Abstract
In this article, we study the optimized structures, spin crossover, and coherent quantum transport properties of a series of cyclopentadienyl metalloporphyrin (PTMCp, TM = transition metal) complexes using the density functional theory combined with the non-equilibrium Green’s function method. The structure of the complexes can be classified into the sandwich type and the biplanar type. Energetic analyses of spin states reveal that the IS(intermediate-spin)-HS(high-spin) spin transition may appear in PMnCp and PFeCp, and the LS(low-spin)-IS(intermediate-spin)-HS(high-spin) two-step spin transition may appear in PCoCp under external stimulus. We predict that giant magnetoresistance may be observed in the ground-state sandwich PTMCp depending on the contact between the electrodes and the molecule in measurements. These results indicate that PTMCp complexes could be promising materials for spintronics.
1. Introduction
At present, the development of industrial nanocircuits is facing challenges, with people focusing more on spin-based electronic technology. As one of the emerging branches of nanotechnology, spintronics has become an indispensable platform for nanoscale circuits from the perspective of technological development and requirements. Particularly, focus on molecular-based spintronics is quietly rising, though most efforts so far focus on traditional semiconductors. Compared with semiconductors, molecular spintronics has higher space utilization, faster responsiveness, and stronger adjustability, which will be more advantageous in future industrial production [1].
Molecular spintronics uses a single molecule as a magnet to implement device functions involving spin manipulation such as spin crossover [2], spin filtering [3], spin-negative differential resistance [4], and magnetoresistance effect [5]. Spin crossover (SCO) describes the transition between two spin states of materials under an external stimulus, which is one of the hottest research areas in recent decades. Some metal complexes have inherent magnetic bistability. Switching between their high spin (HS) and low spin (LS) states can be induced by varying the temperature, pressure, electromagnetic field, and other factors. So, they can be used as pressure sensors [6], actuators [7], and display devices [8]. Molecular materials showing the magnetoresistance (MR) effect, such as MnPc [9] and Co(Bz)2 [10] molecular junctions, have also attracted significant attention since the large MR ratio has the potential applications for magnetic sensors and magnetic random access memory.
Large and stable aromatic systems are highly attractive for molecular electronics because of the proper operational range determined by their HOMO-LUMO gaps. Porphyrins, which have a diameter of 1 nm and 11 bonds in their core, have rich electrochemical and physical properties and are suitable for molecular electronics [11,12,13,14]. The properties of porphyrins have been extensively studied [15,16] as spin crossing systems. Kuang et al. realized the conversion of Fe spin state from S = 2 to S = 1 by adjusting the tip height in a STM [17]. FeII, CoII, and NiII porphyrins undergo spin state upon changing their coordination number by axial ligands [18,19,20,21,22]. In molecular electronics, porphyrins show excellent transport properties due to their conjugated structure of 18 electrons. In addition, porphyrins generally have very low or even negative attenuation factors [23]. Useful features such as negative differential resistance (NDR) effect with donor or acceptor side groups [24,25], spin polarization with functionalization of metal elements, and 100% spin-filtering efficiency [26] can be realized, indicating that porphyrins are promising for application in future molecular-scale circuitry. Adding either side groups or axial ligands can effectively manipulate the behaviors of molecules [27,28,29,30]. However, the side groups have received more attention in porphyrin molecular devices, and devices with axial ligands have rarely been reported. The axial ligands can modulate the coordination field of metal ions, and SCO may be more likely occur. If such porphyrins are applied in molecular electronics, it is possible to achieve a variety of functions. In this paper, we explore the possible structures of the cyclopentadienyl metalloporphyrin, and simulate how to switch the molecule between two spin states by changing the structural configuration and realizing the SCO. Some of the molecule complexes have special sandwich shapes. We connect the sandwich structure of ground-state molecules Ni nanowire electrodes of different sizes to form a two-probe device and analyze the magnetic transport properties of the device.
2. Model and Method
The cyclopentadienyl metalloporphyrin (PTMCp, TM = transition metal) was first synthesized in 1990 [31] where it was stable and solid at room temperature, and was followed by the synthesis of similar compounds [32,33,34]. Their characteristic sandwich-structure has aroused our interest. In this article, we consider PTMCp complexes without side groups for transition metal elements from Sc to Co in the periodic table. We analyze their geometry structures and spin crossover properties, as well as the electron transport when connected to Ni electrodes.
The optimized molecular geometries and the electronic properties are calculated using GAMESS at the B3LYP/6-311G** level. To describe the procedure of the geometric transition for PTMCp clusters from one spin configuration to another, the ATK package via nudged elastic band (NEB) method is adopted [35,36], which is a method for seeking saddle points and minimum-energy paths between two structures.
To calculate the MR of these metal porphyrin complexes, we connect molecules with two coaxial Ni nanowires pointing at the center of a porphyrin and Cp ring. The junctions are then structurally optimized and relaxed. The supercell optimization and transport simulations in this work are executed using the Atomistix Toolkit (ATK) [35,36], which is based on the density functional theory (DFT) combined with the non-equilibrium Green’s function method. The local spin density approximation with the Perdew–Zunger parameterization (LSDA-PZ) is adopted for the exchange–correlation function, and the basis set of double zeta-polarized (DZP) atomic orbits is used [37,38,39]. Before calculating the transport properties, the structures are geometrically optimized until the force on any atom is less than 0.04 eV/Å. The cutoff energy is set as 150 Hartree and the k-space mesh grid is set to be . In the simulation, the electronic temperature of 300 K is assumed in the real axis integration for the non-equilibrium Green’s functions and in the electrodes for transport simulation. The current through the junction is calculated from the corresponding Green’s function and self-energies using the Landauer-Büttiker [40,41]
where and are the electrochemical potentials of the left and right electrodes and and are the corresponding electron distributions of two electrodes. The spin-resolved transmission function with the spin index is obtained by
Here, is the spin-dependent retarded Green’s function of the molecule and is the coupling matrix between the molecule and the left/right electrode.
3. Results and Discussion
3.1. Geometric Structures
The optimized structures of PTMCp with TM = Sc − Co as the central metal ions are obtained. Considering more than one spin state may exist in a molecule, we examine the geometric properties of 19 structures. According to the numerical results, these structural shapes can be roughly divided into two categories. One is the sandwich type, as shown in Figure 1a. The porphyrin molecules are slightly curved, while the four nitrogen atoms are almost in the same plane. The mean plane for the nitrogen atoms is defined as the porphyrin plane. There are slight differences (0–0.2 ) in TM-C(Cp) bond lengths within the same structure. The Cp plane and the porphyrin plane are almost parallel, and the TM ion is sandwiched by them closer to the latter. The other type is the biplane type with a nonzero angle between the Cp ring plane and the porphyrin plane and the TM ion basically in the porphyrin plane, as shown in Figure 1b.
Figure 1.
At B3LYP functional level, : distance of TM ion from centroid of Cp, : distance of TM ion from mean plane of nitrogen, (a) sandwich type, (b) two-plane type. White sphere: H atom; gray sphere: C atom; green sphere: TM atom; blue sphere: N atom.
The structures of complexes with early transition metals (TM = Sc, Ti, and V) fall into the sandwich type, and they show little difference for different spin states of the same molecule. Both and decrease with the increase of the atomic number, which may originate from the enhanced coupling between the TM ion and the two-ligand ring as a consequence of the increase in the number of electrons in its d orbital (Table 1). In cases of TM = Cr Co, on the contrary, the structures of different spin states become obviously different. Only three of them are sandwich type, including PCrCp (doublet), PMnCp (singlet), and PFeCp (sextet), while the rest are biplane type. In these complexes, the Cp ring takes an electron from the TM ion to form the stable conjugated structure, which is reflected in MtCp [42]. In addition, we find that the TM ion is the main magnetic source for most of magnetic molecules. In general, the magnetism of transition-metal ions depends on the configuration of d orbital electrons. The magnetism of PScCp (triplet) is derived from the ligands because Sc3+ has no d electrons, for PTiCp(quartet), the ligands provide 2 magnetic moment because Ti3+ has only one d electron, and the same is true of PMnCp(quintet). The spin multiplicity of the ground state of PTMCp increases linearly with the increase of the metal atomic number, except for PCoCp.
Table 1.
Data of PTMCp (TM = Sc Co). Spin state marked in blue is molecular ground state. Ground-state energy of molecule is zero as reference. : magnetic moment of TM ion, obtained by mulliken population. Sandwich (Y/N): whether structure is sandwich type (Yes or No). All PTMCp systems are electrically neutral.
3.2. Spin Crossover
Generally, molecules with different spin states have different structures. On the other hand, we could rearrange the electrons by varying structures to tune the spin state. For example, it has been shown that we can modulate the coordination field of metal ions by changing the molecular structure, such as stretch and rotation, and can achieve the SCO [17,43,44]. We can use a similar strategy to achieve spin transformation in this vein. In the current study, we investigate the SCO materials with complexes, including PMnCp, PFeCp, and PCoCp, whose structures are shown in Figure 2. It is observed that the main differences between the structures lie in the folds of the porphyrin plane, the distance between the metal and the porphyrin center, and the bond length between the carbon atoms in the Cp ring and the metal. In particular, the changes of the first two are much smaller than those of the latter, so we suspect that the Cp ring may be the key to controlling the molecular spin states. When the Cp ring is rotated and stretched by some means, porphyrins and metal ions also move, which correspondingly modifies the coordination field of metal ions (as shown in Figure 3), leading to the SCO.
Figure 2.
Optimized structures of (a) PMnCp, (b) PFeCp, and (c) PCoCp. White sphere: H atom; gray sphere: C atom; blue sphere: N atom; purple sphere: Mn atom; red sphere: Fe atom; pink sphere: Co atom.
Figure 3.
Cp ring manipulation process. White sphere: H atom; gray sphere: C atom; green sphere: TM atom; blue sphere: N atom.
In our calculation, PMnCp may have three spin states, among which the quintet is the molecular ground state and the triplet state is 0.15 eV higher than the ground state, which is very close to it. In contrast, the energy of the singlet is 1.16 eV higher than the ground state. It is difficult to realize the SCO if the energy difference is too large. Therefore, only the SCO from the quintet to the triplet is analyzed here. Sextet (Fe-HS, high-spin) is the ground state of PFeCp, which is 0.15 eV lower than the quartet (Fe-IS, intermediate-spin) and 0.43 eV lower than the doublet (Fe-LS, low-spin). The singlet (Co-LS) of PCoCp is the ground state, which is 0.24 eV lower than the triplet (Co-IS) and 0.54 eV lower than the quintet (Co-HS). With these energy differences, the SCO occurs easily, and it is possible to achieve the tri-stable switching. To describe the spin transition between these spin states, we calculate the total electronic energies of PMnCp, PFeCp, and PCoCp complexes as a function of the reaction coordination (X) at the B3LYP functional level. The reaction coordinate (X) is tuned to interpolate between one spin configuration and another spin configuration. The NEB method treats the structural change as a linear movement of all atoms and divides into six parts, and the total energies of intermediate structures are calculated.
Firstly, the SCO of PMnCp from the HS to the IS is analyzed. The initial HS configuration is set at X = 0, while the IS structure is set at X = 1. The energies of the intermediate configurations in the HS and the IS are calculated. As shown in Figure 4a, when X is approximately 0.92, the two curves intersect, and the intersection point is where the SCO occurs. At this point, two spin states coexist. The energy of the LS spin state (blue dotted line) is much higher than that of the HS and the IS, and has no effect on the spin transition. The SCO behavior of HS–LS and HS–IS of PFeCp was also analyzed. The HS–IS conversion process (Figure 4b) can be successfully completed without the influence of the LS, while in the HS–LS process (Figure 4c), the energy of the IS is equal to that of the HS while lower than that of the LS when X is approximately 0.53. As the structure continues to change, the energy of IS is always smaller than that of the HS and the LS, indicating that the HS–LS transition cannot be induced only by stretching and rotation during the HS–LS process. Spin transition of IS–LS cannot be realized, because the energy of IS is much lower than that of LS. As for PCoCp, one finds LS–IS (Figure 4d) and LS–HS (Figure 4e) can both happen. Note that in the LS–HS process, the structure will firstly transit from the LS to the IS when X is approximately 0.46, and then from the IS to the HS when X is approximately 0.89. The SCO process of LS–IS–HS indicates that PCoCp may act as a tri-stable molecular device. We also calculated the IS–HS (Figure 4f) spin transition process of PCoCp, which realizes the transition when X is approximately 0.97. The corresponding potential barrier was 0.92 eV, which is significantly lower than that of LS–HS transition (2.70 eV). Therefore, we can also change the LS structure to the IS structure, and then to the HS configuration to achieve multistep SCO, reducing the potential barrier of the transformations. This shows that we can adjust the molecular spin states which change geometric structure by external stimulus.
Figure 4.
Relative energies of PTMCp SCO complexes between two spin states along reaction coordinates (X). (a) PMnCp: HS–IS, (b) PFeCp: IS–HS, (c) PFeCp: HS–LS, (d) PCoCp: LS–IS, (e) PCoCp: LS–HS, (f) PCoCp: IS–HS. Initially relaxed configurations of spin states with lower energy at X = 0, higher energy at X = 1, Ci (i = LS, IS, HS) represents initial configuration in i.
Our investigations provide a possibility that the SCO phenomena would occur in cyclopentadienyl metalloporphyrin complexes. In this work, we only discussed the SCO phenomena associated with the mechanical transformations (stretching and rotation). But not enough for PMnCp(LS) and PFeCp(LS), other factors such as electric field, light or temperature may help to induce the transition. The comprehensive study remains a challenge and needs methodological advancements.
3.3. Transmission Characteristics
Organo-metallic complexes such as metallocene and metal benzene possess a distinctive sandwich structure. These complexes typically exhibit half-metallic properties that can be utilized as spin filters in future nanodevices [42,45,46,47]. Additionally, as with some metalloporphyrins [48], these complexes demonstrate remarkable giant magnetoresistance (GMR) effects [47] which offer potential applications in magnetic memory. Given that PTMCp also contains several sandwich structures resembling MtCp in terms of geometry and orbital coupling, we are curious to investigate whether they manifest the GMR effect. To examine this possibility further, we will explore their transport properties under magnetic electrodes.
Among them, the ground-state sandwich molecules are PScCp (singlet), PTiCp (doublet), PVCp (triplet), and PFeCp (sextet), which will be the intermediate molecules of the device. To match the possible experimental setup, we take four Ni nanowires of different radii as magnetic electrodes, which are connected to the axial direction of the molecule (as shown in Figure 5). In our model, the magnetization direction of the left electrode is fixed, and the magnetization direction of the right electrode is set to be either parallel (P) or anti-parallel (AP), the molecular spin is going in the same orientation of the left electrode. The transmission spectrum at zero bias voltage is calculated. The conductance (G) and the magnetoresistance (MR) are calculated by and , and the spin filtering efficiency (SFE) is given by .
Figure 5.
PTMCp molecular devices with four kinds of electrodes. (a) Ni monoatomic wire; (b) Ni nanowires of radius 2; (c) Ni nanowires of radius 3.5; (d) Ni nanowires of radius 4.5. White sphere: H atom; gray sphere: C atom; green sphere: Ni atom; blue sphere: N atom; gold sphere: Sc/Ti/V/Fe atom.
The conductance and MR values of the device for P are provided in Table 2. All devices exhibit MR values above 80%, regardless of whether the electrode is a Ni monoatomic wire or 2 Å Ni nanowires. Notably, when using the latter, the MR value reaches 100%. Furthermore, the device demonstrates a perfect spin-filtering efficiency (SFE) of 100% with a P-type electrode. These ground-states of sandwich PTMCp complexes possess exceptional giant magnetoresistance (GMR) effects and perfect SFE, making them suitable for applications in magnetic storage and logic devices. However, the GMR effect almost disappears and the SFE decreases greatly while the electrodes are made of 3.5 and 4.5 Ni nanowires, although it has been reported that the GMR effect can be regulated by electrode contact [10]. Here, we analyze the transport properties of PVCp with four electrodes, and try to explain the difference of the MR with the transmission eigenstates.
Table 2.
Conductance (G), magnetoresistance (MR), and spin filtering efficiency (SFE) for P type of ground-state PTMCp (TM = Sc, Ti, V and Fe) with four kinds of electrodes.
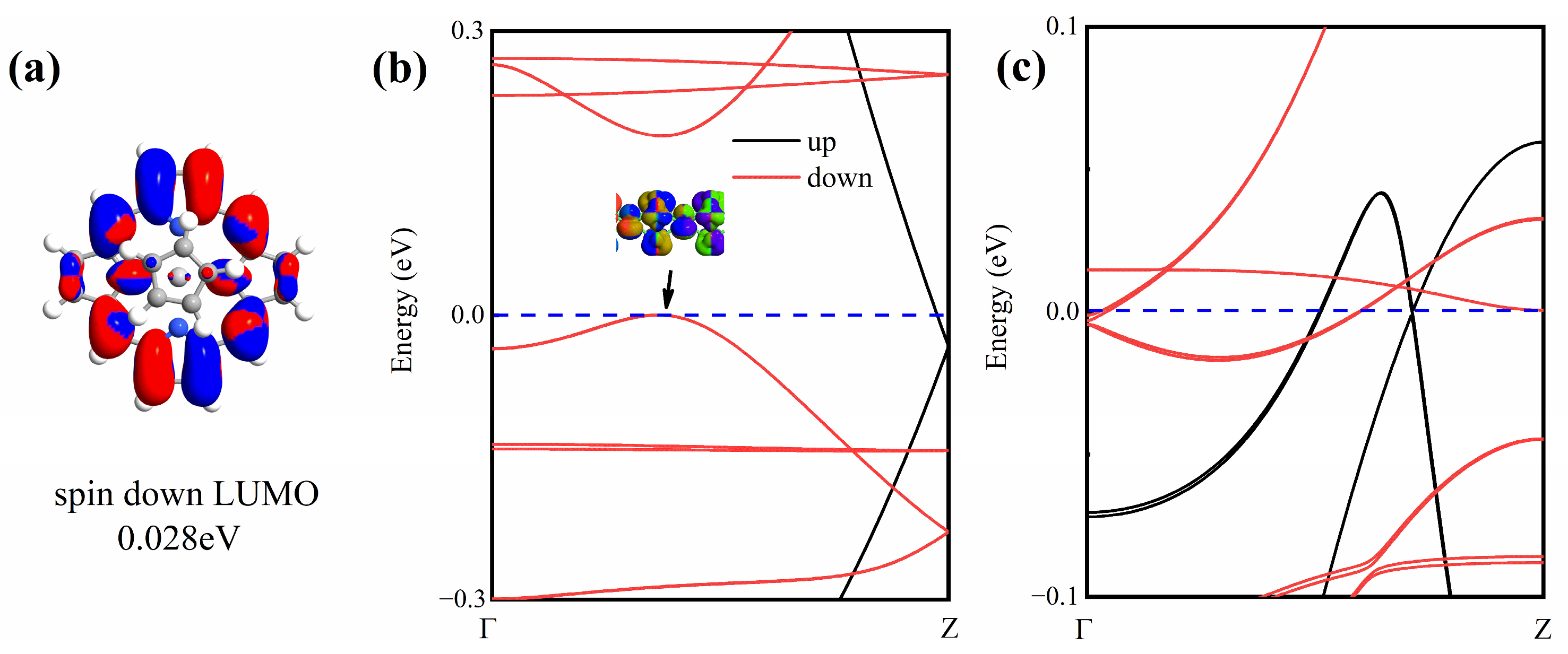
The transmission spectra of PVCp for P and AP and the transmission eigenstates at Fermi level are shown in Figure 6. Interestingly, the generation of SFE seems to have little to do with the metal, as non-magnetic PScCp also exhibits perfect SFE in small-sized electrodes. We consider that this phenomenon stems from the way the molecules of this type of structure are coupled to the electrodes, which seems to allow electrons of one spin to pass and forbid the other. This can be seen in the MPSH for the device shown in Figure 5a, where the transport around the Fermi energy level after coupling the electrodes depends on the closer LUMO, where the PScCp has spin-up LUMO of −0.13 eV and spin-down LUMO of −0.08 eV, while PVCp has 0.09 eV and 0.04 eV, with the spin-down LUMO always being closer to the Fermi energy level. Moreover, the transmission spectrum (Figure 6a) also shows that there is an obvious spin-down peak near the Fermi energy level, indicating that the spin-down wave function matches the wave function of the electrode better. The device shown in Figure 5b appears semblable phenomenon, in which spin-up and spin-down channels interchange, resulting in perfect SFE. For the AP type, the transmission eigenvalues are very small, so the junctions will present tremendous GMR ratio. There are multiple transmission peaks around the Fermi level for Figure 5c,d devices with P and AP types, implying the GMR phenomenon disappears. Then, we attempt to explain it by scattering states at the Fermi level, where for each magnetic type, only the two eigenstates that contribute most are analyzed. For Figure 5a device, the and orbitals of Ni atom are well coupled with orbitals of N, and orbitals of V, and orbitals of C atoms on Cp ring. For the AP configuration, the wave functions of right-electrode Ni and C atoms are almost completely orthogonal, which makes it difficult for electrons hop from the left electrode to the right electrode through the intermediate molecule, resulting in a very low transmission eigenvalue. The LUMO is closest to the Fermi level in the spin-down energy level for PVCp, and the eigenstates are shown in Figure 7a. The highest energy (1.7 10−4 eV) of the spin-down band across the Fermi level lower than the LUMO, where we get from the band structure of 2 Ni nanowires, as shown in Figure 7b, energy mismatch is the main reason why the spin-down electrons cannot pass through and the Figure 5b device presents 100% SFE. We also think that their wave functions are completely orthogonal as they are very close in energy and delocalized, but have no hybrid state. For AP, the band structure of the right electrode is the same as that of the image of the left but the spin is opposite, which inhibits the transmission of the spin-up electrons to the right electrode, so the total conductivity is zero.
Figure 6.
Transmission spectra of PVCp for P and AP configurations of (a) Ni monoatomic wire electrode, (b) 2 Ni nanowire electrode, (c) 3.5 Ni nanowire electrode, (d) 4.5 Ni nanowire electrode. (e) Transmission eigenstates of two largest eigenvalues at Fermi level of four devices, isovalue = 0.3.
Figure 7.
(a) LUMO of spin-down channel for PVCp(triplet), (b) band structure of 2 Ni nanowire, inset is blochstate of highest point of red line indicated by arrow, (c) band structure of 3.5 Ni nanowire. White sphere: H atom; gray sphere: C atom; silver sphere: V atom; blue sphere: N atom.
When the electrodes consist of 3.5 and 4.5 Ni nanowires, the transmission value at the Fermi level for the P is close to that for the AP, and the GMR effect disappears completely. The number of energy bands near the Fermi level increases due to the number increase of atoms in the cell, and more electronic states are coupled with the molecule. Note that the transmission eigenstates of 3.5 nanowire for the AP are delocalized in the whole device, and the shape of the transmission eigenstates are similar to that for the P, the spin-up and spin-down electronic states of the left and right electrodes match, resulting in the phenomenon that the AP configuration conductance does not decrease, which indicates that the spin reversal of the right electrode has limited influence on the matching degree of the wave function. Figure 6e shows that the metal could be regarded as a bridge, which opens the channel between porphyrin and Cp in the transport, and “Left electrode-N4-TM-Cp-Right electrode” is the main transmission pathway.
To further verify that the electrodes and the contacts can significantly affect the MR of the PVCp device, we use the same method as Li et al. [10] to add 1–4 Ni atoms successively at the contact between the 3.5 Ni nanowire electrode and the molecule. The transmission spectra are plotted in Figure 8, in which the device structure is shown in the insets. It is found that in the case of only one additional atom, the peak values of transmission spectra for the AP spin-up and spin-down channels are exactly at the Fermi level, and the sum is slightly larger than that for the P, giving rise to a negative MR of the device. When the number of adatoms n increases to be 2–4, the transmission value at Fermi level for the AP becomes very small, while it is not less than 0.5 in the case of the P, which suggests excellent MR effects. Figure 8e shows the increasing trend of MR with varying number of adatoms n. The MR of the device surpasses 75% while n is 4, which is quite close to the value of the device with electrodes of one-dimensional atomic wire, indicating that the contact has a significant effect on the MR. Due to the experimental challenges in realizing a one-dimensional infinite monoatomic chain electrode, we can achieve a comparable outcome by introducing multiple adatoms.
Figure 8.
Transmission spectra of PVCp for P- and AP-configurations of 3.5 Ni nanowire electrode through adding (a) one adatom, (b) two adatoms, (c) three adatoms, and (d) four adatoms. Insets show central region of device. (e) Dependence of MR on number of adatoms. White sphere: H atom; gray sphere: C atom; silver sphere: V atom; blue sphere: N atom.
4. Conclusions
In summary, we have investigated the geometric configurations, SCO behavior, and MR effect of PTMCp complexes. Different spin states show different structures. The structures can be classified into the sandwich type and biplane type. In the case of three spin states for each molecule, by varying structures with simulation, the SCO from the IS state to the HS state can be realized in PMnCp and PFeCp. For PCoCp, the three spin states are interchangeable. The GMR effects of sandwich molecules on the ground state are simulated, and the GMR ratios are found to be above 84% in devices with electrodes of Ni monoatomic wire and 2 Ni nanowire. In devices with electrodes of 3.5 and 4.5 Ni nanowires, the GMR effect almost vanishes. The transmission spectra and eigenstates of the molecule junctions are calculated to understand the underlying mechanism of spin transport in these systems, we consider that the main reason for the different MR at different sizes of electrodes is the more pronounced difference between molecules and electrodes in the degree of coupling for P and AP types. Metal serves as a conduit in the transportation process, however, its dominant role in achieving perfect SFE has not been demonstrated in P-type small-sized electrode devices. Further exploration may be required for non-zero biased or non-magnetic electrodes. Moreover, by adding multiple adatoms to the contacts between the molecule and the electrodes, the GMR effect can be observed. These results suggest that PTMCp complexes are promising candidates for realistic applications in molecular spintronics and provide some ideas to experimentally enable the observation of more phenomena.
Author Contributions
Writing—original draft, M.Y.; Writing—review & editing, L.Z., W.-L.Y. and X.W. All authors have read and agreed to the published version of the manuscript.
Funding
This work was supported by the National Natural Science Foundation of China (Grant No. 62274113 and 61674110).
Data Availability Statement
The raw data supporting the conclusions of this article will be made available by the authors on request.
Conflicts of Interest
The authors declare no conflicts of interest.
References
- Coronado, E. Molecular magnetism: From chemical design to spin control in molecules, materials and devices. Nat. Rev. Mater. 2020, 5, 87–104. [Google Scholar] [CrossRef]
- Jasper-Toennies, T.; Gruber, M.; Karan, S.; Jacob, H.; Tuczek, F.; Berndt, R. Robust and selective switching of an FeIII spin-crossover compound on Cu2N/Cu(100) with memristance behavior. Nano Lett. 2017, 17, 6613–6619. [Google Scholar] [CrossRef]
- Bajaj, A.; Khurana, R.; Ali, M.-E. Quantum interference and spin filtering effects in photo-responsive single molecule devices. J. Mater. Chem. C 2021, 9, 11242–11251. [Google Scholar] [CrossRef]
- Wu, D.; Cao, X.-H.; Chen, S.-Z.; Tang, L.-M.; Feng, Y.-X.; Chen, K.-Q.; Zhou, W.-X. Pure spin current generated in thermally driven molecular magnetic junctions: A promising mechanism for thermoelectric conversion. J. Mater. Chem. A 2019, 7, 19037–19044. [Google Scholar] [CrossRef]
- Li, D.; Frauenheim, T.; He, J. Robust Giant magnetoresistance in 2D Van der Waals molecular magnetic tunnel junctions. ACS Appl. Mater. Interfaces 2021, 13, 36098–36105. [Google Scholar] [CrossRef]
- Linares, J.; Codjovi, E.; Garcia, Y. Pressure and temperature spin crossover sensors with optical detection. Sensors 2012, 12, 4479–4492. [Google Scholar] [CrossRef]
- Molnár, G.; Rat, S.; Salmon, L.; Nicolazzi, W.; Bousseksou, A. Spin crossover nanomaterials: From fundamental concepts to devices. Adv. Mater. 2018, 30, 1703862. [Google Scholar] [CrossRef]
- Bousseksou, A.; Molnár, G.; Salmon, L.; Nicolazzi, W. Molecular spin crossover phenomenon: Recent achievements and prospects. Chem. Soc. Rev. 2011, 40, 3313–3335. [Google Scholar] [CrossRef]
- Liu, J.; Luo, K.; Chang, H.; Sun, B.; Zhang, S.; Wu, Z. Tunable giant magnetoresistance ratio in bilayer CuPc molecular devices. RSC Adv. 2022, 12, 3386–3393. [Google Scholar] [CrossRef]
- Li, D.; Smogunov, A. Giant magnetoresistance due to orbital-symmetry mismatch in transition metal benzene sandwich molecules. Phys. Rev. B 2021, 103, 085432. [Google Scholar] [CrossRef]
- Noori, M.; Sadeghi, H.; Al-Galiby, Q.; Bailey, S.W.D.; Lambert, C.J. High cross-plane thermoelectric performance of metallo-porphyrin molecular junctions. Phys. Chem. Chem. Phys. 2017, 19, 17356–17359. [Google Scholar] [CrossRef]
- Zwick, P.; Dulić, D.; van der Zant, H.S.J.; Mayor, M. Porphyrins as building blocks for single-molecule devices. Nanoscale 2021, 13, 15500–15525. [Google Scholar] [CrossRef]
- Seng, J.-W.; Tong, L.; Peng, X.-Q.; Chang, W.-Y.; Xie, W.; Wang, Y.-H.; Zheng, J.-F.; Shao, Y.; Chen, J.-Z.; Jin, S.; et al. Influence of a coordinated metal center on charge transport through a series of porphyrin molecular junctions. J. Phys. Chem. C 2022, 126, 1168–1175. [Google Scholar] [CrossRef]
- Zhang, C.; Zhou, X.; Zhu, C.; Zong, Y.; Cao, H. STM studies on porphyrins and phthalocyanines at the liquid/solid interface for molecular-scale electronics. Dalton Trans. 2023, 52, 11017. [Google Scholar] [CrossRef]
- Kingsbury, C.J.; Senge, M.O. The shape of porphyrins. Coord. Chem. Rev. 2021, 431, 213760. [Google Scholar] [CrossRef]
- Gottfried, J.M. Surface chemistry of porphyrins and phthalocyanines. Surf. Sci. Rep. 2015, 70, 259–379. [Google Scholar] [CrossRef]
- Kuang, G.; Zhang, Q.; Lin, T.; Pang, R.; Shi, X.; Xu, H.; Lin, N. Mechanically-controlled reversible spin crossover of single Fe-porphyrin molecules. ACS Nano 2017, 11, 5–6300. [Google Scholar] [CrossRef]
- Heitmann, G.; Schütt, C.; Herges, R. Spin state switching in solution with an azoimidazole-functionalized Nickel(II)-Porphyrin. Eur. J. Org. Chem. 2016, 22, 7–3823. [Google Scholar] [CrossRef]
- Wäckerlin, C.; Tarafder, K.; Girovsky, J.; Nowakowski, J.; Hählen, T.; Shchyrba, A.; Siewert, D.; Kleibert, A.; Nolting, F.; Oppeneer, P.M.; et al. Ammonia coordination introducing a magnetic moment in an on-surface low-spin porphyrin. Angew. Chem. Int. Ed. 2013, 52, 4568–4571. [Google Scholar] [CrossRef]
- Wäckerlin, C.; Tarafder, K.; Siewert, D.; Girovsky, J.; Hählen, T.; Iacovita, C.; Kleibert, A.; Nolting, F.; Jung, T.A.; Oppeneer, P.M.; et al. On-surface coordination chemistry of planar molecular spin systems: Novel magnetochemical effects induced by axial ligands. Chem. Sci. 2012, 3, 3154–3160. [Google Scholar] [CrossRef]
- Sahoo, D.; Roy, S.; Khan, F.S.T.; Singh, A.K.; Rath, S.P. Stabilizing intermediate-spin state in iron(III) porphyrins. Polyhedron 2019, 172, 8–14. [Google Scholar] [CrossRef]
- Ide, Y.; Murai, N.; Ishimae, H.; Suzuki, M.; Mori, S.; Takahashi, M.; Nakamura, M.; Yoshinod, K.; Ikeue, T. Spin-crossover between high-spin (S = 5/2) and low-spin (S = 1/2) states in six-coordinate iron(III) porphyrin complexes having two pyridine-N oxide derivatives. Dalton Trans. 2017, 46, 242–249. [Google Scholar] [CrossRef]
- Algethami, N.; Sadeghi, H.; Sangtarash, S.; Lambert, C.J. The conductance of porphyrin-based molecular nanowires increases with length. Nano Lett. 2018, 18, 4482–4486. [Google Scholar] [CrossRef] [PubMed]
- Long, M.-Q.; Chen, K.-Q.; Wang, L.; Qing, W.; Zou, B.S.; Shuai, Z. Negative differential resistance behaviors in porphyrin molecular junctions modulated with side groups. Appl. Phys. Lett. 2008, 92, 243303. [Google Scholar] [CrossRef]
- Cheng, J.-F.; Zhou, L.; Wen, Z.; Yan, Q.; Han, Q.; Gao, L. The enhanced spin-polarized transport behaviors through cobalt benzene-porphyrin-benzene molecular junctions: The effect of functional groups. J. Phys. Condens. Matter 2017, 29, 175201. [Google Scholar] [CrossRef] [PubMed]
- Huang, L.; Chen, S.-Z.; Zeng, Y.-J.; Wu, D.; Li, B.-L.; Feng, Y.-X.; Fan, Z.-Q.; Tang, L.-M.; Chen, K.-Q. Switchable spin filters in magnetic molecular junctions based on quantum interference. Adv. Electron. Mater. 2020, 6, 2000689. [Google Scholar] [CrossRef]
- Liu, Z.; Zhang, G.; Zhang, D. Modification of side chains of conjugated molecules and polymers for charge mobility enhancement and sensing functionality. Acc. Chem. Res. 2018, 51, 1422–1432. [Google Scholar] [CrossRef]
- Kang, Q.; Ye, L.; Xu, B.; An, C.; Stuard, S.J.; Zhang, S.; Yao, H.; Ade, H.; Hou, J. A Printable Organic Cathode Interlayer Enables over 13% Efficiency for 1-cm2 Organic Solar Cells. Joule 2019, 3, 227–239. [Google Scholar] [CrossRef]
- Zhou, Y.; Xing, Y.-F.; Wen, J.; Ma, H.-B.; Wang, F.-B.; Xia, X.-H. Axial ligands tailoring the ORR activity of cobalt porphyrin. Sci. Bull. 2019, 64, 1158–1166. [Google Scholar] [CrossRef] [PubMed]
- Shiragami, T.; Matsumoto, J.; Inoue, H.; Yasuda, M. Antimony porphyrin complexes as visible-light driven photocatalyst. J. Photochem. Photobiol. C 2005, 6, 227–248. [Google Scholar] [CrossRef]
- Arnold, J.; Hoffman, C.G. Novel synthetic route to scandium porphyrin derivatives and the first structurally characterized metalloporphyrin-η5-cyclopentadienyl sandwich compound. J. Am. Chem. Soc. 1990, 112, 8620–8621. [Google Scholar]
- Kim, H.-J.; Jung, S.; Jeon, Y.-M.; Whang, D.; Kim, K. Novel low-valent zirconium porphyrin complexes: Syntheses, characterization and X-ray crystal structures of (η5-cyclopentadienyl) zirconium tetraphenylporphyrin and (η2-diphenylacetylene)zirconium octaethylporphyrin. Chem. Commun. 1997, 22, 2201–2202. [Google Scholar]
- Buckley, H.L.; Chomitz, W.A.; Koszarna, B.; Tasior, M.; Gryko, D.T.; Brothers, P.J.; Arnold, J. Synthesis of lithium corrole and its use as a reagent for the preparation of cyclopentadienyl zirconium and titanium corrole complexes. Chem. Commun. 2012, 48, 10766–10768. [Google Scholar] [CrossRef]
- Platel, R.H.; Tasso, T.T.; Zhou, W.; Furuyama, T.; Kobayashi, N.; Leznof, D.B. Metallophthalocyanin-ocenes: Scandium phthalocyanines with an η5-bound Cp ring. Chem. Commun. 2015, 51, 5986–5989. [Google Scholar]
- Taylor, J.; Guo, H.; Wang, J. Ab initio modeling of quantum transport properties of molecular electronic devices. Phys. Rev. B 2001, 63, 245407. [Google Scholar] [CrossRef]
- Brandbyge, M.; Mozos, J.-L.; Ordejón, P.; Taylor, J.; Stokbro, K. Density-functional method for nonequilibrium electron transport. Phys. Rev. B 2002, 65, 165401. [Google Scholar] [CrossRef]
- Datta, S. Quantum Transport: Atom to Transistor; Cambridge University Press: Cambridge, UK, 2004. [Google Scholar]
- Ventra, M.D. Electrical Transport in Nanoscale Systems; Cambridge University Press: Cambridge, UK, 2008. [Google Scholar]
- Xue, Y.; Datta, S.; Ratner, M.A. First-principles based matrix Green’s function approach to molecular electronic devices: General formalism. Chem. Phys. 2002, 281, 151–170. [Google Scholar] [CrossRef]
- Büttiker, M.; Imry, Y.; Landauer, R.; Pinhas, S. Generalized many-channel conductance formula with application to small rings. Phys. Rev. B 1985, 31, 6207–6215. [Google Scholar] [CrossRef]
- Büttiker, M. Four-terminal phase-coherent conductance. Phys. Rev. Lett. 1986, 57, 1761–1764. [Google Scholar] [CrossRef]
- Shen, L.; Yang, S.-W.; Ng, M.-F.; Ligatchev, V.; Zhou, L.; Feng, Y. Charge-transfer-based mechanism for half-metallicity and ferromagnetism in one-dimensional organometallic sandwich molecular wires. J. Am. Chem. Soc. 2008, 130, 13956–13960. [Google Scholar] [CrossRef]
- Sarmah, A.; Hobza, P. Mechanical force-induced manipulation of electronic conductance in a spin-crossover complex: A simple approach to molecular electronics. Nanoscale Adv. 2020, 2, 2907–2913. [Google Scholar] [CrossRef] [PubMed]
- Wen, Z.; Zhou, L.; Cheng, J.-F.; Li, S.-J.; You, W.-L.; Wang, X. Spin crossover and high spin filtering behavior in Co-Pyridine and Co-Pyrimidine molecules. J. Phys. Condens. Matter 2018, 30, 105301. [Google Scholar] [CrossRef] [PubMed]
- Zhou, L.; Yang, S.-W.; Ng, M.-F.; Sullivan, M.B.; Tan, V.B.C.; Shen, L. One-dimensional iron-cyclopentadienyl sandwich molecular wire with half metallic, negative differential resistance and high-spin filter efficiency properties. J. Am. Chem. Soc. 2008, 130, 4023–4027. [Google Scholar] [CrossRef] [PubMed]
- Li, Y.; Zhou, G.; Li, J.; Wu, J.; Gu, B.-L.; Duan, W. Ab initio study of half-metallicity and magnetism of complex organometallic molecular wires. J. Phys. Chem. C 2011, 115, 7292–7297. [Google Scholar] [CrossRef]
- Yang, J.-F.; Zhou, L.; Han, Q.; Wang, X.-F. Bias-controlled giant magnetoresistance through cyclopentadienyl−iron multidecker molecules. J. Phys. Chem. C 2012, 116, 19996–20001. [Google Scholar] [CrossRef]
- Aragonès, A.C.; Martín-Rodríguez, A.; Aravena, D.; di Palma, G.; Qian, W.; Puigmartí-Luis, J.; Aliaga-Alcalde, N.; González-Campo, A.; Díez-Pérez, I.; Ruiz, E. Room-Temperature spin-dependent transport in metalloporphyrin-based supramolecular wires. Angew. Chem. Int. Ed. 2021, 60, 25958–25965. [Google Scholar] [CrossRef]
Disclaimer/Publisher’s Note: The statements, opinions and data contained in all publications are solely those of the individual author(s) and contributor(s) and not of MDPI and/or the editor(s). MDPI and/or the editor(s) disclaim responsibility for any injury to people or property resulting from any ideas, methods, instructions or products referred to in the content. |
© 2024 by the authors. Licensee MDPI, Basel, Switzerland. This article is an open access article distributed under the terms and conditions of the Creative Commons Attribution (CC BY) license (https://creativecommons.org/licenses/by/4.0/).







