Abstract
Fiber-reinforced concrete (FRC) has become increasingly important in recent decades due to its superior mechanical properties, especially flexural strength and toughness, compared to normal concrete. FRC has also received significant attention because of its superior fire resistance performance compared to non-fiber concrete. In recent years, studies on the mechanical performance, fire design, and post-fire repair of thermally damaged fibrous and non-fibrous concrete have gained importance. In particular, there are very few studies in the literature on the mechanical performance and flexural behavior of steel and basalt hybrid fiber concretes after high temperature and water re-curing. This study aims to determine the mechanical properties and toughness of concrete containing steel fiber (SF) and basalt fiber (BF) after ambient and high temperature (400 °C, 600 °C, and 800 °C). Additionally, this study aimed to examine the changes in fire-damaged FRCs as a result of water re-curing. In this context, high temperature and water re-curing were carried out on non-fibrous concrete (control) and four different fiber compositions: in the first mixture, only steel fibers were used, and in the other two mixtures, basalt fibers were substituted at 25% and 50% rates instead of steel fibers. Furthermore, in the fifth mixture, basalt fibers were replaced by polypropylene fibers (PPFs) to make a comparison with the steel and basalt hybrid fiber-reinforced mixture. This study examined the effects of different fiber compositions on the ultrasonic pulse velocity (UPV) and compressive and flexural strength of the specimens at ambient temperature and after exposure to elevated temperatures and water re-curing. Additionally, the load–deflection curves and toughness of the mixtures were determined. The study results showed that different fiber compositions varied in their healing effect at different stages. The hybrid use of SF and BF can improve the flexural strength before elevated temperature and particularly after 600 °C. However, it caused a decrease in the recovery rates, especially after re-curing with water in terms of toughness. Water re-curing provided remarkable improvement in terms of mechanical and toughness properties. This improvement was more evident in steel–polypropylene fiber-reinforced concretes.
1. Introduction
Fire represents one of the most severe durability problems, negatively and irreversibly affecting the physical, chemical, and mechanical properties of a concrete structure [1,2,3]. In recent decades, the use of FRC has increased significantly because of its excellent properties compared to plain concrete [4] in terms of increased initial crack strength [5], remarkable improvement in flexural behavior [6], and high toughness and energy absorption capacity [7,8]. However, if exposed to high-temperature effects, significant decreases may occur in the mechanical properties of cementitious materials [9,10]. For this reason, it is important to know the properties of FRC in terms of determining its post-fire resistance [4].
The post-heating residual characteristics of FRC vary remarkably by the type and proportions of fiber used. Most of the previous studies aimed to investigate the after-elevated-temperature resistance of SF- and PPF-reinforced cementitious composites [11,12,13]. Substituting steel fiber into concrete prevents the spread of cracks and improves heat transfer properties [14]. It has been determined that the presence of SF in cementitious composites subjected to elevated temperatures increases the residual compressive [15], tensile [16,17], flexural [18], and impact strength [19], and fracture energy [20]. Lau and Anson [15] found that 1% steel fiber in normal concrete increases the residual compressive strength by approximately 5–15% compared to concrete without fiber addition, regardless of the heating temperature. Suwanvitaya and Chotickai [18] reported in their research that 0.6% steel fiber caused a remarkable improvement in the flexural strength.
Basalt fiber, which is produced from basalt rock and is effective in strengthening cementitious composites with its high modulus of elasticity and tensile strength, attracts attention with its high melting temperature [21,22]. In addition to the mechanical properties of basalt fiber, its potential for use compared to other fiber types needs to be investigated in terms of its behavior against important environmental effects such as high temperature. In this context, in recent decades, the fire resistance of BF has become a subject of research for both single [22,23,24] and hybrid [21,25,26] use. The presence of basalt fiber in cement-based composites significantly strengthens elevated temperature resistance and has been reported to increase strength [22]. Cao et al. [21] determined the effects of elevated temperature on mortar specimens containing basalt and steel fiber. The study indicated that the addition of basalt and steel fiber can inhibit crack formation and propagation. They also reported that although the hybrid use of steel and basalt fiber reduced the strength, it still had a significant effect in preventing cracks even at 900 °C. Wu et al. [25] proved that steel and basalt fiber can still seal cracks in mortar specimens exposed to high temperatures. They also reported that basalt fiber maintains its performance even with temperature increase due to its high melting temperature, but an oxide layer forms on the surface of SF at approximately 500 °C.
Studies on the improvement of engineering structures exposed to high temperatures have become an important research topic in recent years. Existing studies in the literature have shown that the strength and durability characteristics of cement-based composites exposed to high temperatures will improve after re-curing with water or being kept in a humid environment [27,28,29,30]. This recovery has been attributed to the formation of C-S-H and carbonate phases in the concrete by the hydration of initially unhydrated cement grains in the concrete exposed to high temperatures [31,32]. The majority of studies on post-fire re-curing have focused on the effect of different cementitious materials [31,33,34]. However, there is very limited research on the water re-curing of fibrous concrete after exposure to high temperatures, and these studies have focused on steel and polypropylene fibers.
Bouhafs [30] et al. detected that the strength of self-compacting fibrous and non-fibrous concretes exposed to high temperatures was significantly regained after re-curing with water, and that this recovery was more evident above 400 °C. He et al. [35] reported that hybrid steel fiber mixture specimens of different sizes showed higher flexural strength values after high temperature compared to steel fiber specimens containing polypropylene. They also proved that re-curing improved the thermal damage of hybrid FRC. Akça and Özyurt [32] stated that SF- and PPF-reinforced specimens exposed to high temperatures showed better performance compared to the control group after re-curing. After re-curing with water, the best results were detected in hybrid fiber (steel and polypropylene)-reinforced specimens, while the highest specimen stiffness was obtained in those using polypropylene.
In past studies, performance evaluation of the hybrid use of SF and BF after elevated temperature generally focused on mortar specimens. In addition, there is a gap in the literature regarding studies on toughness and load–deflection behavior, which are important in the presence of fiber. This study includes research on the UPV, compressive and flexural strength, and toughness of mixtures using SF and BF by exposing them to elevated temperatures of 400 °C, 600 °C, and 800 °C. In addition, one of the primary purposes of this study is to determine the effect of re-curing after heating on the performance of steel and basalt fiber mixtures. In particular, in the literature, studies on SF and PPF are concentrated, but there are no studies on steel and basalt fiber. Additionally, there is a significant gap in the literature regarding the effect of fiber presence on flexural toughness after re-curing. Another feature of this study is that polypropylene fiber was used in one of the mixture series, and the synergy of steel fiber with basalt and polypropylene fiber was compared after the re-curing process.
2. Materials and Methods
2.1. Materials
CEM I 42.5 R ordinary Portland cement (OPC) was used to prepare the mixture specimens. The chemical compositions and physical characteristics of OPC are presented in Table 1. In this study, 0–5 mm river sand was used as fine aggregate. Crushed stone aggregate in the size range of 5–15 mm was used as coarse aggregate. The specific gravity of fine and coarse aggregates was determined as 2.64 and 2.60, and the water absorption values were determined as 1.10 and 0.92, respectively.
Table 1.
Chemical compositions and physical properties of cement.
To improve the workability of concrete mixtures, the third-generation polycarboxylic ether-based, highly water-reducing BASF Master Glenium 123 superplasticizer with a density of 1.13 g/cm3 and a pH of 5.5 ± 1 was used. In addition, 3 types of fibers produced from different geometries and materials were used in this study. The properties and images of the fibers are presented in Table 2 and Figure 1.
Table 2.
Properties of fibers.
Figure 1.
Types of fibers.
2.2. Mix Design and Curing
A total of five concrete mixtures were prepared using SF, BF, and PPF, including the control specimen. The volume of fiber used in concrete specimens was fixed at 0.80% of the concrete volume in all mixtures. The cement content in the mixtures was determined as 450 kg/m3 and the W/C ratio was determined as 0.42. Superplasticizer was added to the concrete mixtures to achieve slump in accordance with ASTM C143 [36]. As a result of preliminary experiments, a slump diameter of 110–150 mm was reached. The proportions of the control and fibrous concrete mixtures are given in Table 3. In literature studies [8,37], the optimum basalt content is stated as 0.30%. In addition, it has been observed in previous studies [5] and preliminary experiments that basalt fiber addition over 0.40% causes fiber balling and causes difficulties in placing fresh concrete. For these reasons, it was decided that it would be appropriate to use a basalt fiber content of 0.20–0.40%. In the series, the control specimen without fiber was coded as M1. Sample M2 represented concrete with a steel fiber ratio of 0.80%. In mixtures where SF and BF were used as hybrids, 0.60% SF and 0.20% BF represented M3, and 0.40% SF and 0.40% BF represented M4. Finally, the mixtures using 0.60% SF and 0.20% PPF were coded as M5.
Table 3.
Mixture proportions.
The specimens were kept in the mold after casting and were removed from the mold after 24 h. Then, the specimens were cured in a water bath with a temperature of 20 ± 3 °C until the test day.
2.3. Heating Process and Testing Methods
The cured specimens were kept in the oven at 40 °C until the mass values stabilized. The specimens were removed from the oven and exposed to the target temperatures of 400, 600, and 800 °C in a high-temperature oven with a constant heating rate of 5 °C/min. At each target temperature, the oven was fixed for 1 h and then allowed to cool. After cooling, half of the samples were tested, while the other half were placed in water for re-curing for 30 days.
All concrete series were subjected to non-destructive testing (UPV) according to ASTM C597-02 [38]. The UPV test was performed on cube specimens with dimensions of 100 × 100 × 100 mm3 using the Pundit Lab device with a nominal frequency of 54 kHz. The damage degree [14,39] was determined based on the UPV change of fiber and non-fiber concrete samples.
where V is the UPV value of cube specimens after heating and re-curing with water; V0 is the UPV before being heated.
The compressive strength of the specimens subjected to different conditions was determined according to the EN 12390-3 [40] standard on cube samples of 100 × 100 × 100 mm3 dimensions. Prism samples of 100 × 100 × 400 mm (21 pieces) prepared from each series were subjected to flexural tests in a closed-loop servo-controlled device. The span length (L) between the support points was determined as 300 mm (Figure 2). This testing machine had a maximum load capacity of 250 kN. The device was displacement-controlled and the loading speed was selected as 0.1 mm/min in accordance with the ASTM C1609 standard [41]. As a result of this test, the flexural strength of the specimens and the toughness values according to ASTM C1609 were determined after each stage (before and after heating; re-curing with water). Toughness values express the area up to the specified deflection on the load–deflection curve. Since concretes using steel fibers show significant load carrying capacity even at large deflections, the load carrying and toughness parameters were calculated at the modulus of rupture (MOR) and L/150 (2 mm), L/100 (3 mm), and L/75 (4 mm) deflection points.
Figure 2.
Test set-up of specimen and schematic diagram of a specimen.
3. Results and Discussion
3.1. UPV and Damage Degree (DD)
The UPV method is considered the preferred nondestructive test in civil engineering to evaluate concrete quality [14,42]. In addition, the UPV method provides information on the residual strength and the determination of the damaged layer thickness in thermally damaged concrete [43,44]. In this study, the UPV change of the control and FRC after elevated temperature and re-curing is reported. The results of the UPV values of the specimens used in this study obtained after elevated temperature and re-curing stages are given in Table 4. In the table, re-curing is represented by R.
Table 4.
UPV results of mixture specimens.
UPV values of plain concrete and FRC mixtures at room temperature ranged between 4608 and 4717 m/s. The average UPV value at 23 °C for all specimens used in the study was approximately 4653 m/s. The addition of SF, hybrid SF and BF, and hybrid SF and PPF to concrete caused a slight decrease of 1.40–2.31% compared to the reference specimen. This may lead to the conclusion that the use of fibers creates more porosity in the concrete content. Suwanvitaya and Chotickai [18] reported that there was a decrease in UPV values between 4.60% and 7.90% when single and hybrid SF and PPF were used. Köksal et al. [45] stated that 0.20% basalt fiber content in the concrete mixture gave the same UPV result as the control specimen.
As the heating temperature increased in the specimens, decreases in UPV values were observed. These decreases in UPV value can be explained by the increase in specimen porosity resulting from water loss and crack growth in the concrete due to heating [46,47]. At 400 °C, the UPV values of the mixtures were between 4082 and 4292 m/s. Compared to the M3 (%0.60 SF + %0.20 BF) mixture, a greater decrease in the UPV value of the M5 (%0.60 SF + %0.20 PPF) mixture was detected. This can be attributed to the fact that PPF melts below 400 °C and forms micro-voids. As the temperature increased above 400 °C, the cracks in the concrete expanded further with the increase in thermal expansion in the specimens, and, as a result, the velocity of the passed pulse was delayed [48]. After the M1 series was subjected to temperatures of 600 °C and 800 °C, decreases of 39.80% and 74.14%, respectively, were observed in the UPV results compared to the ambient temperature. This was determined as 40.23% and 70.39% in the M2 series, 40.94% and 70.54% in the M3 series, and 41.62% and 72.50% in the M5 series. As a result, the reference and all fiber series had similar UPV values. Similar findings were reported in the studies of Boğa et al. [46].
Significant improvements in the UPV values of the reference and fibrous series were observed after re-curing with water. The DD value of samples exposed to 400 °C heating varied between 0.08 and 0.11, while after re-curing in water it was approximately between 0.01 and 0.04. Upon exceeding 400 °C, micro-sized cracks formed in the Interface Transition Zone (ITZ) due to the decomposition in the C-S-H structure and the thermal incompatibility between the aggregate and the cement paste [14]. As the temperature increased from 400 °C to 600 °C, the DD increased to a range of approximately 0.39–0.42. A significant improvement was observed in the DD values of the specimens subjected to re-curing after 600 °C, and the DD decreased to between 0.04 and 0.08. He et al. [14] reported in their study that the degree of damage of steel fiber concrete exposed to 600 °C decreased from 0.63 to 0.10 after re-curing with water. Bouhafs et al. [30] determined that the DD value decreased from 0.38 to 0.12 after 600 °C heating. When the temperature rose to 800 °C, deteriorations in the structure of the concrete caused more serious damage. The damage degree of the samples ranged between 0.70 and 0.74. Re-curing after 800 °C heating improved the DD value to between 0.42 and 0.48. In the samples (M3 and M4) where basalt fiber was replaced with steel fiber, no remarkable change was observed in the UPV values both after heating and water re-curing. However, the M5 series with PPF added is the series in which re-water curing is most effective after all temperatures. This is so much so that the UPV value obtained as a result of the water re-curing process after 400 °C heating was almost at the initial value. Evidence of self-healing of some cracks on fiber-reinforced concrete as a result of water re-curing is given in Figure 3. As seen in Figure 3, water voids and cracks are partially and completely filled.
Figure 3.
Crack distribution on the surface after high temperature and re-curing.
3.2. Compressive Strength
As a result of the experimental study, the compressive strength results of the mixture series subjected to different processes are given in Table 5.
Table 5.
Compressive results of mixture specimens.
The compressive strength of the control and fiber-containing mixtures varied between 51.44 and 59.52 MPa. The highest compressive strength value was determined in the M2 series containing single steel fiber, which was 11.74% more compared to the reference specimen. A decrease in the compressive strength of the M3 and M5 mixture series, in which 0.20% BF and PPF were substituted instead of steel fibers, was observed compared to the M2 series. This decrease was determined as 2.90% and 7.86% in the M3 and M5 mixtures, respectively. This can be attributed to the higher strength and elastic modulus values of steel fibers, which are more efficient in healing macro-cracks, compared to basalt and polypropylene fibers [49]. In addition, the compressive strengths of the M3 and M5 series were approximately 9.10% and 4.21% higher than the reference sample, respectively. This can be related to the ability of fiber content in appropriate proportions to delay the spread of cracks in concrete, change their direction, and delay the rate of expansion [49,50]. However, a 2.08% decrease in compressive strength was reported for the M4 series, where the BF volume fraction increased from 0.20 to 0.40 compared to the reference sample. This result can be attributed to the fact that adding more than certain amounts of basalt fiber volume fraction to the concrete will cause defects such as more cracks, voids, and weak interfaces in the concrete due to the decrease in workability, as seen in Table 3, which will reduce the strength. This is consistent with previous studies [51,52,53], which indicated that the increase in basalt fiber content cannot improve or significantly reduce the strength.
The relative compressive strength results of the reference and fibrous mixture series after elevated temperature and re-curing are given in Figure 4.
Figure 4.
Relative residual compressive strength results after heating and re-curing.
The relative residual compressive strengths of the mixture series at 400 °C were between 70.02% and 85.13%. At 400 °C, the reference specimen strength decreased by 19.36% to 42.36 MPa. The M2 mixture series using single steel fiber had the highest compressive strength at 400 °C with 49.17 MPa, and its relative strength was determined as 82.61%. The highest relative strength results were obtained from the M3 and M4 series using basalt fiber, with 83.68% and 85.13%, respectively. This may be an indication that steel fiber prevents the expansion of macrocracks in the cement matrix and basalt fiber prevents the expansion of microcracks and that the use of hybrid fibers has a significant synergistic effect. The most drastic decrease in compressive strength at 400 °C was obtained from the M5 mixture with 0.20% PPF added. The residual relative compressive strength of the M5 mixture was determined as 70.02%. This result indicates that the restriction effect on the spread of microcracks decreased due to the melting and vaporization of PPFs during heating, and the decrease in strength because of the formed porous structure reached a significant level [14,18].
As the concrete samples were exposed to temperatures of 600 °C and higher, the decomposition of aggregates Ca(OH)2 and CaCO3 into lime and water vapor increased the degree of damage remarkably [52]. After temperatures of 600 °C and 800 °C, the residual relative compressive strength of plain concrete was obtained as 42.49% and 19.68%, respectively. The highest residual relative compressive strength at 600 °C was determined in the M4 series as47.24%. This result shows that the use of steel and basalt in appropriate proportions has a positive effect on the residual compressive strength. The minimum decrease in strength when exposed to 800 °C was determined in the control specimen. The decreases in compressive strength of the control, M1, M2, M3, M4, and M5 mix series at 800 °C were determined as 80.32%, 81.99%, 82.35%, 81.34%, and 82.99%, respectively. In contrast to the residual relative compressive strengths at 400 °C and 600 °C, the best result at 800 °C was obtained from the reference concrete. However, despite the decrease in residual strength, the highest compressive strength is still obtained from the M2 series, with 10.70. This means that the serious rustiness of steel fiber beyond 600 °C can only reduce the reinforcement of concrete, not eliminate it [21].
Twenty-eight days of water re-curing showed a significant effect on the compressive strength recovery of thermally damaged non-fibrous and fibrous concrete samples. Among the samples exposed to 400 °C, the strength improvement was partially achieved in the control and steel–basalt fiber samples. The residual relative compressive strength of the M2 mixture containing only steel fiber increased from 82.61% to 86.76%. This increased from 83.68% to 87.16% and from 85.13% to 90.47% in the M3 and M4 series with 0.20% and 0.40% basalt fiber, respectively. This result can be attributed to the fact that the damage between the single steel fiber and hybrid steel–basalt fibers and the cement matrix and ITZ did not reach a serious level [14]. The lowest improvement in strength occurred in the plain concrete sample, with 1.41%. In contrast to these mixture series, the compressive strength of the M5 mixture containing 0.20% PPF increased from 38.40 MPa to 47.95 MPa. This result was recorded as a striking improvement of 17.42% in the relative residual strength. This phenomenon is due to the filling of the voids formed by the melting and evaporating PPF fibers after heating with the rehydrated products. This result is consistent with the studies in the literature [14,32].
The strength recovery rate of the concrete mixture series after re-curing with water continued to increase as the temperature increased. At 600 °C and 800 °C, the residual relative compressive strength of the control sample increased from 42.49 to 57.43% and from 19.68% to 34.91%, and the amount of improvement was calculated as 14.94% and 15.23%, respectively. The fiber-added mixtures had a compressive strength of 600 °C. The strength improvements at 600 °C were better compared to the control sample. The residual relative compressive strength of the M2 mixture series improved by 19.45% and increased up to 63.59%. The strength recovery rates of the M3 and M4 series at 600 °C were 17.10% and 18.83%, respectively. This remarkable recovery can be attributed to the formation of rehydration products such as AFt and C-S-H and the carbonation of Ca(OH)2 and CaO. The recovery rates of hybrid fiber-reinforced mixtures at 800 °C approached each other and ranged between 13.05% and 14.85%.
3.3. Flexural Strength
Table 6 shows the flexural strength results for the non-fibrous and fibrous mixture series. As seen in Table 6, the addition of different fibers to concrete mixtures has different improvement effects on the flexural strength. The bridging effect due to the fiber addition increased the crack resistance and, consequently, the flexural strength was increased. The highest flexural strength value before heating was obtained from the M2 series, with 10.07 MPa. This result was approximately 58% higher than the reference specimen. Decreases in flexural strength were observed with the addition of 0.20% BF (M3) and 0.20% PPF (M5) substituted for steel fiber. However, a remarkable increase of 46% and 39%, respectively, was detected in the M3 and M5 mixture compared to the control specimen. BF has a more pronounced restriction on the initiation and propagation of microcracks, while PPF has a more pronounced restriction on the expansion of macrocracks [54]. As a result, the hybrid use of BF with SF has a synergistic positive effect in terms of bridging micro- and macrocracks (Figure 5). With the increase in basalt fiber content from 0.20% to 0.40%, the flexural strength decreased from 9.28 MPa to 7.65 MPa. This value was 20.66% higher compared to the non-fiber mixture. This result shows the importance of SF in improving the flexural strength at room temperature.
Table 6.
Flexural strength results of mixture specimens.
Figure 5.
Bridging effect of fibers after flexural test of M4 sample.
The residual relative flexural strength (%) results of the mixtures used in this study are given in Figure 6. The flexural strength of specimen M1 at 400 °C decreased by 43.03%, while this rate was determined as 32.99% in specimen M2. This result can be attributed to the fact that the addition of steel fiber restricts the volume change in concrete during the heating increase and its higher thermal conductivity than the cement matrix and aggregate [55]. After the M1 mixture specimen, the highest decrease in flexural strength at 400 °C was obtained from the M5 specimen containing 0.20% PPF. The decrease in strength of the M5 (%0.60 SF + %0.20 PPF) was 39.46%. In concretes to which PPF is added, the pores formed by the melting of PPF after high temperatures [56,57] have a negative effect on the performance under tension, and the residual flexural strength decreases significantly at temperatures around 400 °C. Although the highest flexural strength at 400 °C was obtained from the M2 series, the least decrease in strength was observed in the M3 mixture, with 14.66%. The decrease in strength of the M4 mixture was determined as 31.72%. This result is evidence that basalt fiber is effective in bridging microcracks formed at 400 °C.
Figure 6.
Relative residual flexural strength results.
Significant decreases in flexural strength were measured for all series above 400 °C. This can be attributed to the decomposition of Ca(OH)2 and CaCO3 above 400 °C and the decomposition of C-S-H above 600 °C [18,58]. Series M1 exhibited 69.89% and 81.32% reductions in flexural strength at 600 °C and 800 °C, respectively. These decrease rates were calculated as 58.92% and 79.97% at 600 °C and 800 °C in the M2 sample, respectively. As the temperature to which the specimens were exposed increased, the relative residual flexural strength values of the fiber and non-fiber specimens began to approach each other. This result is an indication that the bonds between the matrix and fibers were disrupted due to the increase in the oxidation rate on the surface of the steel fibers along with the deterioration in the concrete [18,21]. At room temperature, the strength of the M2 mixture was approximately 7.82% and 24.81% higher than the M3 and M4 mixtures, respectively. These rates decreased to 5.13% and 19.92% and 2.38% and 11.11% after 600 °C and 800 °C. This is an indication that the use of BF has positive effects on strength at 600 °C and above. Basalt fiber exhibits approximately 10% strength loss at 600 °C [22], which strengthens it against high temperatures by restricting crack expansion against thermal damage. This result shows that the use of fibers with high tensile strength and very good thermal stability, such as SF and BF, positively affects the strength.
Re-curing resulted in increased strength of concrete in all batches. This resulted in the rehydration of thermally damaged cement particles and newly formed crystals that bridged and narrowed the cracks [35]. The average flexural strength of mixture M1 increased from 3.61 and 1.91 MPa to 4.07 and 3.70 MPa at 400 °C and 600 °C, respectively, which reached 64.29% and 58.32% of its value at room temperature. The relative strengths recovered in the M2 series were calculated as around 80.69% and 71.86% at 400 °C and 600 °C, respectively. This increase in the M2 mixture compared to the control specimen is due to the improvement in the fibers and matrix ITZ bond strength by the rehydration products formed as a result of re-curing [35]. A similar trend was observed in the M3 mixture containing %0.20 basalt fibers as in the M2 mixture. The average flexural strength of mixture M3 increased from 6.34 and 3.92 MPa to 7.39 and 6.53 MPa at 400 °C and 600 °C, respectively, which reached 79.63% and 70.38% of its value at ambient temperature. The relative strength recovered by increasing the basalt fiber ratio from 0.20% to 0.40% at 400 °C and 600 °C was calculated as 76.07% and 66.16%, respectively. Compared to the mixtures containing steel and basalt fibers, the relative strength recovery was lower in the M5 mixture using 0.20% PPF, at 70.48% and 63.57%. This result can be attributed to the decrease in the total volume of fibers to bridge the cracks due to the melting of the PPFs.
As the temperature increased to 800 °C, the relative strength recovery rate of the M1 and M2 series approached each other and became 43.17% and 43.63%, respectively. This situation shows that the SF lost its favorable effect in terms of improving the strength. This may be due to the significant deterioration at the matrix-and-fiber interface resulting from remarkable oxidation of the steel fibers. The residual relative strength ratio of the M3 and M4 series containing basalt fiber was higher than that of the M2 sample. This is evidence that basalt fiber is more effective at temperatures above 600 °C, similar to the behavior after high temperature. As a result, higher values were obtained in all series with water re-curing than the flexural strength obtained at the previous temperature. For example, the flexural strength of the M2 series at 400 °C was 6.75 MPa, while this value was determined as 7.23 MPa after re-curing at 600 °C.
3.4. Flexural Behavior and Toughness
The load–mid-span deflection curves for all test series are shown in Figure 7.
Figure 7.
Load–mid-span deflection curves for all test series.
According to Figure 7a, plain concrete exhibited deflection softening behavior with a sharp decrease without showing hardness and toughness after cracking. The M2, M3, and M5 samples exhibited a certain deflection hardening by showing an increase in strength after the first crack. In the literature [59], it has been reported that deflection hardening behavior for concretes produced with normal-strength steel fibers occurs when using at least 1% steel fibers. The reason why the M3 and M5 mixtures showed deflection hardening behavior despite the decrease in the steel fiber ratio to 0.60% can be attributed to the positive interaction between steel–basalt and steel–polypropylene fiber. However, the M4 sample, where the steel fiber ratio was decreased to 0.40%, exhibited a more brittle behavior after cracking and similar deflection hardening behavior was not observed. This situation is an indication that there is a change in deflection pattern when the steel fiber ratio decreases below 0.60%. In addition, this result can be attributed to the inadequacy of bridging macrocracks with the increase in the basalt fiber ratio.
With increasing temperature, the initial slopes of the load–deflection curves decreased. These decreases can be attributed to the formation of cracks of different sizes due to thermal stresses and increase in porosity due to heating [18]. At 400 °C, only deflection hardening was observed in the flexural behavior of the M1 sample. Although the M3 and M4 samples recovered after the first crack, they could not exhibit a second peak load. The M5 series, which showed deflection hardening before heating, also exhibited deflection softening after 400 °C. This situation can be attributed to the decrease in the bond strength between the fibers and the matrix after heating. Deflection softening behavior was obtained in all series after 600 °C and 800 °C heating. Suwanvitaya and Chotickai [18] detected that the steel fiber ratio had a minimum limit of 0.9% to improve the post-cracking strength of heated samples with steel fibers.
Re-curing the fiber concretes with water after heating changed the behavior of the load–deflection curve after the peak load. Deflection softening behavior was observed in thermally damaged fiber concrete specimens exposed to heating. This situation caused an increase in the flexural strength of the concrete due to the rehydration of cement particles and new phases in the concrete matrix as a result of re-curing, while also increasing the deflection. As a result of the deterioration of the fibers exposed to heating due to oxidation, melting, etc., could not completely accompany the recovery of the concrete and a sharp decrease occurred after the peak load. This sharp decrease can be attributed to the inhomogeneity of the rehydrated compositions and the rapid propagation of micro–macro-size cracks [35].
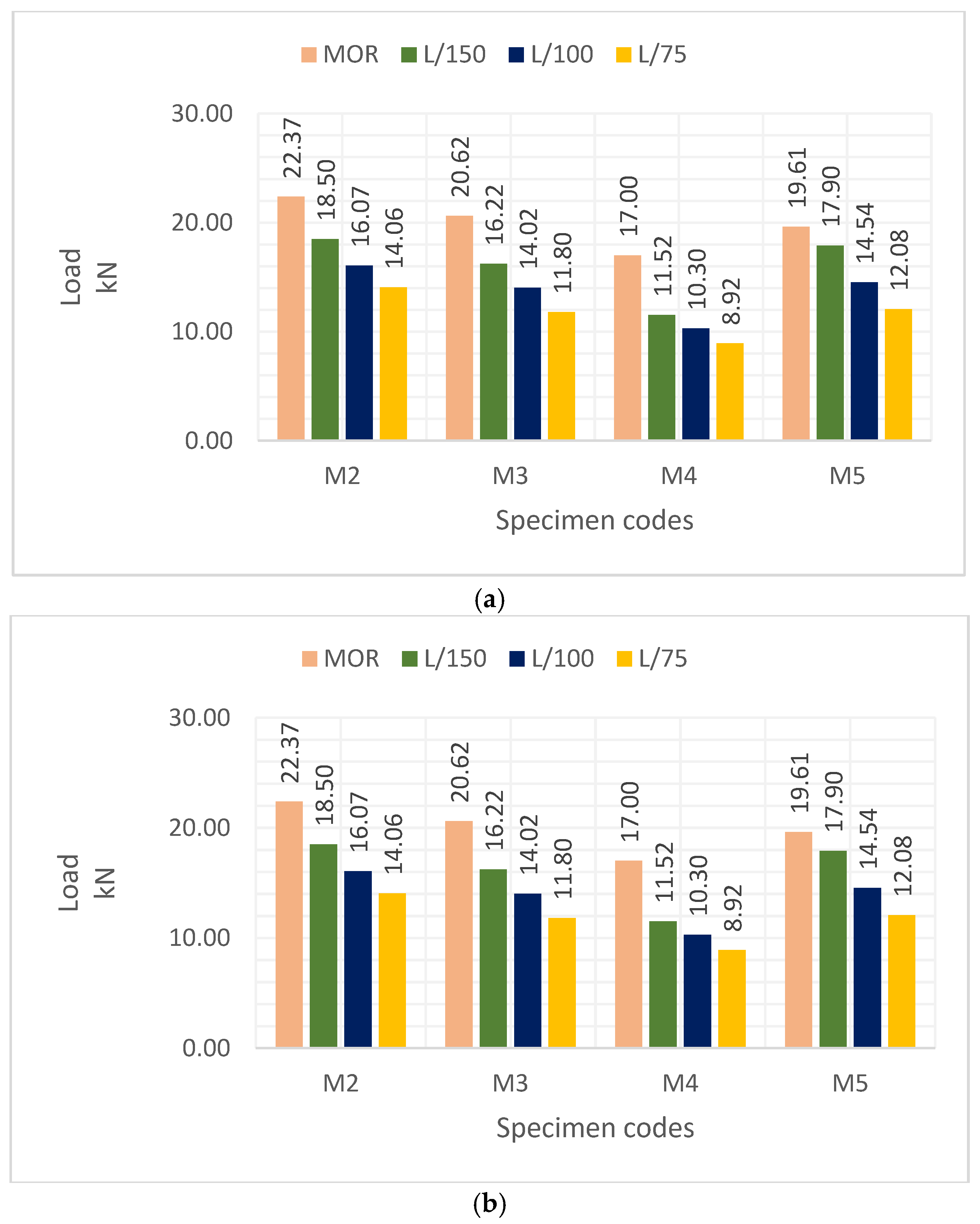
Toughness is an important indicator of the energy absorption ability of fiber concretes in particular, and can be obtained from the area under the load–deflection curve. Since single and hybrid fiber concretes exhibit significant deflection–hardening behavior, the toughness and load carrying capacity at the modulus of rupture (MOR) was investigated. In addition, since concretes using steel fibers show significant load carrying capacity even at large deflections, the load carrying and toughness parameters were calculated at the L/150 (2 mm), L/100 (3 mm), and L/75 (4 mm) deflection points suggested in previous studies [60,61]. In Figure 8, the load values and toughness of the fibrous specimens at various deflection points before heating are given. Since plain concrete exhibited brittle fracture, only the load carrying capacity and toughness at the MOR were determined. PMOR and TMOR values were calculated as 14.08 kN and 4.95 kN mm, respectively. As seen in Figure 8, the M2 specimen with 0.80% steel fiber exhibited the highest load carrying capacity and toughness at all target points. As basalt fiber was added to the mixtures, the load and toughness decreased. For example, while the highest load and toughness values of the M2 specimen at the MOR were 22.37 kN and 21.39 kN mm, these values were 7.82% and 1.26% less in the M3 sample, respectively. The load and toughness values of the specimen with 0.20% PPF (M5) at the MOR were 12.34% and 15.05% less compared to the M2 mixture. The M3 series showed more load and toughness at the MOR compared to the M5 series, while the M5 series started to show higher load and toughness values with the progression in the deflection points (L/150, L/100, and L/75). This finding is consistent with the result stated by Liang et al. [54] that basalt fibers have a restrictive effect on the initiation and propagation of micro-sized cracks, while polypropylene fibers show an inhibiting effect on the expansion of macro-sized cracks. In addition, the basalt fiber samples exhibit poor response by causing damage in the form of fiber rupture after cracking [5]. On the other hand, unlike the crimped ends of steel fibers that provide better anchorage to the cement matrix, basalt fibers are straight and do not have sufficient bond strength, which are possible reasons accounting for this situation. With the increase in basalt fiber content to 0.40%, remarkable decreases in toughness values occurred. Decreases of 30.26%, 32.80%, and 34.75% were reported in the TL/150, TL/100, and TL/75 values of the M4 series, respectively, compared to the M2 mixture.
Figure 8.
Effect of fiber mixture series on flexural properties of concrete before heating: (a) load carrying capacity; (b) toughness.
The load values and toughness of the fibrous specimens at various deflection points after exposure to temperatures of 400 °C, 600 °C, and 800 °C and after re-curing are given in Figure 9, Figure 10 and Figure 11. With the increase in temperature, decreases were obtained in the load carrying and toughness capacities of all the mixture series. Only the P and T values of the reference specimen (M1) at the MOR were calculated. The PMOR and TMOR values for 400 °C were 8.02 kN and 2.30 kN mm, respectively. The PMOR, PL/150, PL/100, and PL/75 values of the M2 mixture exposed to 400 °C were measured as 14.99, 12.91, 11.14, and 9.29 MPa, respectively. The toughness values of the M2 series at 400 °C were determined as 15.23, 21.77, 33.79, and 43.93 kN mm at the TMOR, TL/150, TL/100, and TL/75 points. Compared to room temperature, 28.80%, 29.54%, 30.52%, and 32.06% decreases in toughness were detected after 400 °C at the target deflection points for the M2 mixture. With the addition of BF and PPF to the mixtures, decreases in load carrying capacity were observed. The PMOR, PL/150, PL/100, and PL/75 values of the M3 and M5 mixtures exposed to 400 °C were calculated as 14.08, 12.02, 10.94, and 8.67 MPa and 11.86, 9.84, 7.50, and 6.53 Mpa, respectively. Similar to the load capacities, the toughness values were also higher in the M3 series than in the M5 series at all deflection points. For example, the TL/100 and TL/75 values of the M3 series were 13.48% and 18.50% higher than those of the M5 sample. At 400 °C, basalt fibers had a positive effect on steel fibers, bridging cracks and increasing toughness, while polypropylene fibers were melted at the target temperature.
Figure 9.
Effect of fiber mixture series on flexural properties of concrete after 400 °C and re-curing: (a) load carrying capacity; (b) toughness.
Figure 10.
Effect of fiber mixture series on flexural properties of concrete after 600 °C and re-curing: (a) load carrying capacity; (b) toughness.
Figure 11.
Effect of fiber mixture series on flexural properties of concrete after 800 °C and re-curing: (a) load carrying capacity; (b) toughness.
After exposure to 400 °C, water re-curing resulted in significant improvement in the load carrying and toughness of concrete. The PMOR and TMOR of plain concrete were measured as 9.05 kN and 2.43 kN mm, which were 12.84% and 5.65% higher than before re-curing. However, re-curing with water exhibited more positive effects on fibrous concretes. It provided a 20.41%, 24.09%, 24.77%, and 27.02% improvement in the PMOR, PL/150, PL/100, and PL/75 deflection points of the M2 mix series, respectively. The TL/100 and TL/75 values of the M2 mixture were increased by 28.82% and 28.43%, respectively, compared to before re-curing. However, a slight decrease was observed in the TMOR value. This can be attributed to the increase in the concrete stiffness after water re-curing. As seen in Figure 9a, the improvement rates in p values in the M3 series with water re-curing after 400 °C were between 10.64% and 23.64%. The recovery rates of the M3 series after water re-curing at the TL/100 and TL/75 values were determined as 22.37% and 22.18%, respectively. As the basalt fiber content increased to 0.40%, the improvement provided by water re-curing decreased. The toughness values at the L/100 and L/75 deflection points of the M4 series increased from 22.43 to 26.52 kN mm and 29.17 to 33.24 kN mm, respectively. As a result of these values, the improvement rates were determined as 18.23% and 13.95%. However, especially in the load carrying capacity, decreases were detected at L/150, L/100, and L/75 compared to the pre-re-curing values. This situation can be associated with the increase in strength together with the improvement in the concrete matrix and the weak response and sudden rupture of basalt fibers under this increase in stress. The highest improvements at 400 °C were obtained from the M5 mixture. The TL/100 and TL/75 values of the M5 series were 38.36% and 37.38% higher, respectively.
The toughness values of mixture M1 determined at the MOR after heating at 600 °C and 800 °C were 1.18 and 0.80 kN mm, respectively. These values increased to 1.84 and 1.52 kN mm as a result of re-curing. With the increase in temperature to 600 °C and 800 °C, the highest load carrying capacity and toughness values were obtained from M2 series. The PL/75 and TL/75 values of the M2 series were 4.85 kN and 26.37 kN mm at 600 °C and 2.01 kN and 12.38 kN mm at 800 °C. The TL/75 values of mixturess M3, M4, and M5 at 600 °C were calculated as 22.10, 16.20, and 17.84 kN mm. As the temperature increased to 800 °C, these values were calculated as 11.78, 8.57, and 6.29 kN mm.
As seen in Figure 10 and Figure 11, re-curing has a significant effect on load carrying and toughness properties. Unlike 400 °C, significant increases in PMOR values were observed at 600 and 800 °C. This increase was determined as approximately 74%, 66%, 52%, and 65% at 600 °C and 118%, 122%, 116%, and 171% at 800 °C for the M2, M3, M4, and M5 series, respectively. However, significant decreases were observed in these rates with the increase in deflection points. For example, the improvements in the PL/75 values of the M2 series at 600 °C and 800 °C were approximately 34% and 24%. Especially for the M4 series, the P values at some deflection points were lower compared to before curing at both 600 °C and 800 °C, while this was true for all series at 800 °C. This result is due to the fact that although the concrete matrix shows a significant improvement as a result of re-curing with water, the fibers that undergo deterioration after heating do not show the same synergistic effect with the concrete. Figure 12 shows the fracture section features of the specimens. It is seen that the substances that are separated and dried as a result of re-curing in the concrete are rehydrated and re-form the matrix phases. However, it shows that fewer fibers are pulled out and most of them are broken as the temperature increases.
Figure 12.
Section features of specimens.
After 400 °C and 600 °C, re-curing caused significant increase in toughness values. After 400 °C and 600 °C, 31.55% and 44.23% improvements were recorded in the TL/150 value of the M2 mixture, respectively. After 600 °C re-curing, the TL/150 value showed a 34.16% improvement in the M3 mixture with 0.20% BF and a 29.15% improvement in the M4 mixture with 0.40% BF. The series in which re-curing after 400 °C and 600 °C was most effective was M5. The TL/150 values of the M5 series showed improvements of 39.45% at 400 °C and 49.14% at 600 °C. This situation can be attributed to the filling of the voids created by the evaporated polypropylene fibers with rehydrated products as a result of water re-curing [14].
4. Conclusions
This study investigated the toughness and mechanical properties of specimens without fiber, with steel fiber, and with steel–basalt hybrid fiber after ambient temperature and exposure to elevated temperatures. It was conducted to understand the effect of water re-curing on the specimens after heating. In addition, a mixture was prepared with steel–polypropylene hybrid fiber content to make a comparison with steel-basalt fiber. The following findings were obtained as a result of the experimental study:
- At ambient temperature, fiber content slightly decreased the UPV values of the specimens compared to the reference mixture. As the specimens were exposed to temperature, remarkable decreases in the UPV results were observed, especially at 600 °C and above.
- An increase in compressive strength was obtained in all series except for the M4 mixture with 0.40% basalt fiber content at room temperature. This situation shows the negative effect of increasing basalt fiber content on compressive strength. The use of fibers caused significant improvements, especially in terms of flexural strength. Decreases in the strength of all series were observed with increasing temperatures. However, especially at temperatures above 600 °C, basalt fiber contributed to reducing the residual flexural strength loss. In mixtures where the same proportion of basalt and polypropylene fiber was used, basalt fiber gave better results in residual flexural strength.
- In contrast to flexural strength, polypropylene fiber gave better results than basalt fiber in terms of load carrying and toughness after the peak of the load–deflection curve at room temperature. This situation can be attributed to the weak response of basalt fiber specimens after peak load and fiber breakage.
- Water re-curing had a significant effect in recovering the performance of thermally damaged fibrous and non-fibrous concretes after heating. This recovery was especially evident at 600 °C and above.
- In terms of flexural strength, after exposure to 600 °C, the reference specimen reached 58.32% of its initial strength, while the M2 mixture reached 71.86%. These values were 30.11% and 41.08%, respectively, before re-curing. Re-curing after 800 °C brought the recovery rates of the mixtures closer to each other.
- Significant increases were obtained in the toughness properties of the specimens as a result of re-curing. However, although re-curing at temperatures of 600 °C and above caused a significant increase in the load carrying capacity at the MOR, there were sudden decreases in the load values at the L/100 and L/75 deflection points and even lower than the before-re-curing temperature at some points. This situation can be attributed to the fact that despite the improvement in the matrix, the fibers could not accommodate the sudden stress increase in the concrete due to the deterioration of the fibers at high temperatures.
Author Contributions
Conceptualization, Z.Ç.; methodology, Z.Ç. and Y.U.; validation, Z.Ç. and Y.U; investigation, Z.Ç. and Y.U.; data curation, Y.U.; writing—original draft preparation, Z.Ç. and Y.U.; writing—review and editing, Z.Ç.; visualization, Z.Ç. and Y.U.; supervision, Z.Ç.; project administration, Z.Ç.; funding acquisition, Z.Ç. All authors have read and agreed to the published version of the manuscript.
Funding
This research received no external funding.
Institutional Review Board Statement
Not applicable.
Informed Consent Statement
Not applicable.
Data Availability Statement
Data is contained within the article.
Acknowledgments
This research was supported by the research project “High- Temperature Resistance of Steel–-Basalt Hybrid Fiber Concretes” from the Atatürk University, Scientific Research Projects (BAP) Program in Erzurum, Turkey (Grant number FYL-2024-13225).
Conflicts of Interest
The authors declare no conflict of interest.
References
- Kodur, V.K.R.; Raut, N.K.; Mao, X.Y.; Khaliq, W. Simplified approach for evaluating residual strength of fire-exposed reinforced concrete columns. Mater. Struct. 2013, 46, 2059–2075. [Google Scholar] [CrossRef]
- Babalola, O.E.; Awoyera, P.O.; Le, D.H.; Romero, L.B. A review of residual strength properties of normal and high strength concrete exposed to elevated temperatures: Impact of materials modification on behaviour of concrete composite. Constr. Build. Mater. 2021, 296, 123448. [Google Scholar] [CrossRef]
- Memon, S.A.; Shah SF, A.; Khushnood, R.A.; Baloch, W.L. Durability of sustainable concrete subjected to elevated temperature—A review. Constr. Build. Mater. 2019, 199, 435–455. [Google Scholar] [CrossRef]
- Wu, H.; Lin, X.; Zhou, A. A review of mechanical properties of fibre reinforced concrete at elevated temperatures. Cem. Concr. Res. 2020, 135, 106117. [Google Scholar] [CrossRef]
- Branston, J.; Das, S.; Kenno, S.Y.; Taylor, C. Mechanical behaviour of basalt fibre reinforced concrete. Constr. Build. Mater. 2016, 124, 878–886. [Google Scholar] [CrossRef]
- Kang, S.T.; Choi, J.I.; Koh, K.T.; Lee, K.S.; Lee, B.Y. Hybrid effects of steel fiber and microfiber on the tensile behavior of ultra-high performance concrete. Compos. Struct. 2016, 145, 37–42. [Google Scholar] [CrossRef]
- Solhmirzaei, R.; Kodur, V.K.R. Modeling the response of ultra high performance fiber reinforced concrete beams. Procedia Eng. 2017, 210, 211–219. [Google Scholar] [CrossRef]
- Çelik, Z.; Bingöl, A.F. Fracture properties and impact resistance of self-compacting fiber reinforced concrete (SCFRC). Mater. Struct. 2020, 53, 1–16. [Google Scholar] [CrossRef]
- Chen, B.; Liu, J. Residual strength of hybrid-fiber-reinforced high-strength concrete after exposure to high temperatures. Cem. Concr. Res. 2004, 34, 1065–1069. [Google Scholar] [CrossRef]
- Dong, J.F.; Wang, Q.Y.; Guan, Z.W.; Chai, H.K. High-temperature behaviour of basalt fibre reinforced concrete made with recycled aggregates from earthquake waste. J. Build. Eng. 2022, 48, 103895. [Google Scholar] [CrossRef]
- Choumanidis, D.; Badogiannis, E.; Nomikos, P.; Sofianos, A. The effect of different fibres on the flexural behaviour of concrete exposed to normal and elevated temperatures. Constr. Build. Mater. 2016, 129, 266–277. [Google Scholar] [CrossRef]
- Sukontasukkul, P.; Pomchiengpin, W.; Songpiriyakij, S. Post-crack (or post-peak) flexural response and toughness of fiber reinforced concrete after exposure to high temperature. Constr. Build. Mater. 2010, 24, 1967–1974. [Google Scholar] [CrossRef]
- Hossain, K.M.A.; Lachemi, M.; Sammour, M.; Sonebi, M. Strength and fracture energy characteristics of self-consolidating concrete incorporating polyvinyl alcohol, steel and hybrid fibres. Constr. Build. Mater. 2013, 45, 20–29. [Google Scholar] [CrossRef]
- He, F.; Biolzi, L.; Carvelli, V. Effects of elevated temperature and water re-curing on the compression behavior of hybrid fiber reinforced concrete. J. Build. Eng. 2023, 67, 106034. [Google Scholar] [CrossRef]
- Lau, A.; Anson, M. Effect of high temperatures on high performance steel fibre reinforced concrete. Cem. Concr. Res. 2006, 36, 1698–1707. [Google Scholar] [CrossRef]
- Suhaendi, S.L.; Horiguchi, T. Effect of short fibers on residual permeability and mechanical properties of hybrid fibre reinforced high strength concrete after heat exposition. Cem. Concr. Res. 2006, 36, 1672–1678. [Google Scholar] [CrossRef]
- Agra, R.R.; Serafini, R.; de Figueiredo, A.D. Effect of high temperature on the mechanical properties of concrete reinforced with different fiber contents. Constr. Build. Mater. 2021, 301, 124242. [Google Scholar] [CrossRef]
- Suwanvitaya, P.; Chotickai, P. Effect of elevated temperature exposure on the flexural behavior of steel–polypropylene hybrid fiber-reinforced concrete. Mater. Struct. 2024, 57, 43. [Google Scholar] [CrossRef]
- Mezzal, S.K.; Al-Azzawi, Z.; Najim, K.B. Effect of discarded steel fibers on impact resistance, flexural toughness and fracture energy of high-strength self-compacting concrete exposed to elevated temperatures. Fire Saf. J. 2021, 121, 103271. [Google Scholar] [CrossRef]
- Chen, G.M.; Yang, H.; Lin, C.J.; Chen, J.F.; He, Y.H.; Zhang, H.Z. Fracture behaviour of steel fibre reinforced recycled aggregate concrete after exposure to elevated temperatures. Constr. Build. Mater. 2016, 128, 272–286. [Google Scholar] [CrossRef]
- Cao, K.; Liu, G.; Li, H.; Huang, Z. Mechanical properties and microstructures of Steel-basalt hybrid fibers reinforced Cement-based composites exposed to high temperatures. Constr. Build. Mater. 2022, 341, 127730. [Google Scholar] [CrossRef]
- Alaskar, A.; Albidah, A.; Alqarni, A.S.; Alyousef, R.; Mohammadhosseini, H. Performance evaluation of high-strength concrete reinforced with basalt fibers exposed to elevated temperatures. J. Build. Eng. 2021, 35, 102108. [Google Scholar] [CrossRef]
- Lu, Z.; Xian, G.; Li, H. Effects of elevated temperatures on the mechanical properties of basalt fibers and BFRP plates. Constr. Build. Mater. 2016, 127, 1029–1036. [Google Scholar] [CrossRef]
- Lu, L.; Han, F.; Wu, S.; Qin, Y.; Yuan, G.; Doh, J.H. Experimental study on durability of basalt fiber concrete after elevated temperature. Struct. Concr. 2022, 23, 682–693. [Google Scholar] [CrossRef]
- Wu, X.; Cai, Z.; Xie, Q.; Chai, X.; Yu, K.; Chen, W. Tensile behavior of high-performance hybrid steel-basalt fibers reinforced cementitious composites after high-temperature exposure. Constr. Build. Mater. 2024, 426, 136059. [Google Scholar] [CrossRef]
- Khan, M.; Cao, M.; Chaopeng, X.; Ali, M. Experimental and analytical study of hybrid fiber reinforced concrete prepared with basalt fiber under high temperature. Fire Mater. 2022, 46, 205–226. [Google Scholar] [CrossRef]
- Li, L.; Shi, L.; Wang, Q.; Liu, Y.; Dong, J.; Zhang, H.; Zhang, G. A review on the recovery of fire-damaged concrete with post-fire-curing. Constr. Build. Mater. 2020, 237, 117564. [Google Scholar] [CrossRef]
- Wang, H.; Lyu, H.; Liu, T.; Li, Y.; Tan, K.H. Effect of post-fire curing on compressive strength of ultra-high performance concrete and mortar. Constr. Build. Mater. 2022, 346, 128447. [Google Scholar] [CrossRef]
- Li, Y. Effect of post-fire curing and silica fume on permeability of ultra-high performance concrete. Constr. Build. Mater. 2021, 290, 123175. [Google Scholar] [CrossRef]
- Bouhafs, F.; Ezziane, M.; Ayed, K.; Leklou, N.; Mouli, M. Effect of water re-curing on the physico-mechanical and microstructural properties of self-compacting concrete reinforced with steel fibers after exposure to high temperatures. Constr. Build. Mater. 2024, 413, 134805. [Google Scholar] [CrossRef]
- Poon, C.S.; Azhar, S.; Anson, M.; Wong, Y.L. Strength and durability recovery of fire-damaged concrete after post-fire-curing. Cem. Concr. Res. 2001, 31, 1307–1318. [Google Scholar] [CrossRef]
- Akca, A.H.; Özyurt, N. Effects of re-curing on microstructure of concrete after high temperature exposure. Constr. Build. Mater. 2018, 168, 431–441. [Google Scholar] [CrossRef]
- Ming, X.; Cao, M.; Lv, X.; Yin, H.; Li, L.; Liu, Z. Effects of high temperature and post-fire-curing on compressive strength and microstructure of calcium carbonate whisker-fly ash-cement system. Constr. Build. Mater. 2020, 244, 118333. [Google Scholar] [CrossRef]
- Poon, C.S.; Azhar, S. Deterioration and recovery of metakaolin blended concrete subjected to high temperature. Fire Technol. 2003, 39, 35–45. [Google Scholar] [CrossRef]
- He, F.; Biolzi, L.; Carvelli, V. Effects of elevated temperature and water re-curing on fracture process of hybrid fiber reinforced concretes. Eng. Fract. Mech. 2022, 276, 108885. [Google Scholar] [CrossRef]
- ASTM C143-12; Standard test method for slump of hydraulic-cement concrete. American Society for Testing and Materials (ASTM): Philadelphia, PA, USA, 2012.
- Jiang, C.; Fan, K.; Wu, F.; Chen, D. Experimental study on the mechanical properties and microstructure of chopped basalt fibre reinforced concrete. Mater. Des. 2014, 58, 187–193. [Google Scholar] [CrossRef]
- ASTM C 597; Standard test method for pulse velocity through concrete. American Society for Testing and Materials (ASTM): Philadelphia, PA, USA, 2016.
- Knab, L.I.; Blessing, G.V.; Clifton, J.R. Laboratory evaluation of ultrasonics for crack detection in concrete. J. Proc. 1983, 80, 17–27. [Google Scholar]
- BS EN, 12390–12393; Testing hardened concrete. Compressive strength of test specimens. British Standard Institution: London, UK, 2009.
- ASTM C1609; Standard test method for flexural performance of fiber reinforced concrete (using beam with third-point loading). American Society for Testing and Materials (ASTM): Philadelphia, PA, USA, 2011.
- Nematzadeh, M.; Tayebi, M.; Samadvand, H. Prediction of ultrasonic pulse velocity in steel fiber-reinforced concrete containing nylon granule and natural zeolite after exposure to elevated temperatures. Constr. Build. Mater. 2021, 273, 121958. [Google Scholar] [CrossRef]
- do Nascimento Moura, M.A.; Leal, C.E.F.; Júnior, A.L.M.; dos Santos Ferreira, G.C.; Parsekian, G.A. Post-fire prediction of residual compressive strength of mortars using ultrasonic testing. Constr. Build. Mater. 2024, 416, 135273. [Google Scholar] [CrossRef]
- Mpalaskas, A.C.; Kytinou, V.K.; Zapris, A.G.; Matikas, T.E. Optimizing building rehabilitation through nondestructive evaluation of fire-damaged steel-fiber-reinforced concrete. Sensors 2024, 24, 5668. [Google Scholar] [CrossRef]
- Koksal, F.; Kocabeyoglu, E.T.; Gencel, O.; Benli, A. The effects of high temperature and cooling regimes on the mechanical and durability properties of basalt fiber reinforced mortars with silica fume. Cem. Concr. Compos. 2021, 121, 104107. [Google Scholar] [CrossRef]
- Boğa, A.R.; Karakurt, C.; Şenol, A.F. The effect of elevated temperature on the properties of SCC’s produced with different types of fibers. Constr. Build. Mater. 2022, 340, 127803. [Google Scholar] [CrossRef]
- Savva, A.; Manita, P.; Sideris, K.K. Influence of elevated temperatures on the mechanical properties of blended cement concretes prepared with limestone and siliceous aggregates. Cem. Concr. Compos. 2005, 27, 239–248. [Google Scholar] [CrossRef]
- Sadrmomtazi, A.; Gashti, S.H.; Tahmouresi, B. Residual strength and microstructure of fiber reinforced self-compacting concrete exposed to high temperatures. Constr. Build. Mater. 2020, 230, 116969. [Google Scholar] [CrossRef]
- Afroughsabet, V.; Ozbakkaloglu, T. Mechanical and durability properties of high-strength concrete containing steel and polypropylene fibers. Constr. Build. Mater. 2015, 94, 73–82. [Google Scholar] [CrossRef]
- Yan, H.; Sun, W.; Chen, H. The effect of silica fume and steel fiber on the dynamic mechanical performance of high-strength concrete. Cem. Concr. Res. 1999, 29, 423–426. [Google Scholar] [CrossRef]
- Wang, D.; Ju, Y.; Shen, H.; Xu, L. Mechanical properties of high performance concrete reinforced with basalt fiber and polypropylene fiber. Constr. Build. Mater. 2019, 197, 464–473. [Google Scholar] [CrossRef]
- Yao, Y.; Wang, B.; Zhuge, Y.; Huang, Z. Properties of hybrid basalt-polypropylene fiber reinforced mortar at different temperatures. Constr. Build. Mater. 2022, 346, 128433. [Google Scholar] [CrossRef]
- Çelik, Z.; Bingöl, A.F. Effect of basalt, polypropylene and macro-synthetic fibres on workability and mechanical properties of self-compacting concrete. Chall. J. Struct. Mech 2019, 5, 35–41. [Google Scholar] [CrossRef]
- Liang, N.; Geng, S.; Mao, J.; Liu, X.; Zhou, X. Investigation on cracking resistance mechanism of basalt-polypropylene fiber reinforced concrete based on SEM test. Constr. Build. Mater. 2024, 411, 134102. [Google Scholar] [CrossRef]
- Ma, Q.; Guo, R.; Zhao, Z.; Lin, Z.; He, K. Mechanical properties of concrete at high temperature—A review. Constr. Build. Mater. 2015, 93, 371–383. [Google Scholar] [CrossRef]
- Peng, G.F.; Yang, W.W.; Zhao, J.; Liu, Y.F.; Bian, S.H.; Zhao, L.H. Explosive spalling and residual mechanical properties of fiber-toughened high-performance concrete subjected to high temperatures. Cem. Concr. Res. 2006, 36, 723–727. [Google Scholar] [CrossRef]
- Kim, Y.S.; Lee, T.G.; Kim, G.Y. An experimental study on the residual mechanical properties of fiber reinforced concrete with high temperature and load. Mater. Struct. 2013, 46, 607–620. [Google Scholar] [CrossRef]
- Peng, G.F.; Huang, Z.S. Change in microstructure of hardened cement paste subjected to elevated temperatures. Constr. Build. Mater. 2008, 22, 593–599. [Google Scholar] [CrossRef]
- Yoo, D.Y.; Yoon, Y.S.; Banthia, N. Predicting the post-cracking behavior of normal-and high-strength steel-fiber-reinforced concrete beams. Constr. Build. Mater. 2015, 93, 477–485. [Google Scholar] [CrossRef]
- Skazlić, M.; Bjegović, D. Toughness testing of ultra high performance fibre reinforced concrete. Mater. Struct. 2009, 42, 1025–1038. [Google Scholar] [CrossRef]
- Yoo, D.Y.; Kang, S.T.; Yoon, Y.S. Enhancing the flexural performance of ultra-high-performance concrete using long steel fibers. Compos. Struct. 2016, 147, 220–230. [Google Scholar] [CrossRef]
Disclaimer/Publisher’s Note: The statements, opinions and data contained in all publications are solely those of the individual author(s) and contributor(s) and not of MDPI and/or the editor(s). MDPI and/or the editor(s) disclaim responsibility for any injury to people or property resulting from any ideas, methods, instructions or products referred to in the content. |
© 2025 by the authors. Licensee MDPI, Basel, Switzerland. This article is an open access article distributed under the terms and conditions of the Creative Commons Attribution (CC BY) license (https://creativecommons.org/licenses/by/4.0/).











