Abstract
Poultry and its products are an economical source of high-quality protein for human consumption. In animal agriculture, antibiotics are used as therapeutic agents to treat disease in livestock, or as prophylactics to prevent disease and in so doing enhance production. However, the extensive use of antibiotics in livestock husbandry has come at the cost of increasingly drug-resistant bacterial pathogens. This highlights an urgent need to find effective alternatives to be used to treat infections, particularly in poultry and especially caused by drug-resistant Salmonella strains. In this study, we describe the combined effect of extracts of the red seaweeds Chondrus crispus (CC) and Sarcodiotheca gaudichaudii (SG) and compounds isolated from these in combinations with industry standard antibiotics (i.e., tetracycline and streptomycin) against Salmonella Enteritidis. Streptomycin exhibited the higher antimicrobial activity against S. Enteritidis, as compared to tetracycline with a MIC25 and MIC50 of 1.00 and 1.63 μg/mL, respectively. The addition of a water extract of CC at a concentration of 200 µg/mL in addition to tetracycline significantly enhanced the antibacterial activity (log CFU/mL 4.7 and 4.5 at MIC25 and MIC50, respectively). SG water extract, at 400 and 800 µg/mL (p = 0.05, n = 9), also in combination with tetracycline, showed complete inhibition of bacterial growth. Combinations of floridoside (a purified red seaweed component) and tetracycline (MIC25 and MIC50) in vitro revealed that only the lower concentration (i.e., 15 μg/mL) of floridoside potentiated the activity of tetracycline. Sub-lethal concentrations of tetracycline (MIC50 and MIC25), in combination with floridoside, exhibited antimicrobial activities that were comparable to full-strength tetracycline (23 μg/mL). Furthermore, the relative transcript levels of efflux-related genes of S. Enteritidis, namely marA, arcB and ramA, were significantly repressed by the combined treatment of floridoside and tetracycline, as compared to control MIC treatments (MIC25 and MIC50). Taken together, these findings demonstrated that the red seaweeds CC and SG and their selected, purified components can be used to increase the lifetime of existing, patented antibiotics and can also help to reduce costly (economic and environmental) therapeutic and prophylactic use of antibiotics in poultry. To our knowledge, this is the first report of antibiotic potentiation of existing industry standard antibiotics using red seaweeds and their selected extracts against S. Enteritidis.
1. Introduction
Poultry and their products are an economic source of high-quality protein for human consumption. A range of feed additives including antibiotics, phytogenics or phytobiotics, probiotics and prebiotics, have been used by the poultry industry in order to improve both feed efficiencies and also the health and productivity of layer hens and broilers [1,2,3]. In livestock, the use of antibiotics for growth promotion was phased out in Canada [4] but is widely used in many parts of the world.
Despite these developments, it is currently estimated that over 60% of all antibiotics produced are used in livestock production, including poultry [5,6,7]. In 2012, it was estimated that 14.6 million kg of antibiotics were sold for use in animal agriculture [8], which was four times (3.29 million kg) the amount of antibiotics used for human use [9]. Currently, commercial poultry farms have higher rearing densities and the scale of production has dramatically increased to meet consumer demand. This has increased the frequency of outbreaks of infectious disease within flocks and therefore disease outbreaks which has required further interventions with antibiotics. In North America, antibiotics including chlortetracycline, lincomycin, oxytetracycline, penicillin, tylosin and virginiamycin are approved for use in poultry [4,10]. Antibiotics exert their effect by reducing the colonization of bacteria, increasing the metabolism of beneficial bacteria and reducing the total load of bacteria in the gut, thus reducing the overall bacterial load [11]. Sub-therapeutic levels of antibiotics also enhance immune responses of the host to an invading pathogen. Roura et al. (1992) showed that inclusion of streptomycin and penicillin in the diets of chicks resulted in preventing immunological stress by lowering cytokines [12].
However, the overuse of antibiotics in livestock came at a cost of increasing numbers of drug-resistant, bacterial pathogens. In 1951, Starr and Reynolds first reported a case of antibiotic resistance in bacteria in turkeys. The use of streptomycin as a growth promoter in turkey poults resulted in drug-resistant coliforms within three days of application [13]. In 1994, sixty-two isolates of vancomycin-resistant Enterococcus faecium were obtained from non-human sources in the United Kingdom (UK), amongst which 22 were from farm animals. This indicated that farm animals served as a reservoir for the development of drug-resistant bacteria [14]. Following this report, avoparcin was the first antibiotic to be banned in Europe in 1995. Consequently, the European Union (EU) banned the use of antibiotic growth-promoters in 2006 [15]. The selection pressure caused by antibiotics on gut microbes resulted in the development of resistant genes, which are transferred amongst species of pathogenic bacteria by horizontal gene transfer. This resulted in the excessive growth of resistant bacterial pathogens such as Clostridium, Salmonella and Campylobacter in the host, resulting in harmful diseases. In addition, changes in the microbial population within the gut can make the host more vulnerable to infections by other environmental pathogens [16].
In the United States, the Food and Drug Administration (FDA) controls the use of cephalosporin in animal agriculture. Also, there is increased interest to exclude the use of fluoroquinolones and tetracyclines in animal production. This is because these antibiotics are commonly used in treating bacterial infection in humans. In the EU and North America there is a heightened public awareness of the negative effects of antibiotics in livestock production. Therefore, there is increasing interest to develop alternatives to antibiotics [17]. Other control measures, such as competitive exclusion and vaccination, have contributed significantly to reduce pathogen (especially Salmonella) infections in layer production [18]. According to the U.S. Centers for Disease Control and Prevention, every year more than 2.8 million humans are infected with antibiotic-resistant bacteria, which leads to approximately 35,000 deaths [19]. It is clear that drug-resistance in pathogenic bacteria has developed since the middle of the last century, an era when antibiotics were used extensively to treat both human and animal diseases. It is likely that the emergence of drug-resistant strains of pathogenic bacteria is due to the flagrant large-scale overuse of antibiotics in medicine and agriculture [20].
Bacteria acquire antibiotic resistance by several mechanisms, including (i) drug inactivation/modification, (ii) alteration of the target site (iii), bypass pathways and (iv) decreased membrane permeability. In addition, antibiotic resistance develops due to formation of biofilms and the inactivation of antibiotics by bacterial enzymes, modification in the outer membrane lipid bi-layer and porin permeability and sequestration of antibiotics within the bacterial biofilms [21,22,23,24]. Therefore, there is an urgent need to find effective alternatives that can be used to treat infections caused by drug-resistant Salmonella strains in humans and farm animals.
Some antimicrobial therapies involve the use of antimicrobial peptides, cell membrane permeabilizers, molecular chaperones, DNA synthesis and efflux-pump inhibitors. However, despite being effective in in-vitro studies, none of these strategies have advanced to clinical trials [25]. An alternative approach to finding new antibiotic classes is to potentiate the activity of already existing, registered/patented antibiotics using combined therapies. Several antimicrobial peptides, molecules, plant extracts and essential oils have been shown to enhance the activity of antibiotics, such as chloramphenicol, ciprofloxacin and tetracycline against Gram-positive and Gram-negative bacteria [26,27].
Tetracyclines are broad-spectrum bacteriostatic antibiotics that interfere with protein translation by inhibiting the attachment of aminoacyl-tRNA to the ribosomal acceptor (A) site. Tetracycline forms a complex with Mg2+ and blocks aminoacyl-tRNA binding and thus inhibits protein synthesis [28]. Essential oils from Salvia species (Lamiaceae) have been shown to potentiate the efficacy of tetracycline by inhibiting efflux pumps in Staphylococcus epidermis. The inhibition of the Tet (K) efflux pump of tetracycline resistant S. epidermidis by essential oils from three salvia species [29]. Moreover, organic extracts of pomegranate, myrrh and thyme significantly increased the efficacy of tetracycline against both Gram-positive and Gram-negative pathogens. This suggested that combinations with natural compounds could be used to enhance the efficacy of “fading” antibiotics [26].
Floridoside 2-O-α-D-galactopyranosylglycerol is a neutral heteroside found in red algae. It plays an important role in osmotic acclimation and provides resistance to osmotic stress in red algae [30]. Floridoside also has potent medicinal properties and has been shown to possess anti-viral and antitumor activities [31]. Earlier, Khan et al. (2012) reported alginate, a polysaccharide found in brown seaweeds, potentiated the antimicrobial activity of antibiotics against pathogens such as Pseudomonas, Acinetobacter and Burkholderia spp. [25]. Here, we describe the combined effects of selected extracts of two red seaweeds, i.e., Chondrus crispus and Sarcodiotheca gaudichaudii, and along with two well-used antibiotics (i.e., tetracycline and streptomycin) against Salmonella Enteritidis.
2. Materials and Methods
2.1. Bacterial Strain, Chemicals and Antibiotics
Nalidixic acid-resistant Salmonella Enteritidis was provided by the Laboratory for Foodborne Zoonoses, Public Health Agency of Canada, Guelph, Ontario. Half strength tryptic soy agar (TSA) medium (Difco) supplemented with nalidixic acid (32 μg/mL) was used for bacterial growth [32,33]. The antibiotic discs (BBL™ Sensi-Disc™), of tetracycline (TE30; 30 μg), streptomycin (S10; 10 μg), erythromycin (E15; 15 μg), novobiocin (NB30; 30 μg), penicillin (P10; 30 μg) and triple sulfa (SSS25; 15 μg) were purchased from Becton (BBL™ Sensi-Disc™), Dickinson and Company Franklin Lakes, NJ, USA. Acadian Seaplants Limited, kindly donated the two seaweeds which were cultivated on land in Charlesville, Nova Scotia, Canada. The extracts were prepared as described previously by Kulshreshtha et al. (2016) [34]. Tetracycline and streptomycin were obtained from Sigma Aldrich (Oakville, ON, Canada). Stock solutions of antibiotics and seaweed extracts were prepared and stored at −20 °C. Other chemicals and media used in this study were purchased from Difco Laboratories, Baltimore, MD, USA.
2.2. Antibiotic Sensitivity Assay
Susceptibility of S. Enteritidis to antibiotics was determined using the disc diffusion method, as described by the Clinical and Laboratory Standards Institute (CLSI) with some modifications [32,33]. Briefly, the bacterial culture (OD600 = 0.1, 1 × 108 cells/mL) was spread on a tryptic soy agar plate, before placing the antibiotic discs. Plates were incubated at 37 °C for 16–18 h and the diameter of the zone of growth inhibition was measured. The diameter of the paper disc was subtracted giving the growth-free zone of bacterial inhibition.
2.3. Determination of MIC of Antibiotics
The susceptibility of S. Enteritidis to the antibiotics tetracycline and streptomycin was tested by a broth inoculation method [32,33]. The testing of MICs (MIC25 and MIC50) was performed in triplicate with an inoculum of 1 × 108 cells/mL. MICs were determined as the lowest concentration of antibiotics required for complete inhibition of bacteria after incubation at 37 °C for 16–18 h in an incubator shaking at 200 rpm. The MATLAB R2010a (curve fitting tool) was used to determine minimum inhibitory concentrations (MIC25 and MIC50) of the antibiotics.
2.4. Combined Effect of Seaweed Extracts (SWE) and Antibiotics on Salmonella Enteritidis
The combined effect of extracts of C. crispus and S. gaudichaudii and antibiotics (tetracycline and streptomycin at MIC25 and MIC50) were evaluated in-vitro using a broth inoculation method as described previously by Kulshreshtha et al. [34]. To 10 mL of tryptic soy broth, seaweed extract (SWE) and 100 µL Salmonella Enteritidis (OD600 = 0.1, 1 × 108 cells/mL) were added so that the final concentrations of SWE in 10 mL with tryptic soy broth were 200, 400, 800 µg/mL. Culture tubes were incubated at 37 °C for 24 h. The growth of S. Enteritidis was determined by plating the serially diluted culture on TSA plates to enumerate the colony forming units (CFU).
2.5. Extraction of Seaweed and Isolation of Floridoside
Water extracts of both seaweeds (SWE) were prepared as described previously by Kulshreshtha et al. (2016) for antibacterial test [34]. The proton nuclear magnetic resonance (1H NMR) spectra of SWE were measured on a Bruker Advance III spectrometer (Bruker Biospin, Switzerland) operating at 700 MHz spectrometer with deuterated water to characterize major component. One of the major component of SWE, i.e., floridoside, was further purified from 80% EtOH extract, as shown in Scheme 1. Other seaweed components, including isethionic acid, citrulline and taurine were commercially obtained to test for their antibacterial activity.
Scheme 1.
Extraction and purification process of floridoside from 80% EtOH extract of C. crispus.
2.6. Antimicrobial Effects of Seaweed Components on Salmonella Enteritidis
Floridoside, isethionic acid and taurine were identified in both CC- and SG-SWE extracts (Figure S1). L-Citrulline was also detected in SWE of C. crispus. Pure compounds (i.e., isethionic acid, taurine, L-Citrulline and floridoside) were tested in-vitro against S. Enteritidis by the broth inoculation method, as described in above Section 2.4. Fifteen µg/mL of pure compound was added to TSA broth and inoculated with S. Enteritidis. Antimicrobial activity was determined as a measure of log CFU/mL.
2.7. Combined Effects of Floridoside and Tetracycline on Salmonella Enteritidis
Synergistic interactions of floridoside and tetracycline (MIC25 and MIC50) were evaluated in-vitro using the liquid culture inhibition test, as described in above Section 2.4. Briefly, bacterial cells were grown in the presence of different combination of floridoside (15 µg/mL) + tetracycline (MIC25, 4 µg/mL), floridoside (15 µg/mL) + Tetracycline (MIC50, 7.9 µg/mL). Tetracycline (MIC25 and MIC50) and floridoside (15 µg/mL) were used as controls. Antimicrobial activity was determined as a measure of log CFU/mL.
2.8. Effects of Floridoside and Tetracycline on the Expression of Efflux-Pump-Related Genes
Gene expression analysis was carried out at time intervals of 45, 90 and 180 min to understand the mechanism of the combined effects of tetracycline and SWE. Briefly, bacterial cells from different treatments were centrifuged at 12,000× g for 10 min and total RNA was extracted using Trizol (Invitrogen), as described by the manufacturer. The RNA quality was assessed by agarose gel electrophoresis and quantified by NanoDrop ND-2000 spectrophotometer (NanoDrop Technologies Wilmington, DE). The relative transcript abundance of multi-drug efflux-pump genes were quantified using the StepOne Plus Real time PCR system (Applied Biosystems, ON, Canada), as described previously by Kulshreshtha et al. (2016) [34]. The gene specific primers used for this experiment are listed in Table 1. 16SrRNA and tufA genes were used as internal control and the relative expression levels were calculated using the ΔΔCt method.
Table 1.
The efflux-pump-related genes and primer sequences used in RT-qPCR.
2.9. Statistical Analyses
A completely randomized design was followed for all assays. The experiments were performed three times, each with three biological replicates. Data were analyzed using ANOVA one-way analysis of variance with a p value of 0.05 using the statistical software Minitab and SAS. Log transformation was applied to the non-homogenous data before analysis. If significant main effects were found with ANOVA, the Tukey’s procedure was used to compare differences among the least-square means. The standard deviation (SD) was reported with the mean. Differences were considered significant when p was <0.05.
3. Results
3.1. Screening of Antibiotics against Salmonella Enteritidis
The efficacy of antibiotics against S. Enteritidis was determined by the disc diffusion method via determination of the zone of growth inhibition. The antibiotics tetracycline, streptomycin, penicillin, erythromycin, triple sulfa and novobiocin were tested against S. Enteritidis. Amongst the antibiotics tested, tetracycline (30.0 μg) and streptomycin (10.0 μg) exhibited zones of inhibition of 22.5 and 18.0 mm, respectively). On the basis of the zone of inhibition interpretation chart, tetracycline and streptomycin were chosen for further studies.
3.2. Determination of Minimum Inhibitory Concentrations (MIC25 and MIC50)
The minimum inhibitory concentrations (MIC25 and MIC50) of the selected antibiotics (tetracycline and streptomycin) were determined using the MATLAB curve-fitting tool. For tetracycline, an MIC for 50% of the strain (MIC50) was 4 μg/mL and 25% of the strains (MIC25) was 7.9 μg/mL. Streptomycin exhibited a higher antimicrobial activity against S. Enteritidis, as compared to tetracycline with an MIC25 and MIC50 of 1 and 1.63 μg/mL, respectively.
3.3. SWE Potentiated the Effect of Antibiotics on Salmonella Enteritidis
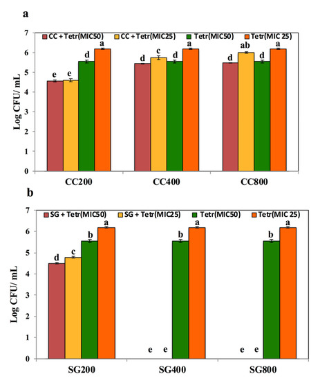
The combined effects of SWE (both CC and SG), with antibiotics, was determined by a liquid culture inhibition test. Antibiotics (tetracycline and streptomycin) at MIC50 and MIC25 were combined with 200, 400, 800 µg/mL SWE (SG and CC) (Figure 1). The combination of tetracycline and CC at 400 µg/mL (log CFU 5.4 at MIC50, p = 0.01, n = 9) and 800 µg/mL (log CFU 6.1 at MIC25 and 5.8 at MIC50, p = 0.01, n = 9) did not affect the growth of S. Enteritidis, as compared to the tetracycline alone (log CFU 6.1 and 5.5 at MIC25 and MIC50 respectively, p = 0.01, n = 9). However, the combination of tetracycline at MIC25 and 400 µg/mL of CC-SWE were effective in reducing S. Enteritidis growth. Moreover, the lowest concentration of CC-SWE (200 µg/mL) and tetracycline (MIC25 and MIC50) were the most effective in reducing bacterial growth (log CFU 4.7 and 4.5 at MIC25 and MIC50, respectively) (Figure 1a). For SG-SWE, the response was dose-dependent, e.g., the higher concentration of SG-SWE (800 µg/mL, p = 0.05, n = 9) in combination with tetracycline showed complete inhibition of bacterial growth (Figure 1b). With 200 µg/mL of SG SWE bacterial growth was significantly reduced (log CFU 4.8 and 4.5 at MIC25 and MIC50, respectively), compared to the MIC controls (log CFU 5.5) (Figure 1b). The antimicrobial effects of the SWE (both CC and SG) and streptomycin (MIC25 and MIC50) were similarly tested. Trends were observed for streptomycin and SWE (CC and SG) against S. Enteritidis (Figure 1c,d). The combination treatments with the lowest concentration of CC-SWE (200 µg/mL, log CFU 4.1 and 4.3 at MIC50 and MIC25, respectively, p = 0.05, n = 9) and the higher concentration of SG-SWE (800 µg/mL, log CFU 0 at MIC50 and MIC25, respectively, p = 0.05, n = 9) were found to be the most effective (Figure 1c,d). In a comparison to the inhibitory effects of both antibiotic combinations with SWE, tetracycline showed the best combined effects and was used in further experiments.

Figure 1.
Combined effects of antibiotics and seaweed extracts (SWE) on S. Enteritidis. Tetracycline (Tetr) and streptomycin (Strep) at MIC50 and MIC25 were tested in combination with seaweeds Chondrus crispus (CC) and Sarcodiotheca gaudichaudii (SG) at three different concentrations (200, 400 and 800 μg/mL) (a) CC and Tetr; (b) SG and Tetr; (c) CC and streptomycin (Strep); (d) SG and Strep. Values with different superscript letters were significantly different (p < 0.05). Values represented mean ± standard deviation from three independent experiments (n = 9).
3.4. 1H Nuclear Magnetic Resonance Spectroscopy of Seaweed Water Extracts
3.5. Floridoside Affected the Growth of S. Enteritidis
The susceptibility of S. Enteritidis to purified seaweed compounds (i.e., isethionic acid, citrulline, taurine and floridoside) were tested using the liquid culture method. Floridoside and isethionic acid (15 μg/mL) reduced the colony count (log CFU/mL 6.21 and 6.33, respectively, p = 0.09, n = 9), as compared to control (log CFU/mL 6.5, p = 0.09, n = 9). However, higher colony counts (Log CFU/mL) of S. Enteritidis were observed on treatment with citrulline and taurine (Figure 2). Of the two most effective seaweed compounds (i.e., floridoside and isethionic acid), floridoside showed the highest antimicrobial activity and was selected for further evaluation.
Figure 2.
Antimicrobial effects of pure compounds from seaweed water extract (SWE) of CC on the growth of S. Enteritidis. Values with different superscript letters were significantly different (p < 0.05). Values represented mean ± standard deviation from three independent experiments (n = 9).
3.6. Floridoside Potentiated the Activity of Tetracycline against S. Enteritidis
Different concentrations of floridoside (15–100 μg/mL) in combination with tetracycline (MIC25 and MIC50) were tested for their antimicrobial activity using a broth dilution method (Figure 3). Floridoside at 15 μg/mL potentiated the activity of tetracycline at both MICs (log CFU 4.3–5.2, p < 0.05, n = 9). Sub-lethal concentrations of tetracycline (MIC50 and MIC25; 4 and 7.9 μg/mL, respectively) in combination with floridoside (15 μg/mL) exhibited antimicrobial activity which was comparable to full strength tetracycline (23 µg/mL). Compared to MICs alone, the combination of tetracycline (MIC25 and MIC50) and 25 µg/mL of floridoside inhibited the growth (log CFU/mL 6.05 and 4.7, p < 0.05, n = 9) of S. Enteritidis (Figure 3). The number of bacterial aggregates, at higher concentrations of floridoside (i.e., 50 and 100 µg/mL), in combination with tetracycline, were not significantly different from the control (p > 0.05, n = 9).

Figure 3.
Combined effects of floridoside and tetracycline on the growth of S. Enteritidis. (a) MIC25 (b) MIC50. Values with different superscript letters were significantly different (p < 0.05). Values represented mean ± standard deviation from three independent experiments (n = 9). F + MIC25: combination of floridoside and tetracycline at MIC25; F: floridoside; MIC 25: tetracycline at MIC25; F + MIC50: combinations of floridoside and tetracycline at MIC50. MIC 50: tetracycline at MIC50.
3.7. Floridoside and Tetracycline Suppressed the Expression of Efflux-Pump-Related Genes
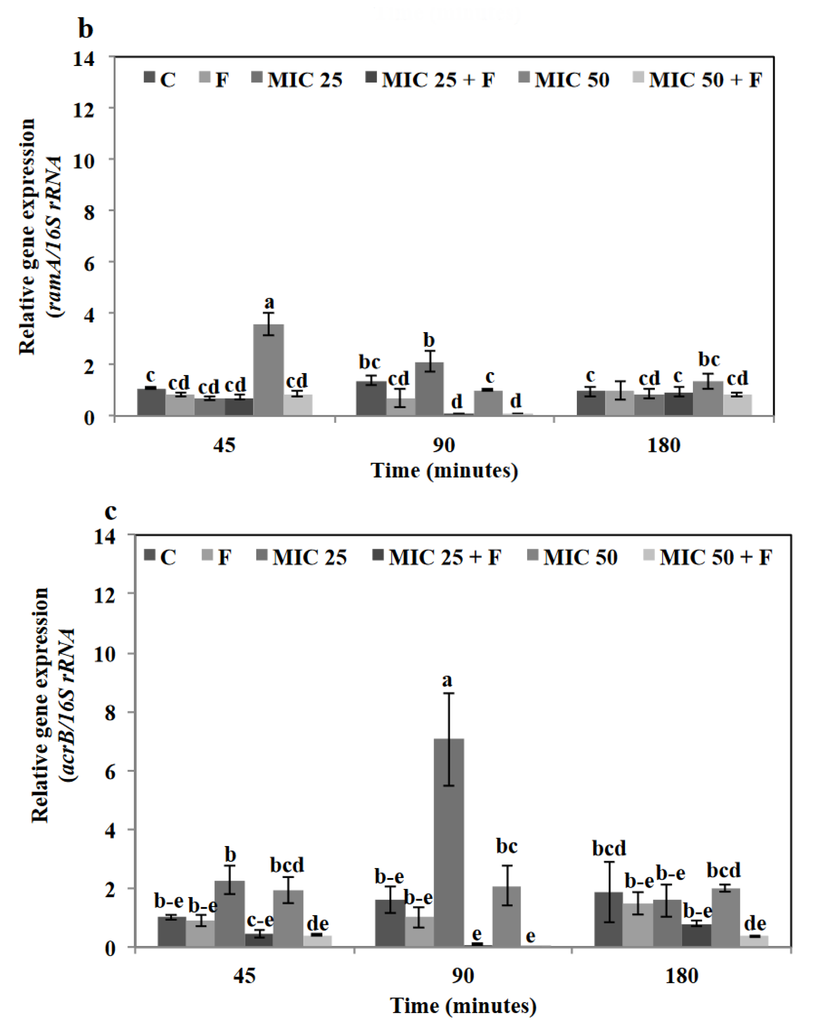
Gene expression analysis was conducted to understand the inhibitory mechanism of the combined effect of tetracycline and floridoside on S. Enteritidis. Real-time PCR analysis showed that the combination of floridoside and tetracycline (MIC25 and MIC50) suppressed the expression of efflux-related genes after 90 min of treatment (Figure 4). The relative transcript level of marA, which encodes a global regulator of multi-drug efflux-pumps was repressed by 2–15-fold, as compared to the control MIC treatments (Figure 4). Similarly, the arcB gene encoding the transporter component of the main efflux-pump (AcrAB) and ramA, a transcriptional activator of protein ramA involved in multi-drug efflux-pumps, were down-regulated by 18–25 fold and 14–20 fold, respectively (p < 0.001, n = 9) (Figure 4). This indicated that floridoside might favor the accumulation of tetracycline in the cell by repressing the expression of efflux-pump genes.

Figure 4.
Effect of floridoside (F) on the expression of efflux-pumps related genes of S. Enteritidis. (a) marA (b) ramB (c) acrA after 45, 90 and 180 min of treatment with floridoside (15 μg/mL and Tetracycline (MIC25 and MIC50, 4 and 7.9 μg/mL)). Values with different superscript letters were significantly different (p < 0.05). C: control; F: floridoside; MIC 25: tetracycline at MIC25; MIC25 + F: combination of tetracycline at MIC25 and floridoside; MIC 50: tetracycline at MIC50; MIC50 + F: combinations of tetracycline at MIC50 and floridoside. Values represented mean ± standard deviation from three independent experiments (n = 9).
4. Discussion
Antimicrobials used in food animals contribute in the selection and dissemination of drug-resistant zoonotic, food-borne pathogens such as Salmonella Enteritidis. Non-typhoid Salmonella has become resistant to drugs, including ampicillin, chloramphenicol, quinolones and sulphonamide [35]. The main aim of the present study was to identify compounds from two specific red seaweeds (CC and SG) that improved the efficacy of existing, commercial antibiotics, in order to reduce their therapeutic and prophylactic use in poultry.
Microbes have utilized their innate genetic resistance and lateral gene transfer to acquire resistance to several antibiotics used in clinical and agricultural practices. This indicates that since the time antibiotics have first been employed, their success was compromised by over-usage and development of tolerance or resistance. Thus, in the era of diminishing activity of available antibiotics, an additive effect such as using combined therapies could enhance the life time of existing antibiotics [26,27].
Bacterial resistance to antimicrobial drugs can be related to their ability to form biofilms and secrete virulence factors. Previously, it has been shown that, among other functions, the matrix of biofilms prevents the access of antibiotics to the bacterial cells by sequestering them in the periplasm [24]. Furthermore, several studies also indicated the co-selection of virulence traits with antimicrobial drug resistance by integration of virulence and resistance plasmids. Up-regulation of virulence improves the fitness of the pathogen and has been shown to contribute to drug resistance [36]. In the present study, we determined the ability of SWE (from CC and SG) to potentiate the activity of existing antibiotics (i.e., tetracycline and streptomycin) by using well-established broth dilution and MIC assays. We observed that combinations of CC and SG water extracts with antibiotics significantly reduced the growth of S. Enteritidis by 3–6 fold, as compared to the antibiotics alone (Figure 1). Previously, we showed that SWE (CC and SG) reduced biofilm formation and down-regulated virulence gene expression of S. Enteritidis [34]. Therefore, the increase in bacterial susceptibility to antibiotics was most likely due to the effect of SWE (from both CC and SG) on biofilm formation and secreted virulence factors. This finding is beneficial as there is a lack in the discovery of new antibiotics. According to the most recent report from the Infectious Disease Society of America (ISDA), the numbers of antibiotics approved by FDA for marketing or in late-stage clinical development in the US has increased since IDSA’s 2013 update [37]. However, a major concern is that a majority of these approved agents have been developed by modification of existing chemical classes of antibiotics, rather than new chemical classes. More importantly, large pharmaceutical sponsors continue to abandon the field and ISDA predicts that a sustainable antibiotics production will be bleak without further economic incentives for antibiotic development. Also, these drugs in the development pipeline might not be approved by the FDA and are not guaranteed to work against resistant human pathogens. It is suggested that new approaches to therapeutics other than small-molecule antibiotics that target resistant bacterial pathogens are desirable [38]. Hence, the current finding of the ability to revive ineffective doses of antibiotics by using natural, seaweed-derived compounds such as floridoside could be a suitable alternative. Currently, due to reduced financial incentives, pharmaceutical companies have limited their research on the development of new antibiotics. In this scenario, an alternative strategy to increase the efficacy of existing antibiotics could save the cost of production and development of new antibiotics. Thus, the implementation of combined therapies, i.e., the use of compounds such as floridoside, might improve existing antibiotic performance.
Floridoside is a neutral heteroside isolated from red algae and serves as a soluble carbon reserve. Floridoside from red seaweeds has also been researched for its potential medicinal and pharmaceutical applications. Park et al. (2007) [39] isolated floridoside from the red alga Ahnfeltiopsis flabelliformis and discovered its anti-quorum sensing activity. They identified that a mixture of seaweed compounds containing betonicine, floridoside and isethionic acid was capable of inhibiting AHL signaling in the quorum-sensing inhibition assay [39]. A year later, the same research group isolated the individual compounds and tested their effects on cell growth and quorum sensing using a reporter strain Agrobacterium tumefaciens. They observed that although the isolated floridoside had no effect on cell growth and quorum sensing, its combination with other isolated seaweed compounds significantly inhibited AHL activity [40]. In another study, Janssens et al. (2008) tested the effects of some red seaweed-derived compounds, i.e., furanones with tetracycline on the viable cell count of Salmonella biofilms. They concluded that pre-treatment of furanones reduced the viable cells in Salmonella biofilms by 50–2,100-fold [41]. Synthetic brominated furanones (Z)-4-bromo-5-(bromomethylene)-3-methylfuran-2(5H)-one (BF8) have been demonstrated to revert the antibiotic tolerate of Pseudomonas aeruginosa PAO1 persister cells. Treatment with BF8 at growth non-inhibitory concentrations (0.1–2 µg/mL) increased the susceptibility of persister cells to ciprofloxacin (Cip). Interestingly, BF8 was effective against both planktonic and biofilm forms of P. aeruginosa PAO1 [42]. In another study, a novel 3-chloro-5(S)-[(1R,2S,5R)-2-isopropyl-5-methylcyclohexyloxy]-4-[4-methylphenylsulfonyl]-2(5H)-furanone (F105) increases the efficacy of aminoglycosides (amikacin, gentamicin and kanamycin) and benzalkonium chloride with fractional inhibitory concentration index values of 0.33–0.44 and 0.29 against Staphylococcus aureus. Moreover, low concentrations (0.5–1.3 mg/mL) of F105 restored the antimicrobial efficacy of gentamicin and ampicillin against S. aureus biofilms [43]. This indicated that application of furanones increased the susceptibility Salmonella to the antibiotics. In the present study, we tested the effects of floridoside and tetracycline against S. Enteritidis. Results showed that floridoside potentiated the activity of tetracycline against S. Enteritidis (Figure 3). Interestingly, in Pseudomonas aeruginosa quorum sensing has been shown to regulate efflux pumps (i.e., demonstrated mediators of antibiotic resistance). Accumulation of quorum sensing, auto-inducers (C4-HSL) in the medium has been shown to increase the transcription of the multi-drug-resistant-pump MexAB-OprM [44]. Relatedly, in the present study, floridoside might have inhibited quorum sensing in Salmonella, which could have repressed efflux-related gene expression. Interference with efflux activity would have resulted in the accumulation of tetracycline within the cell, eventually leading to cell death. Thus, this finding demonstrated that selected seaweed compounds can be used as effective alternatives, in combination, to increase both the useful life and reduce the rates of effective concentrations of over-used antibiotics. Despite the significant progress in several pathogen control strategies, the incidence of Salmonella Enteritidis in poultry and its subsequent transmission to the human food chain has continued to be a food safety issue [45]. More importantly, the worldwide emergence of several resistant strains of Salmonella emphasizes a major food safety hazard. In poultry, Salmonella is responsible for either clinical diseases or asymptomatic subclinical infections, the latter is referred to as “carriers” [46]. In earlier poultry studies, it has been shown that subclinical infection in chickens can be persistent for >22 weeks. Thus, carriers play a vital role in the perpetuation of Salmonella transmission in the livestock and environment, specifically by shedding the pathogen in their feces without demonstrating any clinical disease symptoms [47]. Other means of Salmonella transmission include vertical and horizontal transmission. Vertical transmission, which involves passage of pathogen from parents to progeny, is critical in poultry production especially related to Salmonella infections caused by S. Enteritidis. It has been demonstrated that Enteritidis has higher affinity to the reproductive system of the layer hens as compared to other serovar [48,49,50]. Though several antimicrobials can be used as therapeutics against such zoonotic pathogens, an increasingly high resistance towards such antimicrobials point out the need to find natural alternatives for use in animal feeds and supplements.
In Esherichia coli (E. coli), the quorum sensing regulator SdiA was shown to control multi-drug-resistance by functioning as a positive regulator of the multi-drug-resistance-pump AcrAB. Over-production of SdiA was shown to increase the levels of AcrAB leading to multi-drug-resistance [51]. Previously, we have shown that crude seaweed extracts down-regulated the expression of SdiA [34] and floridoside was previously reported as a quorum sensing inhibitor [39]. Therefore, the possible mode of action of floridoside could be the inhibition of bacterial quorum sensing resulting in increased susceptibility of Salmonella to the antibiotics. Moreover, as quorum-sensing inhibitors do not cause bacterial cell death, the selection pressure for development of resistance could be immensely reduced in the pathogenic bacteria.
Tetracycline inhibits protein synthesis in bacteria by binding to the 30S subunit of the ribosome. Bacteria can acquire tetracycline resistance by enzymatic inactivation of the drug or by increasing efflux-pump activity. Multi-drug-efflux-pumps are membrane proteins that utilize cellular energy to transport antibiotics from the cells to the external environment [52]. In the present study, the relative transcript level of efflux-related genes of Salmonella Enteritidis, namely marA, arcB and ramA, were significantly repressed by the combined treatment of floridoside and tetracycline, as compared to control antibiotics alone (Figure 4). Reduced expression of efflux-related genes indicated a decrease in the efficiency of Salmonella to efflux tetracycline from the cells [53]. Thus, in the presence of floridoside, the efflux of tetracycline would have been reduced, resulting in the accumulation of tetracycline to a level which could potentially inhibit protein synthesis in the cell, thus eventually leading to cell death.
5. Conclusions
To conclude, this research indicated that extracts and pure compounds from the cultivated red seaweeds Chondrus crispus and Sarcodiotheca gaudichaudii could be used to enhance the activity of antibiotics which are most commonly used in poultry production. The extracts and compounds can work in combination with the sub-lethal doses of tetracycline and streptomycin in order to potentiate their antimicrobial activity. The proposed mode of action for the combined effects was that floridoside could inhibit the quorum sensing of Salmonella, repressing the efflux-related gene expression, resulting in cellular accumulation of tetracycline, ultimately leading to bacterial cell death. Taken together, these findings showed that specific seaweed compounds can be used to increase the lifetime of existing antibiotics. Further research needs to be carried out to understand the structure-activity relationship of floridoside and tetracycline, which enhanced the antimicrobial activity against Salmonella. This will further help to determine specific targets of floridoside in Salmonella that result in cell death and verify the role of quorum sensing in the inhibitory activity of floridoside and tetracycline. Our previous studies identified the antimicrobial activity of red seaweeds Chondrus crispus and Sarcodiotheca in vitro and its successful translation into in vivo in chickens [34,54,55]. In layer hens, since red seaweed responses were comparable to antibiotic (aureomycin) action, some red seaweeds can be used either as an organic feed alternative to antibiotics or in combination with reduced rates of antibiotic inclusion. As the CC and SG red seaweeds potentiated the activity of antibiotics in-vitro, it would be worthwhile to try various combinations of antibiotics and these seaweeds at different dosages in chickens. A feed additive that could lower the effective required dose of antibiotics could be extremely useful in decreasing the consumption of antibiotics in commercial poultry farms and may assist with the reduced incidence of further bacterial resistance to antibiotics.
Supplementary Materials
The following are available online at https://www.mdpi.com/2077-1312/8/7/511/s1, Figure S1: 1H NMR spectrum of SWE A) Sarcodiotheca gaudichaudii B) Chondrus crispus. 1H NMR. signals correspond to F—floridoside, I—isethionic acid, T—taurine and C—L-Citrulline, Figure S2: 1H NMR spectrum of floridoside isolated from Chondrus crispus.
Author Contributions
Conceptualization, B.P.; data curation, G.K.; formal analysis, G.K., B.R. and B.P.; funding acquisition, B.P.; investigation, G.K., B.R., A.C., A.H.B., J.H. and B.P.; methodology, G.K., A.C. and A.H.B.; project administration, B.P.; resources, J.H. and B.P.; supervision, A.C., B.R., G.S. and B.P.; writing—original draft, G.K.; writing—review and editing, A.C., B.R., G.S., A.H.B. and B.P. All authors have read and agreed to the published version of the manuscript.
Funding
This research was funded by Natural Science and Engineering Research Council of Canada-IPS II (445754).
Acknowledgments
This work was supported by Natural Science and Engineering Research Council of Canada-IPS II (445754), Ottawa, ON, Canada, Nova Scotia Department of Agriculture and Marketing, NS, Canada, and Acadian Seaplants Limited, Dartmouth, NS, Canada, grant to B.P.
Conflicts of Interest
The authors declare that the research was conducted in the absence of any commercial or financial relationships that could be construed as a potential conflict of interest.
References
- Brenes, A.; Roura, E. Essential oils in poultry nutrition: Main effects and modes of action. Anim. Feed Sci. Technol. 2010, 158, 1–14. [Google Scholar] [CrossRef]
- Venkitanarayanan, K.; Kollanoor-Johny, A.; Darre, M.J.; Donoghue, A.M.; Donoghue, D.J. Use of plant-derived antimicrobials for improving the safety of poultry products1. Poult. Sci. 2013, 92, 493–501. [Google Scholar] [CrossRef] [PubMed]
- Abd El-Aze, N.A.; El-Daly, E.F.; Hassan, H.M.A.; Youssef, A.W.; Mohamed, M.A. Histological Response of Broilers Immune Related Organs to Feeding Different Direct Fed Microbials. Int. J. Poult. Sci. 2015, 14, 331–337. [Google Scholar] [CrossRef]
- Centers for Disease Control and Prevention. Food and Food Animals | Antibiotic/Antimicrobial Resistance | CDC. Available online: https://www.cdc.gov/drugresistance/food.html (accessed on 10 May 2020).
- Van Boeckel, T.P.; Gandra, S.; Ashok, A.; Caudron, Q.; Grenfell, B.T.; Levin, S.A.; Laxminarayan, R. Global antibiotic consumption 2000 to 2010: An analysis of national pharmaceutical sales data. Lancet Infect. Dis. 2014, 14, 742–750. [Google Scholar] [CrossRef]
- Van Boeckel, T.P.; Brower, C.; Gilbert, M.; Grenfell, B.T.; Levin, S.A.; Robinson, T.P.; Teillant, A.; Laxminarayan, R. Global trends in antimicrobial use in food animals. Proc. Natl. Acad. Sci. USA 2015, 112, 5649–5654. [Google Scholar] [CrossRef]
- Van Boeckel, T.P.; Pires, J.; Silvester, R.; Zhao, C.; Song, J.; Criscuolo, N.G.; Gilbert, M.; Bonhoeffer, S.; Laxminarayan, R. Global trends in antimicrobial resistance in animals in low- and middle-income countries. Science 2019, 365. [Google Scholar] [CrossRef]
- U.S. Food and Drug Administration. FDA Annual Summary Report on Antimicrobials Sold or Distributed in 2012 for Use in Food-Producing Animals. Available online: http://www.fda.gov/AnimalVeterinary/NewsEvents/CVMUpdates/ucm416974.htm (accessed on 10 May 2020).
- U.S. Food and Drug Administration. Poultry and Eggs: Background. Available online: http://www.ers.usda.gov/topics/animal-products/poultry-eggs/background.aspx (accessed on 10 May 2020).
- Canadian Food Inspection Agency. Index of Medicating Ingredients Approved by Livestock Species—Canadian Food Inspection Agency. Available online: https://www.inspection.gc.ca/animal-health/livestock-feeds/medicating-ingredients/mib/livestock-species/eng/1522783196554/1522783196850 (accessed on 10 May 2020).
- Collier, C.T.; Van der Klis, J.D.; Deplancke, B.; Anderson, D.B.; Gaskins, H.R. Effects of tylosin on bacterial mucolysis, Clostridium perfringens colonization, and intestinal barrier function in a chick model of necrotic enteritis. Antimicrob. Agents Chemother. 2003, 47, 3311–3317. [Google Scholar] [CrossRef]
- Roura, E.; Homedes, J.; Klasing, K.C. Prevention of immunologic stress contributes to the growth-permitting ability of dietary antibiotics in chicks. J. Nutr. 1992, 122, 2383–2390. [Google Scholar] [CrossRef]
- Starr, M.P.; Reynolds, D.M. Streptomycin resistance of coliform bacteria from turkeys fed streptomycin. Am. J. Public Health Nations Health 1951, 41, 1375–1380. [Google Scholar] [CrossRef]
- Bates, J.; Jordens, J.Z.; Griffiths, D.T. Farm animals as a putative reservoir for vancomycin-resistant enterococcal infection in man. J. Antimicrob. Chemother. 1994, 34, 507–514. [Google Scholar] [CrossRef]
- Castanon, J.I.R. History of the use of antibiotic as growth promoters in European poultry feeds. Poult. Sci. 2007, 86, 2466–2471. [Google Scholar] [CrossRef] [PubMed]
- Lewis, M.; Inman, C.F.; Bailey, M. Review: Postnatal development of the mucosal immune system and consequences on health in adulthood. Can. J. Anim. Sci. 2010, 90, 129–136. [Google Scholar] [CrossRef]
- Yan, G.L.; Guo, Y.M.; Yuan, J.M.; Liu, D.; Zhang, B.K. Sodium alginate oligosaccharides from brown algae inhibit Salmonella Enteritidis colonization in broiler chickens. Poult. Sci. 2011, 90, 1441–1448. [Google Scholar] [CrossRef] [PubMed]
- Filho, R.A.C.P.; de Paiva, J.B.; Argüello, Y.M.S.; da Silva, M.D.; Gardin, Y.; Resende, F.; Junior, A.B.; Sesti, L. Efficacy of several vaccination programmes in commercial layer and broiler breeder hens against experimental challenge with Salmonella enterica serovar Enteritidis. Avian Pathol. 2009, 38, 367–375. [Google Scholar] [CrossRef]
- Centers for Disease Control and Prevention (CDC). Biggest Threats and Data, Antibiotic Antimicrobial Resistance. Available online: https://www.cdc.gov/drugresistance/biggest-threats.html (accessed on 10 May 2020).
- Amábile-Cuevas, C.F. Antibiotic resistance: From Darwin to Lederberg to Keynes. Microb. Drug Resist. 2013, 19, 73–87. [Google Scholar] [CrossRef]
- Hawkey, P.M. Why are bacteria resistant to antibiotics? Intensive Care Med. 2000, 26, S009–S013. [Google Scholar]
- Nikaido, H. Multidrug Resistance in Bacteria. Annu. Rev. Biochem. 2009, 78, 119–146. [Google Scholar] [CrossRef]
- Nikaido, H. Prevention of drug access to bacterial targets: Permeability barriers and active efflux. Science 1994, 264, 382–388. [Google Scholar] [CrossRef]
- Mah, T.F.; Pitts, B.; Pellock, B.; Walker, G.C.; Stewart, P.S.; O’Toole, G.A. A genetic basis for Pseudomonas aeruginosa biofilm antibiotic resistance. Nature 2003, 426, 306–310. [Google Scholar] [CrossRef]
- Khan, S.; Tøndervik, A.; Sletta, H.; Klinkenberg, G.; Emanuel, C.; Onsøyen, E.; Myrvold, R.; Howe, R.A.; Walsh, T.R.; Hill, K.E.; et al. Overcoming drug resistance with alginate oligosaccharides able to potentiate the action of selected antibiotics. Antimicrob. Agents Chemother. 2012, 56, 5134–5141. [Google Scholar] [CrossRef]
- Hussin, W.A.; El-Sayed, W.M. Synergic interactions between selected botanical extracts and tetracycline against gram positive and gram negative bacteria. J. Biol. Sci. 2011, 11, 433–441. [Google Scholar] [CrossRef]
- Singh, A.P.; Prabha, V.; Rishi, P. Value Addition in the Efficacy of Conventional Antibiotics by Nisin against Salmonella. PLoS ONE 2013, 8, e76844. [Google Scholar] [CrossRef] [PubMed]
- Hierowski, M. Inhibition of protein synthesis by chlortetracycline in the E. coli in In vitro system. Proc. Natl. Acad. Sci. USA 1965, 53, 594–599. [Google Scholar] [CrossRef] [PubMed]
- Chovanová, R.; Mezovská, J.; Vaverková, Š.; Mikulášová, M. The inhibition the Tet(K) efflux pump of tetracycline resistant Staphylococcus epidermidis by essential oils from three Salvia species. Lett. Appl. Microbiol. 2015, 61, 58–62. [Google Scholar] [CrossRef]
- Reed, R.H.; Collins, J.C.; Russell, G. Effects of Salinity upon Galactosyl-Glycerol Content and Concentration of the Marine Red Alga Porphyra purpurea (Roth) C.Ag. J. Exp. Bot. 1980, 31, 1539–1554. [Google Scholar] [CrossRef]
- Pardoe, I.; Hartley, C. Carbohydrates such as Alpha-D-Galactopyranosyl-1, 2-glycerol and/or Isomers, Obtained by Solvent Extraction from Algae, for Use as Viricides or Anticarcinogenic Agents. U.S. Patent Application 10/344,812, 2001. [Google Scholar]
- Clinical and Laboratory Standards Institute (CLSI). Methods for dilution antimicrobial susceptibility tests for bacteria that grow aerobically. In Approved Standard, 9th ed.; CLSI document M07-A9; CLSI: Wayne, PA, USA, 2013. [Google Scholar]
- Jorgensen, J.; Ferraro, M. Antimicrobial susceptibility testing: General principles and contemporary practices. J. Clin. Infect. Dis. 2009, 49, 1749–1755. [Google Scholar] [CrossRef]
- Kulshreshtha, G.; Borza, T.; Rathgeber, B.; Stratton, G.S.; Thomas, N.A.; Critchley, A.; Hafting, J.; Prithiviraj, B. Red seaweeds Sarcodiotheca gaudichaudii and Chondrus crispus down regulate virulence factors of Salmonella enteritidis and induce immune responses in Caenorhabditis elegans. Front. Microbiol. 2016, 7. [Google Scholar] [CrossRef]
- Su, L.-H.; Chiu, C.-H.; Chu, C.; Ou, J.T. Antimicrobial Resistance in Nontyphoid Salmonella Serotypes: A Global Challenge. Clin. Infect. Dis. 2004, 39, 546–551. [Google Scholar] [CrossRef]
- Guerra, B.; Junker, E.; Miko, A.; Helmuth, R.; Mendoza, M.C. Characterization and localization of drug resistance determinants in multidrug-resistant, integron-carrying Salmonella enterica serotype typhimurium strains. Microb. Drug Resist. 2004, 10, 83–91. [Google Scholar] [CrossRef]
- Infection Disease Society of America (ISDA). Review Finds Antibiotic Development Increased, but Insufficient. Available online: https://www.idsociety.org/news--publications-new/articles/2019/review-finds-antibiotic-development-increased-but-insufficient/ (accessed on 10 May 2020).
- Talbot, G.H.; Jezek, A.; Murray, B.E.; Jones, R.N.; Ebright, R.H.; Nau, G.J.; Rodvold, K.A.; Newland, J.G.; Boucher, H.W. The Infectious Diseases Society of America’s 10 × ’20 Initiative (10 New Systemic Antibacterial Agents US Food and Drug Administration Approved by 2020): Is 20 × ’20 a Possibility? Clin. Infect. Dis. 2019, 69, 1–11. [Google Scholar] [CrossRef]
- Kim, J.S.; Kim, Y.H.; Seo, Y.W.; Park, S. Quorum sensing inhibitors from the red alga, Ahnfeltiopsis flabelliformis. Biotechnol. Bioprocess. Eng. 2007, 12, 308–311. [Google Scholar] [CrossRef]
- Liu, H.B.; Koh, K.P.; Kim, J.S.; Seo, Y.; Park, S. The effects of betonicine, floridoside, and isethionic acid from the red alga Ahnfeltiopsis flabelliformis on quorum-sensing activity. Biotechnol. Bioprocess. Eng. 2008, 13, 458–463. [Google Scholar] [CrossRef]
- Janssens, J.C.A.; Steenackers, H.; Robijns, S.; Gellens, E.; Levin, J.; Zhao, H.; Hermans, K.; De Coster, D.; Verhoeven, T.L.; Marchal, K.; et al. Brominated furanones inhibit biofilm formation by Salmonella enterica serovar Typhimurium. Appl. Environ. Microbiol. 2008, 74, 6639–6648. [Google Scholar] [CrossRef] [PubMed]
- Pan, J.; Bahar, A.A.; Syed, H.; Ren, D. Reverting antibiotic tolerance of Pseudomonas aeruginosa PAO1 Persister Cells by (Z)-4-bromo-5-(bromomethylene)-3-methylfuran-2(5H)-one. PLoS ONE 2012, 7, e45778. [Google Scholar] [CrossRef] [PubMed]
- Sharafutdinov, I.S.; Trizna, E.Y.; Baidamshina, D.R.; Ryzhikova, M.N.; Sibgatullina, R.R.; Khabibrakhmanova, A.M.; Latypova, L.Z.; Kurbangalieva, A.R.; Rozhina, E.V.; Klinger-Strobel, M.; et al. Antimicrobial effects of sulfonyl derivative of 2(5H)-Furanone against planktonic and biofilm associated methicillin-resistant and -susceptible Staphylococcus aureus. Front. Microbiol. 2017, 8, 2246. [Google Scholar] [CrossRef]
- Maseda, H.; Sawada, I.; Saito, K.; Uchiyama, H.; Nakae, T.; Nomura, N. Enhancement of the mexAB-oprM Efflux Pump Expression by a quorum-Sensing autoinducer and its cancellation by a regulator, MexT, of the mexEF-oprN efflux pump operon in Pseudomonas aeruginosa. Antimicrob. Agents Chemother. 2004, 48, 1320–1328. [Google Scholar] [CrossRef]
- Rajić, A.; Waddell, L.A.; Sargeant, J.M.; Read, S.; Farber, J.; Firth, M.J.; Chambers, A. An overview of microbial food safety programs in beef, pork, and poultry from farm to processing in Canada. J. Food Prot. 2007, 70, 1286–1294. [Google Scholar] [CrossRef]
- Zamora-Sanabria, R.; Alvarado, A.M. Preharvest Salmonella Risk Contamination and the Control Strategies. In Current Topics in Salmonella and Salmonellosis; InTechOpen: Rijeka, Croatia, 2017. [Google Scholar]
- Jajere, S.M. A review of Salmonella enterica with particular focus on the pathogenicity and virulence factors, host specificity and adaptation and antimicrobial resistance including multidrug resistance. Vet. World 2019, 12, 504–521. [Google Scholar] [CrossRef]
- Okamura, M.; Miyamoto, T.; Kamijima, Y.; Tani, H.; Sasai, K.; Baba, E. Differences in abilities to colonize reproductive organs and to contaminate eggs in intravaginally inoculated hens and in vitro adherences to vaginal explants between Salmonella enteritidis and other Salmonella serovars. Avian Dis. 2001, 45, 962–971. [Google Scholar] [CrossRef]
- Foley, S.L.; Johnson, T.J.; Ricke, S.C.; Nayak, R.; Danzeisen, J. Salmonella Pathogenicity and Host Adaptation in Chicken-Associated Serovars. Microbiol. Mol. Biol. Rev. 2013, 77, 582–607. [Google Scholar] [CrossRef]
- Ebers, K.L.; Zhang, C.Y.; Zhang, M.Z.; Bailey, R.H.; Zhang, S. Transcriptional profiling avian beta-defensins in chicken oviduct epithelial cells before and after infection with Salmonella enterica serovar Enteritidis. BMC Microbiol. 2009, 9, 153. [Google Scholar] [CrossRef]
- Rahmati, S.; Yang, S.; Davidson, A.L.; Zechiedrich, E.L. Control of the AcrAB multidrug efflux pump by quorum-sensing regulator SdiA. Mol. Microbiol. 2002, 43, 677–685. [Google Scholar] [CrossRef] [PubMed]
- Littlejohn, T.G.; Paulsen, I.T.; Gillespie, M.T.; Tennent, J.M.; Midgley, M.; Jones, I.G.; Purewal, A.S.; Skurray, R.A. Substrate specificity and energetics of antiseptic and disinfectant resistance in Staphylococcus aureus. FEMS Microbiol. Lett. 1992, 95, 259–265. [Google Scholar] [CrossRef]
- Poole, K. Multidrug Efflux Pumps and Antimicrobial Resistance in Pseudomonas aeruginosa and Related Organisms. J. Mol. Microbiol. Biotechnol. 2001, 3, 255–263. [Google Scholar]
- Kulshreshtha, G.; Rathgeber, B.; MacIsaac, J.; Boulianne, M.; Brigitte, L.; Stratton, G.; Thomas, N.A.; Critchley, A.T.; Hafting, J.; Prithiviraj, B. Feed supplementation with red seaweeds, Chondrus crispus and Sarcodiotheca gaudichaudii, reduce Salmonella Enteritidis in laying hens. Front. Microbiol. 2017, 8. [Google Scholar] [CrossRef] [PubMed]
- Kulshreshtha, G.; Rathgeber, B.; Stratton, G.; Thomas, N.; Evans, F.; Critchley, A.; Hafting, J.; Prithiviraj, B. Immunology, health, and disease: Feed supplementation with red seaweeds, Chondrus crispus and Sarcodiotheca gaudichaudii, affects performance, egg quality, and gut microbiota of layer hens. Poult. Sci. 2014, 93. [Google Scholar] [CrossRef] [PubMed]
© 2020 by the authors. Licensee MDPI, Basel, Switzerland. This article is an open access article distributed under the terms and conditions of the Creative Commons Attribution (CC BY) license (http://creativecommons.org/licenses/by/4.0/).







