The Distribution and Health Risk Assessment of Potential Toxic Elements in Atmospheric Deposition from Ion-Adsorption Rare Earth Mining Areas in the Ganzhou City of Southeast China
Abstract
1. Introduction
2. Materials and Methods
2.1. Study Area
2.2. Sample Collection
2.3. Sample Treatment and Analysis
2.4. Data Analysis
2.4.1. Concentrations and Flux of Trace Elements
2.4.2. Fractional Vegetation Cover
2.4.3. Human Health Risk Assessment
3. Results and Discussion
3.1. Spatial Distribution Characteristics of PTEs
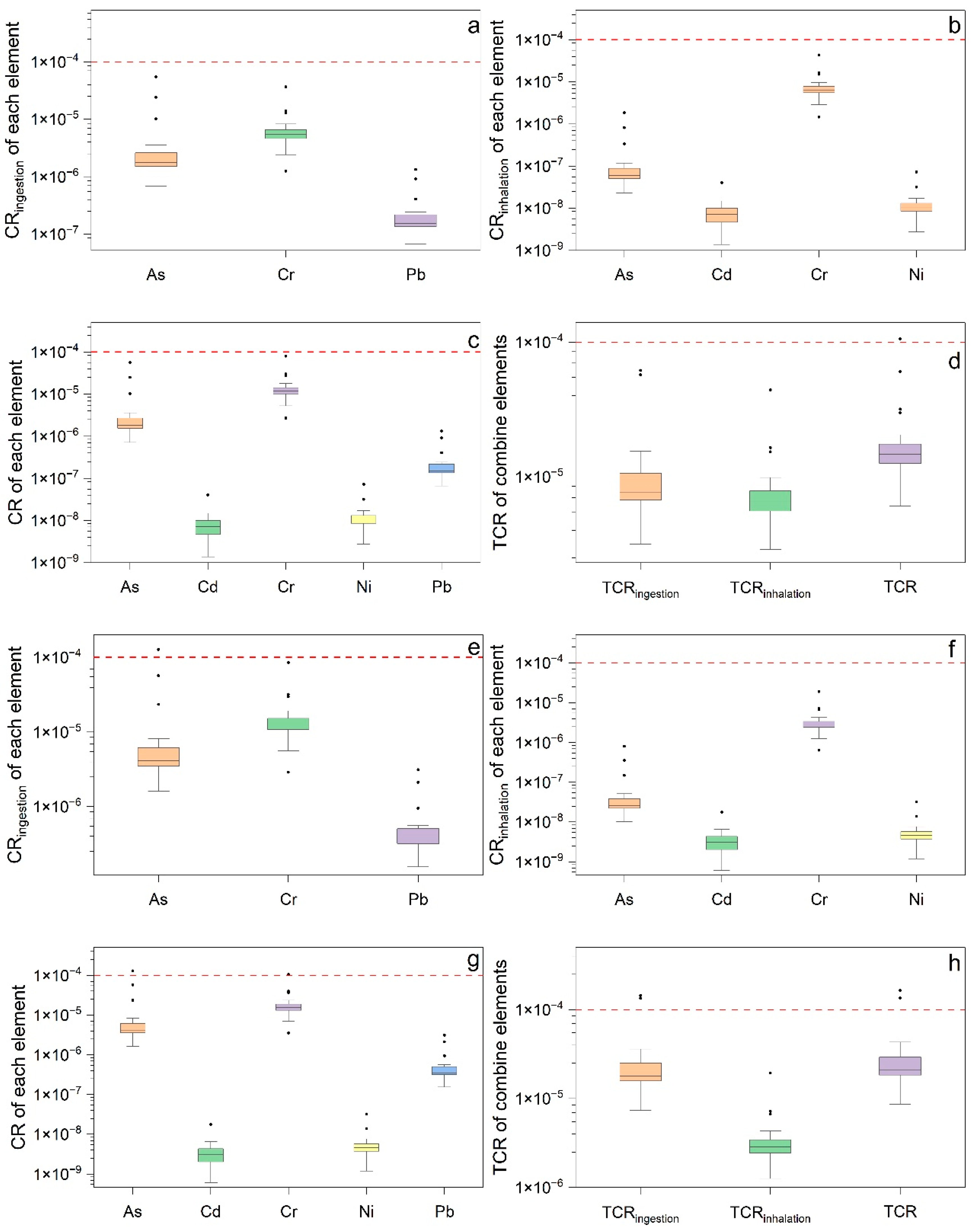
3.2. Human Health Risks Assessment
3.3. Source of As
3.3.1. Correlation Analysis and Cluster Analysis
3.3.2. Transport of Arsenic
3.3.3. Mineralogy of the Regolith
4. Conclusions
Author Contributions
Funding
Institutional Review Board Statement
Informed Consent Statement
Data Availability Statement
Acknowledgments
Conflicts of Interest
References
- Bao, Z.; Zhao, Z. Geochemistry of mineralization with exchangeable REY in the weathering crusts of granitic rocks in South China. Ore Geol. Rev. 2008, 33, 519–535. [Google Scholar] [CrossRef]
- Feng, W.; Guo, Z.; Peng, C.; Xiao, X.; Shi, L.; Zeng, P.; Ran, H.; Xue, Q. Atmospheric bulk deposition of heavy metal(loid)s in central south China: Fluxes, influencing factors and implication for paddy soils. J. Hazard. Mater. 2019, 371, 634–642. [Google Scholar] [CrossRef] [PubMed]
- Li, H.; Xu, F.; Li, Q. Remote sensing monitoring of land damage and restoration in rare earth mining areas in 6 counties in southern Jiangxi based on multisource sequential images. J. Environ. Manag. 2020, 267, 110653. [Google Scholar]
- Liu, J.H.; Chen, L.K.; Liu, C.Y.; Qiu, L.R.; He, S. Pb speciation in rare earth minerals and use of entropy and fuzzy clustering methods to assess the migration capacity of Pb during mining activities. Ecotox. Environ. Saf. 2018, 165, 334–342. [Google Scholar] [CrossRef]
- Guo, G.; Zhang, D.; Wang, Y. Characteristics of heavy metals in size-fractionated atmospheric particulate matters and associated health risk assessment based on the respiratory deposition. Environ. Geochem. Health 2021, 43, 285–299. [Google Scholar] [CrossRef]
- Castillo, S.; de la Rosa, J.D.; Sánchez De La Campa, A.M.; González-Castanedo, Y.; Fernández-Caliani, J.C.; Gonzalez, I.; Romero, A. Contribution of mine wastes to atmospheric metal deposition in the surrounding area of an abandoned heavily polluted mining district (Rio Tinto mines, Spain). Sci. Total Environ. 2013, 449, 363–372. [Google Scholar] [CrossRef] [PubMed]
- Zhang, Y.; Zhang, S.; Zhu, F.; Wang, A.; Dai, H.; Cheng, S.; Wang, J.; Tang, L. Atmospheric heavy metal deposition in agro-ecosystems in China. Environ. Sci. Pollut. Res. 2018, 25, 5822–5831. [Google Scholar] [CrossRef]
- Braune, B.M.; Outridge, P.M.; Fisk, A.T.; Muir, D.C.G.; Helm, P.A.; Hobbs, K.; Hoekstra, P.F.; Kuzyk, Z.A.; Kwan, M.; Letcher, R.J.; et al. Persistent organic pollutants and mercury in marine biota of the Canadian Arctic: An overview of spatial and temporal trends. Sci. Total Environ. 2005, 351–352, 4–56. [Google Scholar] [CrossRef] [PubMed]
- Wang, J.; Zhang, X.; Yang, Q.; Zhang, K.; Zheng, Y.; Zhou, G. Pollution characteristics of atmospheric dustfall and heavy metals in a typical inland heavy industry city in China. J. Environ. Sci.-China 2018, 71, 283–291. [Google Scholar] [CrossRef]
- Wong, C.S.C.; Li, X.D.; Zhang, G.; Qi, S.H.; Peng, X.Z. Atmospheric deposition of heavy metals in the Pearl River Delta, China. Atmos. Environ. 2003, 37, 767–776. [Google Scholar] [CrossRef]
- Qiao, J.; Tang, J.; Xue, Q. Study on Pb release by several new lixiviants in weathered crust elution-deposited rare earth ore leaching process: Behavior and mechanism. Ecotox. Environ. Saf. 2020, 190, 110138. [Google Scholar] [CrossRef] [PubMed]
- Siddiqui, A.U.; Jain, M.K.; Masto, R.E. Distribution of some potentially toxic elements in the soils of the Jharia Coalfield: A probabilistic approach for source identification and risk assessment. Land Degrad. Dev. 2022, 33, 333–345. [Google Scholar] [CrossRef]
- Li, L.; Zhang, B.; Jiang, B.; Zhao, Y.; Qian, G.; Hu, X. Potentially toxic elements in weathered waste-rocks of Fushun western opencast mine: Distribution, source identification, and contamination assessment. Environ. Geochem. Health 2021, 44, 1813–1826. [Google Scholar] [CrossRef] [PubMed]
- Chen, L.; Zhou, S.; Wu, S.; Wang, C.; He, D. Concentration, fluxes, risks, and sources of heavy metals in atmospheric deposition in the Lihe River watershed, Taihu region, eastern China. Environ. Pollut. 2019, 255, 113301. [Google Scholar] [CrossRef] [PubMed]
- Tian, S.; Liang, T.; Li, K.; Wang, L. Source and path identification of metals pollution in a mining area by PMF and rare earth element patterns in road dust. Sci. Total Environ. 2018, 633, 958–966. [Google Scholar] [CrossRef]
- Haghnazar, H.; Belmont, P.; Johannesson, K.H.; Aghayani, E.; Mehraein, M. Human-induced pollution and toxicity of river sediment by potentially toxic elements (PTEs) and accumulation in a paddy soil-rice system: A comprehensive watershed-scale assessment. Chemosphere 2023, 311, 136842. [Google Scholar] [CrossRef]
- Li, Y.; Chen, H.; Song, L.; Wu, J.; Sun, W.; Teng, Y. Effects on microbiomes and resistomes and the source-specific ecological risks of heavy metals in the sediments of an urban river. J. Hazard. Mater. 2021, 409, 124472. [Google Scholar] [CrossRef]
- Exposure Assessment Tools by Media–Soil and Dust; Office of Solid Waste and Emergency Response: Washington, DC, USA, 2022.
- Guo, G.; Wang, Y.; Zhang, D.; Li, K.; Lei, M. Human health risk apportionment from potential sources of heavy metals in agricultural soils and associated uncertainty analysis. Environ. Geochem. Health 2023, 45, 881–897. [Google Scholar] [CrossRef]
- Ivaneev, A.I.; Brzhezinskiy, A.S.; Karandashev, V.K.; Ermolin, M.S.; Fedotov, P.S. Assessment of sources, environmental, ecological, and health risks of potentially toxic elements in urban dust of Moscow megacity, Russia. Chemosphere 2023, 321, 138142. [Google Scholar] [CrossRef]
- Xu, J.; Gui, H.; Chen, J.; Li, C.; Li, Y.; Zhao, C.; Guo, Y. A combined model to quantitatively assess human health risk from different sources of heavy metals in soils around coal waste pile. Hum. Ecol. Risk Assess. Int. J. 2021, 27, 2235–2253. [Google Scholar] [CrossRef]
- Li, M.Y.H.; Zhou, M.; Williams-Jones, A.E. The Genesis of Regolith-Hosted Heavy Rare Earth Element Deposits: Insights from the World-Class Zudong Deposit in Jiangxi Province, South China. Econ. Geol. 2019, 114, 541–568. [Google Scholar] [CrossRef]
- Tian, J.; Tang, X.; Yin, J.; Chen, J.; Luo, X.; Rao, G. Enhanced Leachability of a Lean Weathered Crust Elution-Deposited Rare-Earth Ore: Effects of Sesbania Gum Filter-Aid Reagent. Metall. Mater. Trans. B 2013, 44, 1070–1077. [Google Scholar] [CrossRef]
- Bockheim, J.G. Classification and development of shallow soils (<50 cm) in the USA. Geoderma Reg. 2015, 6, 31–39. [Google Scholar]
- DZ/T 0295-2016; Specification of Land Quality Geochemical Assessment. Ministry of Land and Resources of the People’s Republic of China: Beijing, China, 2016.
- Gutman, G.; Ignatov, A. The derivation of the green vegetation fraction from NOAA/AVHRR data for use in numerical weather prediction models. Int. J. Remote Sens. 1998, 19, 1533–1543. [Google Scholar] [CrossRef]
- Sun, X.; Liu, S.; Jiang, J.; Bai, X.; Chen, Y.; Zhu, C.; Guo, W. Coordination inversion methods for vegetation cover of winter wheat by multi-source satellite images. Trans. Chin. Soc. Agric. Eng. (Trans. CSAE) 2017, 33, 161–167. [Google Scholar]
- Yan, Y.; Liu, H.; Bai, X.; Zhang, W.; Wang, S.; Luo, J.; Cao, Y. Exploring and attributing change to fractional vegetation coverage in the middle and lower reaches of Hanjiang River Basin, China. Environ. Monit. Assess. 2022, 195, 131. [Google Scholar] [CrossRef] [PubMed]
- Yan, L.; Franco, A.; Elio, P. Health risk assessment via ingestion and inhalation of soil PTE of an urban area. Chemosphere 2021, 281, 130964. [Google Scholar] [CrossRef] [PubMed]
- Regional Screening Levels (RSLs)—Equations; Office of Solid Waste and Emergency Response: Washington, DC, USA, 2022.
- Regional Screening Levels (RSLs)—User’s Guide; Office of Solid Waste and Emergency Response: Washington, DC, USA, 2022.
- Regional Screening Level (RSL) Summary Table; Office of Solid Waste and Emergency Response: Washington, DC, USA, 2022.
- Lu, X.; Wu, X.; Wang, Y.; Chen, H.; Gao, P.; Fu, Y. Risk assessment of toxic metals in street dust from a medium-sized industrial city of China. Ecotox. Environ. Saf. 2014, 106, 154–163. [Google Scholar] [CrossRef]
- Annual Average Value of the Concentration of Six Pollutants by County (City, District) in Jiangxi Province in 2020, 2021. Available online: http://sthjt.jiangxi.gov.cn/art/2021/3/12/art_42079_3315206.html (accessed on 1 March 2024).
- Zhong, C.; Yang, Z.; Jiang, W.; Hu, B.; Hou, Q.; Yu, T.; Li, J. Ecological geochemical assessment and source identification of trace elements in atmospheric deposition of an emerging industrial area: Beibu Gulf economic zone. Sci. Total Environ. 2016, 573, 1519–1526. [Google Scholar] [CrossRef]
- Xia, X.; Chen, X.; Liu, R.; Liu, H. Heavy metals in urban soils with various types of land use in Beijing, China. J. Hazard. Mater. 2011, 186, 2043–2050. [Google Scholar] [CrossRef]
- Yuan, G.L.; Sun, T.H.; Han, P.; Li, J.; Lang, X.X. Source identification and ecological risk assessment of heavy metals in topsoil using environmental geochemical mapping: Typical urban renewal area in Beijing, China. J. Geochem. Explor. 2014, 136, 40–47. [Google Scholar] [CrossRef]
- Huang, S.; Tu, J.; Liu, H.; Hua, M.; Liao, Q.; Feng, J.; Weng, Z.; Huang, G. Multivariate analysis of trace element concentrations in atmospheric deposition in the Yangtze River Delta, East China. Atmos. Environ. 2009, 43, 5781–5790. [Google Scholar] [CrossRef]
- Xi, X.; Hou, Q.; Yang, Z.; Ye, J.; Yu, T.; Xia, X.; Cheng, H.; Zhou, G.; Yao, L. Big data based studies of the variation features of Chinese soil’ s background value versus reference value: A paper written on the occasion of Soil Geochemical Parameters of China’ s publication. Geophys. Geochem. Explor. 2020, 45, 1095–1108. [Google Scholar]
- Wu, H.; Shi, C.; Zhang, Y.; Zhao, T.; Hu, P.; Liu, Y.; Chen, T. Characteristics and Source Apportionment of Dustfall Pollution in the Coal Mine Area and Surrounding Areas of Wuhai City in Spring. Environ. Sci. 2020, 41, 1167–1175. [Google Scholar]
- Kai, J.; Wang, C.; Niu, Y.; Li, C.; Zuo, Z. Distribution characteristics and source analysis of atmospheric fallout elements in Yinchuan City. Environ. Sci. Technol. 2020, 43, 96–103. [Google Scholar]
- Weerasundara, L.; Magana-Arachchi, D.N.; Ziyath, A.M.; Goonetilleke, A.; Vithanage, M. Health risk assessment of heavy metals in atmospheric deposition in a congested city environment in a developing country: Kandy City, Sri Lanka. J. Environ. Manag. 2018, 220, 198–206. [Google Scholar] [CrossRef] [PubMed]
- Shi, G.; Chen, Z.; Teng, J.; Bi, C.; Zhou, D.; Sun, C.; Li, Y.; Xu, S. Fluxes, variability and sources of cadmium, lead, arsenic and mercury in dry atmospheric depositions in urban, suburban and rural areas. Environ. Res. 2012, 113, 28–32. [Google Scholar] [CrossRef] [PubMed]
- Li, W.; Zuo, Y.; Wang, L.; Wan, X.; Yang, J.; Liang, T.; Song, H.; Weihrauch, C.; Rinklebe, J. Abundance, spatial variation, and sources of rare earth elements in soils around ion-adsorbed rare earth mining areas. Environ. Pollut. 2022, 313, 120099. [Google Scholar] [CrossRef] [PubMed]
- Jacob, C. Statistical Power Analysis for the Behavioral Sciences; Lawrence Erlbaum Associates: Mahwah, NJ, USA, 1988. [Google Scholar]
- Corona Sánchez, J.E.; González Chávez, M.D.C.A.; Carrillo González, R.; Scheckel, K.; Tapia Maruri, D.; García Cue, J.L. Metal(loid) bioaccessibility of atmospheric particulate matter from mine tailings at Zimapan, Mexico. Environ. Sci. Pollut. Res. 2021, 28, 19458–19472. [Google Scholar] [CrossRef]
- Ao, M.; Qiu, G.; Zhang, C.; Xu, X.; Zhao, L.; Feng, X.; Qin, S.; Meng, B. Atmospheric deposition of antimony in a typical mercury-antimony mining area, Shaanxi Province, Southwest China. Environ. Pollut. 2019, 245, 173–182. [Google Scholar] [CrossRef]
- Smedley, P.L.; Kinniburgh, D.G. A review of the source, behaviour and distribution of arsenic in natural waters. Appl. Geochem. 2002, 17, 517–568. [Google Scholar] [CrossRef]
- Borst, A.M.; Smith, M.P.; Finch, A.A.; Estrade, G.; Villanova-De-Benavent, C.; Nason, P.; Marquis, E.; Horsburgh, N.J.; Goodenough, K.M.; Xu, C.; et al. Adsorption of rare earth elements in regolith-hosted clay deposits. Nat. Commun. 2020, 11, 4386. [Google Scholar] [CrossRef] [PubMed]








| Element | Type | Unit | Pb | Cr | Cd | Ni | Cu | Mo | As | 
|---|---|---|---|---|---|---|---|---|---|
| Limit | Dry | mg kg−1 | 0.1 | 1 | 0.01 | 1 | 0.2 | 0.01 | 0.02 | 
| Wet | mg/L | 0.01 | 0.004 | 0.05 | 0.03 | 0.05 | 0.001 | 0.05 | 
| Sensor | Date | Path/Raw | Resolution (m) | 
|---|---|---|---|
| Landsat OLI | 22 October 2019 | 121/41 | 30 | 
| Landsat OLI | 22 October 2019 | 121/42 | 30 | 
| Landsat OLI | 20 September 2019 | 121/43 | 30 | 
| Landsat OLI | 14 November 2019 | 122/42 | 30 | 
| Landsat OLI | 18 February 2020 | 122/43 | 30 | 
| Element | As | Cd | Cr | Cu | Mo | Ni | Pb | Reference | 
|---|---|---|---|---|---|---|---|---|
| Relative bioavailability factor (RBA) (unitless) | 0.6 | 1 | 1 | 1 | 1 | 1 | 1 | [31] | 
| Oral reference dose (RfDo) (mg kg−1 day−1) | 0.0003 | 0.001 | 0.003 | 0.04 | 0.005 | 0.02 | 0.0014 | [32] | 
| Inhalation reference concentration (RFC) (mg m−3) | 0.000015 | 0.00001 | 0.0001 | 0.04 | 0.002 | 0.00009 | 0.035 | [32] | 
| Oral slope factor (CSFo) (mg kg−1 day−1)−1 | 1.5 | 0.5 | 0.0085 | [32] | ||||
| Inhalation unit risk (IUR) (μg m−3)−1 | 0.0043 | 0.0018 | 0.084 | 0.0003 | [32] | 
| Parameters | Description | Units | Values | Reference | |
|---|---|---|---|---|---|
| Adult (>18 Years Old) | Child (1~6 Years Old) | ||||
| Ci | Concentration of PTE | mg/kg | Site-specific | ||
| IR | Intake ratio | mg/day | 100 | 200 | USDOE (2011) | 
| EF | Exposure frequency | day/year | 180 | 180 | [33] | 
| ED | Exposure duration | year | 24 | 6 | [31] | 
| BW | Body weight | kg | 70 | 15 | [31] | 
| AT | Average time | day | 365 × ED (non-carcinogen)//365 × 70 (carcinogen) | [31] | |
| InhR | Inhalation rate | m3/day | 20 | 7.5 | [29] | 
| PM10 | Inhalable particulate matter | kg/m3 | 3.525 × 10−8 | 3.525 × 10−8 | [34] | 
| Element * | Mean | Min | Max | Median | Std 1 | Skew | CV 2 | Reference 3 | 
|---|---|---|---|---|---|---|---|---|
| As | 23.64 | 3.18 | 251.87 | 8.15 | 52.39 | 3.94 | 2.22 | 70.00 | 
| Cd | 2.85 | 0.45 | 13.30 | 2.35 | 2.46 | 3.36 | 0.86 | 0.13 | 
| Cr | 58.24 | 10.31 | 303.11 | 45.03 | 55.84 | 3.82 | 0.96 | 78.00 | 
| Cu | 76.68 | 26.08 | 319.85 | 60.54 | 71.44 | 2.75 | 0.93 | 26.00 | 
| Mo | 5.67 | 1.09 | 18.96 | 4.53 | 4.47 | 1.99 | 0.79 | 0.73 | 
| Ni | 26.43 | 5.37 | 143.39 | 20.69 | 26.58 | 3.90 | 1.01 | 33.00 | 
| Pb | 121.04 | 32.40 | 654.10 | 73.88 | 136.23 | 3.27 | 1.13 | 26.00 | 
| Location | Period | Landuse | As | Cd | Cr | Cu | Mo | Ni | Pb | Reference | 
|---|---|---|---|---|---|---|---|---|---|---|
| Ganzhou, China | 2019~2020 | Rare earth mine | 23.64 | 2.85 | 58.24 | 76.68 | 5.67 | 26.43 | 121.04 | This study | 
| Wuhai, China | 2018~2019 | Coal mine | 408.78 | 1.97 | 45.97 | 27.40 | 25.41 | 38.93 | [40] | |
| Shanghai, China | 2011~2012 | Rural region | 47.60 | 1.53 | 150.60 | [43] | ||||
| Taihu lake, China | 2016~2018 | Woodland | 9.42 | 71.60 | 139.60 | 45.98 | 223.60 | [14] | ||
| Yinchuang, China | 2019~2020 | Urban | 28.00 | 0.74 | 82.60 | 46.50 | 2.72 | 35.10 | 48.80 | [41] | 
| Kandy, Sri Lanka | 2017~2018 | Urban | 10.12 | 68.60 | 103.00 | 123.60 | 87.60 | 234.40 | [42] | 
| Mineral Name | Chemical Formula | wt% | 
|---|---|---|
| Kaolinite/Illite | Al4[Si4O10](OH)8/KAl2[(SiAl)4O10]·(OH)2·nH2O | 46.0072 | 
| Quartz | SiO2 | 45.8911 | 
| K-feldspar | K[AlSi3O8] | 5.0466 | 
| Muscovite | Al2K2O6Si | 2.4201 | 
| Limonite | Fe2O3·nH2O | 0.4462 | 
| Albite | NaAlSi3O8 | 0.0559 | 
| Montmorillonite | Al2Si2O5·(OH)4 | 0.0221 | 
| Zircon | ZrSiO4 | 0.0196 | 
| Chernovite-(Y) | Y[AsO4] | 0.0159 | 
| Ilmenite | FeTiO3 | 0.0092 | 
| Xenotime-(Y) | YPO4 | 0.0030 | 
| Chlorite | (Mg,Fe,Al)6(Si,Al)4O10(OH)8 | 0.0026 | 
| Euxenite-group mineral | (Y,Ca)(Nb,Ta,Ti,Fe)2O6 | 0.0023 | 
| Calcite | CaCO3 | 0.0022 | 
| Fergusonite-group mineral | YNbO4 | 0.0013 | 
| Coronadite | Pb(Mn4+,Mn2+)8O16 | 0.0013 | 
| Dolomite | CaMg(CO3)2 | 0.0013 | 
| Thorite | Th[SiO4] | 0.0006 | 
| Monazite | CePO4 | 0.0003 | 
| Total | 99.9486 | 
| Disclaimer/Publisher’s Note: The statements, opinions and data contained in all publications are solely those of the individual author(s) and contributor(s) and not of MDPI and/or the editor(s). MDPI and/or the editor(s) disclaim responsibility for any injury to people or property resulting from any ideas, methods, instructions or products referred to in the content. | 
© 2024 by the authors. Licensee MDPI, Basel, Switzerland. This article is an open access article distributed under the terms and conditions of the Creative Commons Attribution (CC BY) license (https://creativecommons.org/licenses/by/4.0/).
Share and Cite
Wei, J.; Liu, S.; Chu, T.; Yuan, G.; Xie, M.; Huang, Y.; Sun, Q.; Ma, C.; Xue, Q. The Distribution and Health Risk Assessment of Potential Toxic Elements in Atmospheric Deposition from Ion-Adsorption Rare Earth Mining Areas in the Ganzhou City of Southeast China. Appl. Sci. 2024, 14, 3585. https://doi.org/10.3390/app14093585
Wei J, Liu S, Chu T, Yuan G, Xie M, Huang Y, Sun Q, Ma C, Xue Q. The Distribution and Health Risk Assessment of Potential Toxic Elements in Atmospheric Deposition from Ion-Adsorption Rare Earth Mining Areas in the Ganzhou City of Southeast China. Applied Sciences. 2024; 14(9):3585. https://doi.org/10.3390/app14093585
Chicago/Turabian StyleWei, Jixin, Siwen Liu, Tianshu Chu, Guoli Yuan, Manman Xie, Yuanying Huang, Qing Sun, Chenge Ma, and Qiang Xue. 2024. "The Distribution and Health Risk Assessment of Potential Toxic Elements in Atmospheric Deposition from Ion-Adsorption Rare Earth Mining Areas in the Ganzhou City of Southeast China" Applied Sciences 14, no. 9: 3585. https://doi.org/10.3390/app14093585
APA StyleWei, J., Liu, S., Chu, T., Yuan, G., Xie, M., Huang, Y., Sun, Q., Ma, C., & Xue, Q. (2024). The Distribution and Health Risk Assessment of Potential Toxic Elements in Atmospheric Deposition from Ion-Adsorption Rare Earth Mining Areas in the Ganzhou City of Southeast China. Applied Sciences, 14(9), 3585. https://doi.org/10.3390/app14093585
 
        


 
       