish complex that can be detected with a spectrophotometer. The absorbance was measured at 532 nm with a Hitachi U-2900 UV–VIS instrument (Hitachi-shi, Japan). TBARS values were calculated and expressed as milligrams of MDA equivalent per kilogram sample.
2.4.8. Differential Scanning Calorimetry (DSC)
The changes in the state of meat proteins were monitored using a SETARAM micro DSC-III differential scanning calorimeter (SETARAM Instrumentation, Caluire, France). The temperature range scanned was 20–95 °C at a heating rate of 1 °C/min. The DSC curves were analyzed in the range of 35–90 °C using the SETARAM Calisto Processing software 7.6.of the instrument. The total denaturation enthalpy of each meat sample was determined by calculating the enthalpy through integration, which is equal to the area between the acquired DSC curve and the baseline.
2.4.9. Microbial Analysis
A five-times stock dilution of the meat samples was prepared in stomacher bags by adding sterile MRD and placed into a stomacher homogenizer for 2 min. Serial (1:10) dilutions were prepared in sterile MRD.
Pour-plating (1.0 mL) on plate count agar (PCA) (Merck 105463, Darmstadt, Germany) was used to determine the total aerobic viable numbers. Total anaerobic viable numbers were determined on reinforced clostridial agar (RCM) (Merck 105410), also by pour-plating (1.0 mL). Both PCA and RCM plates were incubated at 30 °C for 72 h; in the case of RCM, in anaerobic jars. Listeria monocytogenes was enumerated by spread-plating on PALCAM agar base (Merck 111755) supplemented with PALCAM Listeria Selective Supplement (Merck 112122, Darmstadt, Germany). Plates were incubated at 37 °C for 48 h. The results were expressed as log CFU/g.
2.5. Statistical Analysis
Data were evaluated by conventional statistical methods to calculate means and standard errors. All the measurements were repeated three times, and the data are presented as means ± SE. The effect of storage and single-step treatments was analyzed by one-way ANOVA (3 groups), while the effect of pressure level and treatment order was analyzed using the two-way ANOVA method. Tukey’s post hoc test was performed in both analyses. The homogeneity of variance was tested by the Levene test. The statistical software used was Microsoft Excel (2301 buildverzió16.0.16026.20196) and IBM SPSS (Version 29, SPSS Inc., Chicago, IL, USA) for Windows. Levels for significant differences were set at p < 0.05.
3. Results and Discussion
3.1. Comparison of the Effects of the Single Heat and Pressure Treatments Focusing on the Main Differences
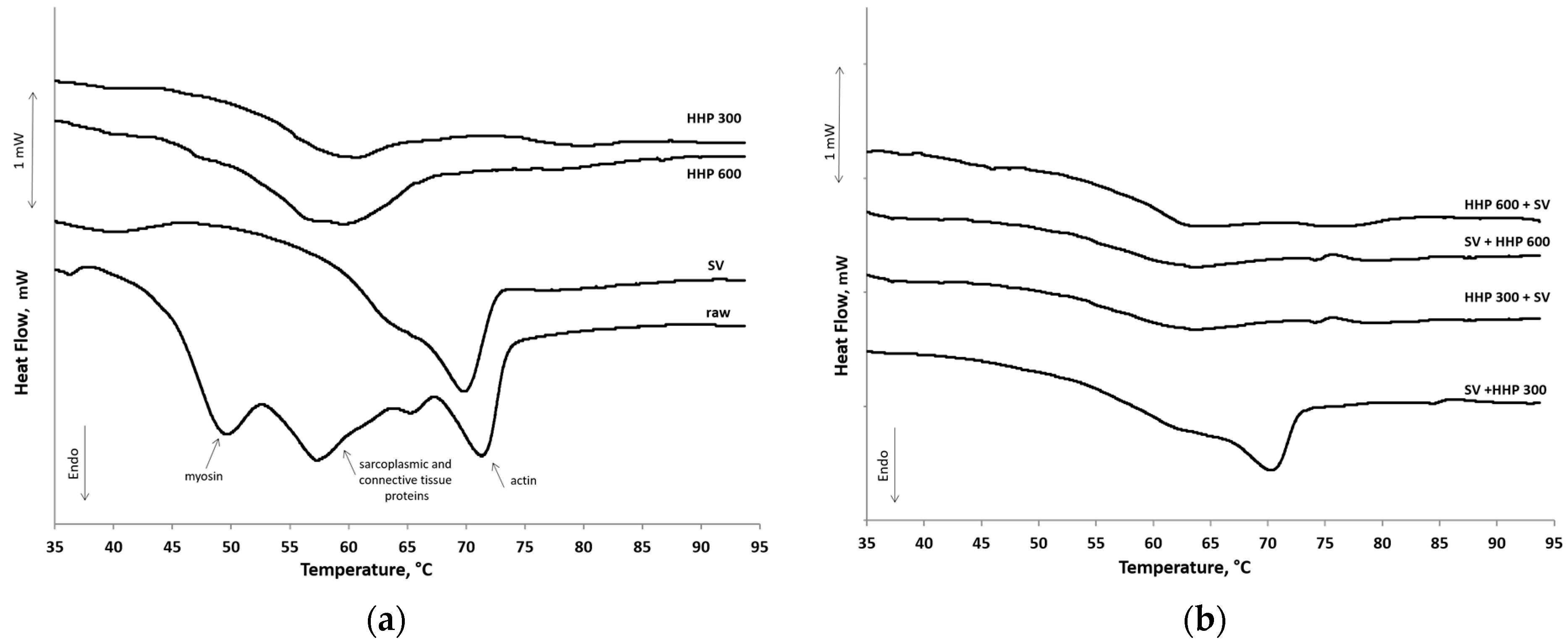
The results of the measurements on the single-step heat- or pressure-treated samples are presented in Table 3. Heat and pressure act differently on proteins. The differences between the single heat and pressure treatments are mainly derived from the different ways they modify the protein structure of the meat. The behavior of the different protein groups under heat or pressure treatment can be followed on DSC thermograms [49,50,51]. This dissimilarity is not explained by the measured enthalpy values alone, where no significant differences were observed between the treatments; also the form and pattern of the thermogram can characterize the single heat- or pressure-treated meat samples (Figure 1a). The raw pork sample has three dominant endothermic peaks: the myosin at around 49–52 °C, the sarcoplasm and connective tissue proteins at 56–58 °C, and the actin at 71–73 °C. The total measured enthalpy value was 3.09 J/g in the case of the raw pork sample, which has three well-distinguished peaks. These values correspond to the findings of our previous study where the myosin protein group was found at 50–55 °C (enthalpy value: 0.76 J/g), the sarcoplasm proteins and collagen at around 60–65 °C (enthalpy value: 1.31 J/g), and the actin at 70–75 °C (enthalpy value: 1.31 J/g), [51]. The sous-vide-treated sample showed a complete loss of the myosin peak, and only a partially modified collagen peak could be observed.
Table 3.
The results of the measurements for the single-step heat- or pressure-treated pork LTL muscle samples.
Figure 1.
DSC thermograms of the single-treated pork LTL muscle: (a) DSC thermograms of the combined heat and pressure-treated pork LTL muscle (b).
In the case of high hydrostatic pressure treatment, the first observation was that the HHP treatment affected different protein groups than the heat treatment-induced denaturation. Above 200 MPa, denaturation can be seen on the myosin and actin groups, and their peak is modified, but in most cases, their complete loss can be observed. Below this pressure value, the treatment has practically no effect on the techno-functional properties of the meat samples [51,52]. The collagen and sarcoplasmic proteins are still stable, and the pressure has only a slight effect on them. Cheftel and Culioli [43] cite several studies reporting diverse changes even after a 100 MPa HHP treatment.
Regarding weight loss, the heat-treated samples produce more important loss due to the shrinkage of myofibrils [53]. Weight loss values of the SV samples were not affected by storage temperature, while in the pressure-treated samples, higher weight loss values were observed. The higher the temperature, the more important the exudate. Contradicting these weight loss values (mainly water), moisture content does not show similar tendencies. Since Grau and Hamm [46] proposed a simple and very effective technique to measure the water-holding capacity (WHC) of meat (the ability of meat to retain its natural water content), it has been extensively reviewed in several studies. Regarding the WHC values in our work (results not shown in this paper), we must conclude that samples where essentially different treatments were applied were not comparable due to the different weight losses induced by the treatments. This weight loss comprised mainly water, and these differences led to contradictions in the interpretation of the results (i.e., a sample that lost more weight—i.e., moisture/water—during the treatment resulted in a better WHC value, which is not necessarily an expression of the real water-holding parameter of the treated meat).
The applied single sous-vide heat treatment at 60 °C and the 600 MPa pressure treatment resulted in a similar and slightly lighter color than the L* observed in the single 300 Mpa-treated sample. This value was stable with no significant change during the storage period. The measured a* values in the single-treated sous-vide meat samples were stable at both temperatures during the storage period. In contrast, the pressure-treated meat samples recovered part of their redness during the 21-day storage both at 2 °C and at 8 °C. This phenomenon was observed at both pressure levels, but it was more intense in the 300 Mpa-treated samples.
Lipid oxidation measurements diversify our samples well. In the case of day 0 HHP-treated samples, the higher pressure level resulted in higher TBARS values (1.67 and 2.98 mg MDA/kg), while HHP 300 and SV samples were in the same range (1.67 and 1.84 mg MDA/kg). Regarding the effect of storage, the 300 Mpa samples were stable but at a higher (8 °C) temperature, the TBARS value was slightly higher, though not significant. SV and HHP samples showed a further increase of secondary oxidation products during the 3-week storage period, meaning significantly higher TBARS values. Nota bene, pressure treatment at a higher level induced more important degradation of the lipids than the sous-vide heat treatment did. These findings are in accordance with the results of Huang et al. [22] concerning pork. They found no significant effect under a 200 Mpa treatment, but the next pressure level applied (400 Mpa) already showed increased TBARS values, which rose further as the pressure level was set to 600 Mpa. Regarding heat treatment, Roldan et al. [54] proposed to keep sous-vide temperature and heat treatment time at a minimal level to maintain product quality. This advice prioritized both oxidative stability and organoleptic quality.
Meat toughness is another elemental sensory parameter. The sous-vide cooking method gained popularity mainly because of its tenderizing effect. Christensen et al. [55,56] found that the low-temperature–long-time heat treatment increases tenderness in comparison to traditional cooking. In our experiment, the sous-vide heat treatment was sufficient to result in a tender sample, and this texture characteristic was nearly constant during the storage period (Table 3). The 600 MPa pressure-treated samples had similar hardness values to the sous-vide samples. It can be related to the ‘doneness’ of the samples, as the 600 MPa pressure-treated samples were very similar in appearance to the cooked ones. Their appearance and behavior were similar to that of the cooked samples. DSC enthalpy values can confirm this (meaning the undenatured ratio of meat proteins), as compared to the sous-vide samples, the 600 MPa pressure-treated samples showed nearly 50% lower measured enthalpy values. In contrast the 300 MPa samples showed similar total enthalpy values as the sous-vide samples although similar values were obtained it is due to the denaturation of different protein groups (Figure 1a).
The sous-vide cooking alone dramatically reduced the microbial population at the applied time–temperature combination. Both aerobic and anaerobic viable counts increased during storage time at 8 °C, but not at 2 °C. The importance of the storage temperature of the sous-vide products is emphasized [1,44], as our study proves again the necessity of strict storage parameters. The microbial state of the samples treated with HHP at 300 Mpa was clearly not satisfactory after the storage period. It also left uncertainties concerning the day 0 samples regarding their aerob TVC value. The HHP 600 samples showed better results regarding anaerobic TVC but during the storage period these CFU/g values have increased rapidly as well—higher storage temperature (8 °C) accelerated microbial growth. The initial aerobic TVC count of the treated samples was more remarkable on day 0, and they reached log108 TVC (at 8 °C) in all single-treated samples. Kurp et al. reported similar results [57] for sous-vide-treated pork loin for both weight loss, texture, and color measurement results, but it should be emphasized that their research focused more on kinetic analysis and the effect of treatment temperature (in the 60–75 °C range).
3.2. Combined-Treated Samples
The overall results of the measurements of the combined-treated samples are shown in Table 4, while Table 5 focuses on whether the treatment order, the pressure level, or the interaction of the two factors has a significant impact on the measured attributes.
Table 4.
The results of the measurements of the combined heat- and pressure-treated pork LTL muscle samples (mean ± standard error) (n = 6).
Table 5.
The effects of the treatment order, the pressure level, and their interaction, based on the measurements of the combined heat- and pressure-treated samples.
The pH value of the combined-treated samples showed a slight difference (0.09 and 0.04 units at 300 MPa and 600 MPa, respectively) between the treatment orders on day 0. For the samples stored at 2 °C, the pH value was stable in all cases, but a modest decrease (still not significant) was observed during the storage period at 8 °C. This phenomenon could be a result of the accumulation of lactic acid at this elevated temperature.
Both treatment order and pressure level had strong effects (p < 0.001) on weight loss (Table 5). As expected, a higher pressure level resulted in higher weight loss, as 600 MPa pressure treatment causes irreversible protein denaturation and cell membrane damage, which may facilitate this mechanism In addition, the interaction of these two factors also had a significant (p < 0.001) effect. The pressure after the heat treatment order led to higher weight loss values. As for the first impact, the HHP modified the cell membranes, followed by the heat treatment that could have more impact on the meat tissues with injured membranes and modified protein structure. This was also more visible in the higher-pressure (600 MPa) samples. These weight loss values maintained near constant levels during the storage period, at both temperatures. Although the treatment order and pressure level significantly affected weight loss, they did not have a significant effect on the moisture content of sous-vide and HHP-treated pork samples. The order of treatments: a borderline result of a significant difference of 95% was found with a p value of 0.085.
Color measurement: Lightness (L*) values of the combined-treated samples showed differences, though not significant when switching the order of treatments. Samples that had undergone pressurization followed by heat treatment had a somewhat lighter color than the samples treated in the reverse order (a 5–6 unit L* gap). There was no sign of an important L* value change during the storage period or due to the applied pressure level.
The order of the treatments as well as the pressure level had a strong significant effect on the redness (a*) values (p < 0.001 in both cases). The heat + pressure treatment caused a more intense redness. The SV + HHP-treated meat samples showed no considerable change during storage. The HHP + SV-treated samples recovered their redness during the 21-day storage, which was more visible at the higher (8 °C) storage temperature. It seems to us that the first impact on the sample also determines the consequences for the a* values.
Contrary to the a* values, the observed yellowness (b*) data showed a modest shift towards a yellowish color cast during the 21-day storage period. Both pressure-treated samples remained stable without noticeable differences. The pressure level had a strong significant effect on the b* values at p < 0.001, while the treatment order had a significant —though to a lesser extent—effect on the samples at p < 0.05.
Increasing pressure levels resulting in higher lipid oxidation of beef and chicken breast muscle, and marine and pork fats were reported by Cheftel and Culioli [43] and Ma et al. [23]. Despite the very clear effect of the pressure level on the TBARS values, this factor only led to significant differences (p < 0.043) due to higher variance within groups. Regarding the pressure level, our results are similar to those found by Huang et al. [22] in a detailed study of pork lipid oxidation. As the pressure level of the treatments increased, more secondary oxidation products and higher TBARS values were detected in their research (the peak TBARS value was measured at 400 MPa and after heat treatment at a lower temperature). The effect of storage was not examined in that case. Our measurements of TBARS values showed no change within the 21-day storage period at 2 °C and a minimal rise at 8 °C. The treatment order had no effect on this parameter.
The result of the thermal analysis shows a significant impact (p < 0.001) of the pressure level and a borderline near-significant difference (p = 0.067) caused by the order of treatments. The interaction of the two factors was also significant (p = 0.02). In the samples where pressure was the first treatment, the pressure level had less of an impact on the enthalpy values. When the sous-vide samples were pressurized, a decrease in denaturation heat was observed during the storage period. Changes in the protein structure were more important in the 300 MPa samples. However, the DSC denaturation heat (enthalpy) results should be examined together with the DSC thermograms (Figure 1a). The form of each peak or the absence of a peak gives additional information on the effect of each treatment. The differences between the heat and pressure treatment differences were clearly visible during the single-step treatments.
The protein denaturation effects are still visible in the combined-treated samples but mainly at the lower (300 MPa) pressure level. The sous-vide heat treatment at 60 °C, combined with a pressure treatment of 600 MPa (both orders) led to a more intensely denatured protein set. While the heat + pressure-treated samples showed sensitivity to the pressure level (i.e., the higher the pressure, the stronger the effect), the pressure + heat treatment had similar curves at both pressure levels.
Regarding the results of the combined treatments, we have to remark that the order of the treatments has a very important role concerning the protein content of the samples. The application of the heat treatment in combination with the pressure treatment still resulted in a partly denatured meat sample. This could also be observed at 600 MPa, but when lower pressure (300 MPa) was applied, the difference between the order of the treatments was much more important (Figure 1b).
While the pressure level had a significant (p < 0.001) effect on the texture parameter (hardness), the effect of the order of the treatments was not detected. A higher pressure level led to firmer samples. Similar findings have been published on the combined treatment of beef [49]. The hardness values of the 300 MPa combined-treated samples were not higher than the single sous-vide-treated values. The hardness or firmness of meat is a critical parameter not only in gastronomy but also from a dietetical point of view. Tokifuji et al. [58] also found a relationship between water retention and texture parameters. Their aim was to find a processing method that kept protein structural changes and weight loss at a minimum level and added water to ground pork to facilitate swallowing.
Regarding the microbiological stability of the samples, all the combined-treated samples were stable with very low or below detection limit (DL) log10 CFU/g values (the detection limit (DL) was 0.7 log10 CFU/g (aerobic and anaerobic TVC) and 1.7 log10 CFU/g (L. monocytogenes TVC)).
In the challenge test, L. monocytogenes TVC was below the detection limit in all combined-treated samples on day 0, but single sous-vide at 60 °C and single HHP treatment at 600 MPa were alone sufficient to reduce the bacterial count by at least 5 log. In the combined-treated meat samples, Listeria was not detected at the end of the storage period neither at 2 °C nor at 8 °C. The aerobic viable count increased during storage from just above the detection limit (0.7 log cfu/g) up to 3 log CFU/g at 2 °C and up to 6 log CFU/g at 8 °C. The anaerobic viable count was under the detection limit on day 0, and while increased to log 2–3 values (at 8 °C) is still considered stable. Significant statistical differences were not measured, but we would like to draw attention to the effect of the treatment order on the stored samples. The effect of pressure levels was observed at both temperatures. As expected, the increase in the pressure level resulted in more stable products.
4. Conclusions
This study highlights the differences between the variant order of this two-step minimal processing technology. The mild sous-vide heat treatment followed by an additional 300 MPa pressure treatment (SV-HHP 300) results in a safer product and has no additional altering effects on color, hardness, weight loss, or denaturation heat values (in the case of heat + pressure order). The results also show the importance of the order of different steps in food technology based on the hurdle principle. In our case, the first impact on the meat (heat or pressure) clearly determined the characteristics of the samples at the most measured parameters. In recent years, fish such as cod [59] and bass [60] have also been the focus of research. In both cases, high hydrostatic pressure treatment increased the microbiological stability of the product either by inactivation or by delaying bacterial cell growth. At the same time, the role of refrigerated storage was highlighted, similar to our research.
As all the combined treatments, regardless of the order, resulted in low-CFU meat samples conforming with regulations and guidelines for RTE [5,61,62], this dual processing can be an effective method to enhance the safety of the sous-vide products. Further investigations are planned (e.g., SDS-PAGE) to reveal and clarify all the details of this dual treatment, with particular reference to the conversion of proteins.
An additional post- or pre-sous-vide 300 MPa-pressure treatment can increase the safety of sous-vide cooked pork samples while having only a minor effect on physicochemical properties. The 600 MPa-pressure treatment combined with the sous-vide cooking method results in a stable (albeit not shelf-stable) product, although it affects a considerable number of quality parameters such as color (a* and b*), texture, protein state, weight loss, and TBARS values.
Further experiments are planned to discover the explanation for the fact that for some parameters, the first treatment has a dominant effect and for some, the second, final treatment determines the evolution of a given quality.
Author Contributions
Conceptualization, G.K. (György Kenesei) and I.D.; methodology, G.K. (György Kenesei), G.K. (Gabriella Kiskó), and I.D.; software, G.K. (György Kenesei) and I.D.; validation, G.K. (György Kenesei), G.K. (Gabriella Kiskó), and I.D.; formal analysis, G.K. (György Kenesei); investigation, G.K. (György Kenesei); resources, G.K. (György Kenesei) and I.D.; data curation, G.K. (György Kenesei) and I.D.; writing—original draft preparation, G.K. (György Kenesei); writing—review and editing, G.K. (György Kenesei), G.K. (Gabriella Kiskó), and I.D.; visualization, G.K. (György Kenesei); supervision, I.D.; project administration, I.D.; funding acquisition, G.K. (György Kenesei) and I.D. All authors have read and agreed to the published version of the manuscript.
Funding
The authors wish to thank TÁMOP 4.2.1/B/09/1/KMR/-2010-0005 program of the National Development Agency, Hungary, for making the HHP treatments possible.
Institutional Review Board Statement
Not applicable.
Informed Consent Statement
Not applicable.
Data Availability Statement
The raw data supporting the conclusions of this article will be made available by the authors on request.
Acknowledgments
Technical assistance of Márta Nemes-Csuka and the valuable help of Alexandra Nagy, Móni Magó, Alexandra Juhász, and Kinga Tasnády (students at the Faculty of Food Science-by this time proud food engineers) is greatly appreciated by the authors.
Conflicts of Interest
The authors declare no conflicts of interest.
References
- Creed, P.G. Sensory and nutritional quality of sous-vide foods. Food Control 1995, 6, 45–52. [Google Scholar] [CrossRef]
- Bejerholm, C.; Aaslyng, M.D. The influence of cooking technique and core temperature on results of a sensory analysis of pork–depending on the raw meat quality. Food Qual. Prefer. 2003, 15, 19–30. [Google Scholar] [CrossRef]
- Mortensen, L.M.; Frost, M.B.; Skibsted, L.H.; Risbo, J. Long-time low temperature cooking of beef: Three dominant time-temperature behaviours of sensory properties. Flavour 2015, 3, 2. [Google Scholar] [CrossRef]
- Becker, A.; Boulaaba, A.; Pingen, S.; Krischek, C.; Klein, G. Low temperature cooking of pork meat-Physicochemical and sensory aspects. Meat Sci. 2016, 118, 82–88. [Google Scholar] [CrossRef] [PubMed]
- Sous Vide Advisory Committee (SVAC). Code of Practice for Sous Vide Catering Systems; Sous Vide Advisory Committee (SVAC): Tetbury, Gloucestershire, UK.
- Betts, D.G. Critical factors affecting the safety of minimally processed chilled foods. In Sous-Vide and Cook-Chill Processing for Food Industry, 1st ed.; Aspen Inc.: Gaithersburg, MD, USA, 1998; pp. 135–145. [Google Scholar]
- Food Safety Authority of Ireland Guidance Note No. 20. Industrial Processing of Heat-Chill Foods. 2007. Available online: https://www.fsai.ie/getmedia/68870b71-bd82-4303-90f2-c62b0e9b5afe/10144_fsai-guidance-note-20-accessible.pdf?ext=.pdf (accessed on 21 January 2024).
- Food and Drug Administration (FDA). Fish-and-Fishery-Products-Hazards-and-Controls-Guidance. In Chapter 13: Clostridium Botulinum Toxin Formation; FDA: Silver Spring, MD, USA, 2011; p. 246. [Google Scholar]
- Latoch, A.; Głuchowski, A.; Czarniecka-Skubina, E. Sous-Vide as an Alternative Method of Cooking to Improve the Quality of Meat: A Review. Foods 2023, 12, 3110. [Google Scholar] [CrossRef]
- Hasani, E.; Csehi, B.; Darnay, L.; Ladányi, M.; Dalmadi, I.; Kenesei, G. Effect of Combination of Time and Temperature on Quality Characteristics of Sous Vide Chicken Breast. Foods 2022, 11, 521. [Google Scholar] [CrossRef]
- Hasani, E.; Kiskó, G.; Dalmadi, I.; Hitka, G.; Friedrich, L.F.; Kenesei, G. Effect of Two-Step Sous Vide Cooking and Storage on Microbiological and Oxidative Stability of Chicken Breast. Foods 2023, 12, 1213. [Google Scholar] [CrossRef] [PubMed]
- Hasani, E.; Kenesei, G.; Dalmadi, I. Comparison of the single-step and double-step sous-vide treatment effect on the quality attributes of chicken breast: A novel approach to sous-vide. Prog. Agric. Eng. Sci. 2021, 17, 61–68. [Google Scholar] [CrossRef]
- Patterson, M.F. A review: Microbiology of pressure-treated foods. J. Appl. Microbiol. 2005, 98, 1400–1409. [Google Scholar] [CrossRef]
- Buckow, R.; Sikes, A.; Tume, R. Effect of High Pressure on Physicochemical Properties of Meat. Crit. Rev. Food Sci. Nutr. 2013, 53, 770–786. [Google Scholar] [CrossRef]
- Murchie, L.W.; Cruz-Romero, M.; Kerry, J.P.; Linton, M.; Patterson, M.F.; Smiddy, M. High pressure processing of shellfish: A review of microbiological and other quality aspects. Innov. Food Sci. Emerg. Technol. 2005, 6, 257–270. [Google Scholar] [CrossRef]
- Omer, M.K.; Alvseike, O.; Holck, A.; Axelsson, L.; Prieto, M.; Skjerve, E. Application of high pressure processing to reduce verotoxigenic E. coli in two types of dry-fermented sausage. Meat Sci. 2010, 86, 1005–1009. [Google Scholar] [CrossRef] [PubMed]
- Matejková, K.; Krízek, M.; Vácha, F.; Dadáková, E. Effect of high-pressure treatment on biogenic amines formation in vacuum-packed trout flesh (Oncorhynchus mykiss). Food Chem. 2013, 137, 31–36. [Google Scholar] [CrossRef] [PubMed]
- Li, D.; Tang, Q.; Wang, J.; Wang, Y.; Zhao, Q.; Xue, C. Effects of high-pressure processing on murine norovirus-1 in oysters (Crassostrea gigas) in situ. Food Control 2009, 20, 992–996. [Google Scholar] [CrossRef]
- Novella-Rodriguez, S.; Veciana-Nogues, M.T.; Saldo, J.; Vidal-Carou, M.C. Effects of high hydrostatic pressure treatments on biogenic amine contents in goat cheeses during ripening. J. Agric. Food Chem. 2002, 50, 7288–7292. [Google Scholar] [CrossRef] [PubMed]
- Penas, E.; Frias, J.; Gomez, R.; Vidal-Valverde, C. High hydrostatic pressure can improve the microbial quality of sauerkraut during storage. Food Control 2010, 21, 524–528. [Google Scholar] [CrossRef]
- Boylu, M.; Hitka, G.; Kenesei, G. Effect of alternative pre-treatments and fermentation on quality characteristics of oyster mushrooms. Prog. Agric. Eng. Sci. 2023, 19, 35–45. [Google Scholar] [CrossRef]
- Huang, Y.; Gan, Y.; Li, F.; Yan, C.; Li, H.; Feng, Q. Effects of high pressure in combination with thermal treatment on lipid hydrolysis and oxidation in pork. LWT-Food Sci. Technol. 2015, 63, 136–143. [Google Scholar] [CrossRef]
- Ma, H.J.; Ledward, D.A.; Zamri, A.I.; Frazier, R.A.; Zhou, G.H. Effects of high pressure/thermal treatment on lipid oxidation in beef and chicken muscle. Food Chem. 2007, 104, 1575–1579. [Google Scholar] [CrossRef]
- Hassoun, A.; Ojha, S.; Tiwari, B.; Rustad, T.; Nilsen, H.; Heia, K.; Cozzolino, D.; Bekhit, A.E.-D.; Biancolillo, A.; Wold, J.P. Monitoring Thermal and Non-Thermal Treatments during Processing of Muscle Foods: A Comprehensive Review of Recent Technological Advances. Appl. Sci. 2020, 10, 6802. [Google Scholar] [CrossRef]
- Leistner, L. Basic aspects of food preservation by hurdle technology. Rev. Int. J. Food Microbiol. 2000, 55, 181–186. [Google Scholar] [CrossRef] [PubMed]
- Raso, J.; Barbosa-Canovas, G.V. Nonthermal preservation of foods using combined processing techniques. Crit. Rev. Food Sci. Nutr. 2003, 43, 265–285. [Google Scholar] [CrossRef] [PubMed]
- Nguyen, L.T.; Balasubramaniam, V.M. Fundamentals of food processing using high pressure. In Nonthermal Processing Technologies for Food; Wiley: Hoboken, NJ, USA, 2011; pp. 1–19. [Google Scholar]
- Krebbers, B.; Matser, A.M.; Hoogerwerf, S.W.; Moezelaar, R.; Tomassen, M.M.M.; van der Berg, R.W. Combined high-pressure and thermal treatments for processing of tomato puree: Evaluation of microbial inactivation and quality parameters. Innov. Food Sci. Emerg. Technol. 2003, 4, 377–385. [Google Scholar] [CrossRef]
- Matser, A.M.; Krebbers, B.; van der Berg, R.W.; Bartels, P.V. Advantages of high pressure sterilisation on quality of food products. Trends Food Sci. Technol. 2004, 15, 79–85. [Google Scholar] [CrossRef]
- Mathys, A.; Toepfl, S.; Heinz, V.; Knorr, D. Food sterilisation under high pressure–Fundamentals, new insights and challenges. In Proceedings of the European Congress on Chemical Engineering (ECCE-6), Copenhagen, Denmark, 6–21 September 2007; Book of Abstracts. Ghani, R., Dam-Johansen, K., Eds.; Berlin University of Technology: Berlin, Germany, 2007; p. 2768. [Google Scholar]
- Ma, H.J.; Ledward, D.A. High pressure processing of fresh meat-Is it worth it? Meat Sci. 2013, 95, 897–903. [Google Scholar] [CrossRef]
- Hygreeva, D.; Pandey, M.C. Novel approaches in improving the quality and safety aspects of processed meat products through high pressure processing technology—A review. Trends Food Sci. Technol. 2016, 54, 175–185. [Google Scholar] [CrossRef]
- Zamri, A.I.; Ledward, A.; Frazier, R.A. Effect of combined heat and high-pressure treatments on the texture of chicken breast muscle (Pectoralis Fundus). J. Agric. Food Chem. 2006, 54, 2992–2996. [Google Scholar] [CrossRef]
- Picouet, P.A.; Cofan-Carbo, S.; Vilaseca, H.; Carboné Ballbè, L.; Castells, P. Stability of sous-vide cooked salmon loins processed by high pressure. Innov. Food Sci. Emerg. Technol. 2011, 12, 26–31. [Google Scholar] [CrossRef]
- Yi, J.; Zhang, L.; Ding, G.; Hu, X.; Liao, X.; Zhang, Y. High hydrostatic pressure and thermal treatments for ready-to-eat wine-marinated shrimp: An evaluation of microbiological and physicochemical qualities. Innov. Food Sci. Emerg. Technol. 2013, 20, 16–23. [Google Scholar] [CrossRef]
- Chakraborty, S.; Srinivasa, P.; Mishra, H.N. Effect of combined high pressure–temperature treatments on color and nutritional quality attributes of pineapple (Ananas com. L.) puree. Innov. Food Sci. Emerg. Technol. 2015, 28, 10–21. [Google Scholar] [CrossRef]
- Espinosa, M.C.; Díaz, P.; Linares, M.B.; Teruel, M.R.; Garrido, M.D. Quality characteristics of sous vide ready to eat seabream processed by high pressure. LWT-Food Sci. Technol. 2015, 64, 657–662. [Google Scholar] [CrossRef]
- Hong, G.P.; Shim, K.B.; Choi, M.J.; Min, S.M. Effects of Thermal Processing Combined with High Hydrostatic Pressure on the Characteristics of Cooked Pork. Korean J. Food Sci. Anim. Resour. 2008, 28, 415–421. [Google Scholar] [CrossRef]
- Sun, S.; Sullivan, G.; Stratton, J.; Bower, C.; Cavender, G. Effect of HPP treatment on the safety and quality of beef steak intended for sous vide cooking. LWT-Food Sci. Technol. 2017, 86, 185–192. [Google Scholar] [CrossRef]
- Zheng, H.; Xiong, G.; Han, M.; Deng, S.; Xu, X.; Zhou, G. High Pressure/Thermal Combinations on Texture and Water Holding Capacity of Chicken Batters. Innov. Food Sci. Emerg. Technol. 2015, 30, 8–14. [Google Scholar] [CrossRef]
- Janardhanan, R.; Virseda, P.; Huerta-Leidenz, N.; Beriain, M.H. Effect of high–hydrostatic pressure processing and sous-vide cooking on physicochemical traits of Biceps femoris veal patties. Meat Sci. 2022, 188, 108772. [Google Scholar] [CrossRef] [PubMed]
- AOAC. Official Methods of Analysis, 15th ed.; Association of Official Analytical Chemists: Washington, DC, USA, 1990. [Google Scholar]
- Cheftel, J.C.; Culioli, J. Effects of High Pressure on Meat: A Review. Meat Sci. 1997, 46, 212. [Google Scholar] [CrossRef] [PubMed]
- Baldwin, D.E. Sous vide cooking: A review. Int. J. Gastron. Food Sci. 2012, 1, 15–30. [Google Scholar] [CrossRef]
- Bajovic, B.; Bolumar, T.; Heinz, V. Quality considerations with high pressure processing of fresh and value added meat products. Meat Sci. 2012, 92, 280–289. [Google Scholar] [CrossRef] [PubMed]
- Grau, R.; Hamm, G. Eine Einfache Methode zur Bestimmung der Wasserbindung in Muskel. Die Naturwissenschaften 1953, 40, 259–277. [Google Scholar] [CrossRef]
- CIE International Commission on Illumination. Recommendations on Uniform Color Spaces, Color-Difference Equations, Psychometric Color Terms, Supplement No. 2 to CIE Publication No. 15, Colorimetry; CIE: Vienna, Austria, 1978. [Google Scholar]
- Botsoglou, N.A.; Fletouris, D.J.; Papageorgiou, G.E.; Vassilopoulos, V.N.; Mantis, A.J.; Trakatellis, A.G. Rapid, sensitive, and specific thiobarbituric acid method for measuring lipid peroxidation in animal tissue, food, and feedstuff samples. J. Agric. Food Chem. 1994, 42, 1931–1937. [Google Scholar] [CrossRef]
- Biliaderis, C.G. Differential Scanning Calorimetry in Food Research-A Review. Food Chem. 1983, 10, 239–265. [Google Scholar] [CrossRef]
- Farkas, J. A DSC-termoanalitikai módszer néhány élelmiszertudományi alkalmazása, (DSC–a thermoanalytical method applied in the food industry). Élelmiszervizsgálati Közlemények 1994, 40, 180–189. [Google Scholar]
- Kenesei, G.; Jónás, G.; Salamon, B.; Dalmadi, I. Thermograms of the combined High Hydrostatic Pressure and Sous-vide treated Longissimus dorsi of pork. J. Phys. Conf. Ser. 2017, 950, 042007. [Google Scholar] [CrossRef]
- Ma, H.J.; Ledward, D.A. High pressure/thermal treatment effects on the texture of beef muscle. Meat Sci. 2004, 68, 347–355. [Google Scholar] [CrossRef]
- Tornberg, E. Effects of heat on meat proteins–Implications on structure and quality of meat products. Meat Sci. 2005, 70, 493–508. [Google Scholar] [CrossRef]
- Roldan, M.; Antequera, T.; Armenteros, M.; Ruiz, J. Effect of different temperature-time combunations on lipid and protein oxidation of sous-vide cooked lamb loins. Food Chem. 2014, 149, 129–136. [Google Scholar] [CrossRef]
- Christensen, L.; Bertram, H.C.; Aaslyng, M.D.; Christensen, M. Protein denaturation and water–protein interactions as affected by low temperature long time treatment of porcine longissimus dorsi. Meat Sci. 2011, 88, 718–722. [Google Scholar] [CrossRef] [PubMed]
- Christensen, L.; Gunvig, A.; Tørngren, M.A.; Aaslyng, M.D.; Knøchel, S.; Christensen, M. Sensory characteristics of meat cooked for prolonged times at low temperature. Meat Sci. 2012, 90, 485–489. [Google Scholar] [CrossRef]
- Kurp, L.; Danowska-Oziewicz, M.; Kłębukowska, L. Sous Vide Cooking Effects on Physicochemical, Microbiological and Sensory Characteristics of Pork Loin. Appl. Sci. 2022, 12, 2365. [Google Scholar] [CrossRef]
- Tokifuji, A.; Matsushima, Y.; Hatchisuka, K.; Yoshioka, K. Texture, sensory and swallowing characteristics of high-pressure-heat treated pork meat gel as a dysphagia diet. Meat Sci. 2013, 93, 843–848. [Google Scholar] [CrossRef]
- Pérez Alcalá, D.; Grande Burgos, M.J.; Rodríguez López, J.; Lucas, R.; Gálvez, A.; Pérez Pulido, R. Effect of High Hydrostatic Pressure Processing on the Microbiological Quality and Bacterial Diversity of Sous-Vide-Cooked Cod. Foods 2023, 12, 1206. [Google Scholar] [CrossRef] [PubMed]
- Zhou, M.; Ling, Y.; Chen, F.; Wang, C.; Qiao, Y.; Xiong, G.; Wang, L.; Wu, W.; Shi, L.; Ding, A. Effect of High Hydrostatic Pressure Combined with Sous-Vide Treatment on the Quality of Largemouth Bass during Storage. Foods 2022, 11, 1931. [Google Scholar] [CrossRef] [PubMed]
- USDA-FSIS. FSIS Directive on HPP 6120.2 4. 2012. Available online: https://www.fsis.usda.gov/sites/default/files/media_file/2020-07/6120.2.pdf (accessed on 26 February 2024).
- Fehér, Á. Health Issues of Novel Food Technologies (Új Élelmiszer-Előállítási Technológiák Egészségügyi Megítélése), Guidelines; Semmelweis University OKK-OÉTI: Budapest, Hungary, 2003. [Google Scholar]
Disclaimer/Publisher’s Note: The statements, opinions and data contained in all publications are solely those of the individual author(s) and contributor(s) and not of MDPI and/or the editor(s). MDPI and/or the editor(s) disclaim responsibility for any injury to people or property resulting from any ideas, methods, instructions or products referred to in the content. |
© 2024 by the authors. Licensee MDPI, Basel, Switzerland. This article is an open access article distributed under the terms and conditions of the Creative Commons Attribution (CC BY) license (https://creativecommons.org/licenses/by/4.0/).
