Going Green Together: Effects of Green Transformational Leadership on Employee Green Behaviour and Environmental Performance in the Saudi Food Industry
Abstract
:1. Introduction
2. Conceptual Framework and Hypothesis Building
2.1. The Kingdom of Saudi Arabia Context
2.2. Defining the Study Constructs
2.3. Green Transformational Leadership and Green Behaviour
2.4. Green Transformational Leadership and Environmental Performance
2.5. Green Behaviour and Environmental Performance
2.6. The Mediating Effect of Green Behaviour on the Link between Green Transformational Leadership and Environmental Performance
3. The Research Methods
3.1. Sampling
3.2. Research Measures
3.3. The Interpretation of the Data
4. Key Findings
4.1. The Results of CFA
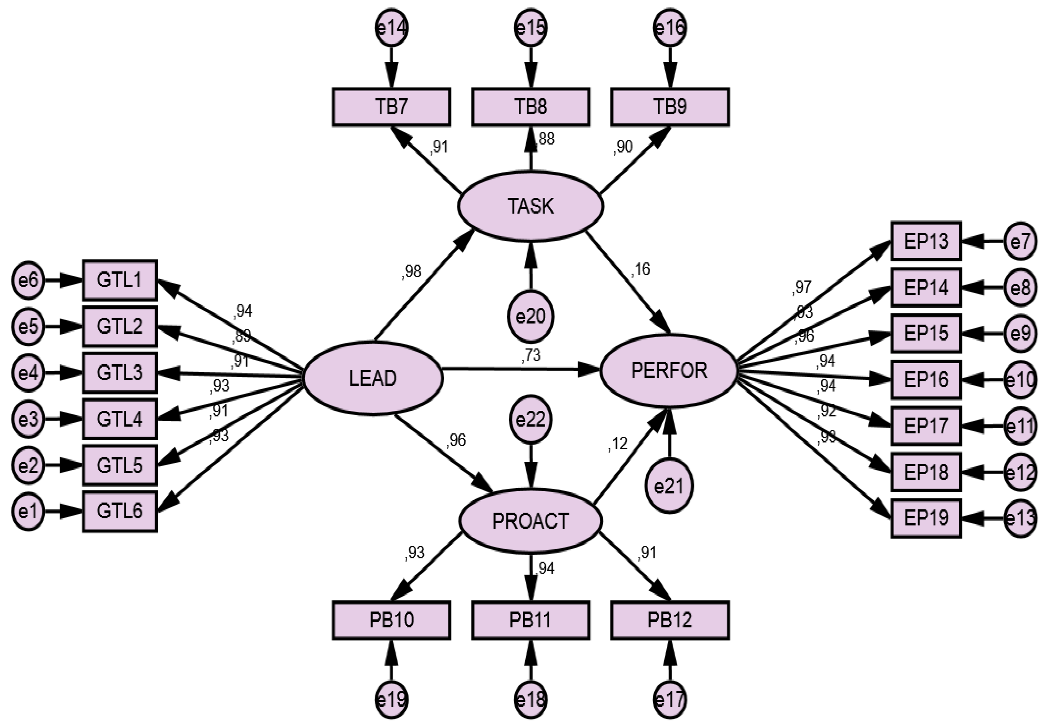
4.2. Key Findings of SEM
5. Discussion
6. Implications of the Study
7. Conclusions
8. Limitation and Research Opportunities
Author Contributions
Funding
Institutional Review Board Statement
Informed Consent Statement
Data Availability Statement
Conflicts of Interest
References
- Rhead, R.; Elliot, M.; Upham, P. Assessing the structure of UK environmental concern and its association with pro-environmental behaviour. J. Environ. Psychol. 2015, 43, 175–183. [Google Scholar] [CrossRef]
- Robertson, J.L.; Barling, J. Contrasting the nature and effects of environmentally specific and general transformational leadership. Leadersh. Organ. Dev. J. 2017, 38, 22–41. [Google Scholar] [CrossRef]
- Huda, M.; Mulyadi, D.; Hananto, A.L.; Muhamad, N.H.N.; Teh, K.S.M.; Don, A.G. Empowering corporate social responsibility (CSR): Insights from service learning. Soc. Responsib. J. 2018, 14, 4, 875–894. [Google Scholar] [CrossRef]
- Pham, N.T.; Tučková, Z.; Jabbour, C.J.C. Greening the hospitality industry: How do green human resource management practices influence organizational citizenship behavior in hotels? A mixed-methods study. Tour. Manag. 2019, 72, 386–399. [Google Scholar] [CrossRef]
- Chan, E.S.; Hawkins, R. Application of EMSs in a hotel context: A case study. Int. J. Hosp. Manag. 2012, 31, 405–418. [Google Scholar] [CrossRef]
- Chan, E.S.; Hsu, C.H. Environmental management research in hospitality. Int. J. Contemp. Hosp. 2016. [Google Scholar] [CrossRef]
- Ones, D.S.; Dilchert, S. Employee green behaviors. In Managing HR for Environmental Sustainability; Jackson, S.E., Ones, D.S., Dilchert, S., Eds.; Jossey-Bass/Wiley: San Francisco, CA, USA, 2012; pp. 85–116. [Google Scholar]
- Tosun, C.; Parvez, M.O.; Bilim, Y.; Yu, L. Effects of green transformational leadership on green performance of employees via the mediating role of corporate social responsibility: Reflection from North Cyprus. Int. J. Hosp. Manag. 2022, 103, 103218. [Google Scholar] [CrossRef]
- Bass, B.M.; Avolio, B.J.; Atwater, L. The transformational and transactional leadership of men and women. Appl. Psychol. 2022, 45, 5–34. [Google Scholar] [CrossRef]
- Avolio, B.J.; Bass, B.M. Multifactor Leadership Questionnaire (MLQ); Mind Garden: Menlo Park, CA, USA, 2004. [Google Scholar]
- Peng, J.; Chen, X.; Zou, Y.; Nie, Q. Environmentally specific transformational leadership and team pro-environmental behaviors: The roles of pro-environmental goal clarity, pro-environmental harmonious passion, and power distance. J. Hum. Relat. 2021, 74, 1864–1888. [Google Scholar] [CrossRef]
- Robertson, J.L.; Barling, J. Greening organizations through leaders' influence on employees' pro-environmental behaviors. J. Organ. Behav. 2013, 34, 176–194. [Google Scholar] [CrossRef]
- Renwick, D.W.; Redman, T.; Maguire, S. Green human resource management: A review and research agenda. Int. J. Manag. Rev. 2013, 15, 1–14. [Google Scholar] [CrossRef] [Green Version]
- Kim, Y.J.; Kim, W.G.; Choi, H.M.; Phetvaroon, K. The effect of green human resource management on hotel employees’ eco-friendly behavior and environmental performance. Int. J. Hosp. Manag. 2019, 76, 83–93. [Google Scholar] [CrossRef]
- Graen, G.; Cashman, J.F. A role-making model of leadership in formal organizations: A developmental approach. Leadersh. Front. 1975, 143, 165. [Google Scholar]
- Brown, M.E.; Treviño, L.K.; Harrison, D.A. Ethical leadership: A social learning perspective for construct development and testing. Organ. Behav. Hum. Decis. Proc. 2005, 97, 117–134. [Google Scholar] [CrossRef]
- Sobaih, A.; Hasanein, A.; Elshaer, I. Influences of green human resources management on environmental performance in small lodging enterprises: The role of green innovation. Sustainability 2020, 12, 10371. [Google Scholar] [CrossRef]
- He, C.; McCabe, B.; Jia, G. Effect of leader-member exchange on construction worker safety behavior: Safety climate and psychological capital as the mediators. Saf. Sci. 2021, 142, 105401. [Google Scholar] [CrossRef]
- Chaudhary, R. Green human resource management and employee green behavior: An empirical analysis. Corp. Soc. Responsib. Environ. Manag. 2020, 27, 630–641. [Google Scholar] [CrossRef]
- Robertson, J.L.; Barling, J. The psychology of green organizations; Oxford University Press: New York, NY, USA, 2015. [Google Scholar]
- Singh, S.K.; Del Giudice, M.; Chierici, R.; Graziano, D. Green innovation and environmental performance: The role of green transformational leadership and green human resource management. Technol. Forecast. Soc. Change 2020, 150, 119762. [Google Scholar] [CrossRef]
- Chen, Y.S.; Chang, C.H. The determinants of green product development performance: Green dynamic capabilities, green transformational leadership, and green creativity. J. Bus. Ethics 2013, 116, 107–119. [Google Scholar] [CrossRef]
- Farrukh, M.; Ansari, N.; Raza, A.; Wu, Y.; Wang, H. Fostering employee’s pro-environmental behavior through green transformational leadership, green human resource management and environmental Knowledge. Technol. Forecast. Soc. Change 2022, 179, 121643. [Google Scholar] [CrossRef]
- Mittal, S.; Dhar, R.L. Effect of green transformational leadership on green creativity: A study of tourist hotels. Tour. Manag. 2016, 57, 118–127. [Google Scholar] [CrossRef]
- Tepper, B.J.; Dimotakis, N.; Lambert, L.S.; Koopman, J.; Matta, F.K.; Man Park, H.; Goo, W. Examining follower responses to transformational leadership from a dynamic, person–environment fit perspective. Acad. Manag. J. 2018, 61, 1343–1368. [Google Scholar] [CrossRef] [Green Version]
- Gu, H.; Duverger, P.; Yu, L. Can innovative behavior be led by management? A study from the lodging business. Tour. Manag. 2017, 63, 144–157. [Google Scholar] [CrossRef]
- Li, W.; Bhutto, T.A.; Xuhui, W.; Maitlo, Q.; Zafar, A.U.; Bhutto, N.A. Unlocking employees’ green creativity: The effects of green transformational leadership, green intrinsic, and extrinsic motivation. J. Clean. Prod. 2020, 255, 120229. [Google Scholar] [CrossRef]
- Bissing-Olson, M.J.; Iyer, A.; Fielding, K.S.; Zacher, H. Relationships between daily affect and pro-environmental behavior at work: The moderating role of pro-environmental attitude. J. Organ. Behav. 2013, 34, 156–175. [Google Scholar] [CrossRef]
- Norton, T.A.; Parker, S.L.; Zacher, H.; Ashkanasy, N.M. Employee green behavior: A theoretical framework, multilevel review, and future research agenda. Organ. Environ. 2015, 28, 103–125. [Google Scholar] [CrossRef]
- Muller-Carmem, M.; Jackson, S.; Jabbour, C.J.; Renwick, D. Green human resource management. Z. Personalforsch. 2010, 24, 95–96. [Google Scholar]
- Robertson, J.L.; Carleton, E. Uncovering how and when environmental leadership affects employees’ voluntary pro-environmental behavior. J. Leadersh. Organ. 2018, 25, 197–210. [Google Scholar] [CrossRef]
- Sobaih, A.; Hasanein, A.; Aliedan, M.; Abdallah, H. The impact of transactional and transformational leadership on employee intention to stay in deluxe hotels: Mediating role of organisational commitment. Tour. Hosp. Res. 2022, 1467358420972156. [Google Scholar] [CrossRef]
- Kura, K.M. Linking environmentally specific transformational leadership and environmental concern to green behaviour at work. Glob. Bus. Rev. 2016, 17, 1S–14S. [Google Scholar] [CrossRef]
- Haddock-Millar, J.; Sanyal, C.; Müller-Camen, M. Green human resource management: A comparative qualitative case study of a United States multinational corporation. Int. J. Hum. Resour. Manag. 2016, 27, 192–211. [Google Scholar] [CrossRef] [Green Version]
- Wu, M.H.; Thongma, W.; Leelapattana, W.; Huang, M.L. Impact of hotel employee’s green awareness, knowledge, and skill on hotel’s overall performance. In Advances in Hospitality and Leisure; Emerald Group Publishing Limited: Bingley, UK, 2016. [Google Scholar]
- Kusi, M.; Zhao, F.; Sukamani, D. Impact of perceived organizational support and green transformational leadership on sustainable organizational performance: A SEM approach. Bus. Process Manag. J. 2021, 27, 1373–1390. [Google Scholar] [CrossRef]
- Çop, S.; Olorunsola, V.O.; Alola, U.V. Achieving environmental sustainability through green transformational leadership policy: Can green team resilience help. Bus. Strategy Environ. 2021, 30, 671–682. [Google Scholar] [CrossRef]
- Elshaer, I.; Sobaih, A.; Aliedan, M.; Azzaz, A. The effect of green human resource management on environmental performance in small tourism enterprises: Mediating role of pro-environmental behaviors. Sustainability 2021, 13, 1956. [Google Scholar] [CrossRef]
- Daily, B.F.; Bishop, J.W.; Massoud, J.A. The role of training and empowerment in environmental performance: A study of the Mexican maquiladora industry. Int. J. Oper. Prod. Manag. 2012, 32, 631–647. [Google Scholar] [CrossRef]
- Yen, C.H.; Chen, C.Y.; Teng, H.Y. Perceptions of environmental management and employee job attitudes in hotel firms. J. Hum. Resour. Hosp. Tour. 2013, 12, 155–174. [Google Scholar] [CrossRef]
- Anwar, N.; Mahmood, N.H.N.; Yusliza, M.Y.; Ramayah, T.; Faezah, J.N.; Khalid, W. Green Human Resource Management for organisational citizenship behaviour towards the environment and environmental performance on a university campus. J. Clean. Prod. 2020, 256, 120401. [Google Scholar] [CrossRef]
- Krejcie, R.V.; Morgan, D.W. Determining sample size for research activities. Educ. Psychol. Meas. 1970, 30, 607–610. [Google Scholar] [CrossRef]
- Williams, L.J.; Anderson, S.E. Job satisfaction and organizational commitment as predictors of organizational citizenship and in-role behaviors. J. Manag. 1991, 17, 601–617. [Google Scholar] [CrossRef]
- Frese, M.; Fay, D.; Hilburger, T.; Leng, K.; Tag, A. The concept of personal initiative: Operationalization, reliability and validity in two German samples. J. Occup. Psychol. 1997, 70, 139–161. [Google Scholar] [CrossRef]
- Hair, J.; Anderson, R.; Tatham, R.L.; Black, W.C. Multivariate Data Analysis, 5th ed.; Prentice-Hall: Upper Saddle River, NJ, USA, 1998. [Google Scholar]
- Nunnally, J.C. Psychometric Theory, 2nd ed.; Mc Graw-Hill: New York, NY, USA, 1978. [Google Scholar]
- Roussel, P.; Durrieu, F.; Campoy, E.; El Akremi, A. Méthodes d’Équations Structurelles: Recherche et Applications en Gestion; Economica: Paris, France, 2002. [Google Scholar]
- Pedhazur, E.J.; Pedhazur Schmelkin, L. Measurement, Design, and Analysis: An Integrated Approach; LEA: Hillsdale, NJ, USA, 1991. [Google Scholar]
- Roussel, P. Méthodes de Développement d’Échelles Pour Questionnaires d’Enquête. In Management des Ressources Humaines: Méthodes de Recherche en Sciences Humaines et Sociales; Roussel, P., Wacheux, F., Eds.; De Boeck Supérieur: Paris, France, 2005; pp. 245–276. [Google Scholar]
- Bentler, P.M.; Bonett, D.G. Significance Tests and Goodness-Of-Fit in the Analysis of Covariance Structures. Psychol. Bull. 1980, 88, 588–600. [Google Scholar] [CrossRef]
- Evrard, Y.; Pras, B.; Roux, E. Market: Etudes et Recherches en Marketing; Dunod: Paris, France, 2000. [Google Scholar]
- Kline, R.B. Principles and Practice of Structural Equation Modeling; Guilford Publications: New York, NY, USA, 2015. [Google Scholar]
- Hair, J.; Anderson, R.; Tatham, R.; Black, W. Multivariate Data Analysis; Prentice Hall: Saddle River, NJ, USA, 2014. [Google Scholar]
- Fornell, C.; Larcker, D. Evaluating structural equation models with unobservable variables and measurement error. J. Mark. Res. 1981, 18, 39–50. [Google Scholar] [CrossRef]
- Baron, R.M.; Kenny, D.A. The Moderator–Mediator Variable Distinction in Social Psychological Research: Conceptual, Strategic, and Statistical Considerations. Pers. Soc. Psychol. 1986, 51, 1173–1182. [Google Scholar] [CrossRef]
- Gharbi, H.; Sobaih, A.E.E.; Aliane, N.; Almubarak, A. The Role of Innovation Capacities in the Relationship between Green Human Resource Management and Competitive Advantage in the Saudi Food Industry: Does Gender of Entrepreneurs Really Matter? Agriculture 2022, 12, 857. [Google Scholar] [CrossRef]


| Abb. | Factors | Main Factor | Sources | 
|---|---|---|---|
| GTL1 | The leader of the green innovation project inspires the project members with the environmental plans | Green Transformational Leadership | Chen and Chang [22] | 
| GTL2 | The leader of the project provides a clear environmental vision for the project members to follow | ||
| GTL3 | The leader of the green innovation project gets the project members to work together for the same environmental goals | ||
| GTL4 | The leader of the green innovation project encourages the project members to achieve the environmental goals | ||
| GTL5 | The leader of the green innovation project acts by considering the environmental beliefs of the project members | ||
| GTL6 | The leader of the green innovation project stimulates the project members to think about green ideas | ||
| TB7 | Performance appraisal records environmental performance | Task-related behavior | Williams and Anderson [43] | 
| TB8 | Performance appraisal includes environmental incidents, responsibilities, concerns, and policy | ||
| TB9 | Employee gets reward for environmental management | ||
| PB10 | Employees are involved to become environmentally friendly | Pro-environmental behavior | Frese et al. [44] | 
| PB11 | Using teamwork for resolving environmental issues | ||
| PB12 | Employees to discuss environmental issues in team meetings | ||
| EP13 | Environmental management within our enterprise has reduced waste | Environmental performance | Kim et al. [14] | 
| EP14 | Environmental management within our enterprise has conserved water usage | ||
| EP15 | Environmental management within our enterprise has conserved energy usage | ||
| EP16 | Environmental management has reduced purchases of non-renewable materials, chemicals, and components | ||
| EP17 | Environmental management has reduced overall costs | ||
| EP18 | Environmental management has reduced waste and improved its position in the marketplace | ||
| EP19 | Environmental management has helped enhance the reputation of our enterprise | 
| Abbr. | Item | Min | Max | M | SD | Skewness | Kurtosis | 
|---|---|---|---|---|---|---|---|
| Green Transformational Leadership | |||||||
| GTL1 | The leader of the green innovation project inspires the project members with the environmental plans | 1 | 5 | 4.41 | 1.140 | −2.069 | 3.262 | 
| GTL2 | The leader of the green innovation project provides a clear environmental vision for the project members to follow | 1 | 5 | 4.32 | 1.059 | −1.747 | 2.339 | 
| GTL 3 | The leader of the green innovation project gets the project members to work together for the same environmental goals | 1 | 5 | 4.39 | 1.070 | −1.891 | 2.680 | 
| GTL 4 | The leader of the green innovation project encourages the project members to achieve the environmental goals | 1 | 5 | 4.29 | 1.250 | −1.964 | 2.765 | 
| GTL 5 | The leader of the green innovation project acts by considering the environmental beliefs of the project members | 1 | 5 | 4.32 | 1.128 | −1.882 | 2..761 | 
| GTL 6 | The leader of the green innovation project stimulates the project members to think about green ideas | 1 | 5 | 4.39 | 1.137 | −2.018 | 3115 | 
| Task-related Behaviour | |||||||
| TB 7 | Performance appraisal records environmental performance | 1 | 5 | 4.07 | 0.985 | −1.474 | 2.121 | 
| TB 8 | Performance appraisal includes environmental incidents responsibilities, concerns, and policy | 1 | 5 | 4.24 | 1.067 | −1.555 | 1.727 | 
| TB 9 | Employee gets reward for environmental management | 1 | 5 | 4.17 | 1.093 | −1.683 | 2.410 | 
| Pro-environmental Behaviour | |||||||
| PB 10 | Employees are involved to become environmentally friendly | 1 | 5 | 4.22 | 1.194 | −1.745 | 2.216 | 
| PB 11 | Using teamwork for resolving environmental issues | 1 | 5 | 4.10 | 1.200 | −1.747 | 2.356 | 
| PB 12 | Employees to discuss environmental issues in team meetings. | 1 | 5 | 4.07 | 1.149 | −1.606 | 2.073 | 
| Environmental Performance | |||||||
| EP 13 | Environmental management within our enterprise has reduced waste | 1 | 5 | 4.51 | 1.207 | −2.363 | 4.135 | 
| EP 14 | Environmental management within our enterprise has conserved water usage | 1 | 5 | 4.44 | 1.074 | −2.001 | 2.985 | 
| EP 15 | Environmental management within our enterprise has conserved energy usage | 1 | 5 | 4.54 | 1.002 | −2.062 | 2.768 | 
| EP 16 | Environmental management has reduced purchases of non-renewable materials, chemicals, and components | 1 | 5 | 4.49 | 1.075 | −2.123 | 3.360 | 
| EP 17 | Environmental management has reduced overall costs | 1 | 5 | 4.49 | 1.075 | −2.123 | 3.360 | 
| EP 18 | Environmental management has reduced waste and improved its position in the marketplace | 1 | 5 | 4.46 | 1.002 | −1.851 | 2.136 | 
| EP 19 | Environmental management has helped enhance the reputation of our enterprise | 1 | 5 | 4.39 | 1.137 | −2.018 | 3.115 | 
| Items | SL | CR * | AVE * | MSV * | 1 | 2 | 3 | 4 | 
|---|---|---|---|---|---|---|---|---|
| 1-Green Transformational Leadership (α = 0.962) | 0.968 | 0.834 | 0.495 | 0.913 | ||||
| -The leader of the green innovation project inspires the project members with the environmental plans | 0.931 | |||||||
| -The leader of the green innovation project provides a clear environmental vision for the project members to follow | 0.892 | |||||||
| -The leader of the green innovation project gets the project members to work together for the same environmental goals | 0.903 | |||||||
| -The leader of the green innovation project encourages the project members to achieve the environmental goals | 0.933 | |||||||
| -The leader of the green innovation project acts by considering the environmental beliefs of the project members | 0.898 | |||||||
| -The leader of the green innovation project stimulates the project members to think about green ideas | 0.921 | |||||||
| 2-Task-related behaviour (α = 0.877) | 0.924 | 0.801 | 0.625 | 0. 566 | 0.894 | |||
| -Performance appraisal records environmental performance | 0.913 | |||||||
| -Performance appraisal includes environmental incidents, responsibilities, concerns, and policy | 0.878 | |||||||
| -Employee gets reward for environmental management | 0.894 | |||||||
| 3-Pro-environmental behavior (α = 0.863) | 0.949 | 0.860 | 0.677 | 0.546 | 0.623 | 0.927 | ||
| -Employees are involved to become environmentally friendly | 0.926 | |||||||
| -Using teamwork for resolving environmental issues | 0.940 | |||||||
| -Employees to discuss environmental issues in team meetings | 0.916 | |||||||
| 4-Environmental Performance (α = 0.914) | 0.980 | 0.874 | 0.533 | 0.692 | 0.321 | 0.619 | 0.934 | |
| -Environmental management within our enterprise has reduced waste | 0.962 | |||||||
| -Environmental management within our enterprise has conserved water usage | 0.921 | |||||||
| -Environmental management within our enterprise has conserved energy usage | 0.958 | |||||||
| -Environmental management has reduced purchases of non-renewable materials, chemicals, and components | 0.933 | |||||||
| -Environmental management has reduced overall costs | 0.926 | |||||||
| -Environmental management has reduced waste and improved its position in the marketplace | 0.916 | |||||||
| -Environmental management has helped enhance the reputation of our enterprise | 0.927 | 
| Hypotheses | β | C-R T-Value | R² | Hypotheses Results | 
|---|---|---|---|---|
| H1—LEAD (GTFL) → TASK | 0.82 *** | 9.603 | Supported | |
| H2—LEAD (GTFL) → PROACT | 0.95 ** | 9.501 | Supported | |
| H3—TASK → PERFOR (EP) | 0.20 ** | 0.577 | Supported | |
| H4—PROACT → PERFOR (EP) | 0.13 ** | 0.681 | Supported | |
| H5—LEAD (GTFL) → PERFOR (EP) | 0.80 ** | 2.078 | Supported | |
| PERFOR (EP) Through TASK | 0.681 | |||
| PERFOR (EP) Through PROACT | 0.753 | 
| Hypotheses | Estimate | Lower | Upper | p | Mediation Results | 
|---|---|---|---|---|---|
| H6—LEAD (GTFL) → TASK → PERFOR (EP) | 0.297 | 0.177 | 0.340 | 0.032 | 0.032 > 0.05 Partial Mediation | 
| H7—LEAD (GTFL) → =PROACT → PERFOR (EP) | 0.297 | 0.177 | 0.340 | 0.051 | 0.051 < 0.05 Perfect Mediation | 
| Publisher’s Note: MDPI stays neutral with regard to jurisdictional claims in published maps and institutional affiliations. | 
© 2022 by the authors. Licensee MDPI, Basel, Switzerland. This article is an open access article distributed under the terms and conditions of the Creative Commons Attribution (CC BY) license (https://creativecommons.org/licenses/by/4.0/).
Share and Cite
Sobaih, A.E.E.; Hasanein, A.; Gharbi, H.; Abu Elnasr, A.E. Going Green Together: Effects of Green Transformational Leadership on Employee Green Behaviour and Environmental Performance in the Saudi Food Industry. Agriculture 2022, 12, 1100. https://doi.org/10.3390/agriculture12081100
Sobaih AEE, Hasanein A, Gharbi H, Abu Elnasr AE. Going Green Together: Effects of Green Transformational Leadership on Employee Green Behaviour and Environmental Performance in the Saudi Food Industry. Agriculture. 2022; 12(8):1100. https://doi.org/10.3390/agriculture12081100
Chicago/Turabian StyleSobaih, Abu Elnasr E., Ahmed Hasanein, Hassane Gharbi, and Ahmed E. Abu Elnasr. 2022. "Going Green Together: Effects of Green Transformational Leadership on Employee Green Behaviour and Environmental Performance in the Saudi Food Industry" Agriculture 12, no. 8: 1100. https://doi.org/10.3390/agriculture12081100
APA StyleSobaih, A. E. E., Hasanein, A., Gharbi, H., & Abu Elnasr, A. E. (2022). Going Green Together: Effects of Green Transformational Leadership on Employee Green Behaviour and Environmental Performance in the Saudi Food Industry. Agriculture, 12(8), 1100. https://doi.org/10.3390/agriculture12081100
 
         
                                                




 
       