Abstract
Seismic isolation and damping technologies, though extensively used in buildings, are less common in large hydraulic structures, underscoring the importance of researching seismic mitigation methods for these constructions. This research first establishes that saturated sandy soil can act as a damping material through experimental and theoretical analysis. Subsequently, a novel hollow concrete gravity dam containing saturated sandy soil is proposed, utilizing the EOS (equation of state) subroutine for viscous fluids to model the liquefied sand. The findings indicate that the new-type dam exhibits a reduction in displacement of approximately 20% along the flow direction under an 8-degree seismic event compared to conventional gravity dams. This decrease correlates inversely with the characteristic wave speed of the saturated sandy soil, while the energy dissipation capacity of the saturated sandy soil is directly proportional to the soil layer’s thickness. Finally, a small-scale shaking table test revealed that saturated sandy soil effectively reduces displacement and acceleration at the dam crest. These findings were corroborated by numerical simulations, which further substantiated the reliability of both the experimental and simulated data. Utilizing saturated sandy soil for energy dissipation and seismic damping in dams offers cost benefits, high durability, and significant effectiveness, representing a promising direction for the advancement of seismic mitigation in concrete gravity dams.
    1. Introduction
In the 1970s, the Chinese-American scholar Yao systematically introduced structural vibration control technology, providing new insights for global seismic design of structures []. Subsequently, researchers worldwide conducted in-depth studies on structural damping systems and seismic damping technologies. In the span of over five decades, the fields of damping materials, damper technology, and innovative energy dissipation systems have seen remarkable growth. The incorporation of damping materials and dampers has become a critical component in the realms of structural passive, active, and semi-active control strategies, now extensively implemented in key construction projects across the globe. Taipei 101 utilizes a pendulum-type damper to mitigate vibrations by swinging and dissipating energy in response to seismic or wind forces, effectively reducing the structural oscillations of the building’s core []. Other notable structures, such as the Suqian City Construction Building, Seattle’s T-Mobile Park, Unit 3 of the Qinshan Nuclear Power Plant, and a Romanian oil refinery, have implemented viscous dampers for vibration attenuation and energy dissipation []. The Shanghai Tower utilizes an eddy current tuned mass damper, marking a significant advancement from conventional viscous damper technology []. The steel energy-dissipating double-link beam dampers employed in the China Zun Building effectively counteract the stiffness degradation of concrete beams, thereby markedly augmenting the structure’s seismic resilience [].
Since the initiation of reform and opening-up policies, China has witnessed a rapid expansion in its hydropower and water conservancy construction sector, culminating in a series of high-caliber projects and the attainment of numerous innovative milestones on the global stage in dam engineering. Consequently, China has become the nation with the largest number of dams. Concurrently, the sector has had to confront the formidable challenge of how these massive dam structures, with their significant mass and volume, can effectively resist the forces of seismic loads. High earth–rockfill dams enhance their seismic performance through the design of geosynthetic-reinforced soil structures and the application of reinforcement and nail techniques []. Tailings dams employ toe berm construction using rockfill to effectively prevent potential instability and failure of the dam structure []. High arch dams ensure seismic resistance by optimizing dam structures, arranging seismic-resistant reinforcement bars, and strengthening joint structures []. Additionally, novel damage assessment methods are used to evaluate the safety of gravity dams []. These methods involve allowing a certain degree of deformation in the dam body through the installation of expansion and deformation joints, reducing the response to seismic actions. The use of new materials, such as fiber-reinforced materials, also improves the structure’s toughness and seismic performance. High concrete dams face a dual challenge of seismic loads and reservoir water pressure, for which effective solutions remain elusive []. Switzerland’s extensive dam safety assessments over the past 15 years have revealed that current seismic resistance technologies in dams are outdated [].
The growing complexity of dam siting and height has rendered existing seismic measures insufficient, prompting a new research focus on developing cost-effective damping materials and designing appropriate dampers for dam structures.
Leveraging the remarkable property of variable stiffness inherent in shape-memory alloy (SMA) smart materials, Zhang Zhiqiang, Zhang Juyi, and colleagues have developed a novel SMA damper. The study details the damper’s structural composition and operational mechanism, presents the corresponding mechanical model, and validates the model’s accuracy through numerical simulations []. The effectiveness of this system was confirmed by comparing its performance to conventional seismic mitigation methods. M. Hochrainer and F. Ziegler have engineered a tuned liquid column damper (TLCD), tailored for wind and seismic applications, particularly for lightly damped asymmetric structures such as bridges and arch dams []. This damper is noted for its simplicity, low maintenance, and superior vibration reduction capabilities. Through computational analysis and model testing, Tian Qiufen implemented a series of engineering measures to enhance the seismic stability and safety of the Dagangshan Hydropower Station’s ultra-high arch dam. These measures included the installation of seismic reinforcement bars oriented along the beams, inter-seam dampers, resistance anchor cables, and grouting of the weak rock masses in the dam foundation. Tian further demonstrated that the placement of dampers at the transverse seams of the dam effectively restricts crack propagation []. Liu Tianyun, Li Qingbin, and their team proposed a damper that harnesses liquefied sand for energy dissipation []. Employing finite-element numerical analysis, they demonstrated that installing such dampers at the crest of concrete gravity dams can result in nearly a one-third reduction in crest displacement under seismic loading.
The widespread application of dampers in dam engineering would markedly increase construction costs. Hence, there is a pressing need to identify cost-effective damping materials that offer high performance without compromising on efficacy. Sand is prevalent in natural environments, and the conditions for the liquefaction of saturated sandy soil are readily achievable. Enhancement of dam seismic resistance through material reinforcement, such as the addition of steel rebar and fiber materials, is more costly compared to utilizing saturated sandy soil, which offers superior effectiveness at a lower material expense.
This paper proposes a new type of hollow concrete gravity dam containing saturated sandy soil for seismic mitigation. A three-dimensional model has been constructed, employing the EOS (equation of state) for viscous fluids to simulate the liquefied saturated sandy soil. Discrete field explicit dynamic analysis is used to model the dam under dynamic loading conditions. Numerical simulations were conducted to primarily analyze the energy dissipation level of liquefied saturated sandy soil and its impact on the displacement response of the gravity dam under seismic loads. Additionally, small-scale shaking table tests were performed to validate the feasibility of using saturated sandy soil as a damping material to reduce the seismic response of gravity dams.
2. A Hollow Concrete Gravity Dam Containing Saturated Sandy Soil
In an effort to augment the seismic resilience of gravity dams and to ameliorate the challenges inherent in conventional designs—namely, their significant uplift pressures, substantial cement usage, and demanding temperature control standards—a new concept has been introduced: a hollow concrete gravity dam integrated with saturated sandy soil. This novel dam design not only inherits the advantages of hollow gravity dams, such as reduced uplift pressure on the dam foundation and high heat dissipation performance, but also enhances the seismic performance of the dam by utilizing the damping effect generated by saturated sandy soil under seismic loads.
The cross-sectional view of the hollow concrete gravity dam containing saturated sandy soil is shown in Figure 1, which mainly consists of three parts: the dam body, the steel container, and the saturated sandy soil. The steel container is bolted to the dam body to facilitate dismantling and replacement during use. The upper part is open, allowing manual treatment of the liquefied soil to loosen it and restore its proper working performance.
 
      
    
    Figure 1.
      Cross-sectional view of a hollow concrete gravity dam containing saturated sandy soil.
  
3. Damping Effect of Saturated Sandy Soil
3.1. Resonant Column Tests on Saturated Sandy Soil
Saturated sandy soil samples were collected at the confluence of the Guanhe River estuary in Chenjiagang Town, Xiangshu County, Yancheng City. The physical properties of the sandy soil are shown in Table 1.
 
       
    
    Table 1.
    The physical properties of the sandy soil.
  
Resonant column tests were conducted on these samples using the DTC-185 model resonant column triaxial apparatus. The specimens, with a diameter of 50 mm and a height of 100 mm, were wrapped in rubber membranes and mounted within a pressure chamber to apply confining and axial stresses. A torsional harmonic excitation force was applied to the top of the specimens, with the excitation frequency adjusted to achieve maximum amplitude at the specimen’s crest. The damping ratio D is derived from the amplitude decay curve of the specimen’s free vibrations. After ascertaining the logarithmic decrement, Equations (1) and (2) [] are employed for the calculation.
      
        
      
      
      
      
    
      
        
      
      
      
      
    
In the formula, δ represents the logarithmic decrement of the specimen’s vibration system, N is the number of wave crests, A1 and AN+1 are the amplitudes of the first and the (N + 1)-th wave crests, respectively, δ0 is the logarithmic decrement of the instrument’s rotating part without the specimen, and e is the ratio of energy between the specimen and the instrument’s rotating part during vibration.
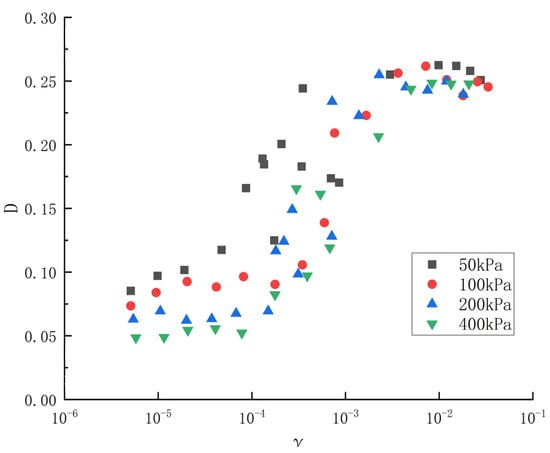
The experimental data were organized in Figure 2, where the horizontal axis γ represented the shear strain of the sandy soil, and the vertical axis D represented the damping ratio. The damping ratio, a dimensionless parameter, characterizes the energy dissipation capacity of structures or materials during dynamic responses and serves as an indicator of their energy absorption capabilities. High-damping materials, exemplified by viscoelastic and rubber-based damping materials, generally exhibit damping ratios within the range of 0.2 to 0.6. From the figure, it was observed that under different confining pressures, the damping ratio of saturated sandy soil increased with the increase in shear strain and eventually stabilized around 0.25. This indicated that the saturated sandy soil exhibited a significant damping effect during the testing process and could serve as a damping material.
 
      
    
    Figure 2.
      The damping ratio versus shear strain curve of saturated sandy soil.
  
3.2. Theoretical Analysis of Saturated Sandy Soil as a Damping Material
Saturated sandy soil, when subjected to vibration, experiences a sharp increase in pore water pressure, which makes it highly prone to liquefaction. Earthquakes with a magnitude greater than 5 on the Richter scale can induce liquefaction within 20 m below the ground surface. For earthquakes of magnitude 8, the relative density of sand that remains unreached by liquefaction must reach 70%.
Liquefied saturated sandy soil exhibits a high degree of similarity to fluids, with its stress–strain rate curve being a convex line that passes through the origin—a hallmark of typical ‘non-Newtonian fluids’. The apparent viscosity, defined as the ratio of shear stress to shear strain rate, increases exponentially as shear strain grows and decreases with an increase in shear strain rate, demonstrating viscous properties. Consequently, liquefied saturated sandy soil can be regarded as a viscous fluid.
The damping ratio is a crucial concept in structural dynamics, indicating the decay pattern of structural vibrations following excitation. The damping ratio of soil reflects the hysteresis of the soil’s dynamic stress–strain relationship. In the viscous model, it is represented as the ratio of the viscous damping coefficient c to the viscous critical damping coefficient cr, as shown in Equation (3) []. The damping force F is expressed as a force proportional to the magnitude of the vibration velocity and opposite in direction, related to the viscous damping coefficient.
      
        
      
      
      
      
    
      
        
      
      
      
      
    
Xu Chengshun, Pan Xia, and colleagues [] conducted dynamic shear tests on soil undergoing liquefied cyclic flow, establishing a definition for the damping ratio D during the soil’s deformation phase within the liquefied cycle. They observed that the soil’s damping ratio initially increases and then subsequently decreases with the augmentation of maximum shear strain. Notably, in soils of higher density, there remains a capacity to resist deformation even after complete liquefaction.
      
        
      
      
      
      
    
In Equation (5), A0 represents the area of the hysteresis loop in the shear stress–shear strain curve, while Ar denotes the area of the triangle formed by taking the maximum positive shear strain as the base and the maximum positive shear stress as the height in the shear stress–shear strain curve.
Throughout the process of soil liquefaction and subsequent to complete liquefaction, the damping ratio remains below 1. Equations (3) and (4) indicate that, at a constant velocity, an increase in the damping ratio leads to a relative increase in the viscous damping coefficient c compared to the critical viscous damping coefficient cr, resulting in a proportional increase in the damping force. Once the soil has fully liquefied, the critical viscous damping coefficient cr stabilizes, and both the damping ratio D and the damping force F will increase as c becomes larger.
3.3. Theoretical Model of Liquefied Saturated Sandy Soil
Liquefied saturated sandy soil exhibits such strong fluidity that its mechanical behavior is challenging to describe using conventional soil constitutive models. This study adopts a “non-Newtonian fluid” and viscous fluid approach to characterize the properties of liquefied saturated sandy soil. Dynamic viscosity η, a key parameter for characterizing viscous fluid properties, measures fluid viscosity. For a given fluid, viscosity is directly proportional to density, inversely proportional to temperature, and nearly independent of pressure. Assuming no temperature changes, dynamic viscosity η is expressed by Equation (6) [].
      
        
      
      
      
      
    
In the formula, ρ signifies the material density, while μ denotes the kinematic viscosity coefficient, which is correlated with the characteristic wave velocity c of the liquefied sandy soil.
The characteristic wave velocity c is related to the thickness of the liquefied sandy soil layer h, as shown in Equation (7) [].
      
        
      
      
      
      
    
Therefore, the dynamic viscosity η can also be expressed as Equation (8).
      
        
      
      
      
      
    
Within this model, temperature effects are not considered. The stress–strain behavior of liquefied sand is predominantly characterized by the Us–Up curve within the EOS (equation of state) subroutine. The Us–Up equation of state is a mathematical model specifically designed to accurately describe the complex behavior of fluid materials under extreme or dynamic loading conditions. In this context, Us signifies the velocity of stress wave propagation, while Up indicates the velocity of particle motion.
The bulk sound speed k0 is related to the material’s bulk modulus K [], and can be determined from the intercept value of the Us–Up curve.
      
        
      
      
      
      
    
The bulk modulus K is described by two distinct expressions, each grounded in the principles of material mechanics and dynamics. Equation (10) [] relates K to the elastic modulus E and Poisson’s ratio ν, while Equation (11) [] links K to pressure P and volume V.
      
        
      
      
      
      
    
      
        
      
      
      
      
    
Consequently, the bulk sound speed k0 is associated with two distinct formulas. The first formula is utilized to compute the theoretical value, whereas the second formula allows for the calculation of the experimental value derived from empirical data.
      
        
      
      
      
      
    
      
        
      
      
      
      
    
4. Numerical Experiments on the Seismic Mitigation Effects of Hollow Concrete Gravity Dams Containing Saturated Sandy Soil
4.1. Computational Model
Globally, the maximum height of constructed gravity dams has reached 305 m, with most falling within the range of 130 to 170 m. Consequently, this study models a gravity dam at 150 m in height for the purpose of our analysis. The dam model features a thickness of 30 m, stands at a height of 150 m, has a base width of 100 m, and has a top width of 15 m. The internal cavity is positioned 45 m from the crest and 91 m from the base of the dam. The steel container, which is open at the top, measures 25 m in length, 20 m in width, and 12 m in height, with a 1-meter-thick steel plate, and is filled with saturated sandy soil, bonded to the dam structure. The model is enveloped by a discrete field with dimensions of 102 by 32 by 152 cubic meters, and a conventional gravity dam of identical dimensions serves as the control model.
The meshing diagram of the model is depicted in Figure 3, while the material parameters are detailed in Table 2. The computational process utilizes explicit dynamic analysis. The dam and the steel container are discretized using C3D8R elements, whereas the saturated sand is modeled as an Eulerian material with EC3D8R elements. The mesh density is strategically varied across the dam model: the top and middle sections feature a dense mesh with 1 m spacing in both the horizontal and vertical directions. Conversely, the mesh in other regions is coarser, with a horizontal spacing of 2.75 m and a vertical spacing of 3.75 m at the base. The transition zones’ mesh is automatically generated by the software to ensure smooth gradation. To maintain computational precision, the mesh within the container and the saturated sandy soil is kept dense, adhering to a 1 m spacing in both directions. This mesh arrangement not only ensures mesh convergence but also optimizes computational efficiency.
 
      
    
    Figure 3.
      The mesh division diagram of the finite-element calculation model.
  
 
       
    
    Table 2.
    Material parameters.
  
Numerical simulations are conducted using Abaqus 2020 software [], where the EOS (equation of state) and viscosity subroutines are employed to endow saturated sandy soil with its properties. Furthermore, a volume fraction tool is applied to create a discrete field within the model’s potential activity domain. The parameters of the saturated sandy soil are as shown in Table 3, and the corresponding values of characteristic wave velocity c and soil thickness h are presented in Table 4.
 
       
    
    Table 3.
    The fluid parameters of liquefied saturated sandy soil.
  
 
       
    
    Table 4.
    Characteristic wave velocity and soil thickness correspondence table.
  
Movement of the model is permitted solely in the direction of water flow, with displacements in the remaining two directions being restricted. To facilitate a seamless simulation process, the steel container is rigidly bonded to the dam body through its base, in lieu of a bolted connection. The interaction between the saturated sandy soil and the steel container is characterized as a general contact. These provisions ensure the successful computation of the large-scale model, which requires approximately twenty hours for the entire calculation.
4.2. Calculation Plan
The horizontal seismic waves (with a seismic intensity of 8 degrees and a peak ground acceleration of 0.2 g) input during finite-element calculations were generated using the GM-Tools V24.4 seismic wave selection software [], jointly developed by Tongji University, Harbin Institute of Technology, and Huazhong University of Science and Technology, as shown in Figure 4.
 
      
    
    Figure 4.
      Artificial seismic wave time history curves.
  
Characterized by an initial ascending phase from 1 to 2 s, a sustained plateau from 2 to 8 s, and a subsequent descending phase from 8 to 10 s, the seismic wave reaches a maximum peak acceleration of 0.2 g, thereby exhibiting considerable destructive potential. Employing this waveform as the seismic loading input ensures that the gravity dam fully exploits its seismic resistance capabilities.
4.3. Results Analysis
Finite-element dynamic time history analysis was conducted on four schemes, including the conventional gravity dam and models with c = 70,98,163 m/s. Comparative analysis was performed on relevant data from the same characteristic points in different models. Set A of characteristic points is defined as a series of five equidistant points along a 15 m path at the central section of the dam crest, aligned with the direction of water flow. Set B of characteristic points is similarly arranged as five equidistant points along a 1515 path on the upstream face of the dam crest, perpendicular to the water flow direction. These configurations are illustrated in Figure 5.
 
      
    
    Figure 5.
      Characteristic point distribution diagram.
  
The time histories of displacement for each characteristic point during the seismic loading process are recorded. The relative displacement of these points is determined by subtracting the displacement–time history of a reference point at the base. The maximum displacements at each point are subsequently extracted and illustrated in Figure 6 and Figure 7.
 
      
    
    Figure 6.
      Displacement of characteristic point set A.
  
 
      
    
    Figure 7.
      Displacement of characteristic point set B.
  
Figure 6 and Figure 7 illustrate that at the three characteristic wave speeds, the displacement of characteristic points on the crest of the new-type dam, along both paths in the direction of water flow, is significantly reduced compared to that of the conventional gravity dam. Analyzing the maximum displacement of characteristic points along Path A in the direction of water flow, the reductions are 21.53% to 21.62% at c = 70 m/s, 20.09% to 20.18% at c = 98 m/s, and 19.39% to 19.59% at c = 163 m/s. Regarding Path B, the corresponding reductions are approximately 21.28% to 21.83% at c = 70 m/s, 19.84% to 20.65% at c = 98 m/s, and 19.36% to 19.63% at c = 163 m/s. Upon comprehensive analysis, it is evident that the presence of liquefied saturated sandy soil can reduce the displacement of the gravity dam crest along the direction of water flow by about 20%. This reduction is inversely proportional to the characteristic wave speed of the saturated sandy soil, indicating that the thicker the layer of liquefied sand, the greater the reduction in displacement and the more effective the seismic damping becomes.
The midpoint on the upstream crest of the dam is designated as characteristic point C, as shown in Figure 5. The relative displacement– and velocity–time histories of this point are depicted in Figure 8 and Figure 9, respectively, with the associated peak values summarized in Table 5.
 
      
    
    Figure 8.
      The displacement–time history plot of characteristic point C.
  
 
      
    
    Figure 9.
      The velocity–time history plot of characteristic point C.
  
 
       
    
    Table 5.
    Time history peak value table.
  
The data indicate that the hollow gravity dam with saturated sandy soil of different characteristic wave speeds exhibits similar trends in displacement– and velocity–time histories. Additionally, the maximum displacement and velocity values observed in these dams are lower than those in conventional gravity dams. This similarity suggests that using saturated sandy soil as a damping material is relatively stable. The peak displacement occurs approximately 0.8 s after the initiation of the seismic load, after which the values begin to decrease, indicating the rapid response capability of the saturated sandy soil. The time history peak values for displacement and velocity suggest that under the condition of c = 70 m/s, the damping performance is superior to the other two scenarios, with c = 98 m/s being the next best. This pattern is consistent with the maximum displacement results for characteristic points along paths A and B, demonstrating a trend where the damping effect diminishes as the characteristic wave speed increases.
Figure 10 depicts the energy dissipation of saturated sandy soil at different characteristic wave speeds. Before the earthquake occurred, the energy dissipation levels were almost the same for all wave speeds during the initial 2 s. However, distinct patterns emerged after the earthquake began, with a sharp increase in energy dissipation around 9.5 s. The most significant increase was observed at c = 70 m/s, where the energy dissipation reached 1933.37 × 103 kJ by the end of the seismic activity. This amount is 1.55 times that of c = 98 m/s and 2.08 times that of c = 163 m/s. The thickness of the soil layer at c = 70 m/s is 1.4 times greater than at c = 98 m/s and 2.3 times greater than at c = 163 m/s, indicating a relationship between the energy dissipation capacity of saturated sandy soil and the thickness of the soil layer.
 
      
    
    Figure 10.
      The viscous dissipation energy of liquefied saturated sandy soil.
  
5. Shaking Table Test of a Hollow Concrete Gravity Dam Containing Saturated Sandy Soil
5.1. Model Design
The experiment was conducted using the small-scale shaking table facility from the College of Civil and Transportation Engineering at Hohai University. The core component of this facility is a DC-600-6 electric vibration system, which boasts a maximum excitation force of 5.88 kN and covers a frequency spectrum from 5 to 5000 Hz. The system is designed for horizontal vibrations and features a shaking table with dimensions of 50 cm by 50 cm.
The scaled model is designed to achieve a geometric similarity ratio and an elastic modulus ratio of 300:1. To construct the gravity dam model, materials such as acrylic plates, fine sand, and volcanic cobblestones are selected. Figure 11 shows the model dimensions: the gravity dam model is 33 cm wide, 50 cm high, and 30 cm thick. The model container, a cubic structure, has dimensions of 15 cm in width, 10 cm in height, and 30 cm in depth.
 
      
    
    Figure 11.
      Experimental model.
  
5.2. Experimental Plan
In the experimental procedure, simple harmonic waves with acceleration amplitudes of 0.1 g and 0.2 g were employed to emulate ground motions indicative of seismic intensities of 7 and 8, respectively. Taking a sinusoidal wave with an acceleration amplitude of 0.1 g as an example, its schematic diagram is shown in Figure 12, with a frequency of 5 Hz.
 
      
    
    Figure 12.
      Schematic diagram of a simple harmonic.
  
The vibrations lasted for 20 s, and the time history horizontal displacement and acceleration responses at the upstream crest midpoint C were compared between the new-type dam and the conventional gravity dam.
The experimental equipment consists of a Witte intelligent accelerometer and a Bright RS485 displacement sensor, the latter with a sampling frequency of once per second. The sensors are positioned at the midpoint of the upstream top and bottom sections.
On one hand, the relatively small size of the scaled model compared to the actual structure diminishes the differences in experimental results among various models, rendering them difficult to discern. On the other hand, budgetary constraints necessitated the purchase of data acquisition instruments with inadequate precision, which introduced errors into the collected data and compromised the analysis. Consequently, to mitigate the impact of data errors and to validate the efficacy of saturated sandy soil as a damping material, the experimental focus was shifted from comparing different new-type gravity dams to comparing the seismic response of one new-type dam model with that of a conventional gravity dam model.
5.3. Analysis of Test Results
Let us define the scenario with an acceleration amplitude of 0.1 g as Case 1 and the scenario with an acceleration amplitude of 0.2 g as Case 2.
Figure 13 depicts the displacement–time history curve at point C for the Case 1 condition. Initially, the conventional gravity dam model records a peak displacement at the crest of approximately 0.85 mm, with a maximum absolute value reaching 0.89 mm. The new-type gravity dam model mirrors this behavior for the initial 5 s, after which there is a notable reduction in displacement. This indicates that significant liquefaction of the sand occurs around the 5 s mark. Beyond this point, the maximum absolute value of the peak displacement for the new-type dam model is 0.781 mm, which corresponds to an 11.94% decrease compared to the conventional dam model.
 
      
    
    Figure 13.
      The displacement–time history plot of point C under the Case 1 condition.
  
Figure 14 presents the acceleration–time history curve for point C under Case 1 conditions. It is observed that the acceleration of the new-type gravity dam, with a maximum of 0.281 g, is notably lower than that of the conventional gravity dam, which has a maximum of 0.316 g, leading to an 11.07% reduction.
 
      
    
    Figure 14.
      The acceleration–time history plot of point C under the Case 1 condition.
  
Figure 15 presents the displacement–time history curve for point C under the Case 2 condition. The conventional dam model’s displacement peak is consistently around 1.45 mm, with a maximum absolute value reaching 1.782 mm. In contrast, the new-type dam model exhibits a significant decrease in displacement after 5 s, with the maximum absolute displacement at point C being 1.61 mm post-5 s, indicating a 9.65% reduction compared to the conventional gravity dam. Figure 16 illustrates the acceleration values over the first 20 s. Despite minor discrepancies in recording times due to manual operations, it is apparent that the new-type dam model exhibits a maximum acceleration of 0.518 g, which is significantly lower than the conventional dam’s maximum acceleration of 0.56 g, indicating a 7.5% reduction.
 
      
    
    Figure 15.
      The displacement–time history plot of point C under the Case 2 condition.
  
 
      
    
    Figure 16.
      The acceleration–time history plot of point C under the Case 2 condition.
  
In both scenarios, the displacement of the new-type dam model notably decreases around 5 s, indicating that the liquefaction of saturated sandy soil is achieved within about 5 s post-vibration initiation, which reflects a swift response to seismic activity. Both the maximum displacement and acceleration of the new-type dam model show a significant reduction compared to those of the conventional gravity dam model, suggesting that liquefied saturated sandy soil can effectively contribute to seismic damping during an earthquake.
5.4. Numerical Verification
To validate the accuracy of the experimental data, a numerical model with identical dimensions to the experimental model was constructed and subjected to simulation. It is important to note that the computational time for a new-type dam model is approximately twenty hours. Therefore, to manage computational resources efficiently, the loading duration was truncated to ten seconds, and the simulation focused solely on the seismic response under Case 1 conditions. The resulting displacement and acceleration curves are illustrated in Figure 17 and Figure 18.
 
      
    
    Figure 17.
      The simulated displacement–time history plot of point C under the Case 1 condition.
  
 
      
    
    Figure 18.
      The simulated acceleration–time history plot of point C under the Case 1 condition.
  
Upon comparison of the curves derived from the experiment and simulation within the initial ten-second interval, minor deviations in shape are evident. Such discrepancies are likely attributable to the aging of the instrumentation and the gradual nature of the mechanical loading process. Nonetheless, the discrepancies in key parameters are minimal and do not significantly impact the overall analysis.
Analyzing from the standpoint of maximum displacement, the experimental value for the new-type dam is 0.781 mm, whereas the simulated value stands at 0.724 mm, corresponding to an error of 7.29%. For the conventional gravity dam, the experimental value is 0.89 mm, with the simulated value being 0.816 mm, resulting in an error of 8.31%. When considering maximum acceleration, the experimental value for the new-type dam is 0.281 g, and the simulated value is 0.26 g, which translates to an error of 7.47%. For the conventional gravity dam, the experimental value is 0.316 g, and the simulated value is 0.298 g, yielding an error of 5.69%. Given that the errors in all critical parameters are confined within 10%, this underscores the accuracy and reliability of both the experimental and simulated data, thereby affirming their significance for reference.
6. Conclusions
This manuscript introduces a hollow concrete gravity dam containing saturated sandy soil, constructs a three-dimensional model thereof, and utilizes a viscous fluid approach to simulate the liquefied saturated sandy soil. We conducted three-dimensional finite-element dynamic time history analyses on various models and performed shaking table tests to investigate the seismic damping characteristics of the new-type dam. The findings are summarized as follows.
- (1)
- Theoretical analysis and resonant column tests demonstrate that saturated sandy soil serves as an effective damping material, significantly reducing the displacement at the crest of concrete gravity dams under seismic loads and exhibiting excellent energy dissipation capabilities.
- (2)
- The numerical simulation outcomes reveal that the crest displacement of a hollow concrete gravity dam containing saturated sandy soil, along the direction of water flow, experiences a decrease relative to that of a conventional gravity dam, with the reduction being around 20%. This reduction magnitude is inversely proportional to the characteristic wave speed of the saturated sandy soil, suggesting that increased thickness of the saturated sandy soil layer leads to greater displacement reduction and enhanced seismic damping performance.
- (3)
- Shaking table experiments indicate that both the displacement and acceleration at the crest of a hollow concrete gravity dam containing saturated sandy soil are reduced under various seismic intensities when compared to a conventional gravity dam. These findings, along with the results from numerical simulations, collectively validate the damping efficacy of saturated sandy soil.
- (4)
- Under seismic loading, the energy dissipation capability of saturated sandy soil exhibits a positive correlation with soil layer thickness and a negative correlation with characteristic wave velocity. Notably, the ratio of energy dissipation levels across different scenarios is approximately equivalent to the ratio of their soil thicknesses.
7. Future Research Direction
The use of saturated sandy soil for seismic resistance in dams remains a conceptual approach, lacking established processes and corresponding construction standards. Installing a massive container within a gravity dam poses significant challenges and would likely increase construction costs. In the short term, the market may be reluctant to embrace this novelty. This method may only be adopted when existing seismic measures are insufficient to meet the higher seismic demands of dams.
Several researchers have advanced the hypothesis that the saturation level of sand may significantly impact its seismic resistance capabilities. This hypothesis presents a compelling avenue for future research and may prompt the need to develop innovative methods of expression and formulate new theoretical models.
Due to constraints in time and funding, this study focused on the impact of placing saturated sand at a specific location within a gravity dam and did not explore the effects of installing containers at different positions. The shaking table’s limited size also meant that detailed processes were not captured, and data errors were magnified, thus the obtained data should be used as a reference only. It is hoped that future researchers will build upon this research to further optimize and contribute more significantly to the field of seismic resistance in gravity dams.
Author Contributions
Conceptualization, F.Z. and Y.W.; methodology, F.Z.; software, Y.W.; validation, Y.W. and Y.Z.; formal analysis, Y.W.; data curation, Y.S.; writing—original draft preparation, Y.W.; writing—review and editing, F.Z. All authors have read and agreed to the published version of the manuscript.
Funding
This research received no external funding.
Institutional Review Board Statement
Not applicable.
Informed Consent Statement
Not applicable.
Data Availability Statement
The raw data supporting the conclusions of this article will be made available by the authors on request.
Conflicts of Interest
The authors declare no conflicts of interest.
Abbreviations
The following abbreviations are used in this manuscript:
      
| EOS | Equation of state | 
| SMA | Shape-memory alloy | 
| TLCD | Tuned liquid column damper | 
References
- Yao, J.T.P. Concept of Structural Control. Asce J. Struct. Div. 1972, 98, 1567–1574. [Google Scholar] [CrossRef]
- Lu, C.; Liu, Y.; Chen, J.; Li, Q. Wind-induced response analysis for fluid-structure interaction of Taipei 101 building based on DES. J. Vib. Shock. 2021, 40, 95–102. [Google Scholar] [CrossRef]
- Wang, D.; Zhou, Y.; Wang, Y.; Ding, K. State-of-the-Art of Research and Application on Structures with Viscous Damper. Earthq. Resist. Eng. Retrofit. 2006, 28, 22–31. [Google Scholar] [CrossRef]
- Song, W.; Xu, B. Research on performance and safety of innovated damper for Shanghai Tower. Build. Struct. 2016, 46, 1–8. [Google Scholar] [CrossRef]
- Yang, W.; Qi, W.; Chang, W.; Gong, Z. Research on key technologies of structure design for super high-rise mega structure of China Zun Tower in high seismic fortification intensity region. Build. Struct. 2019, 49, 39–48. [Google Scholar] [CrossRef]
- Rong, Z.; Yu, X.; Xu, B.; Du, X. Reliability Analysis of High Concrete-Face Rockfill Dams and Study of Seismic Performance of Earthquake-Resistant Measures Based on Stochastic Dynamic Analysis. Mathematics 2021, 9, 3124. [Google Scholar] [CrossRef]
- Kong, S.; He, Y.; Rui, J. Seepage stability analysis and reinforcement designof taillings dam in Huangshan city based on Geo-studio. World Nonferrous Met. 2023, 13, 187–189. [Google Scholar]
- Jiang, D.; Huang, H.; Ju, S.; Gao, Q.; Jiang, M. Analysis of working behavior of transverse joints and dampers of Dagangshan arch dam during Luding Ms6.8 earthquake. Rock Soil Mech. 2024, 45, 1527–1539. [Google Scholar] [CrossRef]
- Hussein, T.S.; Kadir, M.A.A.; Alzabeebee, S.; Keawsawasvong, S.; Ramli, M.Z.; Husseini, T.R.A. Robust seismic fragility curves for concrete gravity dams incorporating aleatory, epistemic, and fuzzy uncertainties. Structures 2024, 70, 107688. [Google Scholar] [CrossRef]
- Qu, Y.; Zou, D.; Liu, J.; Yang, Z.; Chen, K. Two-dimensional DEM-FEM coupling analysis of seismic failure and anti-seismic measures for concrete faced rockfill dam. Comput. Geotech. 2022, 151, 104950. [Google Scholar] [CrossRef]
- Darbre, G.R.; Schwager, M.V.; Panduri, R. Seismic safety evaluation of large dams in Switzerland: Lessons learned. In Proceedings of the Twenty-Sixth International Congress on Large Dams/Vingt-Sixième Congrès International des Grands Barrages, Vienna, Austria, 4–6 July 2018; CRC Press: London, UK, 2019. [Google Scholar]
- Zhiqiang, Z.; Juyi, Z.; Wenbo, X.; Yijing, L.; Zijing, T.; Huan, L. Performance experimental study and numerical simulation method of new type shape memory alloy damper. J. Southeast Univ. (Nat. Sci.) 2024, 1–11. [Google Scholar]
- Hochrainer, M.; Ziegler, F. Tuned Liquid Column Gas Damper in Structural Control: The Salient Features of a General Purpose Damping Device and its Application in Buildings, Bridges, and Dams. In Design Optimization of Active & Passive Structural Control Systems; IGI Global Scientific Publishing: Hershey, PA, USA, 2013. [Google Scholar]
- Tian, Q. Design Optimization of Anti-seismic Treatment Measures for a Super-high Arch Dam in Strong Earthquake Area. J. Netw. Hydropower New Energy 2023, 37, 6–8. [Google Scholar] [CrossRef]
- Liu, T.; Li, Q.; Wang, B. Seismic reduction with liquefied sand damper for gravity dams. Sci. Sin. Technol. 2015, 45, 1098. [Google Scholar] [CrossRef]
- SL/T 237-1999; Geotechnical Test Code. China Water Conservancy and Hydropower Press: Beijing, China, 1999; 380P; A384.
- Bottega, W.J. Engineering Vibrations, 2nd ed.; Taylor and Francis: Abingdon, UK, 2013; p. 930. [Google Scholar]
- Xu, C.; Pan, X.; Feng, C.; Du, X.; Xu, J. Experimental research on dynamic shear characteristics of liquefaction circulating flow soil. China Civ. Eng. J. 2020, 53, 95–102. [Google Scholar] [CrossRef]
- Martin, E. Engineering Fluid Mechanics; Tritech Digital Media: Santa Clara, CA, USA, 2018. [Google Scholar]
- Michel, B. Fundamentals of Acoustics; ISTE: London, UK, 2006. [Google Scholar]
- Yuan, W.H.; Wang, H.C.; Zhang, W.; Dai, B.B.; Liu, K.; Wang, Y. Particle finite element method implementation for large deformation analysis using Abaqus. Acta Geotech. 2021, 16, 2449–2462. [Google Scholar] [CrossRef]
- Hu, G. GM-Tools Seismic Wave Processing Software [Computer Software]. Beijing, China, 2022. [Google Scholar]
| Disclaimer/Publisher’s Note: The statements, opinions and data contained in all publications are solely those of the individual author(s) and contributor(s) and not of MDPI and/or the editor(s). MDPI and/or the editor(s) disclaim responsibility for any injury to people or property resulting from any ideas, methods, instructions or products referred to in the content. | 
© 2025 by the authors. Licensee MDPI, Basel, Switzerland. This article is an open access article distributed under the terms and conditions of the Creative Commons Attribution (CC BY) license (https://creativecommons.org/licenses/by/4.0/).
