Analyzing Delay and CO Emissions: A Simulation Study of the Median U-Turn Method at Intersections
Abstract
1. Introduction
2. Materials and Methods
2.1. Setting of Simulation Model and Parameters
2.2. Approach for Deriving Evaluation Indices
2.3. Simulation Schemes
3. Results
3.1. Unobstructed Intersection
3.2. Congested Intersection
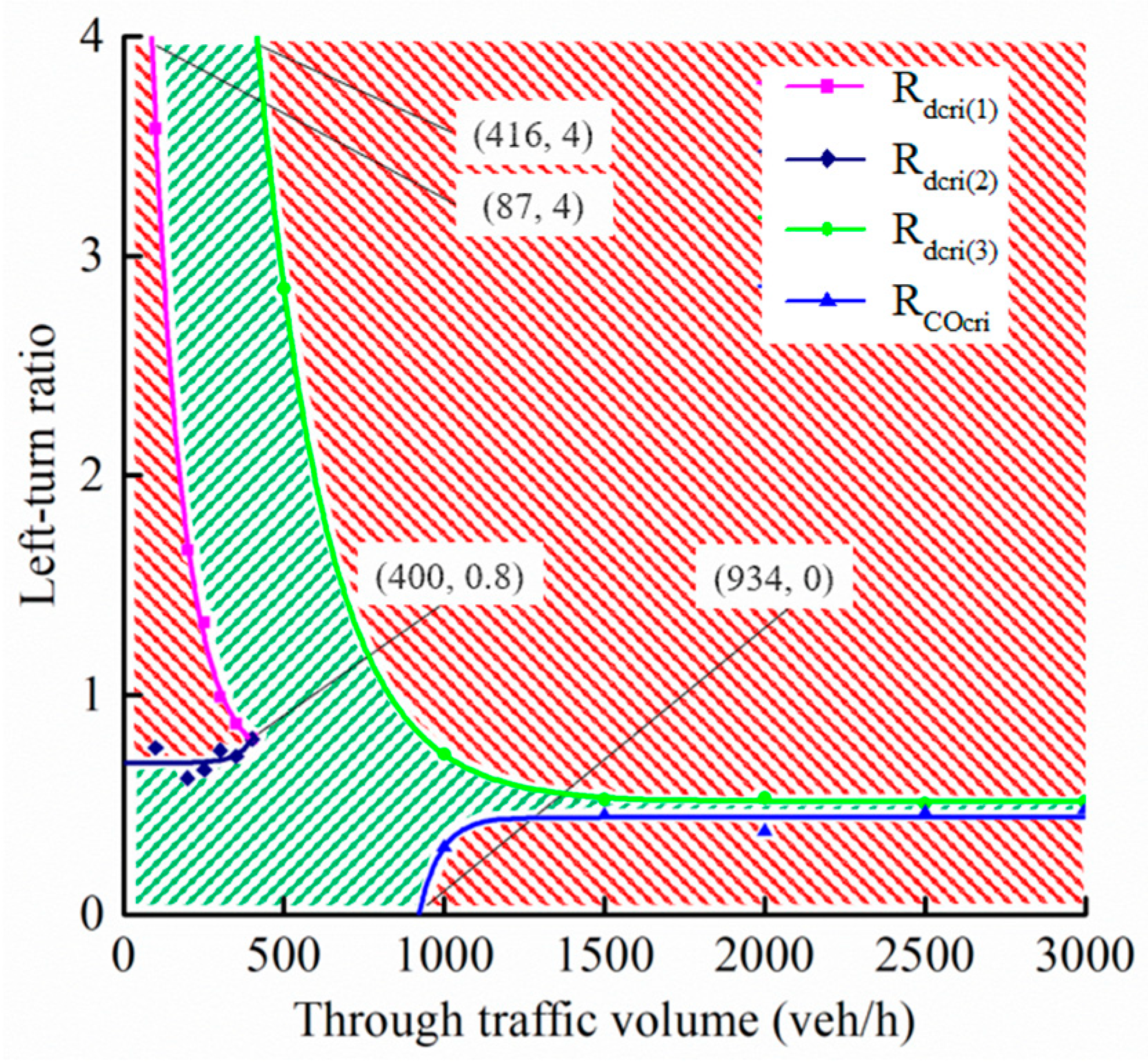
3.3. Optimal Conditions for Implementing the Median U-Turn Method at Intersections
- When the through traffic volume Qs ≤ 87 veh/h, the left-turn ratio Rls suitable for using the median U-turn method is in the range of 0–.
- When the through traffic volume is in the range of 87–400 veh/h, the left-turn ratio Rls suitable for using the median U-turn method is in the range of –4 or 0–.
- When the through traffic volume is in the range of 400–416 veh/h, the left-turn ratio Rls suitable for using the median U-turn method is in the range of 0–4.
- When the through traffic volume is in the range of 416–934 veh/h, the left-turn ratio Rls suitable for using the median U-turn method is in the range of 0–.
- When the through traffic volume Qs ≥ 934 veh/h, and the left-turn ratio Rls suitable for using the median U-turn method is in the range of .
4. Discussion
5. Conclusions
- Through VISSIM software simulation, it can be seen that when the through traffic volume Qs ≤ 400 veh/h, the average delay curve of the intersection using a direct left-turn method and that of the intersection using a median U-turn method have one or two intersection points. The left-turn ratio corresponding to the smaller intersection point is relatively concentrated, while the left-turn ratio corresponding to the larger intersection point decreases rapidly as through traffic volume increases. When the through traffic volume Qs > 400 veh/h, the average delay curve of the intersection using a direct left-turn method and that of the intersection using a median U-turn method have one intersection point, and the left-turn ratio corresponding to the intersection point shows a trend of rapid decrease followed by stabilization with the increase in through traffic volume.
- Through VISSIM software simulation, it can be seen that when the through traffic volume Qs < 934 veh/h, the CO emission curve of the intersection using a median U-turn method is lower than that of the intersection using a direct left-turn method under each through traffic volume. When the through traffic volume Qs ≥ 934 veh/h, the CO emission curve of the intersection using a direct left-turn method has a single intersection point with that of the intersection using a median U-turn method, and the left-turn ratio corresponding to the intersection point shows a trend of increase followed by stabilization with the increasing through traffic volume.
- When the through traffic volume is between 0 and 3000 veh/h and the left-turn ratio is between 0 and 4, three critical left-turn ratio boundary curves named , , and can be obtained by fitting the left-turn ratios corresponding to the intersection points of the average delay curve of the intersection using a median U-turn method and that of the intersection using a direct left-turn method under different through traffic volumes, and a critical left-turn ratio boundary curve named can be obtained by fitting the left-turn ratios corresponding to the intersection points of the CO emission curves of the intersection using a median U-turn method and that of the intersection using a direct left-turn method under different through traffic volumes. The median U-turn method is considered applicable at the intersection when the through traffic volumes are in the range of 0–87 veh/h, 87–400 veh/h, 400–416 veh/h, 416–934 veh/h, and 934–3000 veh/h, respectively, and, accordingly, the left-turn ratios are in the range of 0–, 0– or, 0–4, 0–, and .
Author Contributions
Funding
Institutional Review Board Statement
Informed Consent Statement
Data Availability Statement
Acknowledgments
Conflicts of Interest
References
- Wang, W. Delay Analysis Method for Capacity of Road Intersections. Chin. J. Highw. 1998, 8, 62–67. [Google Scholar]
- Zhao, J.Y.; Yang, X.F. Study on safety evaluation index of urban road intersection. J. Chang. Univ. (Archit. Environ. Sci. Ed.) 2003, 3, 59–62. [Google Scholar]
- Naghawi, H.H. Analysing delay and queue length using microscopic simulation for the unconventional intersection design Superstreet. J. S. Afr. Inst. Civ. Eng. 2014, 56, 100–107. [Google Scholar]
- Zhou, H.S.; Hou, X.D.; Li, Y.F. Improvement design of intersection based on far-side U-turn—Taking Lanzhou intersection as an example. Gansu Sci. Technol. 2018, 34, 88–90. [Google Scholar]
- Wang, Z.B. Analysis of the application of far-side U-turn at the Minzu Jinzhou intersection in Nanning. West. Transp. Sci. Technol. 2016, 5, 89–93. [Google Scholar]
- Zhang, W.H.; Chen, J.S.; Dong, R.J. Study on the geometric parameter setting and traffic efficiency of the secondary road at the intersection. China Civ. Eng. J. 2017, 50, 121–128. [Google Scholar]
- Wang, Y.X. Delay analysis of two organization modes of left-turn traffic flow at intersections. Qinghai Transp. Technol. 2017, 6, 10–13. [Google Scholar]
- Chen, J.S. Planning Method of U-Turn Traffic of Secondary Traffic Flow at Road Intersection; Hefei University of Technology: Hefei, China, 2018. [Google Scholar]
- Wang, L.; Zhang, N.; Liu, J.G. Study on Organization of Far-Side U-Turn for Left-Turning Vehicles at T-Intersection Side Roads. Compr. Transp. 2021, 43, 91–97. [Google Scholar]
- Yang, X.K.; Zhou, H.G. CORSIM-based simulation approach to evaluation of direct left turn versus right turn plus U-turn from driveways. J. Transp. Eng. 2004, 130, 68–75. [Google Scholar] [CrossRef]
- Leng, J.; Zhang, Y.; Sun, M. VISSIM-based simulation approach to evaluation of design and operational performance of U-turn at intersection in China. In Proceedings of the 2008 International Workshop on Modelling, Simulation and Optimization, Hong Kong, China, 27–28 December 2008; pp. 309–312. [Google Scholar]
- Zhang, N.; Chen, K.; Gao, C.H.; Huang, W. Micro-simulation-based Location Planning Method for Far-Side U-Turns. J. Traffic Transp. Eng. 2008, 1, 78–82. [Google Scholar]
- Hou, J.; Zhou, G.; Du, X.C.; Guo, X.C. Simulation study on left-turn traffic organization at the entrance of urban main road. In Proceedings of the Fourth Annual Conference of China’s Intelligent Transportation, Beijing, China, 12–15 October 2008; pp. 603–607. [Google Scholar]
- Yang, Z.D.; Yang, Y.J.; Bai, S.K. Simulation analysis and application research on U-turning at intersections. Traffic Transp. Acad. Ed. 2012, 2, 128–131. [Google Scholar]
- Shen, C.Q.; Lu, J.; Zhu, S.X.; Wei, D.M. Non-signalized intersection remote U-turn selection of Primary Highway. J. Highw. Transp. Res. Dev. 2013, 30, 122–127. [Google Scholar]
- Lin, P.Q.; Gu, Y.M.; Zhuo, F.Q.; Ran, B.; Xu, J.M. Delay calculation model of two organization modes of left-turn traffic flow at intersection. J. South China Univ. Technol. (Nat. Sci. Ed.) 2015, 43, 119–126. [Google Scholar]
- Gong, S.M.; Feng, S.B.; Duan, L.M.; Chen, Y.Y.; Zhang, Q.G. Research on the U-turn location of vehicles at signalized intersections of urban Main roads. J. Xinxiang Univ. 2022, 39, 55–59. [Google Scholar]
- Guin, A.; Robinson, K.; Unthank, H.; Roy, S.; Hunter, M. Impact of Restricted Crossing U-Turns on Vehicular Emission. Transp. Res. Rec. 2023, 2677, 386–397. [Google Scholar] [CrossRef]
- Omarov, M.; Ismail, S.; Rani, W.N.M.W.M.; Durdyev, S. Estimation of traffic delay due to U-turns at uncontrolled medians: Case study in Phnom Penh, Cambodia. Sustainability 2021, 14, 118. [Google Scholar] [CrossRef]
- Kay, J.; Gates, T.J.; Savolainen, P.T.; Shakir Mahmud, M. Safety performance of unsignalized median U-turn intersections. Transp. Res. Rec. 2022, 2676, 451–466. [Google Scholar] [CrossRef]
- Gao, Y.F.; Hu, H. Estimation of exhaust emissions from queuing vehicles at signalized intersections based on the specific power method. China J. Highw. Transp. 2015, 28, 101–108. [Google Scholar]
- Yang, Z.S.; Qu, X.; Lin, C.Y.; Bing, Q.C.; Gong, B.W. Traffic signal optimization method considering low emission and low delay. J. South China Univ. Technol. (Nat. Sci. Ed.) 2015, 43, 29–34+41. [Google Scholar]
- Xu, Y.F.; Yu, L.; Song, G.H. Intersection operation mode distribution model and emission measurement. J. Transp. Syst. Eng. Inf. Technol. 2018, 18, 158–165+185. [Google Scholar]
- Yao, R.H.; Long, M.; Zhang, W.S.; Sun, L. Analysis of influencing factors of vehicle emission factors at signalized intersections. J. Beijing Jiaotong Univ. 2019, 43, 122–131. [Google Scholar]
- Yao, R.H.; Long, M.; Zhao, S.C. Analysis of influencing factors of motor vehicle emissions at signalized intersections based on orthogonal test. J. Beijing Univ. Technol. 2022, 46, 300–310. [Google Scholar]
- Zhao, Y. Research on Intersection Signal Optimization Method Considering Low Emission; Jilin University: Changchun, China, 2022. [Google Scholar]
- Sun, X.F. Research on Emission Estimation Method of Signalized Intersection under Vehicle-Infrastructure Cooperation; Beijing Jiaotong University: Beijing, China, 2016. [Google Scholar]
- Haydari, A.; Zhang, M.; Chuah, C.N.; Ghosal, D. Impact of deep RL-based traffic signal control on air quality. In Proceedings of the 2021 IEEE 93rd Vehicular Technology Conference (VTC2021-Spring), Helsinki, Finland, 25–28 April 2021; pp. 1–6. [Google Scholar]
- Gastaldi, M.; Meneguzzer, C.; Giancristofaro, R.A.; Gecchele, G.; Della Lucia, L.; Prati, M.V. On-road measurement of CO2 vehicle emissions under alternative forms of intersection control. Transp. Res. Procedia 2017, 27, 476–483. [Google Scholar] [CrossRef]
- Ba, X.Q.; Xu, M.F.; Li, H.T. MOVES-based emission analysis of urban road intersection organization optimization. J. Chongqing Inst. Technol. (Nat. Sci.) 2018, 32, 115–121. [Google Scholar]
- Li, J.Z. Research on Traffic Signal Control Model and Optimization Method for Low Pollution Emission; South China University of Technology: Guangzhou, China, 2018. [Google Scholar]
- Wu, M.Z. Research on Vehicle Exhausts Emissions at Left-Turn Intersections; Southwest Jiaotong University: Chengdu, China, 2020. [Google Scholar]
- Lu, Y.H. Research on lane change in ten-lane interchange diversion area based on VISSIM simulation. Smart City 2020, 6, 153–154. [Google Scholar]
- Xing, X.G. Optimization design of intersection signal control scheme based on VISSIM. Transp. World 2021, 31, 29–30. [Google Scholar]
- Wang, H.W. Research on Traffic Control Optimization Method of Low-Carbon Ring Island; Jilin University: Changchun, China, 2011. [Google Scholar]
- Zhang, L.H. Application research of U-turn far lead in main line inductive coordinated control. J. Wuhan Univ. Technol. 2015, 39, 60–64. [Google Scholar]
- GA/T 115-2020; Evaluation method of road traffic congestion degree. Ministry of Public Security of China: Beijing, China, 2020.












| Number | VSP Interval | CO Emission Rate | 
|---|---|---|
| 1 | (−∞,−2) | 0.0110 | 
| 2 | [−2,0) | 0.0087 | 
| 3 | [0,1) | 0.0047 | 
| 4 | [1,4) | 0.0122 | 
| 5 | [4,7) | 0.0167 | 
| 6 | [7,10) | 0.0233 | 
| 7 | [10,13) | 0.0293 | 
| 8 | [13,16) | 0.0369 | 
| 9 | [16,19) | 0.0495 | 
| 10 | [19,23) | 0.0638 | 
| 11 | [23,28) | 0.1054 | 
| 12 | [28,33) | 0.2478 | 
| 13 | [33,39) | 0.4131 | 
| 14 | [39,+∞) | 0.6247 | 
| Conditions | 1 | 2 | 3 | 4 | 5 | 
|---|---|---|---|---|---|
| Qs (veh/h) | 0– | 416– | 934–3000 | ||
| Rls | 0– | 0– or | 0–4 | 0– | 
| Disclaimer/Publisher’s Note: The statements, opinions and data contained in all publications are solely those of the individual author(s) and contributor(s) and not of MDPI and/or the editor(s). MDPI and/or the editor(s) disclaim responsibility for any injury to people or property resulting from any ideas, methods, instructions or products referred to in the content. | 
© 2024 by the authors. Licensee MDPI, Basel, Switzerland. This article is an open access article distributed under the terms and conditions of the Creative Commons Attribution (CC BY) license (https://creativecommons.org/licenses/by/4.0/).
Share and Cite
Zhao, Z.; Tian, C.; Guo, B.; Zhu, C.; Guo, Q. Analyzing Delay and CO Emissions: A Simulation Study of the Median U-Turn Method at Intersections. Appl. Sci. 2024, 14, 3737. https://doi.org/10.3390/app14093737
Zhao Z, Tian C, Guo B, Zhu C, Guo Q. Analyzing Delay and CO Emissions: A Simulation Study of the Median U-Turn Method at Intersections. Applied Sciences. 2024; 14(9):3737. https://doi.org/10.3390/app14093737
Chicago/Turabian StyleZhao, Ziyan, Caixia Tian, Baohua Guo, Chengming Zhu, and Qingwen Guo. 2024. "Analyzing Delay and CO Emissions: A Simulation Study of the Median U-Turn Method at Intersections" Applied Sciences 14, no. 9: 3737. https://doi.org/10.3390/app14093737
APA StyleZhao, Z., Tian, C., Guo, B., Zhu, C., & Guo, Q. (2024). Analyzing Delay and CO Emissions: A Simulation Study of the Median U-Turn Method at Intersections. Applied Sciences, 14(9), 3737. https://doi.org/10.3390/app14093737
 
         
                                                

 
       