Resilience of Machine Learning Models in Anxiety Detection: Assessing the Impact of Gaussian Noise on Wearable Sensors
Abstract
1. Introduction
2. Materials and Methods
2.1. Overview of WESAD Dataset
2.2. Data Preprocessing
2.3. Feature Extraction
2.4. ML Models
2.5. Simulating Real-World Data Using Noise
2.6. Feature and Modality Analysis
2.7. Comparative Model Analysis
3. Results
3.1. Feature-Based Models
3.2. End-to-End Models
3.3. Feature-Based Models with Gaussian Noise
3.4. End-to-End Models with Gaussian Noise
4. Discussion
5. Conclusions
Author Contributions
Funding
Institutional Review Board Statement
Informed Consent Statement
Data Availability Statement
Acknowledgments
Conflicts of Interest
References
- Correction Collins, P.Y.; Patel, V.; Joestl, S.S.; March, D.; Insel, T.R.; Daar, A.S.; Bordin, I.A.; Costello, E.J.; Durkin, M.; Fairburn, C.; et al. Grand Challenges in Global Mental Health. Nature 2011, 475, 27–30. [Google Scholar] [CrossRef] [PubMed]
- Kessler, R.C.; Avenevoli, S.; Costello, E.J.; Green, J.G.; Gruber, M.J.; Heeringa, S.; Merikangas, K.R.; Pennell, B.E.; Sampson, N.A.; Zaslavsky, A.M. Design and Field Procedures in the US National Comorbidity Survey Replication Adolescent Supplement (NCS-A). Int. J. Methods Psychiatr. Res. 2009, 18, 69–83. [Google Scholar] [CrossRef] [PubMed]
- Canals, J.; Voltas, N.; Hernández-Martínez, C.; Cosi, S.; Arija, V. Prevalence of DSM-5 Anxiety Disorders, Comorbidity, and Persistence of Symptoms in Spanish Early Adolescents. Eur. Child. Adolesc. Psychiatry 2019, 28, 131–143. [Google Scholar] [CrossRef] [PubMed]
- Wittchen, H.U.; Jacobi, F.; Rehm, J.; Gustavsson, A.; Svensson, M.; Jönsson, B.; Olesen, J.; Allgulander, C.; Alonso, J.; Faravelli, C.; et al. The Size and Burden of Mental Disorders and Other Disorders of the Brain in Europe 2010. Eur. Neuropsychopharmacol. 2011, 21, 655–679. [Google Scholar] [CrossRef]
- Healey, J.A.; Picard, R.W. Detecting Stress during Real-World Driving Tasks Using Physiological Sensors. IEEE Trans. Intell. Transp. Syst. 2005, 6, 156–166. [Google Scholar] [CrossRef]
- Elgendi, M.; Galli, V.; Ahmadizadeh, C.; Menon, C. Dataset of Psychological Scales and Physiological Signals Collected for Anxiety Assessment Using a Portable Device. Data 2022, 7, 132. [Google Scholar] [CrossRef]
- Haouij, N.E.; Poggi, J.M.; Sevestre-Ghalila, S.; Ghozi, R.; Jadane, M. AffectiveROAD System and Database to Assess Driver’s Attention. In Proceedings of the ACM Symposium on Applied Computing, New York, NY, USA, 9–13 April 2018; pp. 800–803. [Google Scholar] [CrossRef]
- Schmidt, P.; Reiss, A.; Duerichen, R.; Laerhoven, K. Van Introducing WeSAD, a Multimodal Dataset for Wearable Stress and Affect Detection. In Proceedings of the ICMI 2018—Proceedings of the 2018 International Conference on Multimodal Interaction, Boulder, CO, USA, 16–20 October 2018; pp. 400–408. [Google Scholar] [CrossRef]
- Feng, T.; Ling, D.; Li, C.; Zheng, W.; Zhang, S.; Li, C.; Emel’yanov, A.; Pozdnyakov, A.S.; Lu, L.; Mao, Y. Stretchable On-Skin Touchless Screen Sensor Enabled by Ionic Hydrogel. Nano Res. 2024, 17, 4462–4470. [Google Scholar] [CrossRef]
- Li, J.; Carlos, C.; Zhou, H.; Sui, J.; Wang, Y.; Silva-Pedraza, Z.; Yang, F.; Dong, Y.; Zhang, Z.; Hacker, T.A.; et al. Stretchable Piezoelectric Biocrystal Thin Films. Nat. Commun. 2023, 14, 6562. [Google Scholar] [CrossRef]
- Kulkarni, M.B.; Rajagopal, S.; Prieto-Simón, B.; Pogue, B.W. Recent Advances in Smart Wearable Sensors for Continuous Human Health Monitoring. Talanta 2024, 272, 125817. [Google Scholar] [CrossRef]
- Kazanskiy, N.L.; Khonina, S.N.; Butt, M.A. A Review on Flexible Wearables-Recent Developments in Non-Invasive Continuous Health Monitoring. Sens. Actuators A Phys. 2024, 366, 114993. [Google Scholar] [CrossRef]
- Garg, M.; Parihar, A.; Rahman, M.S. Advanced and Personalized Healthcare through Integrated Wearable Sensors (Versatile). Mater. Adv. 2024, 5, 432–452. [Google Scholar] [CrossRef]
- Razavi, M.; Ziyadidegan, S.; Mahmoudzadeh, A.; Kazeminasab, S.; Baharlouei, E.; Janfaza, V.; Jahromi, R.; Sasangohar, F. Machine Learning, Deep Learning, and Data Preprocessing Techniques for Detecting, Predicting, and Monitoring Stress and Stress-Related Mental Disorders: Scoping Review. JMIR Ment. Health 2024, 11, e53714. [Google Scholar] [CrossRef] [PubMed]
- Wang, W.; Chen, J.; Hu, Y.; Liu, H.; Chen, J.; Gadekallu, T.R.; Garg, L.; Guizani, M.; Hu, X. Integration of Artificial Intelligence and Wearable Internet of Things for Mental Health Detection. Int. J. Cogn. Comput. Eng. 2024, 5, 307–315. [Google Scholar] [CrossRef]
- Gomes, N.; Pato, M.; Lourenco, A.R.; Datia, N. A Survey on Wearable Sensors for Mental Health Monitoring. Sensors 2023, 23, 1330. [Google Scholar] [CrossRef]
- Spielberger, C.D. Theory and Research on Anxiety; Spielberger, C.D., Ed.; Academic Press Inc.: Oxford, UK, 1966; ISBN 9781483258362. [Google Scholar]
- Spielberger, C.D. Notes and Comments Trait-State Anxiety and Motor Behavior. J. Mot. Behav. 1971, 3, 265–279. [Google Scholar] [CrossRef]
- Hackfort, D.; Spielberger, C.D. Sport-Related Anxiety: Current Trends in Theory and Research; Academic Press Inc.: Cambridge, MA, USA, 2021; ISBN 9781317705987. [Google Scholar]
- Thomas, C.R.; Holzer, C.E. The Continuing Shortage of Child and Adolescent Psychiatrists. J. Am. Acad. Child. Adolesc. Psychiatry 2006, 45, 1023–1031. [Google Scholar] [CrossRef]
- Thomas, K.C.; Ellis, A.R.; Konrad, T.R.; Holzer, C.E.; Morrissey, J.P. County-Level Estimates of Mental Health Professional Shortage in the United States. Psychiatr. Serv. 2009, 60, 1323–1328. [Google Scholar] [CrossRef]
- Kim, W.J. Child and Adolescent Psychiatry Workforce: A Critical Shortage and National Challenge. Acad. Psychiatry 2003, 27, 277–282. [Google Scholar] [CrossRef]
- Satiani, A.; Niedermier, J.; Satiani, B.; Svendsen, D.P. Projected Workforce of Psychiatrists in the United States: A Population Analysis. Psychiatr. Serv. 2018, 69, 710–713. [Google Scholar] [CrossRef]
- Segerstrom, S.C.; Miller, G.E. Psychological Stress and the Human Immune System: A Meta-Analytic Study of 30 Years of Inquiry. Psychol. Bull. 2004, 130, 601–630. [Google Scholar] [CrossRef]
- Vrijkotte, T.G.M.; Van Doornen, L.J.P.; De Geus, E.J.C. Effects of Work Stress on Ambulatory Blood Pressure, Heart Rate, and Heart Rate Variability. Hypertension 2000, 35, 880–886. [Google Scholar] [CrossRef] [PubMed]
- Celano, C.M.; Daunis, D.J.; Lokko, H.N.; Campbell, K.A.; Huffman, J.C. Anxiety Disorders and Cardiovascular Disease. Curr. Psychiatry Rep. 2016, 18, 101. [Google Scholar] [CrossRef] [PubMed]
- Wilson, G.F. An Analysis of Mental Workload in Pilots During Flight Using Multiple Psychophysiological Measures. Int. J. Aviat. Psychol. 2002, 12, 3–18. [Google Scholar] [CrossRef]
- Althubaiti, A. Information Bias in Health Research: Definition, Pitfalls, and Adjustment Methods. J. Multidiscip. Healthc. 2016, 9, 211–217. [Google Scholar] [CrossRef]
- Julian, L.J. Measures of Anxiety. Arthritis Care 2011, 63, 1–11. [Google Scholar] [CrossRef]
- Shiffman, S.; Stone, A.A.; Hufford, M.R. Ecological Momentary Assessment. Annu. Rev. Clin. Psychol. 2008, 4, 1–32. [Google Scholar] [CrossRef]
- Glick, G.; Braunwald, E. Relative Roles of the Sympathetic and Parasympathetic Nervous Systems in the Reflex Control of Heart Rate. Circ. Res. 1965, 16, 363–375. [Google Scholar] [CrossRef]
- Steptoe, A.; Marmot, M. Impaired Cardiovascular Recovery Following Stress Predicts 3-Year Increases in Blood Pressure. J. Hypertens. 2005, 23, 529–536. [Google Scholar] [CrossRef]
- Lundberg, U.; Kadefors, R.; Melin, B.; Palmerud, G.; Hassmén, P.; Engström, M.; Elfsberg Dohns, I. Psychophysiological Stress and Emg Activity of the Trapezius Muscle. Int. J. Behav. Med. 1994, 1, 354–370. [Google Scholar] [CrossRef]
- Waxenbaum, J.A.; Varacallo, M. Anatomy, Autonomic Nervous System. In StatPearls [Internet]; StatPearls Publishing: Treasure Island, FL, USA, 2024. Available online: https://pubmed.ncbi.nlm.nih.gov/30969667/ (accessed on 24 December 2024).
- Critchley, H.D. Study of the Stress Response: Role of Anxiety, Cortisol and DHEAs. Neuroscientist 2002, 8, 132–142. [Google Scholar] [CrossRef]
- Kirschbaum, C.; Pirke, K.M.; Hellhammer, D.H. The “Trier Social Stress Test”—A Tool for Investigating Psychobiological Stress Responses in a Laboratory Setting. Neuropsychobiology 1993, 28, 76–81. [Google Scholar] [CrossRef] [PubMed]
- Koelstra, S.; Muhl, C.; Soleymani, M.; Lee, J.S.; Yazdani, A.; Ebrahimi, T.; Pun, T.; Nijholt, A.; Patras, I. DEAP: A Database for Emotion Analysis; Using Physiological Signals. IEEE Trans. Affect. Comput. 2012, 3, 18–31. [Google Scholar] [CrossRef]
- Lovallo, W. The Cold Pressor Test and Autonomic Function: A Review and Integration. Psychophysiology 1975, 12, 268–282. [Google Scholar] [CrossRef] [PubMed]
- Dziezyc, M.; Gjoreski, M.; Kazienko, P.; Saganowski, S.; Gams, M. Can We Ditch Feature Engineering? End-to-End Deep Learning for Affect Recognition from Physiological Sensor Data. Sensors 2020, 20, 6535. [Google Scholar] [CrossRef]
- Ancillon, L.; Elgendi, M.; Menon, C. Machine Learning for Anxiety Detection Using Biosignals: A Review. Diagnostics 2022, 12, 1794. [Google Scholar] [CrossRef]
- Giannakakis, G.; Grigoriadis, D.; Giannakaki, K.; Simantiraki, O.; Roniotis, A.; Tsiknakis, M. Review on Psychological Stress Detection Using Biosignals. IEEE Trans. Affect. Comput. 2022, 13, 440–460. [Google Scholar] [CrossRef]
- Kreibig, S.D. Autonomic Nervous System Activity in Emotion: A Review. Biol. Psychol. 2010, 84, 394–421. [Google Scholar] [CrossRef]
- Shatte, A.B.R.; Hutchinson, D.M.; Teague, S.J. Machine Learning in Mental Health: A Scoping Review of Methods and Applications. Psychol. Med. 2019, 49, 1426–1448. [Google Scholar] [CrossRef]
- Watson, D.; Clark, L.A.; Tellegen, A. Development and Validation of Brief Measures of Positive and Negative Affect: The PANAS Scales. J. Pers. Soc. Psychol. 1988, 54, 1063–1070. [Google Scholar] [CrossRef]
- Spielberger, C.D.; Gonzalez-Reigosa, F.; Martinez-Urrutia, A.; Natalicio, L.F.S.; Natalicio, D.S. The State-Trait Anxiety Inventory. Rev. Interam. De Psicol. /Interam. J. Psychol. 1971, 5, 3–4. [Google Scholar] [CrossRef]
- Helton, W.S. Validation of a Short Stress State Questionnaire. In Proceedings of the Human Factors and Ergonomics Society Annual Meeting; Sage Publications: Los Angeles, CA, USA, 2004; Volume 48, pp. 1238–1242. [Google Scholar] [CrossRef]
- Samson, A.C.; Kreibig, S.D.; Soderstrom, B.; Wade, A.A.; Gross, J.J. Eliciting Positive, Negative and Mixed Emotional States: A Film Library for Affective Scientists. Cogn. Emot. 2016, 30, 827–856. [Google Scholar] [CrossRef] [PubMed]
- Scholkmann, F.; Boss, J.; Wolf, M. An Efficient Algorithm for Automatic Peak Detection in Noisy Periodic and Quasi-Periodic Signals. Algorithms 2012, 5, 588–603. [Google Scholar] [CrossRef]
- Chen, T.; Guestrin, C. XGBoost. In Proceedings of the 22nd ACM SIGKDD International Conference on Knowledge Discovery and Data Mining, San Francisco, CA, USA, 13–17 August 2016; ACM: New York, NY, USA, 2016; pp. 785–794. [Google Scholar]
- Pedregosa, F.; Varoquaux, G.; Gramfort, A.; Michel, V.; Thirion, B.; Grisel, O.; Blondel, M.; Prettenhofer, P.; Weiss, R.; Dubourg, V.; et al. Scikit-Learn: Machine Learning in Python. J. Mach. Learn. Res. 2011, 12, 2825–2830. [Google Scholar]
- Bengio, Y.; Courville, A.; Vincent, P. Representation Learning: A Review and New Perspectives. IEEE Trans. Pattern Anal. Mach. Intell. 2013, 35, 1798–1828. [Google Scholar] [CrossRef]
- Ou, G.; Murphey, Y.L. Multi-Class Pattern Classification Using Neural Networks. Pattern Recognit. 2007, 40, 4–18. [Google Scholar] [CrossRef]
- Rifkin, R.; Klautau, A. In Defense of One-vs-All Classification. J. Mach. Learn. Res. 2004, 5, 101–141. [Google Scholar]
- Hsu, C.-W.; Lin, C.-J. A Comparison of Methods for Multiclass Support Vector Machines. IEEE Trans. Neural Netw. 2002, 13, 415–425. [Google Scholar] [CrossRef]
- Zaman, M.S.; Morshed, B.I. Estimating Reliability of Signal Quality of Physiological Data from Data Statistics Itself for Real-Time Wearables. In Proceedings of the 2020 42nd Annual International Conference of the IEEE Engineering in Medicine & Biology Society (EMBC), Montreal, QC, Canada, 20–24 July 2020; pp. 5967–5970. [Google Scholar]
- Abd-Alrazaq, A.; AlSaad, R.; Harfouche, M.; Aziz, S.; Ahmed, A.; Damseh, R.; Sheikh, J. Wearable Artificial Intelligence for Detecting Anxiety: Systematic Review and Meta-Analysis. J. Med. Internet Res. 2023, 25, e48754. [Google Scholar] [CrossRef]
- Zhang, S.; Li, X.; Zong, M.; Zhu, X.; Wang, R. Efficient KNN Classification with Different Numbers of Nearest Neighbors. IEEE Trans. Neural Netw. Learn. Syst. 2017, 29, 1774–1785. [Google Scholar] [CrossRef]








| ACC | Mean, stdv, min, max, abs integral of each x, y, z-axis and of norm. Peak freq of each axis | Stdv: Standard deviation, Min: minimum value, Max: maximum value, Net: Magnitude or length. Peak freq: highest freq domain component |
| BVP | Mean, stdv, min, max, Peak freq | |
| ECG | Mean, stdv, min, max. bpm, ibi, sdnn, sdsd, rmssd, pnn20, pnn50 | bpm: beat per min; ibi: interbeat interval, sdnn: stdv of ibi, sdsd: stdv of ibi diff, rmssd: rms of ibi, pnn20: % of successive beats with more than 20 ms diff, |
| EDA | Mean, stdv, min, max of each signal, SCL, and SLR. Slope, and drange | SCL: Skin Conductance Level, SLR: Skin Conductance Responses, drange: dynamic range. |
| EMG | Mean, stdv, min, max, drange, abs integral | |
| RESP | Mean, stdv, of each signal, inhalation, and exhalation. i/e ratio, and resp rate | i/e: inhalation to exhalation ratio. Resp rate: respiration rate. |
| TEMP | Mean, std, min, max, drange, slope |
| Architecture | Description |
|---|---|
| FCN | N1 × [CL2 − CL − CL] – FC3 |
| ResNet | N × [ResBloc4 − … − ResBloc] − FC |
| MLP | N × [FC − … − FC] − FC |
| Encoder | N × [CL − CL − CL – Att5] − FC |
| Time-CNN | N × [CL − CL] − FC |
| CNN-LSTM | N × [CL − CL – LSTM6] − FC |
| MLP-LSTM | N × [FC − … − FC − LSTM] − FC |
| MC-DCNN | N × [CL − CL] − FC − FC |
| Inception | N × [Inc7] − FC |
| Model | Accuracy |
|---|---|
| DT | 0.99 |
| RF | 0.91 |
| LDA | 0.93 |
| KNN | 0.94 |
| AB | 0.81 |
| SVM | 0.95 |
| XGB | 0.99 |
| Modality | Feature | Weighted Average | DT | kNN | LDA | XGB | SVM | RF | AB |
|---|---|---|---|---|---|---|---|---|---|
| ACC | ACCx C mean | 0.06 | 0.03 | ||||||
| ACCx min | 0.03 | 0.07 | 0.12 | ||||||
| ACCx std | 0.05 | ||||||||
| ACCnet w min | 0.04 | 0.06 | |||||||
| ACCnet w max | 0.05 | ||||||||
| BVP | BVPmax | 0.15 | 0.39 | ||||||
| BVPmin | 0.38 | ||||||||
| BVPstd | 0.14 | ||||||||
| ECG | ECGbpm | 0.10 | 0.09 | 0.14 | 0.07 | 0.05 | 0.26 | ||
| ECGpnn50 | 0.05 | ||||||||
| ECGrmssd | 0.10 | ||||||||
| ECGsdnn | 0.11 | ||||||||
| ECGsdsd | 0.03 | ||||||||
| ECGstd | 0.13 | 0.06 | 0.04 | 0.06 | 0.10 | ||||
| EDA | EDASCL_max | 0.18 | 0.43 | 0.15 | 0.15 | 0.21 | 0.15 | 0.30 | |
| EDASCR_max | 0.06 | 0.06 | 0.02 | ||||||
| EDASCR_min | 0.06 | 0.06 | |||||||
| EDASCR_std | 0.08 | 0.08 | |||||||
| EDAstd | 0.04 | 0.02 | |||||||
| RESP | RespC_Exhal_std | 0.08 | 0.08 | 0.10 | 0.08 | ||||
| RespC_Inhal_std | 0.06 | 0.09 | 0.06 | ||||||
| TEMP | TEMPmean | 0.08 | 0.11 | 0.05 | 0.04 |
| E2E Model | Average Accuracy (std) | Average F1-Score (std) | Accuracy (max) |
|---|---|---|---|
| FCN | 0.79 (0.03) | 0.75 (0.04) | 0.95 |
| ResNet | 0.80 (0.05) | 0.74 (0.07) | 0.96 |
| Time-CNN | 0.76 (0.03) | 0.67 (0.04) | 0.89 |
| MCDCNN | 0.74 (0.03) | 0.65 (0.05) | 0.89 |
| MLP-LSTM | 0.72 (0.02) | 0.60 (0.03) | 0.89 |
| Encoder | 0.69 (0.04) | 0.59 (0.05) | 0.89 |
| MLP | 0.69 (0.01) | 0.59 (0.02) | 0.93 |
| CNN-LSTM | 0.69 (0.02) | 0.54 (0.02) | 0.85 |
| Inception | 0.65 (0.07) | 0.52 (0.07) | 0.91 |
| Random guess | 0.50 | 0.50 | |
| Majority class | 0.53 | 0.23 |
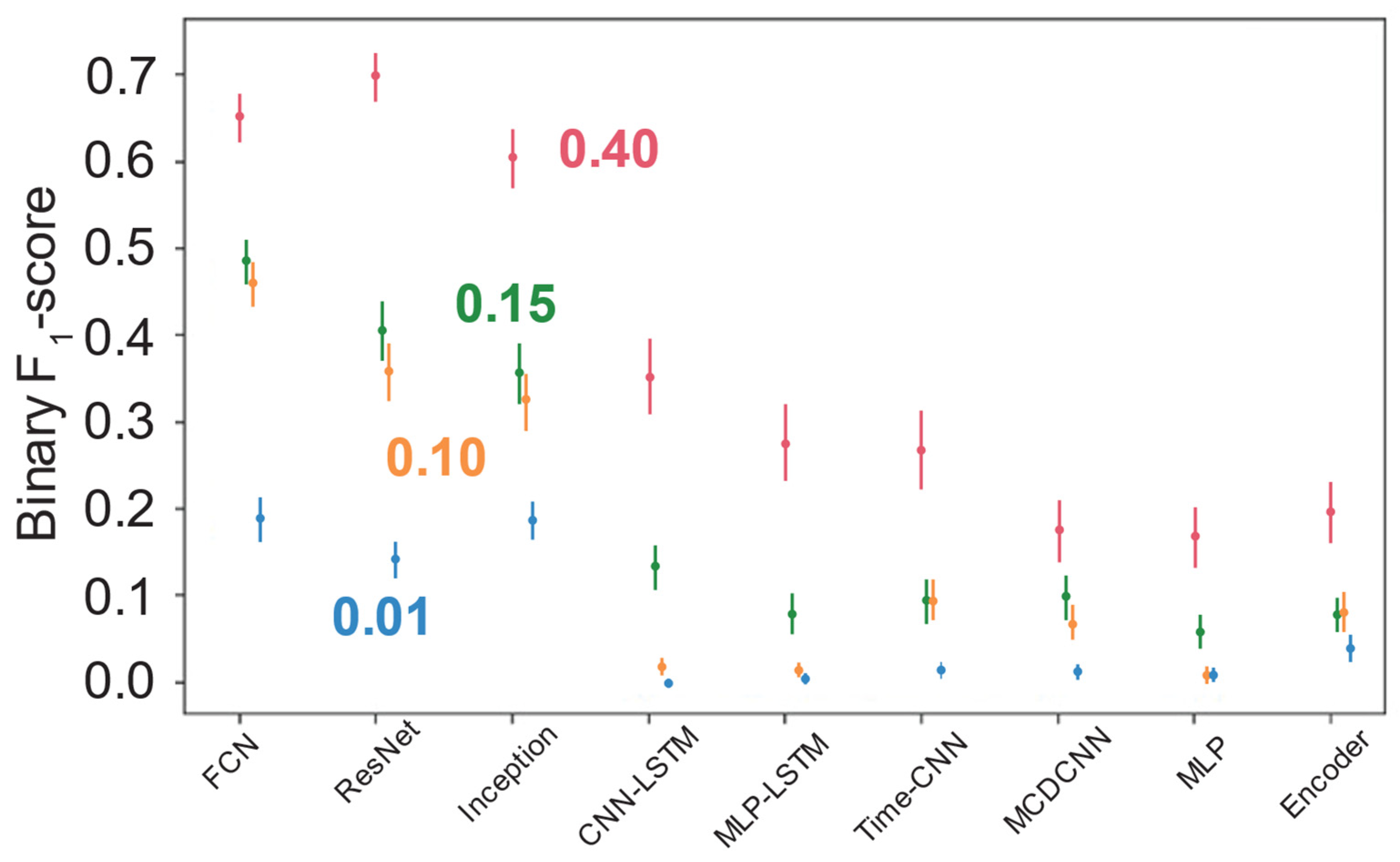
| Architecture | SNR = 0.01 | SNR = 0.1 | SNR = 0.15 | SNR = 0.4 | Baseline |
|---|---|---|---|---|---|
| FCN | 0.19 | 0.46 | 0.49 | 0.65 | 0.75 |
| ResNet | 0.14 | 0.36 | 0.41 | 0.70 | 0.74 |
| Time-CNN | 0.01 | 0.09 | 0.09 | 0.27 | 0.67 |
| MCDCNN | 0.01 | 0.07 | 0.10 | 0.17 | 0.65 |
| MLP-LSTM | 0.01 | 0.01 | 0.08 | 0.28 | 0.60 |
| Encoder | 0.04 | 0.08 | 0.08 | 0.20 | 0.59 |
| MLP | 0.01 | 0.01 | 0.06 | 0.17 | 0.59 |
| CNN-LSTM | 0.00 | 0.02 | 0.13 | 0.35 | 0.54 |
| Inception | 0.19 | 0.32 | 0.36 | 0.61 | 0.52 |
Disclaimer/Publisher’s Note: The statements, opinions and data contained in all publications are solely those of the individual author(s) and contributor(s) and not of MDPI and/or the editor(s). MDPI and/or the editor(s) disclaim responsibility for any injury to people or property resulting from any ideas, methods, instructions or products referred to in the content. |
© 2024 by the authors. Licensee MDPI, Basel, Switzerland. This article is an open access article distributed under the terms and conditions of the Creative Commons Attribution (CC BY) license (https://creativecommons.org/licenses/by/4.0/).
Share and Cite
Alkurdi, A.; Clore, J.; Sowers, R.; Hsiao-Wecksler, E.T.; Hernandez, M.E. Resilience of Machine Learning Models in Anxiety Detection: Assessing the Impact of Gaussian Noise on Wearable Sensors. Appl. Sci. 2025, 15, 88. https://doi.org/10.3390/app15010088
Alkurdi A, Clore J, Sowers R, Hsiao-Wecksler ET, Hernandez ME. Resilience of Machine Learning Models in Anxiety Detection: Assessing the Impact of Gaussian Noise on Wearable Sensors. Applied Sciences. 2025; 15(1):88. https://doi.org/10.3390/app15010088
Chicago/Turabian StyleAlkurdi, Abdulrahman, Jean Clore, Richard Sowers, Elizabeth T. Hsiao-Wecksler, and Manuel E. Hernandez. 2025. "Resilience of Machine Learning Models in Anxiety Detection: Assessing the Impact of Gaussian Noise on Wearable Sensors" Applied Sciences 15, no. 1: 88. https://doi.org/10.3390/app15010088
APA StyleAlkurdi, A., Clore, J., Sowers, R., Hsiao-Wecksler, E. T., & Hernandez, M. E. (2025). Resilience of Machine Learning Models in Anxiety Detection: Assessing the Impact of Gaussian Noise on Wearable Sensors. Applied Sciences, 15(1), 88. https://doi.org/10.3390/app15010088

