Research on Laser Dual-Mode Fusion Detection Method of Ship Wake Bubbles
Abstract
1. Introduction
2. Ship Wake Bubbles Laser Detection Characteristics and Analysis
2.1. Bubble Distribution Characteristics and Analysis of Ship Wake
- the wake width decreases gradually;
- the concentration scale of the bubble group gradually increases;
- the bubble number density gradually increases;
- the thickness of the bubble layer gradually increases and begins to decrease after reaching the maximum thickness.
2.2. Laser Detection Characteristics and Analysis of Ship Wake
- weak echo signal (target feature);
- random discrete distribution of echo signals (targets);
- large environmental interference;
- large amount of target echo signal data.
2.3. Technology and Characteristics of Ship against Wake-Guided Weapons
- (1)
- Creating false wake deception jamming
- (2)
- Annular wake interference
3. Simulation of Ship’s Wake Bubble Laser Dual-Mode Detection Based on Monte Carlo
3.1. Monte Carlo Simulation Model
- the emission wavelength and energy determination;
- determination of free path;
- scattering angle calculation;
- new direction of motion after collision;
- new free path;
- receive or die.
3.2. Simulation of Laser Backscattering Detection of Ship’s Wake
- (1)
- Laser backscattering characteristics of bubbles with different number densities
- (2)
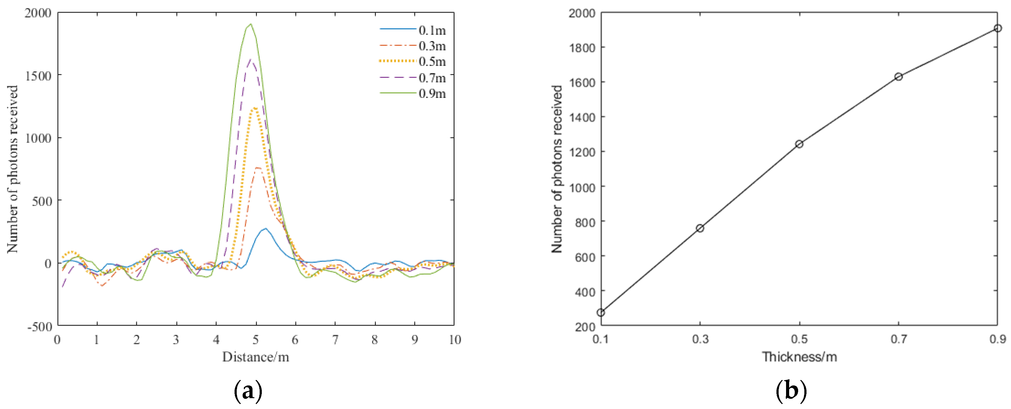
- The change in laser backscattering of bubbles with different thickness
- (3)
- The variation in laser backscattering of bubbles with different scales
3.3. Simulation of Laser Illumination Imaging Characteristics of Ship Wake Bubbles
- (1)
- Laser backscattering characteristics of bubbles with different number densities
- (2)
- The change in laser backscattering of bubbles with different thickness
- (3)
- The change in laser backscattering of bubbles with different sizes
4. The Design and Signal Processing Method of Laser Dual-Mode Fusion Detection System for Ships’ Wakes
4.1. Design of Ship’s Wake Laser Dual-Mode Fusion Detection System
4.2. Ship’s Wake Laser Dual-Mode Fusion Detection Signal Processing Method
4.2.1. Multi-Timescale Fusion Hierarchical Signal Processing Method
- (1)
- Single-cycle millisecond-scale microscopic timescale
- (2)
- Continuous multi-period cumulative second-order macroscopic timescale
- (1)
- Interpolation condition, i.e., ;
- (2)
- Equal values of the spline function at the common endpoints of adjacent intervals, i.e., ;
- (3)
- The curve is smooth, i.e., is continuous.
4.2.2. Image Processing Algorithm Based on Time Difference Accumulation
5. Experiment and Analysis of Ship’s Wake Dual-Mode Fusion Detection
5.1. Laser APD Detection Experiment
5.2. Image Detection Module Results
- the multi-timescale hierarchical signal processing method can simultaneously detect and identify remote sparse, discrete microbubbles and short-range dense, continuous large bubbles at the millisecond timescale;
- through multi-period cumulative processing analysis at the second timescale, the detection SBR is further improved, and it has strong environmental adaptability and real-time processing capability;
- the results obtained by the image processing algorithm based on time difference accumulation can also identify the existence of false wakes and improve the detection SBR.
6. Conclusions
Author Contributions
Funding
Institutional Review Board Statement
Informed Consent Statement
Data Availability Statement
Conflicts of Interest
References
- Zong, S.G.; Zhang, X.; Cao, J. Method and experiment of laser detection and tracking of ship wake. Infrared Laser Eng. 2023, 52, 205–216. [Google Scholar]
- Wang, Y.Q.; Zhang, J.H.; Zheng, Y.C. Brillouin scattering spectrum for liquid detection and applications in oceanography. Opto-Electron. Adv. 2023, 6, 220016. [Google Scholar] [CrossRef]
- Wang, Y.Q.; Xu, Y.R.; Chen, P. Remote Sensing of Seawater Temperature and Salinity Profiles by the Brillouin Lidar Based on a Fizeau Interferometer and Multichannel Photomultiplier Tube. Sensors 2023, 23, 446. [Google Scholar] [CrossRef] [PubMed]
- Guo, R. Study on Wake Characteristics and Optical Properties of Underwater Vehicle. Master’s Thesis, Xidian University, Xi’an, China, 2022. [Google Scholar]
- Zhang, J.S.; Sun, J.P.; Chen, Y. The dynamic characteristics of forward light scattering of bubble screen are simulated based on CMOS detection. Acta Phot. Sin 2014, 43, 26. [Google Scholar]
- Abbaszadeh, M.; Alishahi, M.M.; Emdad, H. Experimental investigations on the bubbly wake of a transom stern model using optical laser beam scattering characteristics. Appl. Ocean Res. 2020, 104, 102380. [Google Scholar] [CrossRef]
- Chaussonnet, G.; Mees, L.; Šormaz, M. Modeling multiple scattering transient of an ultrashort laser pulse by spherical particles. J. Comput. Phys. 2022, 457, 110696. [Google Scholar] [CrossRef]
- Zhang, Y.B.; Li, S.N.; Jiang, P. Underwater bubbles recognition based on PCA feature extraction and elastic BP neural network. Infrared Laser Eng. 2020, 49, 187–192. [Google Scholar]
- Rao, J.H.; Yang, K.C.; Zhang, X.H.; Xu, D.S.; Xia, M.; Zheng, Y. Simulation of ship bubble wake using pulse laser detection. Opt. Optoelectron. Technol. 2007, 5, 40–42. [Google Scholar]
- Zong, S.G.; Zhang, X.; Liang, S.Y. Laser Detection Simulation and Experiment of Multiscale Complex Water Wake Bubble. Chin. J. Lasers 2023, 50, 71–81. [Google Scholar]
- Zong, S.G.; Zhang, X.; Yang, S.P. Laser backscattering characteristics of ship wake bubble target. Chin. Opt. 2023, 16, 1333–1342. [Google Scholar]
- Xu, J.Q.; Witschas, B.; Kabelka, P.G. High-spectral-resolution lidar for measuring tropospheric temperature profiles by means of Rayleigh–Brillouin scattering. Opt. Lett. 2021, 46, 3320–3323. [Google Scholar] [CrossRef] [PubMed]
- Liang, K.; Zhang, R.; Sun, Q. Brillouin shift and linewidth measurement based on double-edge detection technology in seawater. Appl. Phys. B 2020, 126, 160. [Google Scholar] [CrossRef]
- Yi, X.; Li, Z.; Liu, Z. Underwater optical communication performance for laser beam propagation through weak oceanic turbulence. Appl. Opt. 2015, 54, 1273–1278. [Google Scholar] [CrossRef] [PubMed]
- Ma, W.X.; Chang, X.; Wang, W.Q. Study on the influence of shaft brackets on the scale effect of the four-screw ship wake field. Ocean Eng. 2023, 287, 115881. [Google Scholar] [CrossRef]
- Chen, P.; Li, X.; Zhang, G. Rapid detection to long ship wake in synthetic aperture radar satellite imagery. J. Oceanol. Limnol. 2019, 37, 1523–1532. [Google Scholar] [CrossRef]
- Zhang, Q.; Wang, Y.M. Multi bubble model and finite element analysis in wake. Torpedo Technol. 2014, 22, 316–320. [Google Scholar]
- Gumulya, M.; Joshi, J.B.; Utikar, R.P. Bubbles in viscous liquids: Time dependent behaviour and wake characteristics. Chem. Eng. Sci. 2016, 144, 298–309. [Google Scholar] [CrossRef]
- Issa, V.; Daya, Z.A. Modeling the ship white water wake in the midwave infrar. Appl. Opt. 2018, 57, 10125–10134. [Google Scholar] [CrossRef] [PubMed]
- Song, M.Z.; Guo, R.; Ma, X.R. Polarization reflection distribution characteristics of wakes on the sea surface. Appl. Opt. 2022, 61, 7748–7756. [Google Scholar] [CrossRef]
- Zhang, X.X.; Wu, Z.S.; Su, X. Influence of Breaking Waves and Wake Bubbles on Surface-Ship Wake Scattering at Low Grazing Angles. Chin. Phys. Lett. 2018, 35, 32–35. [Google Scholar] [CrossRef]
- Pena, B.; Muk-Pavic, E.; Thomas, G. An approach for the accurate investigation of full-scale ship boundary layers and wakes. Ocean Eng. 2020, 214, 107854. [Google Scholar] [CrossRef]
- Zong, S.G.; Chen, B.; Zhang, X.; Duan, Z.; Yang, S.; Li, X. Laser forward and backward scattering characteristics and experimental study of bubbles in ship wake. Ocean Eng. 2024, 63, 1795. [Google Scholar] [CrossRef] [PubMed]
- Liu, H.; Zhang, Y.; Wei, Y.; Mu, Z.; Yang, Y.; Farooq, M.S. Characteristics and mechanisms of the zigzag and spiral movement of rising bubbles in still water. Appl. Opt. 2023, 13, 6500. [Google Scholar] [CrossRef]
- Sun, X.; Cai, M.; Wang, J.; Liu, C. Numerical simulation of the kelvin wake patterns. Appl. Sci. 2022, 12, 6265. [Google Scholar] [CrossRef]
- Sun, X.; Cai, M.; Ding, J. A GPU-Accelerated method for 3D nonlinear kelvin ship wake patterns simulation. Appl. Sci. 2023, 13, 12148. [Google Scholar] [CrossRef]




















Disclaimer/Publisher’s Note: The statements, opinions and data contained in all publications are solely those of the individual author(s) and contributor(s) and not of MDPI and/or the editor(s). MDPI and/or the editor(s) disclaim responsibility for any injury to people or property resulting from any ideas, methods, instructions or products referred to in the content. |
© 2024 by the authors. Licensee MDPI, Basel, Switzerland. This article is an open access article distributed under the terms and conditions of the Creative Commons Attribution (CC BY) license (https://creativecommons.org/licenses/by/4.0/).
Share and Cite
Zong, S.; Zhang, X.; Duan, Z.; Yang, S.; Chen, B. Research on Laser Dual-Mode Fusion Detection Method of Ship Wake Bubbles. Appl. Sci. 2024, 14, 3695. https://doi.org/10.3390/app14093695
Zong S, Zhang X, Duan Z, Yang S, Chen B. Research on Laser Dual-Mode Fusion Detection Method of Ship Wake Bubbles. Applied Sciences. 2024; 14(9):3695. https://doi.org/10.3390/app14093695
Chicago/Turabian StyleZong, Siguang, Xin Zhang, Zike Duan, Shaopeng Yang, and Bao Chen. 2024. "Research on Laser Dual-Mode Fusion Detection Method of Ship Wake Bubbles" Applied Sciences 14, no. 9: 3695. https://doi.org/10.3390/app14093695
APA StyleZong, S., Zhang, X., Duan, Z., Yang, S., & Chen, B. (2024). Research on Laser Dual-Mode Fusion Detection Method of Ship Wake Bubbles. Applied Sciences, 14(9), 3695. https://doi.org/10.3390/app14093695

