Regional Difference in Distribution Pattern and Morphological Characteristics of Embayed Sandy Beaches in Zhejiang Province, Eastern China
Abstract
1. Introduction
2. Study Area
2.1. Geographical Location and Geological Setting
2.2. Coastal Hydrodynamic Environment
3. Materials and Methods
3.1. Collection and Processing of Beach Slope and Sediment
3.2. Collection and Processing of Beach Length and Dry Beach Width
3.3. Collection and Processing of Embayment Characteristic Parameters
3.4. Correlation Analysis and Principal Component Analysis
4. Results
4.1. Beach Slope and Sediment Grain Size
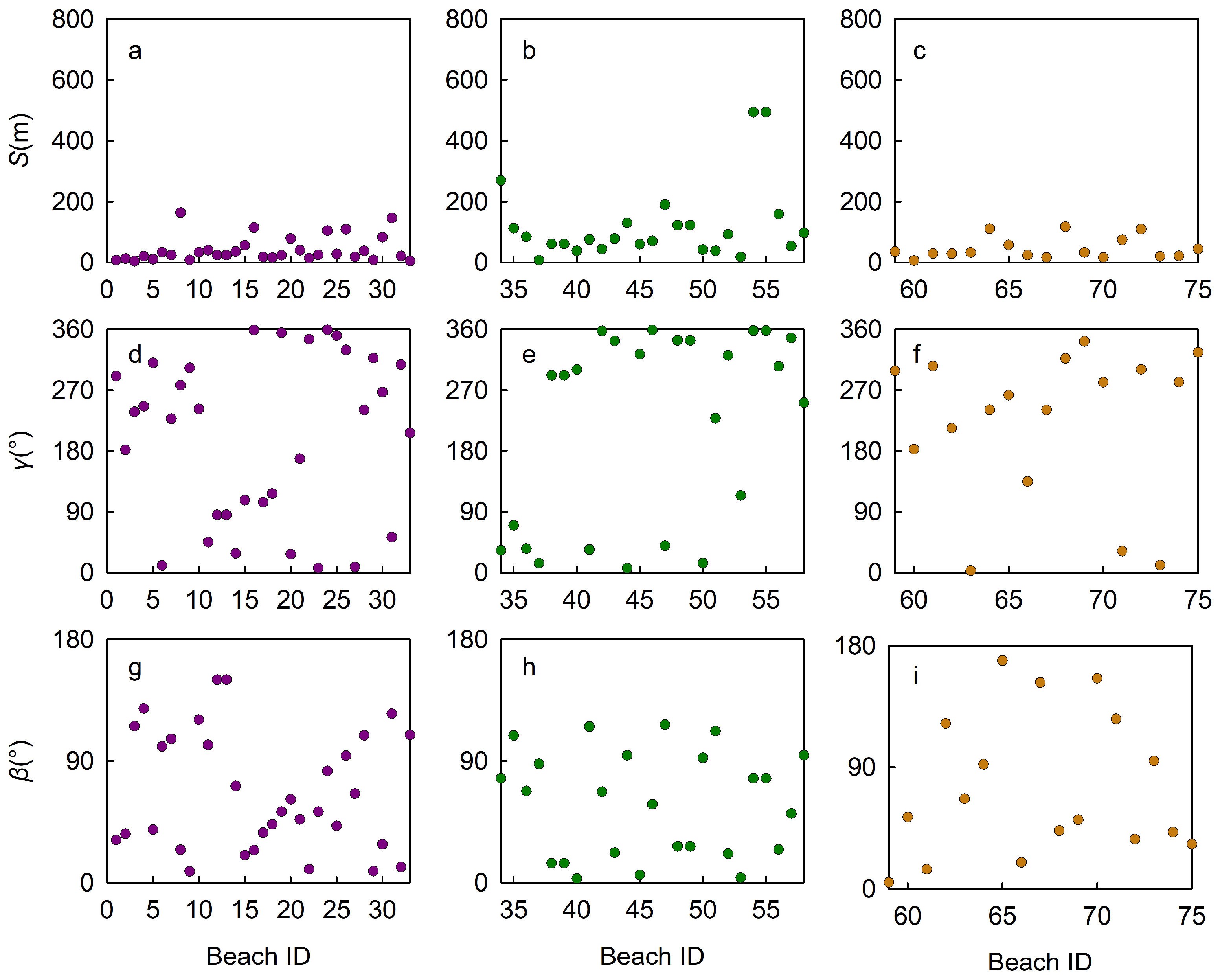
4.2. Beach Length and Dry Beach Width
4.3. Embayment Characteristics
5. Discussion
5.1. Difference in the Distribution and Morphological Characteristics of Beaches in Zhejiang
5.2. Controlling Factors of the Different Distribution and Morphology among Zhejiang Beaches
5.2.1. NZ Beaches
5.2.2. CZ Beaches
5.2.3. SZ Beaches
5.3. Influence of Hydrodynamic Environment on Beach Morphological Characteristics
5.4. Influence of Human Activities on Beach Evolution
6. Conclusions
Supplementary Materials
Author Contributions
Funding
Institutional Review Board Statement
Informed Consent Statement
Data Availability Statement
Acknowledgments
Conflicts of Interest
References
- Luijendijk, A.; Hagenaars, G.; Ranasinghe, R.; Baart, F.; Donchyts, G.; Aarninkhof, S. The State of the World’s Beaches. Sci. Rep. 2018, 8, 6641. [Google Scholar] [CrossRef] [PubMed]
- Park, K.; Reisinger, Y.; Kang, H. Visitors’ Motivation for Attending the South Beach Wine and Food Festival, Miami Beach, Florida. J. Travel Tour. Mark. 2008, 25, 161–181. [Google Scholar] [CrossRef]
- Castelle, B.; Turner, I.L.; Bertin, X.; Tomlinson, R. Beach Nourishments at Coolangatta Bay over the Period 1987–2005: Impacts and Lessons. Coast. Eng. 2009, 56, 940–950. [Google Scholar] [CrossRef]
- Hamm, L.; Capobianco, M.; Dette, H.H.; Lechuga, A.; Spanhoff, R.; Stive, M.J.F. A Summary of European Experience with Shore Nourishment. Coast. Eng. 2002, 47, 237–264. [Google Scholar] [CrossRef]
- Hanson, H.; Brampton, A.; Capobianco, M.; Dette, H.H.; Hamm, L.; Laustrup, C.; Lechuga, A.; Spanhoff, R. Beach Nourishment Projects, Practices, and Objectives—A European Overview. Coast. Eng. 2002, 47, 81–111. [Google Scholar] [CrossRef]
- Dai, Z.; Li, C. Coastline Configuration and Geomorphologic Development Mode of Arc-Shaped Coast in South China. Acta Geogr. Sin. 2004, 59, 92–95. [Google Scholar]
- Fellowes, T.E.; Vila-Concejo, A.; Gallop, S.L. Morphometric Classification of Swell-Dominated Embayed Beaches. Mar. Geol. 2019, 411, 78–87. [Google Scholar] [CrossRef]
- Gallop, S.L.; Kennedy, D.M.; Loureiro, C.; Naylor, L.A.; Fellowes, T.E. Geologically Controlled Sandy Beaches: Their Geomorphology, Morphodynamics and Classification. Sci. Total Environ. 2020, 731, 139123. [Google Scholar] [CrossRef] [PubMed]
- Li, Z.; Li, W.; Chen, Z.; Zhu, Y. Influencing Factors and Classifications of Arc-Shaped Coasts in South China. Acta Geogr. Sin. 2014, 69, 595–606. [Google Scholar]
- Ding, Y.; Yu, J.; Cheng, H. Long-Term Wave Climate Characteristics and Potential Impacts on Embayed Beaches along the West Guangdong Coastline. Reg. Stud. Mar. Sci. 2019, 30, 100741. [Google Scholar] [CrossRef]
- Komar, P.D. Beach Processes and Sedimentation, 2nd ed.; Prentice-Hall: New Jersey, NJ, USA, 1976; pp. 270–327. [Google Scholar]
- Butt, T.; Russell, P. Hydrodynamics and Cross-Shore Sediment Transport in the Swash-Zone of Natural Beaches: A Review. J. Coast. Res. 2000, 16, 255–268. [Google Scholar]
- Iglesias, G.; López, I.; Carballo, R.; Castro, A. Headland-Bay Beach Planform and Tidal Range: A Neural Network Model. Geomorphology 2009, 112, 135–143. [Google Scholar] [CrossRef]
- Wright, L.D.; Short, A.D. Morphodynamic Variability of Surf Zones and Beaches: A Synthesis. Mar. Geol. 1984, 56, 93–118. [Google Scholar] [CrossRef]
- Li, Z.; Lei, H. Distribution and Existing Problems of Sandy Coast in China. Mar. Geol. Front. 2006, 22, 1–4. [Google Scholar]
- da Silva, G.M.; Mousavi, S.M.S.; Jose, F. Wave-Driven Sediment Transport and Beach-Dune Dynamics in a Headland Bay Beach. Mar. Geol. 2012, 323–325, 29–46. [Google Scholar] [CrossRef]
- Backstrom, J.T.; Jackson, D.W.T.; Cooper, J.A.G. Contemporary Morphodynamics of a High-Energy Headland-Embayment Shoreface. Cont. Shelf Res. 2009, 29, 1361–1372. [Google Scholar] [CrossRef]
- Bluck, B.J. Structure of Gravel Beaches and Their Relationship to Tidal Range. Sedimentology 2011, 58, 994–1006. [Google Scholar] [CrossRef]
- Jackson, D.W.T.; Cooper, J.A.G. Geological Control on Beach Form: Accommodation Space and Contemporary Dynamics. J. Coast. Res. 2009, I, 69–72. [Google Scholar]
- Pranzini, E.; Rosas, V.; Jackson, N.L.; Nordstrom, K.F. Beach Changes from Sediment Delivered by Streams to Pocket Beaches during a Major Flood. Geomorphology 2013, 199, 36–47. [Google Scholar] [CrossRef]
- Cai, F.; Dean, R.G.; Liu, J. Beach Nourishment in China: Status and Prospects. Coast. Eng. Proc. 2011, 1, 31. [Google Scholar] [CrossRef]
- Luo, S.; Liu, Y.; Jin, R.; Zhang, J.; Wei, W. A Guide to Coastal Management: Benefits and Lessons Learned of Beach Nourishment Practices in China over the Past Two Decades. Ocean Coast. Manag. 2016, 134, 207–215. [Google Scholar] [CrossRef]
- Paris, P.; Leach, A.; Corbett, D.R. Potential Long-Term Disturbance Associated with Beach Nourishment—Insights and Observations from Pea Island National Wildlife Refuge, Outer Banks, North Carolina. Heliyon 2023, 9, e12816. [Google Scholar] [CrossRef] [PubMed]
- Ramesh, M.; Swathy Krishna, P.S.; Amrutha Raj, V.; Sheela Nair, L. Coupled Coastal Monitoring Framework for the Analysis of Beach Stability and Nearshore Hydrodynamics of a Structure Influenced Medium Energy Coast in India. Ocean Coast. Manag. 2023, 239, 106619. [Google Scholar] [CrossRef]
- Short, A.D.; Masselink, G.G. Embayed and Structurally Controlled Beaches. In Handbook of Beach and Shoreface Morphodynamics; Short, A.D., Ed.; Wiley: Chichester, UK, 1999; pp. 230–250. ISBN 978-0-471-96570-1. [Google Scholar]
- Castelle, B.; Robinet, A.; Idier, D.; D’Anna, M. Modelling of Embayed Beach Equilibrium Planform and Rotation Signal. Geomorphology 2020, 369, 107367. [Google Scholar] [CrossRef]
- George, D.A.; Largier, J.L.; Pasternack, G.B.; Barnard, P.L.; Storlazzi, C.D.; Erikson, L.H. Modeling Sediment Bypassing around Idealized Rocky Headlands. J. Mar. Sci. Eng. 2019, 7, 40. [Google Scholar] [CrossRef]
- Horta, J.; Oliveira, S.; Moura, D.; Ferreira, Ó. Nearshore Hydrodynamics at Pocket Beaches with Contrasting Wave Exposure in Southern Portugal. Estuar. Coast. Shelf Sci. 2018, 204, 40–55. [Google Scholar] [CrossRef]
- Valiente, N.G.; Masselink, G.; Scott, T.; Conley, D.; McCarroll, R.J. Role of Waves and Tides on Depth of Closure and Potential for Headland Bypassing. Mar. Geol. 2019, 407, 60–75. [Google Scholar] [CrossRef]
- Bowman, D.; Guillén, J.; López, L.; Pellegrino, V. Planview Geometry and Morphological Characteristics of Pocket Beaches on the Catalan Coast (Spain). Geomorphology 2009, 108, 191–199. [Google Scholar] [CrossRef]
- da Fontoura Klein, A.H.; de Menezes, J.T. Beach Morphodynamics and Profile Sequence for a Headland Bay Coast. J. Coast. Res. 2001, 17, 812–835. [Google Scholar]
- Prodger, S.; Russell, P.; Davidson, M.; Miles, J.; Scott, T. Understanding and Predicting the Temporal Variability of Sediment Grain Size Characteristics on High-Energy Beaches. Mar. Geol. 2016, 376, 109–117. [Google Scholar] [CrossRef]
- Cai, F. Overview of Beach Resources in China; China Ocean Press: Beijing, China, 2019. [Google Scholar]
- Xia, X. Thematic Investigation and Research Report on Shoreline Geomorphology and Silting Dynamics; Second Institute of Oceanography, State Oceanic Administration: Hangzhou, China, 2011. [Google Scholar]
- Liu, J.P.; Li, A.C.; Xu, K.H.; Velozzi, D.M.; Yang, Z.S.; Milliman, J.D.; DeMaster, D.J. Sedimentary Features of the Yangtze River-Derived along-Shelf Clinoform Deposit in the East China Sea. Cont. Shelf Res. 2006, 26, 2141–2156. [Google Scholar] [CrossRef]
- Liu, J.P.; Xu, K.H.; Li, A.C.; Milliman, J.D.; Velozzi, D.M.; Xiao, S.B.; Yang, Z.S. Flux and Fate of Yangtze River Sediment Delivered to the East China Sea. Geomorphology 2007, 85, 208–224. [Google Scholar] [CrossRef]
- Wang, L.; Zhou, Y.; Shen, F. Suspended Sediment Diffusion Mechanisms in the Yangtze Estuary Influenced by Wind Fields. Estuar. Coast. Shelf Sci. 2018, 200, 428–436. [Google Scholar] [CrossRef]
- Hu, R.; Wu, J.; Li, G.; Zhu, L.; Ma, F. Characteristics of Sediment Transport in the Zhoushan Archipelago Sea Area. Acta Oceanol. Sin. 2009, 28, 116–127. [Google Scholar]
- Li, G.; Gao, S.; Wang, Y.; Li, C. Sediment Flux from the Zhoushan Archipelago, Eastern China. J. Geog. Sci. 2018, 28, 387–399. [Google Scholar] [CrossRef]
- Guo, J.; Shi, L.; Chen, S.; Castelle, B.; Chang, Y.; Cheng, W. Sand-Mud Transition Dynamics at Embayed Beaches during a Typhoon Season in Eastern China. Mar. Geol. 2021, 441, 106633. [Google Scholar] [CrossRef]
- Jiang, Z.; Shi, L.; Guo, J.; Zhang, M. Storm Response and Recovery Process after Nourishment of Dongsha Beach, Zhujiajian Island, Zhejiang Province. J. Coast. Res. 2020, 95, 231–236. [Google Scholar] [CrossRef]
- Lu, J. Research Report on the Regional Climate of 908 Special Island Survey in Zhejiang Province; Zhejiang Ocean Monitoring and Forecast Center: Hangzhou, China, 2010; pp. 54–67. [Google Scholar]
- Wang, K. Comprehensive Survey of Island Resources in Zhejiang Province; Second Institute of Oceanography, State Oceanic Administration: Hangzhou, China, 1994. [Google Scholar]
- Wang, J.; Li, J. Analysis of Geomorphic Environment on the Formation of Coastal Cultural Resources in Zhejiang Province. J. Jingchu Univ. Technol. 2010, 25, 63–66. [Google Scholar]
- CCRBC (Compilation Committee of Records of Bays in China). Records of Bays in China, Volume 5, Bays in Shanghai and North Zhejiang; China Ocean Press: Beijing, China, 1992. [Google Scholar]
- CCRBC (Compilation Committee of Records of Bays in China). Records of Bays in China, Volume 6, Bays in South Zhejiang; China Ocean Press: Beijing, China, 1993. [Google Scholar]
- Yu, S. Study on the Influence of Coastal Storm Surge Level on Typhoon Wave in Zhejiang Province. Master’s Thesis, Zhejiang University, Hangzhou, China, 2012. [Google Scholar]
- Zhang, H. Basic Status of Marine Environmental Resources in Zhejiang Province; China Ocean Press: Beijing, China, 2013. [Google Scholar]
- Chen, Q.; Huang, D.; Zhang, B.; Wang, M. The Research of the Tidal Features in the Coastal Zone of Zhejiang Province. Donghai Mar. Sci. 2003, 21, 1–12. [Google Scholar]
- Carver, R.E. Procedures in Sedimentary Petrology; Wiley-Interscience: New York, NY, USA, 1971. [Google Scholar]
- Folk, R.L.; Ward, W.C. Brazos River Bar [Texas]; A Study in the Significance of Grain Size Parameters. J. Sediment. Res. 1957, 27, 3–26. [Google Scholar] [CrossRef]
- Hsu, J.R.C.; Evans, C. Parabolic Bay Shapes and Applications. ICE Proc. 1989, 87, 557–570. [Google Scholar] [CrossRef]
- Chen, D. Econometric Geography: Methods and Applications; Nanjing University Press: Nanjing, China, 2011. [Google Scholar]
- Hsu, J.R.C.; Silvester, R.; Xia, Y.M. Application of Headland Control. J. Waterw. Ports Coast. Ocean Eng. 1989, 115, 299–310. [Google Scholar] [CrossRef]
- Castelle, B.; Coco, G. The Morphodynamics of Rip Channels on Embayed Beaches. Cont. Shelf Res. 2012, 43, 10–23. [Google Scholar] [CrossRef]
- Loureiro, C.; Ferreira, Ó.; Cooper, J.A.G. Geologically Constrained Morphological Variability and Boundary Effects on Embayed Beaches. Mar. Geol. 2012, 329–331, 1–15. [Google Scholar] [CrossRef]
- Masselink, G.; Scott, T.; Poate, T.; Russell, P.; Davidson, M.; Conley, D. The Extreme 2013/2014 Winter Storms: Hydrodynamic Forcing and Coastal Response along the Southwest Coast of England. Earth Surf. Proc. Land. 2016, 41, 378–391. [Google Scholar] [CrossRef]
- Cai, F. Brief Introduction of Chinese Beach Resources; Ocean Press: Beijing, China, 2019. [Google Scholar]
- Gomes, E.R.; Mulligan, R.P.; Brodie, K.L.; McNinch, J.E. Bathymetric Control on the Spatial Distribution of Wave Breaking in the Surf Zone of a Natural Beach. Coast. Eng. 2016, 116, 180–194. [Google Scholar] [CrossRef]
- Aagaard, T.; Greenwood, B.; Hughes, M. Sediment Transport on Dissipative, Intermediate and Reflective Beaches. Earth-Sci. Rev. 2013, 124, 32–50. [Google Scholar] [CrossRef]
- Sreenivasulu, G.; Jayaraju, N.; Reddy, B.C.S.R.; Prasad, T.L.; Lakshmanna, B.; Nagalakshmi, K. Coastal Morphodynamics of Tupilipalem Coast, Andhra Pradesh, Southeast Coast of India. Curr. Sci. India. 2017, 112, 823–829. [Google Scholar] [CrossRef]
- Davies, J.L.; Gideon, J.D.; Davies, M.C. A Morphogenic Approach to World Shorelines. Z. Geomorphol. 1964, 8, 127–142. [Google Scholar] [CrossRef]
- Huang, S.; Yao, W.; Liu, X.; Wu, C. Profile Characteristics of the Beaches Adjacent to Muddy Seabed in the Headland Bays. Chin. Coast. Eng. 2016, 35, 1–9. [Google Scholar]
- Li, M.; Sun, Z.; Gong, Y.; Hu, Y. Numerical Simulation of Sand-Mud Coexisting Beach Based on Delft-3D. Bull. Sci. Technol. 2019, 35, 109–113. [Google Scholar]
- Li, Y.; Zhang, C.; Zhao, S.; Qi, H.; Cai, F.; Zheng, J. Equilibrium Configurations of Sandy-Muddy Transitional Beaches on South China Coasts: Role of Waves in Formation of Sand-Mud Transition Boundary. Coast. Eng. 2024, 187, 104401. [Google Scholar] [CrossRef]
- Zhao, S.; Cai, F.; Qi, H.; Liu, J.; Cao, C.; Liu, G.; Lei, G. Sediment Source-to-Sink Process Variations of Sandy-Muddy Transitional Beaches and Their Morphological Indications. Acta Oceanol. Sin. 2023, 42, 10–24. [Google Scholar] [CrossRef]
- Anthony, E.J.; Dolique, F. The Influence of Amazon-Derived Mud Banks on the Morphology of Sandy Headland-Bound Beaches in Cayenne, French Guiana: A Short- to Long-Term Perspective. Mar. Geol. 2004, 208, 249–264. [Google Scholar] [CrossRef]
- Calliari, L.J.; Machado, A.A.; Marroig, P.; Vinzon, S.; Gianuca, N. Mud Deposits at Cassino Beach: Role of Dredging. Geo-Mar. Lett. 2020, 40, 1031–1043. [Google Scholar] [CrossRef]
- Chang, T.S.; Hong, S.H.; Chun, S.S.; Choi, J.-H. Age and Morphodynamics of a Sandy Beach Fronted by a Macrotidal Mud Flat along the West Coast of Korea: A Lateral Headland Bypass Model for Beach-Dune Formation. Geo-Mar. Lett. 2017, 37, 361–371. [Google Scholar] [CrossRef]
- Tamura, T.; Horaguchi, K.; Saito, Y.; Nguyen, V.L.; Tateishi, M.; Ta, T.K.O.; Nanayama, F.; Watanabe, K. Monsoon-Influenced Variations in Morphology and Sediment of a Mesotidal Beach on the Mekong River Delta Coast. Geomorphology 2010, 116, 11–23. [Google Scholar] [CrossRef]
- Qiao, L.; Liu, S.; Xue, W.; Liu, P.; Hu, R.; Sun, H.; Zhong, Y. Spatiotemporal Variations in Suspended Sediments over the Inner Shelf of the East China Sea with the Effect of Oceanic Fronts. Estuar. Coast. Shelf Sci. 2020, 234, 106600. [Google Scholar] [CrossRef]
- Cai, F.; Liu, G. Beach Nourishment Development and Technological Innovations in China: An Overview. J. Appl. Oceanogr. 2019, 38, 452–463. [Google Scholar]
- Cooper, J.A.G.; Masselink, G.; Coco, G.; Short, A.D.; Castelle, B.; Rogers, K.; Anthony, E.; Green, A.N.; Kelley, J.T.; Pilkey, O.H.; et al. Sandy Beaches Can Survive Sea-Level Rise. Nat. Clim. Chang. 2020, 10, 993–995. [Google Scholar] [CrossRef]
- de Schipper, M.A.; Ludka, B.C.; Raubenheimer, B.; Luijendijk, A.P.; Schlacher, T.A. Beach Nourishment Has Complex Implications for the Future of Sandy Shores. Nat. Rev. Earth Environ. 2021, 2, 70–84. [Google Scholar] [CrossRef]
- Guo, J.; Shi, L.; Pan, S.; Ye, Q.; Cheng, W.; Chang, Y.; Chen, S. Monitoring and Evaluation of Sand Nourishments on an Embayed Beach Exposed to Frequent Storms in Eastern China. Ocean Coast. Manag. 2020, 195, 105284. [Google Scholar] [CrossRef]
- Kuang, C.; Mao, X.; Gu, J.; Niu, H.; Ma, Y.; Yang, Y.; Qiu, R.; Zhang, J. Morphological Processes of Two Artificial Submerged Shore-Parallel Sandbars for Beach Nourishment in a Nearshore Zone. Ocean Coast. Manag. 2019, 179, 104870. [Google Scholar] [CrossRef]
Parameter | Mz | a | L | b | S | β | γ | a/b | |
---|---|---|---|---|---|---|---|---|---|
1.000 | |||||||||
Mz | 0.523 | 1.000 | |||||||
a | −0.230 | 0.109 | 1.000 | ||||||
L | −0.036 | 0.098 | 0.554 | 1.000 | |||||
b | −0.197 | 0.015 | 0.756 | 0.575 | 1.000 | ||||
S | −0.068 | 0.003 | 0.587 | 0.533 | 0.595 | 1.000 | |||
β | 0.035 | −0.039 | −0.226 | −0.098 | −0.224 | −0.223 | 1.000 | ||
γ | 0.080 | 0.150 | 0.020 | −0.012 | −0.079 | 0.096 | −0.274 | 1.000 | |
a/b | −0.058 | 0.168 | 0.343 | 0.036 | −0.182 | 0.048 | −0.132 | 0.084 | 1.000 |
PC | Mz | a | L | b | S | γ | β | a/b | TR | ||
---|---|---|---|---|---|---|---|---|---|---|---|
NZ1 | −0.173 | −0.130 | 0.246 | 0.230 | 0.232 | 0.095 | 0.028 | 0.191 | 0.015 | −0.065 | −0.065 |
NZ2 | 0.323 | 0.321 | 0.063 | 0.173 | 0.096 | 0.021 | −0.283 | 0.250 | −0.164 | 0.312 | −0.016 |
NZ3 | 0.066 | 0.127 | 0.113 | −0.014 | −0.200 | 0.047 | 0.275 | 0.130 | 0.613 | 0.295 | −0.353 |
NZ4 | −0.015 | −0.329 | 0.178 | −0.057 | −0.114 | −0.223 | −0.237 | 0.179 | 0.351 | 0.260 | 0.681 |
CZ1 | −0.050 | −0.027 | 0.255 | 0.229 | 0.268 | 0.241 | 0.089 | 0.095 | −0.044 | 0.120 | 0.024 |
CZ2 | 0.502 | 0.449 | −0.017 | 0.005 | 0.019 | 0.016 | 0.208 | −0.074 | −0.141 | 0.096 | 0.099 |
CZ3 | 0.082 | 0.174 | −0.017 | 0.035 | −0.115 | 0.073 | −0.442 | 0.476 | 0.175 | 0.120 | 0.220 |
CZ4 | 0.064 | 0.258 | 0.227 | 0.037 | 0.022 | 0.008 | 0.009 | 0.062 | 0.439 | −0.333 | −0.491 |
SZ1 | −0.188 | −0.081 | 0.265 | 0.180 | 0.290 | 0.157 | −0.123 | 0.137 | 0.003 | −0.125 | 0.194 |
SZ2 | −0.142 | −0.271 | 0.167 | −0.106 | 0.088 | 0.149 | 0.180 | −0.293 | 0.268 | 0.186 | −0.197 |
SZ3 | 0.433 | 0.431 | 0.211 | −0.053 | 0.090 | 0.237 | 0.060 | 0.014 | 0.328 | 0.193 | 0.184 |
SZ4 | −0.121 | −0.066 | −0.171 | 0.219 | −0.123 | 0.102 | −0.391 | 0.408 | 0.238 | 0.505 | −0.227 |
ID | Name | w (m) | l (m) | Mz (μm) | S (m) | β (°) | γ (°) | a/b | L (m) | TR (m) | |
---|---|---|---|---|---|---|---|---|---|---|---|
30 | Yangshashan | 118.52 | 322.9 | 335.26 | 82.89 | 28.39 | 267.08 | 0.65 | 262.88 | 2.06 | 0.40 |
34 | Changshayucun | 62.43 | 919.89 | 609.3 | 270.1 | 77.07 | 32.8 | 0.66 | 237.46 | 2.45 | 0.40 |
50 | Hutoushanzui | 68.13 | 234.58 | 218.78 | 42.25 | 92.38 | 14.01 | 0.59 | 71.76 | 4.17 | 0.50 |
52 | Mushao | 80.75 | 440.55 | 225.92 | 92.92 | 21.39 | 321.48 | 0.54 | 168.28 | 4.17 | 0.50 |
54 | Longwan | 68.53 | 286.98 | 212.25 | 494.65 | 77.2 | 358.16 | 0.59 | 448.97 | 4.17 | 0.50 |
Disclaimer/Publisher’s Note: The statements, opinions and data contained in all publications are solely those of the individual author(s) and contributor(s) and not of MDPI and/or the editor(s). MDPI and/or the editor(s) disclaim responsibility for any injury to people or property resulting from any ideas, methods, instructions or products referred to in the content. |
© 2024 by the authors. Licensee MDPI, Basel, Switzerland. This article is an open access article distributed under the terms and conditions of the Creative Commons Attribution (CC BY) license (https://creativecommons.org/licenses/by/4.0/).
Share and Cite
Guo, J.; Shi, L.; Zhang, M.; Gong, Z.; Chen, W.; Xia, X. Regional Difference in Distribution Pattern and Morphological Characteristics of Embayed Sandy Beaches in Zhejiang Province, Eastern China. J. Mar. Sci. Eng. 2024, 12, 1223. https://doi.org/10.3390/jmse12071223
Guo J, Shi L, Zhang M, Gong Z, Chen W, Xia X. Regional Difference in Distribution Pattern and Morphological Characteristics of Embayed Sandy Beaches in Zhejiang Province, Eastern China. Journal of Marine Science and Engineering. 2024; 12(7):1223. https://doi.org/10.3390/jmse12071223
Chicago/Turabian StyleGuo, Junli, Lianqiang Shi, Min Zhang, Zhaohui Gong, Wei Chen, and Xiaoming Xia. 2024. "Regional Difference in Distribution Pattern and Morphological Characteristics of Embayed Sandy Beaches in Zhejiang Province, Eastern China" Journal of Marine Science and Engineering 12, no. 7: 1223. https://doi.org/10.3390/jmse12071223
APA StyleGuo, J., Shi, L., Zhang, M., Gong, Z., Chen, W., & Xia, X. (2024). Regional Difference in Distribution Pattern and Morphological Characteristics of Embayed Sandy Beaches in Zhejiang Province, Eastern China. Journal of Marine Science and Engineering, 12(7), 1223. https://doi.org/10.3390/jmse12071223