Chaos Game Optimization-Hybridized Artificial Neural Network for Predicting Blast-Induced Ground Vibration
Abstract
1. Introduction
2. Methodology
2.1. Artificial Neural Network
2.2. Chaos Game Optimization
2.3. Optimization of ANN by Chaos Game Optimization
- -
- Step 1. Initialization: The optimization process begins by initializing the weights and biases of the ANN model. This involves setting up the initial positions of the solution candidates within the predefined search space, which is often represented as a Sierpiński triangle.
- -
- Step 2. Search loop: The main search loop of the CGO algorithm is executed to adjust the positions of the solution candidates iteratively. Each candidate solution corresponds to a specific set of weights and biases of the ANN model.
- -
- Step 3. Objective function: The performance of each candidate solution (weights and biases) is evaluated using an objective function, which measures how well the ANN model performs in regards to the given task or problem. In this study, RMSE was used as the objective function for the optimization process.
- -
- Step 4. Position updating: During each iteration of the search loop, the positions of the weights and biases are updated based on the CGO algorithm. This involves moving the candidates towards better regions of the search space to improve the performance of the ANN model.
- -
- Step 5. Exploration and exploitation: The movement limitation factor, , is used to balance between exploration (searching for new regions of the search space) and exploitation (exploiting known promising regions). This factor helps control the exploration–exploitation trade-off during the optimization process.
- -
- Step 6. Convergence: The optimization process continues until a stopping criterion is met, such as a maximum number of iterations or achieving a satisfactory level of performance. At this point, the best weights and biases found during the optimization process are selected as the final solution.
- -
- Step 7. Performance evaluation: Finally, the performance of the optimized ANN is evaluated on a separate validation dataset to ensure that it generalizes well to unseen data and performs effectively in real-world scenarios.
3. Application and Experiment Test
3.1. Dataset
3.2. Model Development
- -
- GA: crossover coefficient = 0.85; mutation coefficient = 0.05.
- -
- PSO: local coefficient = global coefficient = 1.2; weight min coefficient = 0.4; weight max coefficient = 0.9.
- -
- CGO: using the number of populations and iterations.
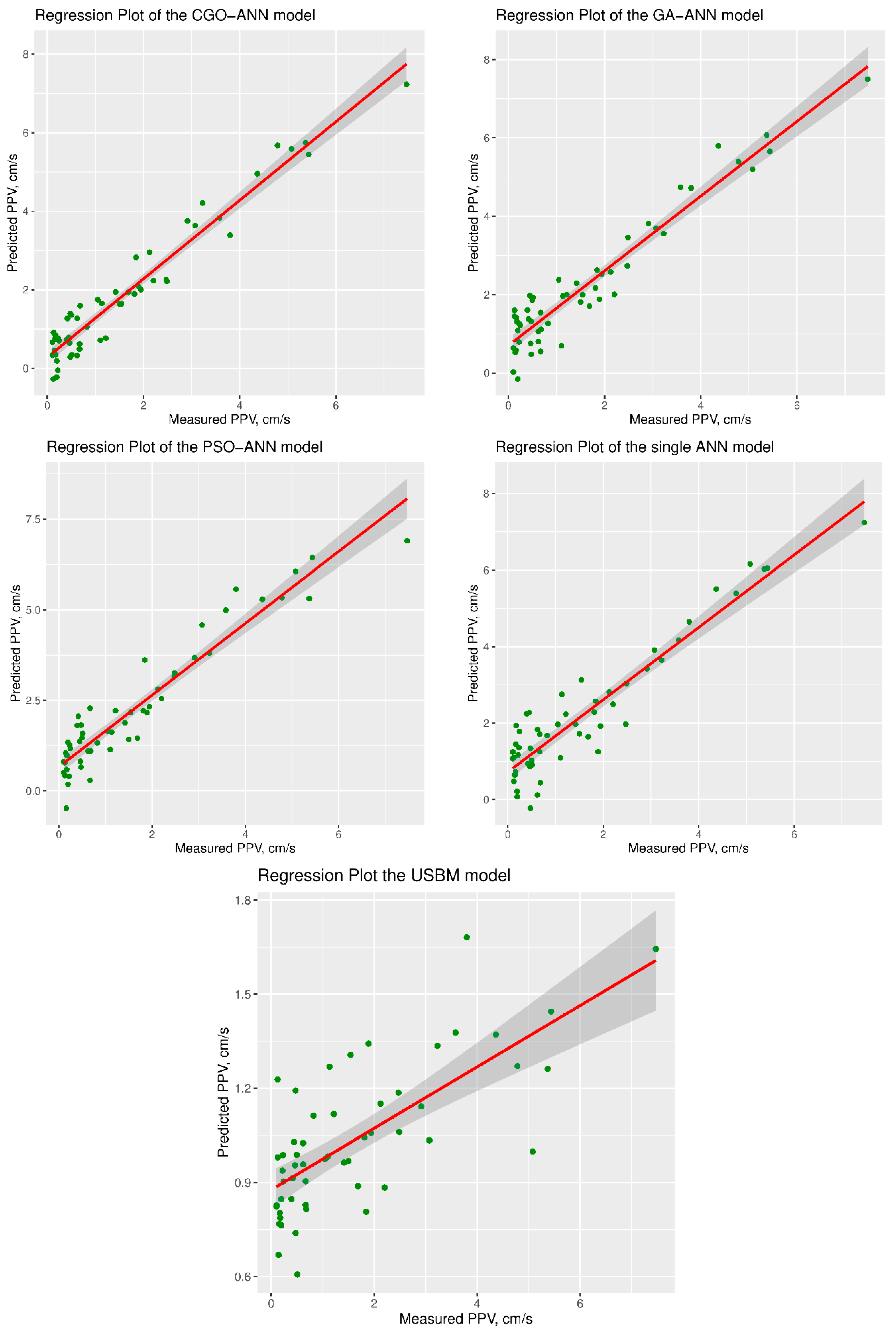
4. Results and Discussion
5. Conclusions
Author Contributions
Funding
Institutional Review Board Statement
Informed Consent Statement
Data Availability Statement
Conflicts of Interest
References
- Elevli, B.; Arpaz, E. Evaluation of parameters affected on the blast induced ground vibration (BIGV) by using relation diagram method (RDM). Acta Montan. Slovaca 2010, 15, 261. [Google Scholar]
- Khandelwal, M. Evaluation and prediction of blast-induced ground vibration using support vector machine. Int. J. Rock Mech. Min. Sci. 2010, 47, 509–516. [Google Scholar] [CrossRef]
- Hagan, T. Rock breakage by explosives. In Gasdynamics of Explosions and Reactive Systems; Elsevier: Amsterdam, The Netherlands, 1980; pp. 329–340. [Google Scholar]
- Xue, X.; Yang, X. Predicting blast-induced ground vibration using general regression neural network. J. Vib. Control 2014, 20, 1512–1519. [Google Scholar] [CrossRef]
- Görgülü, K.; Arpaz, E.; Demirci, A.; Koçaslan, A.; Dilmaç, M.K.; Yüksek, A.G. Investigation of blast-induced ground vibrations in the Tülü boron open pit mine. Bull. Eng. Geol. Environ. 2013, 72, 555–564. [Google Scholar] [CrossRef]
- Qiu, Y.; Zhou, J. Short-term rockburst damage assessment in burst-prone mines: An explainable XGBOOST hybrid model with SCSO algorithm. Rock Mech. Rock Eng. 2023, 56, 8745–8770. [Google Scholar] [CrossRef]
- Zhou, J.; Zhang, Y.; Qiu, Y. State-of-the-art review of machine learning and optimization algorithms applications in environmental effects of blasting. Artif. Intell. Rev. 2024, 57, 5. [Google Scholar] [CrossRef]
- Qiu, Y.; Zhou, J. Short-term rockburst prediction in underground project: Insights from an explainable and interpretable ensemble learning model. Acta Geotech. 2023, 18, 6655–6685. [Google Scholar] [CrossRef]
- Nateghi, R. Evaluation of blast induced ground vibration for minimizing negative effects on surrounding structures. Soil Dyn. Earthq. Eng. 2012, 43, 133–138. [Google Scholar] [CrossRef]
- Yan, Y.; Hou, X.; Fei, H. Review of predicting the blast-induced ground vibrations to reduce impacts on ambient urban communities. J. Clean. Prod. 2020, 260, 121135. [Google Scholar] [CrossRef]
- Shin, J.-H.; Moon, H.-G.; Chae, S.-E. Effect of blast-induced vibration on existing tunnels in soft rocks. Tunn. Undergr. Space Technol. 2011, 26, 51–61. [Google Scholar] [CrossRef]
- Thoenen, J.R.; Thoenen, J.R.; Windes, S. Seismic Effects of Quarry Blasting; United States Department of the Interior, Bureau of Mines: Washington, DC, USA, 1942.
- Langefors, U.; Kihlström, B. The Modern Technique of Rock Blasting; John & Wiley & Sons: Hoboken, NJ, USA, 1963. [Google Scholar]
- Ambraseys, N.N.; Hendron, A. Dynamic Behaviour of Rock Masses; John & Wiley & Sons: Hoboken, NJ, USA, 1968. [Google Scholar]
- Roy, P.P. Putting ground vibration predictions into practice. Colliery Guard. 1993, 241, 63–67, 70. [Google Scholar]
- Rai, R.; Shrivastva, B.; Singh, T. Prediction of maximum safe charge per delay in surface mining. Min. Technol. 2005, 114, 227–231. [Google Scholar] [CrossRef]
- Matidza, M.I.; Jianhua, Z.; Gang, H.; Mwangi, A.D. Assessment of blast-induced ground vibration at Jinduicheng molybdenum open pit mine. Nat. Resour. Res. 2020, 29, 831–841. [Google Scholar] [CrossRef]
- Dumakor-Dupey, N.K.; Arya, S.; Jha, A. Advances in blast-induced impact prediction—A review of machine learning applications. Minerals 2021, 11, 601. [Google Scholar] [CrossRef]
- Zhang, H.; Zhou, J.; Jahed Armaghani, D.; Tahir, M.; Pham, B.T.; Huynh, V.V. A combination of feature selection and random forest techniques to solve a problem related to blast-induced ground vibration. Appl. Sci. 2020, 10, 869. [Google Scholar] [CrossRef]
- Ragam, P.; Nimaje, D.S. Evaluation and prediction of blast-induced peak particle velocity using artificial neural network: A case study. Noise Vib. Worldw. 2018, 49, 111–119. [Google Scholar] [CrossRef]
- Saeidi, O.; Torabi, S.R.; Ataei, M. Prediction of the rock mass diggability index by using fuzzy clustering-based, ANN and multiple regression methods. Rock Mech. Rock Eng. 2014, 47, 717–732. [Google Scholar] [CrossRef]
- Azimi, Y.; Khoshrou, S.H.; Osanloo, M. Prediction of blast induced ground vibration (BIGV) of quarry mining using hybrid genetic algorithm optimized artificial neural network. Measurement 2019, 147, 106874. [Google Scholar] [CrossRef]
- Alipour, A.; Mokhtarian, M.; Abdollahei Sharif, J. Artificial neural network or empirical criteria? A comparative approach in evaluating maximum charge per delay in surface mining—Sungun copper mine. J. Geol. Soc. India 2012, 79, 652–658. [Google Scholar] [CrossRef]
- Mohamed, M.T. Artificial neural network for prediction and control of blasting vibrations in Assiut (Egypt) limestone quarry. Int. J. Rock Mech. Min. Sci. 2009, 46, 426–431. [Google Scholar] [CrossRef]
- Khandelwal, M.; Singh, T. Prediction of blast-induced ground vibration using artificial neural network. Int. J. Rock Mech. Min. Sci. 2009, 46, 1214–1222. [Google Scholar] [CrossRef]
- Zhou, J.; Shen, X.; Qiu, Y.; Shi, X.; Du, K. Microseismic location in hardrock metal mines by machine learning models based on hyperparameter optimization using bayesian optimizer. Rock Mech. Rock Eng. 2023, 56, 8771–8788. [Google Scholar] [CrossRef]
- Shirani Faradonbeh, R.; Jahed Armaghani, D.; Abd Majid, M.; Md Tahir, M.; Ramesh Murlidhar, B.; Monjezi, M.; Wong, H. Prediction of ground vibration due to quarry blasting based on gene expression programming: A new model for peak particle velocity prediction. Int. J. Environ. Sci. Technol. 2016, 13, 1453–1464. [Google Scholar] [CrossRef]
- Zhou, J.; Shi, X.; Li, X. Utilizing gradient boosted machine for the prediction of damage to residential structures owing to blasting vibrations of open pit mining. J. Vib. Control 2016, 22, 3986–3997. [Google Scholar] [CrossRef]
- Armaghani, D.J.; Momeni, E.; Abad, S.V.A.N.K.; Khandelwal, M. Feasibility of ANFIS model for prediction of ground vibrations resulting from quarry blasting. Environ. Earth Sci. 2015, 74, 2845–2860. [Google Scholar] [CrossRef]
- Faradonbeh, R.S.; Monjezi, M. Prediction and minimization of blast-induced ground vibration using two robust meta-heuristic algorithms. Eng. Comput. 2017, 33, 835–851. [Google Scholar] [CrossRef]
- Zhang, X.; Nguyen, H.; Bui, X.-N.; Tran, Q.-H.; Nguyen, D.-A.; Bui, D.T.; Moayedi, H. Novel soft computing model for predicting blast-induced ground vibration in open-pit mines based on particle swarm optimization and XGBoost. Nat. Resour. Res. 2020, 29, 711–721. [Google Scholar] [CrossRef]
- Yang, H.; Hasanipanah, M.; Tahir, M.; Bui, D.T. Intelligent prediction of blasting-induced ground vibration using ANFIS optimized by GA and PSO. Nat. Resour. Res. 2020, 29, 739–750. [Google Scholar] [CrossRef]
- Bui, X.-N.; Choi, Y.; Atrushkevich, V.; Nguyen, H.; Tran, Q.-H.; Long, N.Q.; Hoang, H.-T. Prediction of blast-induced ground vibration intensity in open-pit mines using unmanned aerial vehicle and a novel intelligence system. Nat. Resour. Res. 2020, 29, 771–790. [Google Scholar] [CrossRef]
- Xue, X. Neuro-fuzzy based approach for prediction of blast-induced ground vibration. Appl. Acoust. 2019, 152, 73–78. [Google Scholar] [CrossRef]
- Zhou, J.; Asteris, P.G.; Armaghani, D.J.; Pham, B.T. Prediction of ground vibration induced by blasting operations through the use of the Bayesian Network and random forest models. Soil Dyn. Earthq. Eng. 2020, 139, 106390. [Google Scholar] [CrossRef]
- Nguyen, H.; Bui, X.-N.; Topal, E. Enhancing predictions of blast-induced ground vibration in open-pit mines: Comparing swarm-based optimization algorithms to optimize self-organizing neural networks. Int. J. Coal Geol. 2023, 275, 104294. [Google Scholar] [CrossRef]
- Zhang, Y.; He, H.; Khandelwal, M.; Du, K.; Zhou, J. Knowledge mapping of research progress in blast-induced ground vibration from 1990 to 2022 using CiteSpace-based scientometric analysis. Environ. Sci. Pollut. R. 2023, 30, 103534–103555. [Google Scholar] [CrossRef] [PubMed]
- Nguyen, H.; Bui, X.-N.; Topal, E. Reliability and availability artificial intelligence models for predicting blast-induced ground vibration intensity in open-pit mines to ensure the safety of the surroundings. Reliab. Eng. Syst. Saf. 2023, 231, 109032. [Google Scholar] [CrossRef]
- Fattahi, H.; Hasanipanah, M. Prediction of Blast-Induced Ground Vibration in a Mine Using Relevance Vector Regression Optimized by Metaheuristic Algorithms. Nat. Resour. Res. 2021, 30, 1849–1863. [Google Scholar] [CrossRef]
- Qiu, Y.; Zhou, J.; Khandelwal, M.; Yang, H.; Yang, P.; Li, C. Performance evaluation of hybrid WOA-XGBoost, GWO-XGBoost and BO-XGBoost models to predict blast-induced ground vibration. Eng. Comput. 2022, 38, 4145–4162. [Google Scholar] [CrossRef]
- Chen, W.; Hasanipanah, M.; Nikafshan Rad, H.; Jahed Armaghani, D.; Tahir, M.M. A new design of evolutionary hybrid optimization of SVR model in predicting the blast-induced ground vibration. Eng. Comput. 2021, 37, 1455–1471. [Google Scholar] [CrossRef]
- Talatahari, S.; Azizi, M. Chaos game optimization: A novel metaheuristic algorithm. Artif. Intell. Rev. 2021, 54, 917–1004. [Google Scholar] [CrossRef]
- Cambel, A.B. Applied Chaos Theory: A Paradigm for Complexity; Elsevier: Amsterdam, The Netherlands, 1993. [Google Scholar]
- Fernández-Díaz, A. Overview and Perspectives of Chaos Theory and Its Applications in Economics. Mathematics 2023, 12, 92. [Google Scholar] [CrossRef]
- Ene, I.-E. Chaos theory, a modern approach of nonlinear dynamic systems. Rom. J. Inf. Technol. Autom. Control Rev. Română Informatica Și Autom. 2018, 28, 89–96. [Google Scholar]
- Yu, Z.; Shi, X.; Zhou, J.; Chen, X.; Qiu, X. Effective assessment of blast-induced ground vibration using an optimized random forest model based on a Harris hawks optimization algorithm. Appl. Sci. 2020, 10, 1403. [Google Scholar] [CrossRef]
- Shi, X.; Zhou, J.; Li, X. Utilization of a nonlinear support vector machine to predict blasting vibration characteristic parameters in opencast mine. Prz. Elektrotechniczn 2010, 88, 127–132. [Google Scholar]
- Monjezi, M.; Ahmadi, M.; Sheikhan, M.; Bahrami, A.; Salimi, A. Predicting blast-induced ground vibration using various types of neural networks. Soil Dyn. Earthq. Eng. 2010, 30, 1233–1236. [Google Scholar] [CrossRef]
- Khandelwal, M.; Singh, T. Prediction of blast induced ground vibrations and frequency in opencast mine: A neural network approach. J. Sound Vib. 2006, 289, 711–725. [Google Scholar] [CrossRef]
- Kumar, R.; Choudhury, D.; Bhargava, K. Determination of blast-induced ground vibration equations for rocks using mechanical and geological properties. J. Rock Mech. Geotech. Eng. 2016, 8, 341–349. [Google Scholar] [CrossRef]
- Verma, A.K.; Singh, T.N. Intelligent systems for ground vibration measurement: A comparative study. Eng. Comput. 2011, 27, 225–233. [Google Scholar] [CrossRef]
- Yu, Z.; Shi, X.; Zhou, J.; Gou, Y.; Huo, X.; Zhang, J.; Armaghani, D.J. A new multikernel relevance vector machine based on the HPSOGWO algorithm for predicting and controlling blast-induced ground vibration. Eng. Comput. 2022, 38, 1905–1920. [Google Scholar] [CrossRef]
- Zhu, C.; Xu, Y.; Wu, Y.; He, M.; Zhu, C.; Meng, Q.; Lin, Y. A hybrid artificial bee colony algorithm and support vector machine for predicting blast-induced ground vibration. Earthq. Eng. Eng. Vib. 2022, 21, 861–876. [Google Scholar] [CrossRef]
- Zhang, X.; Nguyen, H.; Choi, Y.; Bui, X.N.; Zhou, J. Novel extreme learning machine-multi-verse optimization model for predicting peak particle velocity induced by mine blasting. Nat. Resour. Res. 2021, 30, 4735–4751. [Google Scholar] [CrossRef]
- Nguyen, H.; Choi, Y.; Monjezi, M.; Van Thieu, N.; Tran, T.-T. Predicting different components of blast-induced ground vibration using earthworm optimisation-based adaptive neuro-fuzzy inference system. Int. J. Min. Reclam. Environ. 2024, 38, 99–126. [Google Scholar] [CrossRef]
- Tran, Q.-H.; Nguyen, H.; Bui, X.-N. Novel Soft Computing Model for Predicting Blast-Induced Ground Vibration in Open-Pit Mines Based on the Bagging and Sibling of Extra Trees Models. Comput. Model. Eng. Sci. 2023, 134, 2227–2246. [Google Scholar] [CrossRef]
- Yardimci, A.G.; Erkayaoglu, M. Simulation of blast-induced ground vibrations using a machine learning-assisted mechanical framework. Environ. Earth Sci. 2023, 82, 508. [Google Scholar] [CrossRef]
- Duvall, W.I.; Fogelson, D.E. Review of Criteria for Estimating Damage to Residences from Blasting Vibrations; US Department of the Interior, Bureau of Mines: Winslow, AZ, USA, 1962; Volume 5968.














| Qmax | Qtotal | D | VD | B | PPR | ||||||
| Min.: | 160 | Min.: | 936 | Min.: | 28.40 | Min.: | 1.1 | Min.: | 4.000 | Min.: | 25.0 |
| 1st Qu.: | 494 | 1st Qu.: | 2552 | 1st Qu.: | 96.03 | 1st Qu.: | 32.1 | 1st Qu.: | 5.000 | 1st Qu.: | 41.0 |
| Median: | 1076 | Median: | 3952 | Median: | 141.40 | Median: | 53.0 | Median: | 5.000 | Median: | 50.0 |
| Mean: | 1268 | Mean: | 4195 | Mean: | 174.18 | Mean: | 54.8 | Mean: | 5.389 | Mean: | 58.2 |
| 3rd Qu.: | 1636 | 3rd Qu.: | 5600 | 3rd Qu.: | 234.38 | 3rd Qu.: | 73.0 | 3rd Qu.: | 6.000 | 3rd Qu.: | 75.0 |
| Max.: | 5590 | Max.: | 9000 | Max.: | 444.30 | Max.: | 109.3 | Max.: | 7.000 | Max.: | 100.0 |
| DT | RMI | f | α | VoD | PPV | ||||||
| Min.: | 0.00 | Min.: | 0.3000 | Min.: | 5.000 | Min.: | 0.00 | Min.: | 2800 | Min.: | 0.1010 |
| 1st Qu.: | 0.00 | 1st Qu.: | 0.4700 | 1st Qu.: | 6.000 | 1st Qu.: | 76.25 | 1st Qu.: | 2800 | 1st Qu.: | 0.3862 |
| Median: | 1.50 | Median: | 0.5550 | Median: | 6.000 | Median: | 130.00 | Median: | 2800 | Median: | 1.0380 |
| Mean: | 30.96 | Mean: | 0.5656 | Mean: | 6.489 | Mean: | 121.03 | Mean: | 3430 | Mean: | 1.6262 |
| 3rd Qu.: | 68.50 | 3rd Qu.: | 0.6725 | 3rd Qu.: | 7.000 | 3rd Qu.: | 180.00 | 3rd Qu.: | 4200 | 3rd Qu.: | 2.4065 |
| Max.: | 100.00 | Max.: | 0.8000 | Max.: | 9.000 | Max.: | 180.00 | Max.: | 4200 | Max.: | 8.1580 |
| PPV Predictive Model | Training Dataset | Testing Dataset | ||||||
|---|---|---|---|---|---|---|---|---|
| MSE | RMSE | MAE | R2 | MSE | RMSE | MAE | R2 | |
| CGO-ANN | 0.261 | 0.511 | 0.426 | 0.899 | 0.259 | 0.508 | 0.425 | 0.909 |
| GA-ANN | 0.436 | 0.660 | 0.555 | 0.832 | 0.637 | 0.798 | 0.669 | 0.777 |
| PSO-ANN | 0.547 | 0.740 | 0.620 | 0.789 | 0.720 | 0.848 | 0.719 | 0.748 |
| Single ANN | 0.566 | 0.752 | 0.624 | 0.782 | 0.770 | 0.877 | 0.745 | 0.731 |
| USBM | 2.589 | 1.609 | 1.053 | 0.384 | 2.672 | 1.635 | 1.102 | 0.520 |
Disclaimer/Publisher’s Note: The statements, opinions and data contained in all publications are solely those of the individual author(s) and contributor(s) and not of MDPI and/or the editor(s). MDPI and/or the editor(s) disclaim responsibility for any injury to people or property resulting from any ideas, methods, instructions or products referred to in the content. |
© 2024 by the authors. Licensee MDPI, Basel, Switzerland. This article is an open access article distributed under the terms and conditions of the Creative Commons Attribution (CC BY) license (https://creativecommons.org/licenses/by/4.0/).
Share and Cite
Zhao, S.; Wang, L.; Cao, M. Chaos Game Optimization-Hybridized Artificial Neural Network for Predicting Blast-Induced Ground Vibration. Appl. Sci. 2024, 14, 3759. https://doi.org/10.3390/app14093759
Zhao S, Wang L, Cao M. Chaos Game Optimization-Hybridized Artificial Neural Network for Predicting Blast-Induced Ground Vibration. Applied Sciences. 2024; 14(9):3759. https://doi.org/10.3390/app14093759
Chicago/Turabian StyleZhao, Shugang, Liguan Wang, and Mingyu Cao. 2024. "Chaos Game Optimization-Hybridized Artificial Neural Network for Predicting Blast-Induced Ground Vibration" Applied Sciences 14, no. 9: 3759. https://doi.org/10.3390/app14093759
APA StyleZhao, S., Wang, L., & Cao, M. (2024). Chaos Game Optimization-Hybridized Artificial Neural Network for Predicting Blast-Induced Ground Vibration. Applied Sciences, 14(9), 3759. https://doi.org/10.3390/app14093759
