In Myotonic Dystrophy Type 1 Head Repositioning Errors Suggest Impaired Cervical Proprioception
Abstract
1. Introduction
2. Materials and Methods
2.1. Participants
- Genetically confirmed patients with DM1, classified according to the number of CTG repeats: E1 (CTG repeats: 50–150), E2 (150–1000), and E3 (>1000) [46].
- Age between 18 and 50 years.
- Ability to keep upright without assistance or assistive devices for at least 20 s.
- Rivermead Mobility Index [47] score ≥ 10/15.
- Visual acuity > 10/20 (corrective lenses allowed).
- Mini-Mental State Examination [48] score ≥ 26/30.
- Any balance impairment caused by a neurological or cardiovascular disease, musculoskeletal disorder, or other pathological conditions suspected to affect the results of the tests to be performed.
- Pregnancy.
- Any previous major orthopedic surgery.
- Head or neck trauma in the six months preceding this study.
2.2. Clinical Assessment
2.3. Cervical Proprioception Instrumental Assessment
2.4. Balance Instrumental Assessment
2.5. Data Analysis and Statistics
3. Results
3.1. Participants
3.2. Balance Instrumental Assessment
3.3. Cervical Proprioception Instrumental Assessment
3.3.1. JPEint-component Accuracy
3.3.2. JPEfrontal Accuracy
3.3.3. JPEint-component Precision
3.3.4. JPEfrontal Precision
3.3.5. JPE Accuracy and Precision on the Sagittal and Horizontal Planes
3.4. Association between JPEs, Clinical Measures and Instrumental Balance Measures
4. Discussion
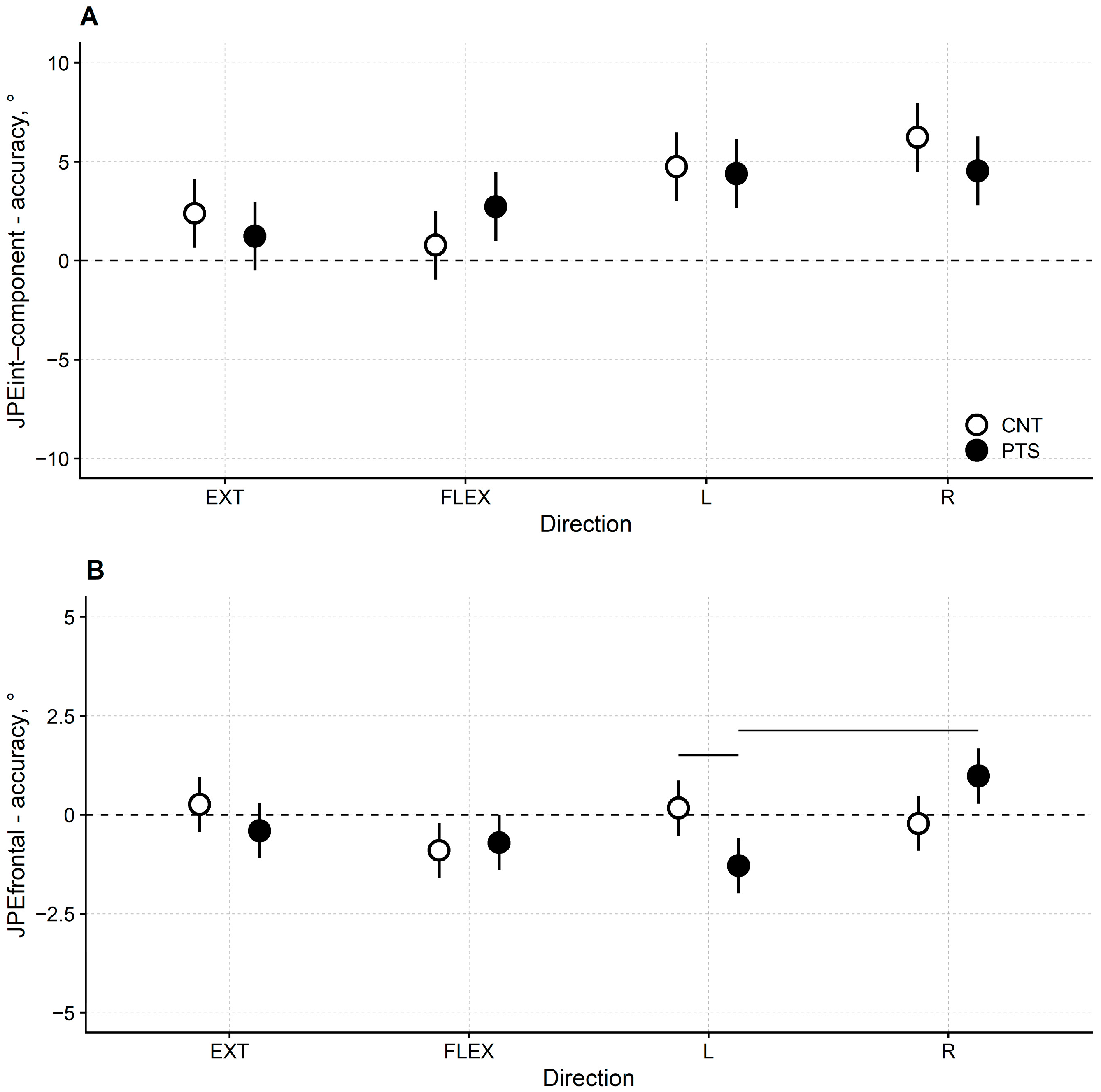
- The accuracy on the frontal plane (i.e., JPEfrontal) was decreased in DM1 patients: left and right rotations were associated with an unintended side-bending towards the side of rotation that was significantly greater than 0°.
- When patients and controls were compared, the ANOVA modelling gave significance (lower patients’ accuracy) of JPEfrontal only for the left rotation.
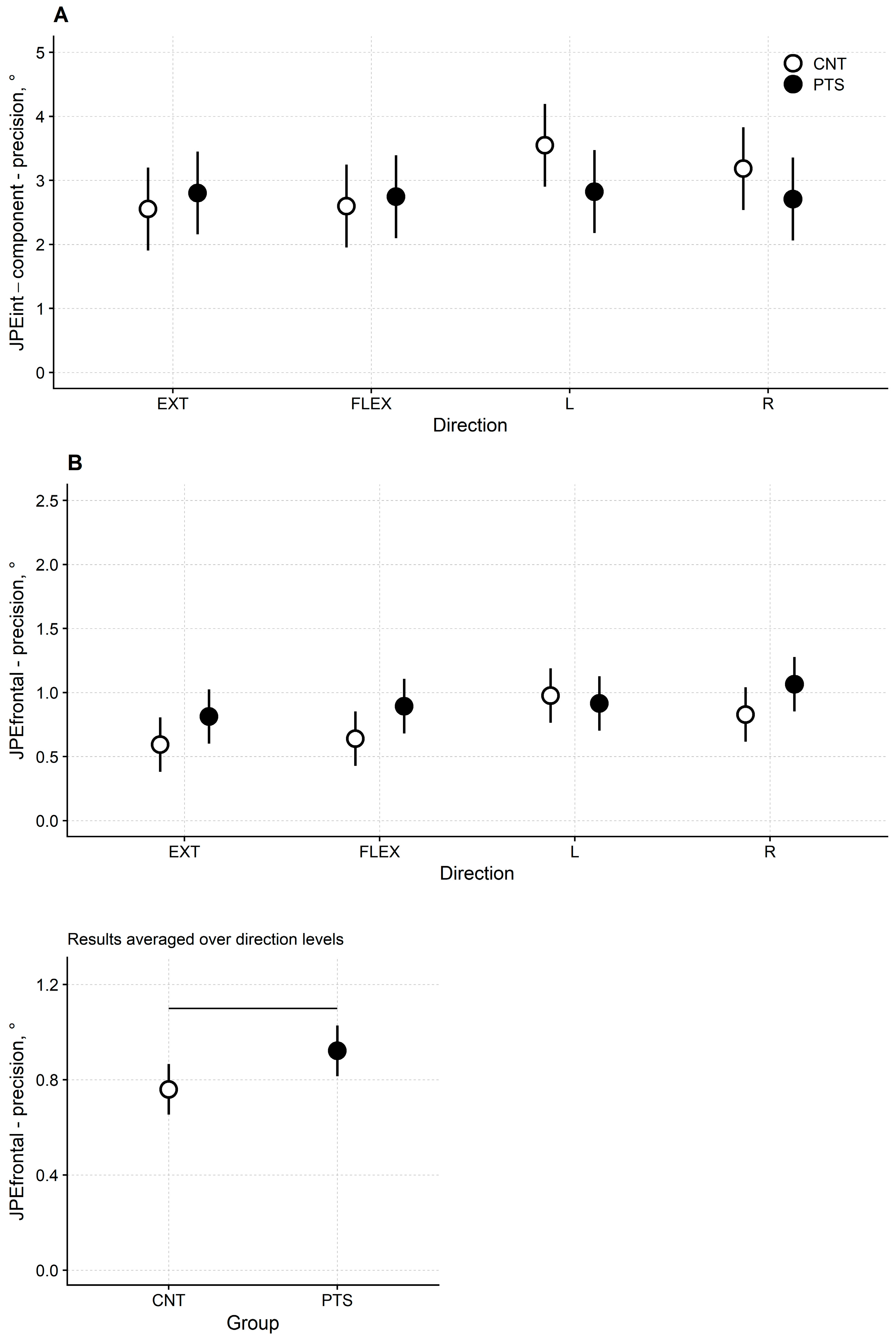
- The overall precision of repositioning in the frontal plane, whichever side of head rotation, was lower in the DM1 patients than in the controls.
Supplementary Materials
Author Contributions
Funding
Institutional Review Board Statement
Informed Consent Statement
Data Availability Statement
Conflicts of Interest
References
- Norwood, F.L.M.; Harling, C.; Chinnery, P.F.; Eagle, M.; Bushby, K.; Straub, V. Prevalence of genetic muscle disease in Northern England: In-depth analysis of a muscle clinic population. Brain 2009, 132, 3175–3186. [Google Scholar] [CrossRef] [PubMed]
- Siciliano, G.; Manca, M.; Gennarelli, M.; Angelini, C.; Rocchi, A.; Iudice, A.; Miorin, M.; Mostacciuolo, M. Epidemiology of myotonic dystrophy in Italy: Re-apprisal after genetic diagnosis. Clin. Genet. 2001, 59, 344–349. [Google Scholar] [CrossRef] [PubMed]
- Johnson, N.E.; Butterfield, R.J.; Mayne, K.; Newcomb, T.; Imburgia, C.; Dunn, D.; Duval, B.; Feldkamp, M.L.; Weiss, R.B. Population-Based Prevalence of Myotonic Dystrophy Type 1 Using Genetic Analysis of Statewide Blood Screening Program. Neurology 2021, 96, e1045–e1053. [Google Scholar] [CrossRef] [PubMed]
- Thornton, C.A. Myotonic Dystrophy. Neurol. Clin. 2014, 32, 705–719. [Google Scholar] [CrossRef] [PubMed]
- Gutiérrez, G.G.; Díaz-Manera, J.; Almendrote, M.; Azriel, S.; Bárcena, J.E.; García, P.C.; Salas, A.C.; Rodríguez, C.C.; Cobo, A.M.; Guardiola, P.D.; et al. Clinical guide for the diagnosis and follow-up of myotonic dystrophy type 1, MD1 or Steinert’s disease. Neurologia 2020, 35, 185–206. [Google Scholar] [CrossRef]
- Jamal, G.A.; Weir, A.I.; Hansen, S.; Ballantyne, J.P. Myotonic dystrophy. A reassessment by conventional and more recently introduced neurophysiological techniques. Brain 1986, 109, 1279–1296. [Google Scholar] [CrossRef] [PubMed]
- Sansone, V.; Marinou, K.; Salvucci, J.; Meola, G. Quantitative myotonia assessment: An experimental protocol. Neurol. Sci. 2000, 21, S971–S974. [Google Scholar] [CrossRef] [PubMed]
- Park, D.; Park, J.S. Quantitative assessment of trunk muscles involvement in patients with myotonic dystrophy type 1 using a whole body muscle magnetic resonance imaging. Eur. Neurol. 2017, 77, 238–245. [Google Scholar] [CrossRef]
- Wiles, C.M.; Busse, M.E.; Sampson, C.M.; Rogers, M.T.; Fenton-May, J.; Van Deursen, R. Falls and stumbles in myotonic dystrophy. J. Neurol. Neurosurg. Psychiatry 2006, 77, 393. [Google Scholar] [CrossRef]
- Missaoui, B.; Rakotovao, E.; Bendaya, S.; Mane, M.; Pichon, B.; Faucher, M.; Thoumie, P. Posture and gait abilities in patients with myotonic dystrophy (Steinert disease). Evaluation on the short-term of a rehabilitation program. Ann. Phys. Rehabil. Med. 2010, 53, 387–398. [Google Scholar] [CrossRef]
- Hammarén, E.; Kjellby-Wendt, G.; Kowalski, J.; Lindberg, C. Factors of importance for dynamic balance impairment and frequency of falls in individuals with myotonic dystrophy type 1—A cross-sectional study—Including reference values of Timed Up & Go, 10 m walk and step test. Neuromuscul. Disord. 2014, 24, 207–215. [Google Scholar] [CrossRef] [PubMed]
- Pucillo, E.M.; Mcintyre, M.M.; Pautler, M.; Hung, M.; Bs, J.B.; Voss, M.W.; Hayes, H.; Dibella, D.L.; Trujillo, C.; Dixon, M.; et al. Modified dynamic gait index and limits of stability in myotonic dystrophy type 1. Muscle Nerve 2018, 58, 694–699. [Google Scholar] [CrossRef] [PubMed]
- Duchesne, E.; Hébert, L.J.; Mathieu, J.; Côté, I.; Roussel, M.P.; Gagnon, C. Validity of the Mini-BESTest in adults with myotonic dystrophy type 1. Muscle Nerve 2020, 62, 95–102. [Google Scholar] [CrossRef] [PubMed]
- Bachasson, D.; Moraux, A.; Ollivier, G.; Decostre, V.; Ledoux, I.; Gidaro, T.; Servais, L.; Behin, A.; Stojkovic, T.; Hébert, L.J.; et al. Relationship between muscle impairments, postural stability, and gait parameters assessed with lower-trunk accelerometry in myotonic dystrophy type 1. Neuromuscul. Disord. 2016, 26, 428–435. [Google Scholar] [CrossRef] [PubMed]
- Berends, J.; Tieleman, A.A.; Horlings, C.G.; Smulders, F.H.; Voermans, N.C.; van Engelen, B.G.; Raaphorst, J. High incidence of falls in patients with myotonic dystrophy type 1 and 2: A prospective study. Neuromuscul. Disord. 2019, 29, 758–765. [Google Scholar] [CrossRef] [PubMed]
- Hermans, M.C.E.; Faber, C.G.; Vanhoutte, E.K.; Bakkers, M.; De Baets, M.H.; de Die-Smulders, C.E.M.; Merkies, I.S.J. Peripheral neuropathy in myotonic dystrophy type 1. J. Peripher. Nerv. Syst. 2011, 16, 24–29. [Google Scholar] [CrossRef] [PubMed]
- Gott, P.S.; Karnaze, D.S. Short-latency somatosensory evoked potentials in myotonic dystrophy: Evidence for a conduction disturbance. Electroencephalogr. Clin. Neurophysiol./Evoked Potentials Sect. 1985, 62, 455–458. [Google Scholar] [CrossRef] [PubMed]
- Balatsouras, D.G.; Felekis, D.; Panas, M.; Xenellis, J.; Koutsis, G.; Kladi, A.; Korres, S.G. Inner ear dysfunction in myotonic dystrophy type 1. Acta Neurol. Scand. 2013, 127, 337–343. [Google Scholar] [CrossRef] [PubMed]
- Osanai, R.; Kinoshita, M.; Hirose, K. Eye movement disorders in myotonic dystrophy type 1. Acta Otolaryngol. 2007, 127, 78–84. [Google Scholar] [CrossRef]
- Scarano, S.; Sansone, V.A.; Aggradi, C.R.F.; Carraro, E.; Tesio, L.; Amadei, M.; Rota, V.; Zanolini, A.; Caronni, A. Balance impairment in myotonic dystrophy type 1: Dynamic posturography suggests the coexistence of a proprioceptive and vestibular deficit. Front. Hum. Neurosci. 2022, 16, 925299. [Google Scholar] [CrossRef]
- Bronstein, A.M. Multisensory integration in balance control. Handb. Clin. Neurol. 2016, 137, 57–66. [Google Scholar] [CrossRef] [PubMed]
- Scarano, S.; Rota, V.; Tesio, L.; Perucca, L.; Robecchi Majnardi, A.; Caronni, A. Balance Impairment in Fahr’s Disease: Mixed Signs of Parkinsonism and Cerebellar Disorder. A Case Study. Front. Hum. Neurosci. 2022, 16, 832170. [Google Scholar] [CrossRef]
- Tuthill, J.C.; Azim, E. Proprioception. Curr. Biol. 2018, 28, R194–R203. [Google Scholar] [CrossRef] [PubMed]
- Proske, U.; Gandevia, S.C. The proprioceptive senses: Their roles in signaling body shape, body position and movement, and muscle force. Physiol. Rev. 2012, 92, 1651–1697. [Google Scholar] [CrossRef]
- Bell, C. On the Nervous Circle Which Connects the Voluntary Muscles with the Brain. Philos. Trans. R. Soc. Lond. 1826, 116, 163–173. Available online: https://www.jstor.org/stable/107807 (accessed on 22 July 2024). [CrossRef]
- Han, J.; Waddington, G.; Adams, R.; Anson, J.; Liu, Y. Assessing proprioception: A critical review of methods. J. Sport Health Sci. 2016, 5, 80–90. [Google Scholar] [CrossRef] [PubMed]
- Goodwin, G.M.; Mccloskey, D.I.; Matthews, P.B.C. Proprioceptive illusions induced by muscle vibration: Contribution by muscle spindles to perception? Science 1972, 175, 1382–1384. [Google Scholar] [CrossRef]
- Santuz, A.; Akay, T. Muscle spindles and their role in maintaining robust locomotion. J. Physiol. 2023, 601, 275–285. [Google Scholar] [CrossRef]
- Hillier, S.; Immink, M.; Thewlis, D. Assessing Proprioception: A Systematic Review of Possibilities. Neurorehabilit. Neural Repair 2015, 29, 933–949. [Google Scholar] [CrossRef]
- Kröger, S.; Watkins, B. Muscle spindle function in healthy and diseased muscle. Skelet. Muscle 2021, 11, 3. [Google Scholar] [CrossRef]
- Borghi, F.; Di Molfetta, L.; Garavoglia, M.; Levi, A.C. Questions about the uncertain presence of muscle spindles in the human external anal sphincter. Panminerva Med. 1991, 33, 170–172. [Google Scholar]
- Cooper, S.; Daniel, P.M. Muscle spindles in man; their morphology in the lumbricals and the deep muscles of the neck. Brain 1963, 86, 563–586. [Google Scholar] [CrossRef]
- Liu, J.X.; Thornell, L.E.; Pedrosa-Domellöf, F. Muscle Spindles in the Deep Muscles of the Human Neck: A Morphological and Immunocytochemical Study. J. Histochem. Cytochem. 2003, 51, 175–186. [Google Scholar] [CrossRef]
- Strzalkowski, N.D.J.; Peters, R.M.; Inglis, J.T.; Bent, L.R. Cutaneous afferent innervation of the human foot sole: What can we learn from single-unit recordings? J. Neurophysiol. 2018, 120, 1233–1246. [Google Scholar] [CrossRef] [PubMed]
- Bagaianu, D.; Van Tiggelen, D.; Duvigneaud, N.; Stevens, V.; Schroyen, D.; Vissenaeken, D.; D’Hondt, G.; Pitance, L. Cervical Joint Position Sense in Hypobaric Conditions: A Randomized Double-Blind Controlled Trial. Mil. Med. 2017, 182, e1969–e1975. [Google Scholar] [CrossRef] [PubMed][Green Version]
- Macefield, V.G.; Knellwolf, T.P. Functional properties of human muscle spindles. J. Neurophysiol. 2018, 120, 452–467. [Google Scholar] [CrossRef]
- Lackner, J.R.; DiZio, P. Vestibular, Proprioceptive, and Haptic Contributions to Spatial Orientation. Annu. Rev. Psychol. 2005, 56, 115–147. [Google Scholar] [CrossRef]
- Vihola, A.; Bassez, G.; Meola, G.; Zhang, S.; Haapasalo, H.; Paetau, A.; Mancinelli, E.; Rouche, A.; Hogrel, J.Y.; Laforet, P.; et al. Histopathological differences of myotonic dystrophy type 1 (DM1) and PROMM/DM2. Neurology 2003, 60, 1854–1857. [Google Scholar] [CrossRef] [PubMed]
- Daniel, P.M.; Strich, S.J. Abnormalities in the muscle spindles in Dystrophia Myotonica. Neurology 1964, 14, 310–316. [Google Scholar] [CrossRef]
- Swash, M.; Fox, K.P. Abnormal intrafusal muscle fibres in myotonic dystrophy: A study using serial sections. J. Neurol. Neurosurg. Psychiatry 1975, 38, 91. [Google Scholar] [CrossRef][Green Version]
- Maynard, J.A.; Cooper, R.R.; Ionaescu, V.V. An ultrastructure investigation of intrafusal muscle fibers in myotonic dystrophy. Virchows Arch. A Pathol. Anat. Histol. 1977, 373, 1–13. [Google Scholar] [CrossRef] [PubMed]
- Stranock, S.D.; Davis, J.N. Ultrastructure of the muscle spindle in Dystrophia Myotonica. II. The sensory and motor nerve terminals. Neuropathol. Appl. Neurobiol. 1978, 4, 407–418. [Google Scholar] [CrossRef] [PubMed]
- Peric, S.; Stojanovic, V.R.; Nikolic, A.; Kacar, A.; Basta, I.; Pavlovic, S.; Lavrnic, D. Peripheral neuropathy in patients with myotonic dystrophy type 1. Neurol. Res. 2013, 35, 331–335. [Google Scholar] [CrossRef] [PubMed]
- Wilson, V.J.; Boyle, R.; Fukushima, K.; Rose, P.K.; Shinoda, Y.; Sugiuchi, Y.; Uchino, Y. The vestibulocollic reflex. J. Vestib. Res. 1995, 5, 147–170. [Google Scholar] [CrossRef]
- Treleaven, J. Sensorimotor disturbances in neck disorders affecting postural stability, head and eye movement control. Man. Ther. 2008, 13, 2–11. [Google Scholar] [CrossRef] [PubMed]
- Ashizawa, T.; Gonzales, I.; Ohsawa, N.; Singer, R.H.; Devillers, M.; Balasubramanyam, A.; Cooper, T.A.; Khajavi, M.; Lia-Baldini, A.S.; Miller, G.; et al. New nomenclature and DNA testing guidelines for myotonic dystrophy type 1 (DM1). Neurology 2000, 54, 1218–1221. [Google Scholar] [CrossRef]
- Antonucci, G.; Aprile, T.; Paolucci, S. Rasch analysis of the Rivermead Mobility Index: A study using mobility measures of first-stroke inpatients. Arch. Phys. Med. Rehabil. 2002, 83, 1442–1449. [Google Scholar] [CrossRef] [PubMed]
- Folstein, M.F.; Folstein, S.E.; McHugh, P.R. “Mini-mental state”: A practical method for grading the cognitive state of patients for the clinician. J. Psychiatr. Res. 1975, 12, 189–198. [Google Scholar] [CrossRef] [PubMed]
- Mathieu, J.; Boivin, H.; Meunier, D.; Gaudreault, M.; Bégin, P. Assessment of a disease-specific muscular impairment rating scale in myotonic dystrophy. Neurology 2001, 56, 336–340. [Google Scholar] [CrossRef]
- Tesio, L.; Alpini, D.; Cesarani, A.; Perucca, L. Short form of the Dizziness Handicap Inventory: Construction and validation through Rasch analysis. Am. J. Phys. Med. Rehabil. 1999, 78, 233–241. [Google Scholar] [CrossRef]
- Tesio, L.; Caronni, A.; Kumbhare, D.; Scarano, S. Interpreting results from Rasch analysis 1. The “most likely” measures coming from the model. Disabil. Rehabil. 2023, 46, 591–603. [Google Scholar] [CrossRef] [PubMed]
- Tesio, L.; Caronni, A.; Simone, A.; Kumbhare, D.; Scarano, S. Interpreting results from Rasch analysis 2. Advanced model applications and the data-model fit assessment. Disabil. Rehabil. 2023, 46, 604–617. [Google Scholar] [CrossRef] [PubMed]
- Cerina, V.; Tesio, L.; Malloggi, C.; Rota, V.; Caronni, A.; Scarano, S. Cervical Proprioception Assessed through Targeted Head Repositioning: Validation of a Clinical Test Based on Optoelectronic Measures. Brain Sci. 2023, 13, 604. [Google Scholar] [CrossRef] [PubMed]
- Loudon, J.K.; Ruhl, M.; Field, E. Ability to reproduce head position after whiplash injury. Spine 1997, 22, 865–868. [Google Scholar] [CrossRef] [PubMed]
- Caronni, A.; Arcuri, P.; Carpinella, I.; Marzegan, A.; Lencioni, T.; Ramella, M.; Crippa, A.; Anastasi, D.; Rabuffetti, M.; Ferrarin, M.; et al. Smoothness of movement in idiopathic cervical dystonia. Sci. Rep. 2022, 12, 5090. [Google Scholar] [CrossRef] [PubMed]
- Perucca, L.; Robecchi Majnardi, A.; Frau, S.; Scarano, S. Normative Data for the NeuroCom® Sensory Organization Test in Subjects Aged 80–89 Years. Front. Hum. Neurosci. 2021, 15, 761262. [Google Scholar] [CrossRef] [PubMed]
- Nashner, L.M.; Peters, J.F. Dynamic posturography in the diagnosis and management of dizziness and balance disorders. Neurol. Clin. 1990, 8, 331–349. [Google Scholar] [CrossRef] [PubMed]
- Schmidt, R.A.; Lee, T.D. Motor Control and Learning: A Behavioral Emphasis, 5th ed.; Human Kinetics: Champaign, IL, USA, 2011. [Google Scholar]
- Julian, J. Faraway. Extending the Linear Model with R Generalized Linear, Mixed Effects and Nonparametric Regression Models, 2nd ed.; Chapman and Hall/CRC: Boca Raton, FL, USA, 2016. [Google Scholar]
- Luke, S.G. Evaluating significance in linear mixed-effects models in R. Behav. Res. Methods 2017, 49, 1494–1502. [Google Scholar] [CrossRef]
- Kristjansson, E.; Dall’Alba, P.; Jull, G. A study of five cervicocephalic relocation tests in three different subject groups. Clin. Rehabil. 2003, 17, 768–774. [Google Scholar] [CrossRef]
- Strimpakos, N.; Sakellari, V.; Gioftsos, G.; Kapreli, E.; Oldham, J. Cervical joint position sense: An intra- and inter-examiner reliability study. Gait Posture 2006, 23, 22–31. [Google Scholar] [CrossRef]
- Chen, Y.Y.; Chai, H.M.; Wang, C.L.; Shau, Y.W.; Wang, S.F. Asymmetric Thickness of Oblique Capitis Inferior and Cervical Kinesthesia in Patients with Unilateral Cervicogenic Headache. J. Manip. Physiol. Ther. 2018, 41, 680–690. [Google Scholar] [CrossRef] [PubMed]
- Raizah, A.; Reddy, R.S.; Alshahrani, M.S.; Gautam, A.P.; Alkhamis, B.A.; Kakaraparthi, V.N.; Ahmad, I.; Kandakurti, P.K.; Almohiza, M.A. A Cross-Sectional Study on Mediating Effect of Chronic Pain on the Relationship between Cervical Proprioception and Functional Balance in Elderly Individuals with Chronic Neck Pain: Mediation Analysis Study. J. Clin. Med. 2023, 12, 3140. [Google Scholar] [CrossRef] [PubMed]
- Stanton, T.R.; Leake, H.B.; Chalmers, K.J.; Moseley, G.L. Evidence of Impaired Proprioception in Chronic, Idiopathic Neck Pain: Systematic Review and Meta-Analysis. Phys. Ther. 2016, 96, 876–887. [Google Scholar] [CrossRef]
- Treleaven, J.; LowChoy, N.; Darnell, R.; Panizza, B.; Brown-Rothwell, D.; Jull, G. Comparison of Sensorimotor Disturbance Between Subjects with Persistent Whiplash-Associated Disorder and Subjects with Vestibular Pathology Associated with Acoustic Neuroma. Arch. Phys. Med. Rehabil. 2008, 89, 522–530. [Google Scholar] [CrossRef] [PubMed]
- Treleaven, J.; Jull, G.; LowChoy, N. The relationship of cervical joint position error to balance and eye movement disturbances in persistent whiplash. Man. Ther. 2006, 11, 99–106. [Google Scholar] [CrossRef]
- L’Heureux-Lebeau, B.; Godbout, A.; Berbiche, D.; Saliba, I. Evaluation of paraclinical tests in the diagnosis of cervicogenic dizziness. Otol. Neurotol. 2014, 35, 1858–1865. [Google Scholar] [CrossRef]
- Malmström, E.M.; Karlberg, M.; Holmström, E.; Fransson, P.A.; Hansson, G.A.; Magnusson, M. Influence of prolonged unilateral cervical muscle contraction on head repositioning—Decreased overshoot after a 5-min static muscle contraction task. Man. Ther. 2010, 15, 229–234. [Google Scholar] [CrossRef]
- Armstrong, B.S.; McNair, P.J.; Williams, M. Head and neck position sense in whiplash patients and healthy individuals and the effect of the cranio-cervical flexion action. Clin. Biomech. 2005, 20, 675–684. [Google Scholar] [CrossRef]
- Bullock-Saxton, J.E.; Wong, W.J.; Hogan, N. The influence of age on weight-bearing joint reposition sense of the knee. Exp. Brain Res. 2001, 136, 400–406. [Google Scholar] [CrossRef]
- Hortobágyi, T.; Garry, J.; Holbert, D.; Devita, P. Aberrations in the control of quadriceps muscle force in patients with knee osteoarthritis. Arthritis Rheum. 2004, 51, 562–569. [Google Scholar] [CrossRef]
- Van de Winckel, A.; Tseng, Y.-T.; Chantigian, D.; Lorant, K.; Zarandi, Z.; Buchanan, J.; Zeffiro, T.A.; Larson, M.; Olson-Kellogg, B.; Konczak, J.; et al. Age-Related Decline of Wrist Position Sense and its Relationship to Specific Physical Training. Front. Hum. Neurosci. 2017, 11, 570. [Google Scholar] [CrossRef] [PubMed]
- Weijs, R.; Okkersen, K.; van Engelen, B.; Küsters, B.; Lammens, M.; Aronica, E.; Raaphorst, J.; Walsum, A.v.C.v. Human brain pathology in myotonic dystrophy type 1: A systematic review. Neuropathology 2021, 41, 3–20. [Google Scholar] [CrossRef] [PubMed]
- Koscik, T.R.; van der Plas, E.; Long, J.D.; Cross, S.; Gutmann, L.; Cumming, S.A.; Monckton, D.G.; Shields, R.K.; Magnotta, V.; Nopoulos, P.C. Longitudinal changes in white matter as measured with diffusion tensor imaging in adult-onset myotonic dystrophy type 1. Neuromuscul. Disord. 2023, 33, 660–669. [Google Scholar] [CrossRef]
- Ichijo, H. Three-dimensional analysis of per-rotational nystagmus. Am. J. Otolaryngol. 2023, 44, 103947. [Google Scholar] [CrossRef] [PubMed]
- Stranock, S.D.; Davis, J.N. Ultrastructure of the muscle spindle in Dystrophia Myotonica. I. The intrafusal muscle fibres. Neuropathol. Appl. Neurobiol. 1978, 4, 393–406. [Google Scholar] [CrossRef]
- Swash, M. The morphology and innervation of the muscle spindle in dystrophia myotonica. Brain 1972, 95, 357–368. [Google Scholar] [CrossRef] [PubMed]
- Sung, Y.H. Suboccipital Muscles, Forward Head Posture, and Cervicogenic Dizziness. Medicina 2022, 58, 1791. [Google Scholar] [CrossRef] [PubMed]
- Neumann, D.A. Kinesiology of the Musculoskeletal System, 3rd ed.; Mosby: St. Louis, MO, USA, 2016. [Google Scholar]
- White, A.A.I.; Panjabi, M.M. Clinical Biomechanics of the Spine, 2nd ed.; Lippincott Williams and Wilkins: Philadelphia, PA, USA, 1990. [Google Scholar]
- Oatis, C.A. Kinesiology: The Mechanics and Pathomechanics of Human Movement, 2nd ed.; Lippincott Williams & Wilkins: Philadelphia, PA, USA, 2010. [Google Scholar]
- Nordin, M.; Frankel, V.H. Basic Biomechanics of the Musculoskeletal System, 5th ed.; Wolters Kluwer: Singapore, 2021. [Google Scholar]
- Garibaldi, M.; Nicoletti, T.; Bucci, E.; Fionda, L.; Leonardi, L.; Morino, S.; Tufano, L.; Alfieri, G.; Lauletta, A.; Merlonghi, G.; et al. Muscle magnetic resonance imaging in myotonic dystrophy type 1 (DM1): Refining muscle involvement and implications for clinical trials. Eur. J. Neurol. 2022, 29, 843–854. [Google Scholar] [CrossRef]
- Masciullo, M.; Iannaccone, E.; Bianchi, M.; Santoro, M.; Conte, G.; Modoni, A.; Monforte, M.; Tasca, G.; Laschena, F.; Ricci, E.; et al. Myotonic dystrophy type 1 and de novo FSHD mutation double trouble: A clinical and muscle MRI study. Neuromuscul. Disord. 2013, 23, 427–431. [Google Scholar] [CrossRef]
- Pettorossi, V.E.; Schieppati, M. Neck Proprioception Shapes Body Orientation and Perception of Motion. Front. Hum. Neurosci. 2014, 8, 895. [Google Scholar] [CrossRef]
- Hilliard, M.J.; Martinez, K.M.; Janssen, I.; Edwards, B.; Mille, M.-L.; Zhang, Y.; Rogers, M.W. Lateral Balance Factors Predict Future Falls in Community-Living Older Adults. Arch. Phys. Med. Rehabil. 2008, 89, 1708–1713. [Google Scholar] [CrossRef] [PubMed]
- Morrison, S.; Rynders, C.A.; Sosnoff, J.J. Deficits in medio-lateral balance control and the implications for falls in individuals with multiple sclerosis. Gait Posture 2016, 49, 148–154. [Google Scholar] [CrossRef] [PubMed]
- Malloggi, C.; Scarano, S.; Cerina, V.; Catino, L.; Rota, V.; Tesio, L. The curvature peaks of the trajectory of the body centre of mass during walking: A new index of dynamic balance. J. Biomech. 2021, 123, 110486. [Google Scholar] [CrossRef] [PubMed]
- Honaker, J.A.; Janky, K.L.; Patterson, J.N.; Shepard, N.T. Modified head shake sensory organization test: Sensitivity and specificity. Gait Posture 2016, 49, 67–72. [Google Scholar] [CrossRef] [PubMed]
- Woollacott, M.H.; Tang, P.F. Balance Control During Walking in the Older Adult: Research and Its Implications. Phys. Ther. 1997, 77, 646–660. [Google Scholar] [CrossRef] [PubMed]
- Hiyamizu, M.; Morioka, S.; Shomoto, K.; Shimada, T. Effects of dual task balance training on dual task performance in elderly people: A randomized controlled trial. Clin. Rehabil. 2012, 26, 58–67. [Google Scholar] [CrossRef] [PubMed]
- Heene, R. Histological and histochemical findings in muscle spindles in dystrophia myotonica. J. Neurol. Sci. 1973, 18, 369–372. [Google Scholar] [CrossRef] [PubMed]
- Avaria, M.; Patterson, V. Myotonic dystrophy: Relative sensitivity of symptoms signs and abnormal investigations. Ulst. Med. J. 1994, 63, 151–154. Available online: http://www.ncbi.nlm.nih.gov/pubmed/8650827 (accessed on 22 July 2024).
- Hiba, B.; Richard, N.; Hébert, L.J.; Coté, C.; Nejjari, M.; Vial, C.; Bouhour, F.; Puymirat, J.; Janier, M. Quantitative assessment of skeletal muscle degeneration in patients with myotonic dystrophy type 1 using MRI. J. Magn. Reson. Imaging 2012, 35, 678–685. [Google Scholar] [CrossRef]
- Henke, C.; Spiesshoefer, J.; Kabitz, H.-J.; Herkenrath, S.; Randerath, W.; Brix, T.; Görlich, D.; Young, P.; Boentert, M. Characteristics of respiratory muscle involvement in myotonic dystrophy type 1. Neuromuscul. Disord. 2020, 30, 17–27. [Google Scholar] [CrossRef]
- Oliwa, A.; Hocking, C.; Hamilton, M.J.; McLean, J.; Cumming, S.; Ballantyne, B.; Jampana, R.; Longman, C.; Monckton, D.G.; Farrugia, M.E. Masseter muscle volume as a disease marker in adult-onset myotonic dystrophy type 1. Neuromuscul. Disord. 2022, 32, 893–902. [Google Scholar] [CrossRef] [PubMed]
- Bornstein, B.; Konstantin, N.; Alessandro, C.; Tresch, M.C.; Zelzer, E. More than movement: The proprioceptive system as a new regulator of musculoskeletal biology. Curr. Opin. Physiol. 2021, 20, 77–89. [Google Scholar] [CrossRef]
- Walro, J.M.; Kucera, J. Why adult mammalian intrafusal and extrafusal fibers contain different myosin heavy-chain isoforms. Trends Neurosci. 1999, 22, 180–184. [Google Scholar] [CrossRef] [PubMed]
- Ribot-Ciscar, E.; Tréfouret, S.; Aimonetti, J.M.; Attarian, S.; Pouget, J.; Roll, J.P. Is muscle spindle proprioceptive function spared in muscular dystrophies? A muscle tendon vibration study. Muscle Nerve 2004, 29, 861–866. [Google Scholar] [CrossRef] [PubMed]
- Tesio, L.; Chessa, C.; Atanni, M. Unbalance in Myotonic Dystrophy-1 may follow cervical ataxia and respond to exercise. In Proceedings of the 6th International Myotonic Dystrophy Consortium Meeting, Milan, Italy, 12–15 September 2007. [Google Scholar]
- Moshirfar, M.; Webster, C.R.; Seitz, T.S.; Ronquillo, Y.C.; Hoopes, P.C. Ocular Features and Clinical Approach to Cataract and Corneal Refractive Surgery in Patients with Myotonic Dystrophy. Clin. Ophthalmol. 2022, 16, 2837–2842. [Google Scholar] [CrossRef] [PubMed]
- Sjölander, P.; Michaelson, P.; Jaric, S.; Djupsjöbacka, M. Sensorimotor disturbances in chronic neck pain-Range of motion, peak velocity, smoothness of movement, and repositioning acuity. Man. Ther. 2008, 13, 122–131. [Google Scholar] [CrossRef] [PubMed]
- Rix, G.D.; Bagust, J. Cervicocephalic kinesthetic sensibility in patients with chronic, nontraumatic cervical spine pain. Arch. Phys. Med. Rehabil. 2001, 82, 911–919. [Google Scholar] [CrossRef] [PubMed]
- Schilling, L.; Forst, R.; Forst, J.; Fujak, A. Orthopaedic Disorders in Myotonic Dystrophy Type 1: Descriptive clinical study of 21 patients. BMC Musculoskelet. Disord. 2013, 14, 338. [Google Scholar] [CrossRef] [PubMed]
- Reddy, R.S.; Tedla, J.S.; Dixit, S.; Abohashrh, M. Cervical proprioception and its relationship with neck pain intensity in subjects with cervical spondylosis. BMC Musculoskelet. Disord. 2019, 20, 447. [Google Scholar] [CrossRef]
- Dugailly, P.M.; De Santis, R.; Tits, M.; Sobczak, S.; Vigne, A.; Feipel, V. Head repositioning accuracy in patients with neck pain and asymptomatic subjects: Concurrent validity, influence of motion speed, motion direction and target distance. Eur. Spine J. 2015, 24, 2885–2891. [Google Scholar] [CrossRef]
- Alahmari, K.A.; Reddy, R.S.; Silvian, P.; Ahmad, I.; Nagaraj, V.; Mahtab, M. Influence of chronic neck pain on cervical joint position error (JPE): Comparison between young and elderly subjects. J. Back. Musculoskelet. Rehabil. 2017, 30, 1265–1271. [Google Scholar] [CrossRef] [PubMed]
- Boyd-Clark, L.C.; Briggs, C.A.; Galea, M.P. Muscle spindle distribution, morphology, and density in longus colli and multifidus muscles of the cervical spine. Spine 2002, 27, 694–701. [Google Scholar] [CrossRef] [PubMed]


| ID | Age (y) | Gender | Height (m) | Duration (y) | E Class | MIRS | DHIsf | RMI | N of falls | SOT | COND1 | COND2 | COND3 | COND4 | COND5 | COND6 |
|---|---|---|---|---|---|---|---|---|---|---|---|---|---|---|---|---|
| 1 | 41 | F | 1.70 | 15 | 2 | 3 | 13 | 15 | 0 | 68 | 95 | 89 | 94 | 67 | 22 | 70 |
| 2 | 39 | F | 1.68 | 26 | 1 | 3 | 11 | 15 | 2 | 71 | 92 | 86 | 85 | 85 | 42 | 61 |
| 3 | 25 | F | 1.62 | 11 | 2 | 3 | 13 | 15 | 3 | 82 | 95 | 93 | 90 | 84 | 68 | 76 |
| 4 | 42 | M | 1.78 | 11 | 1 | 3 | 10 | 15 | 0 | 74 | 95 | 91 | 92 | 87 | 26 | 77 |
| 5 | 40 | M | 1.82 | 21 | 1 | 1 | 13 | 15 | 0 | 33 | 95 | 92 | 90 | 0 | 0 | 0 |
| 6 | 26 | M | 1.69 | 25 | 2 | 3 | 13 | 15 | 0 | 65 | 94 | 93 | 88 | 85 | 30 | 40 |
| 7 | 21 | F | 1.70 | 19 | 3 | 2 | 12 | 15 | 3 | 53 | 94 | 87 | 78 | 54 | 53 | 0 |
| 8 | 47 | M | 1.65 | 42 | 1 | 4 | 9 | 15 | 1 | 74 | 91 | 93 | 88 | 77 | 70 | 48 |
| 9 | 43 | F | 1.56 | 28 | 2 | 3 | 11 | 10 | 5 | 70 | 88 | 90 | 87 | 74 | 51 | 57 |
| 10 | 42 | M | 1.78 | 23 | 2 | 3 | 10 | 12 | 0 | 44 | 94 | 84 | 89 | 59 | 0 | 0 |
| 11 | 47 | F | 1.65 | 14 | 2 | 4 | 13 | 14 | 0 | 51 | 95 | 94 | 93 | 82 | 0 | 0 |
| 12 | 47 | F | 1.60 | 21 | 2 | 4 | 13 | 14 | 0 | 32 | 93 | 89 | 91 | 0 | 0 | 0 |
| 13 | 46 | F | 1.60 | 17 | 2 | 3 | 8 | 12 | 1 | 43 | 93 | 93 | 91 | 47 | 0 | 0 |
| 14 | 41 | F | 1.64 | 31 | 3 | 3 | 9 | 14 | 1 | 25 | 90 | 84 | 47 | 13 | 0 | 0 |
| 15 | 38 | F | 1.70 | 26 | 2 | 4 | 13 | 14 | 2 | 40 | 96 | 95 | 95 | 27 | 0 | 0 |
| 16 | 47 | M | 1.74 | 19 | 2 | 3 | 11 | 14 | 0 | 50 | 94 | 91 | 91 | 81 | 0 | 0 |
| 41.5 | F/M: 10/6 | 1.69 | 21 | 2 | 3 | 11.5 | 14.5 | 0.5 | 52.0 | 94 | 91 | 90 | 71 | 11 | 0 | |
| (21–47) | (1.56–1.82) | (11–42) | (1–3) | (1–4) | (8–13) | (10–15) | (0–5) | (25–82) | (88–96) | (84–95) | (47–95) | (0–87) | (0–70) | (0–77) |
| JPEint-component Accuracy | JPEfrontal Accuracy | JPEsagittal Accuracy | JPEhorizontal Accuracy | ||||||
|---|---|---|---|---|---|---|---|---|---|
| Group | Direction | Mean | 95% CI | Mean | 95% CI | Mean | 95% CI | Mean | 95% CI |
| CNT | Extension | 2.39 | [0.65, 4.13] | 0.26 | [−0.437, 0.96] | 2.39 | [0.65, 4.13] | 0.53 | [−0.22, 1.27] |
| DM1 | Extension | 1.24 | [−0.50, 2.97] | −0.40 | [−1.10, 0.30] | 1.24 | [−0.50, 2.97] | 0.78 | [0.03, 1.52] |
| CNT | Flexion | 0.78 | [−0.96, 2.52] | −0.90 | [−1.60, −0.21] | 0.78 | [−0.96, 2.52] | −0.80 | [−1.55, −0.05] |
| DM1 | Flexion | 2.74 | [1.00, 4.47] | −0.70 | [−1.40, −0.01] | 2.74 | [1.00, 4.47] | −0.51 | [−1.26, 0.23] |
| CNT | Left rotation | 4.75 | [3.01, 6.49] | 0.17 | [−0.53, 0.87] | 0.62 | [−0.65, 1.90] | 4.75 | [3.01, 6.49] |
| DM1 | Left rotation | 4.40 | [2.66, 6.14] | −1.29 | [−1.99, −0.60] | 0.82 | [−0.45, 2.10] | 4.40 | [2.66, 6.14] |
| CNT | Right rotation | 6.23 | [4.49, 7.97] | −0.22 | [−0.91, 0.48] | −1.52 | [−2.28, −0.24] | 6.23 | [4.49, 7.97] |
| DM1 | Right rotation | 4.54 | [2.80, 6.28] | 0.98 | [0.28, 1.67] | −0.80 | [−2.07, 0.48] | 4.54 | [2.80, 6.28] |
| JPEint-component Precision | JPEfrontal Precision | JPEsagittal Precision | JPEhorizontal Precision | ||||||
|---|---|---|---|---|---|---|---|---|---|
| Group | Direction | Mean | 95% CI | Mean | 95% CI | Mean | 95% CI | Mean | 95% CI |
| CNT | Extension | 2.55 | [1.91, 3.20] | 0.593 | [0.38, 0.81] | 2.55 | [1.91, 3.20] | 1.07 | [0.80, 1.33] |
| DM1 | Extension | 2.80 | [2.15, 3.45] | 0.813 | [0.60, 1.03] | 2.80 | [2.15, 3.45] | 1.10 | [0.83, 1.36] |
| CNT | Flexion | 2.60 | [1.95, 3.25] | 0.640 | [0.43, 0.85] | 2.60 | [1.95, 3.25] | 1.02 | [0.76, 1.28] |
| DM1 | Flexion | 2.75 | [2.10, 3.39] | 0.893 | [0.68, 1.11] | 2.75 | [2.10, 3.39] | 1.20 | [0.94, 1.47] |
| CNT | Left rotation | 3.55 | [2.90, 4.20] | 0.98 | [0.76, 1.19] | 1.78 | [1.37, 2.19] | 3.55 | [2.90, 4.20] |
| DM1 | Left rotation | 2.82 | [2.18, 3.47] | 0.92 | [0.70, 1.13] | 1.44 | [1.03, 1.85] | 2.82 | [2.18, 3.47] |
| CNT | Right rotation | 3.18 | [2.54, 3.83] | 0.83 | [0.62, 1.04] | 1.44 | [1.03, 1.84] | 3.18 | [2.54, 3.83] |
| DM1 | Right rotation | 2.71 | [2.06, 3.36] | 1.07 | [0.85, 1.28] | 1.78 | [1.37, 2.19] | 2.71 | [2.06, 3.36] |
| JPEfrontal Accuracy | JPEfrontal Precision | |||
|---|---|---|---|---|
| Spearman ρ | p-Value | Spearman ρ | p-Value | |
| MIRS | 0.26 | 0.322 | 0.33 | 0.205 |
| DHIsf | −0.22 | 0.415 | 0.14 | 0.616 |
| N. of falls | −0.17 | 0.540 | 0.20 | 0.460 |
| SOT | −0.28 | 0.297 | −0.19 | 0.474 |
| COND 1 | 0.15 | 0.578 | −0.41 | 0.117 |
| COND 2 | −0.20 | 0.463 | 0.00 | 0.996 |
| COND 3 | −0.07 | 0.790 | −0.25 | 0.351 |
| COND 4 | 0.01 | 0.957 | −0.11 | 0.696 |
| COND 5 | −0.25 | 0.351 | −0.16 | 0.561 |
| COND 6 | −0.15 | 0.582 | −0.29 | 0.284 |
Disclaimer/Publisher’s Note: The statements, opinions and data contained in all publications are solely those of the individual author(s) and contributor(s) and not of MDPI and/or the editor(s). MDPI and/or the editor(s) disclaim responsibility for any injury to people or property resulting from any ideas, methods, instructions or products referred to in the content. |
© 2024 by the authors. Licensee MDPI, Basel, Switzerland. This article is an open access article distributed under the terms and conditions of the Creative Commons Attribution (CC BY) license (https://creativecommons.org/licenses/by/4.0/).
Share and Cite
Scarano, S.; Caronni, A.; Carraro, E.; Ferrari Aggradi, C.R.; Rota, V.; Malloggi, C.; Tesio, L.; Sansone, V.A. In Myotonic Dystrophy Type 1 Head Repositioning Errors Suggest Impaired Cervical Proprioception. J. Clin. Med. 2024, 13, 4685. https://doi.org/10.3390/jcm13164685
Scarano S, Caronni A, Carraro E, Ferrari Aggradi CR, Rota V, Malloggi C, Tesio L, Sansone VA. In Myotonic Dystrophy Type 1 Head Repositioning Errors Suggest Impaired Cervical Proprioception. Journal of Clinical Medicine. 2024; 13(16):4685. https://doi.org/10.3390/jcm13164685
Chicago/Turabian StyleScarano, Stefano, Antonio Caronni, Elena Carraro, Carola Rita Ferrari Aggradi, Viviana Rota, Chiara Malloggi, Luigi Tesio, and Valeria Ada Sansone. 2024. "In Myotonic Dystrophy Type 1 Head Repositioning Errors Suggest Impaired Cervical Proprioception" Journal of Clinical Medicine 13, no. 16: 4685. https://doi.org/10.3390/jcm13164685
APA StyleScarano, S., Caronni, A., Carraro, E., Ferrari Aggradi, C. R., Rota, V., Malloggi, C., Tesio, L., & Sansone, V. A. (2024). In Myotonic Dystrophy Type 1 Head Repositioning Errors Suggest Impaired Cervical Proprioception. Journal of Clinical Medicine, 13(16), 4685. https://doi.org/10.3390/jcm13164685

