Effect of Deep Cryogenic Treatment on the Artificial Aging Behavior of 6082 Aluminum Alloy
Abstract
1. Introduction
2. Materials and Experimental Methods
3. Results and Discussion
3.1. Mechanical Properties
3.2. Fracture Morphology
3.3. Microstructure
4. Conclusions
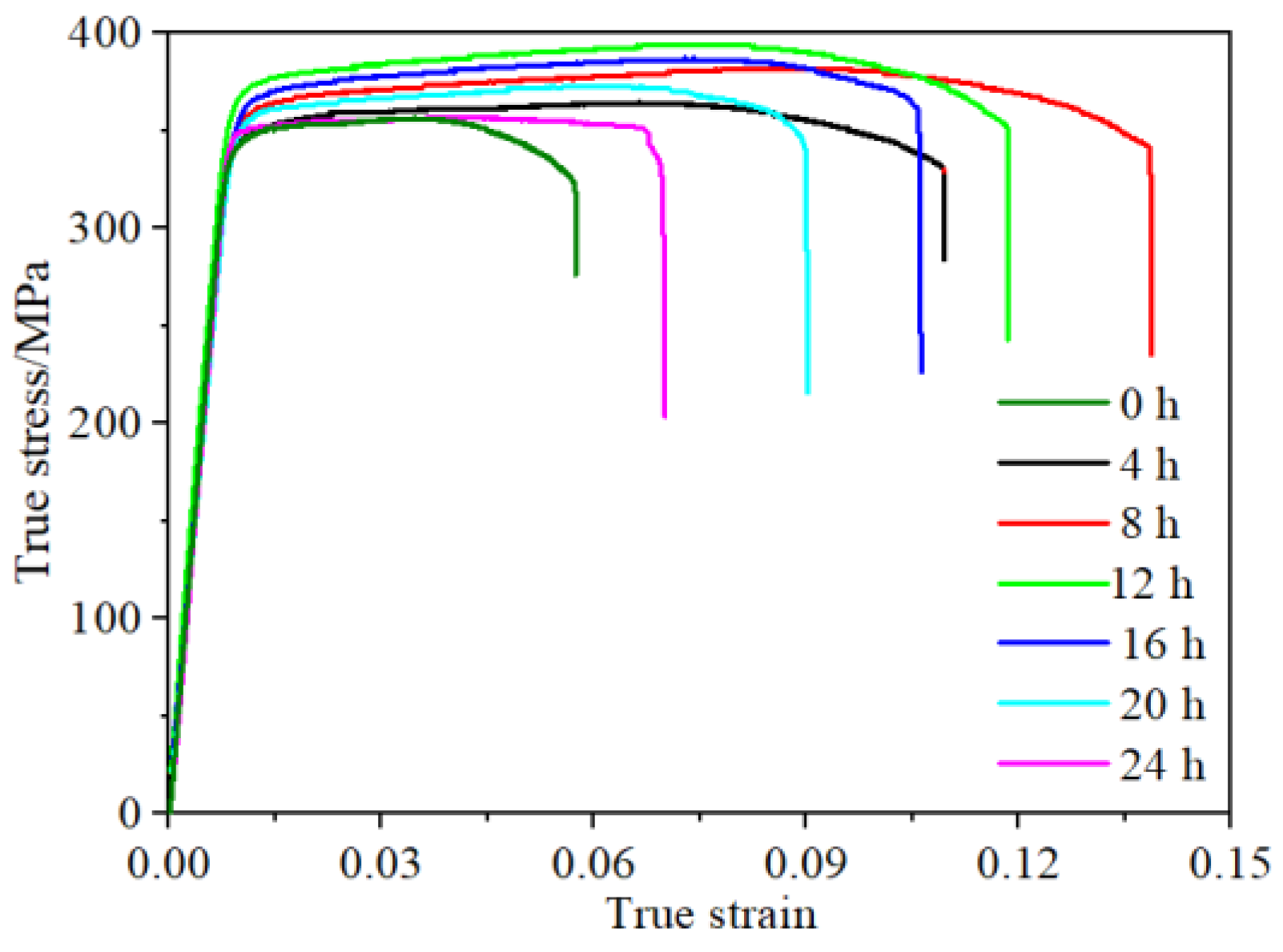
- The 6082 alloy subjected to deep cryogenic aging treatment exhibits a trend of initial increase followed by a decrease in both strength and elongation rate. Specifically, the yield strength reaches its peak value of 390 MPa after a 12 h deep cryogenic treatment followed by an artificial aging process at 180 °C/8 h. This could be attributed to the volumetric contraction and grain rotation within the alloy caused by deep cryogenic treatment, as well as the shrinkage of vacancies and microvoids in the matrix. Additionally, deep cryogenic treatment can regulate the precipitation behavior.
- The 6082 alloy that has undergone deep cryogenic aging treatment demonstrates characteristics of ductile fracture upon tensile failure. The cross-sectional area of the macroscopic fracture surface first decreases and then increases with varying durations of deep cryogenic treatment. The smallest cross-sectional area of the fracture surface is observed after a 12 h deep cryogenic treatment followed by an artificial aging process at 180 °C for 8 h, where the fracture exhibits the highest number of dimples, the largest dimple size, and the deepest dimples. The elongation rate achieves its maximum value of 13% after an 8h deep cryogenic treatment coupled with a 180 °C/8 h artificial aging process.
- The deep cryogenic aging treatment does not significantly affect the grain size of the 6082 alloy, with the average grain size remaining approximately 230 µm. Deep cryogenic treatment can increase the supersaturation of the aluminum alloy matrix, thereby enhancing the driving force for subsequent precipitation. A more refined and denser distribution of needle-like precipitates within the matrix of the 6082 alloy was observed, which contributed to a more pronounced pinning effect, resulting in a significant enhancement in the material’s strength. Additionally, the formation of subgrains was found after deep cryogenic treatment, and the grain boundary precipitates transitioned from a continuous to a discontinuous distribution. These microstructural changes are beneficial for improving the plasticity of the material.
Author Contributions
Funding
Institutional Review Board Statement
Informed Consent Statement
Data Availability Statement
Conflicts of Interest
References
- Muzamil, M.; Iqbal, S.A.; Anwar, M.N.; Samiuddin, M.; Yang, J.; Raza, M.A. Wear Behavior assessment of new wire-arc additively manufactured surfaces on AA6061 and AA5086 alloys through multi-walled carbon nanotubes and Ni particles inducement. Coatings 2024, 14, 429. [Google Scholar] [CrossRef]
- Singh, P.; Ramacharyulu, D.A.; Kumar, N.; Saxena, K.K.; Eldin, S.M. Change in the structure and mechanical properties of Al-Mg-Si alloys caused by the addition of other elements: A comprehensive review. J. Mater. Res. Technol. 2023, 27, 1764–1796. [Google Scholar] [CrossRef]
- Khangholi, S.N.; Javidani, M.; Maltais, A.; Chen, X.G. Review on recent progress in Al-Mg-Si 6xxx conductor alloys. J. Mater. Res. 2022, 37, 670–691. [Google Scholar] [CrossRef]
- Baruah, M.; Borah, A. Processing and precipitation strengthening of 6xxx series aluminium alloys: A review. Int. J. Mater. Sci. 2020, 1, 40–48. [Google Scholar] [CrossRef]
- Bhat, K.U.; Panemangalore, D.B.; Kuruveri, S.B.; John, M.; Menezes, P.L. Surface modification of 6xxx Series aluminum alloys. Coatings 2022, 12, 180. [Google Scholar] [CrossRef]
- Hagen, A.B.; Wenner, S.; Bjørge, R.; Wan, D.; Marioara, C.D.; Holmestad, R.; Ringdalen, I.G. Local mechanical properties and precipitation inhomogeneity in large-grained Al–Mg–Si alloy. Mater. Sci. Eng. A 2023, 872, 144222. [Google Scholar] [CrossRef]
- Chen, Y.; Wei, W.; Zhao, Y.; Shi, W.; Zhou, X.; Rong, L.; Wen, S.; Wu, X.; Gao, K.; Huang, H.; et al. Effect of the solid solution and aging treatment on the mechanical properties and microstructure of a novel Al-Mg-Si alloy. Materials 2023, 16, 7036. [Google Scholar] [CrossRef]
- Kang, H.J.; Park, J.Y.; Choi, Y.S.; Cho, D.H. Influence of the solution and artificial aging treatments on the microstructure and mechanical properties of die-cast Al-Si-Mg alloys. Metals 2021, 12, 71. [Google Scholar] [CrossRef]
- Jiang, Y.; Li, Y.; Liu, F. Microalloying-modulated strength-ductility trade-offs in as-cast Al-Mg-Si-Cu alloys. Mater. Sci. Eng. A 2022, 855, 143897. [Google Scholar] [CrossRef]
- Jovičević-Klug, P.; Tóth, L.; Podgornik, B. Comparison of K340 steel microstructure and mechanical properties using shallow and deep cryogenic treatment. Coatings 2022, 12, 1296. [Google Scholar] [CrossRef]
- Weng, Z.; Xu, X.; Yang, B.; Gu, K.; Chen, L.; Wang, J. Cryogenic thermal conductivity of 7050 aluminum alloy subjected to different heat treatments. Cryogenics 2021, 116, 103305. [Google Scholar] [CrossRef]
- Tang, P.; Yan, T.; Wu, Y.; Tang, H. Effect of Deep cryogenic aging treatment on microstructure and mechanical properties of selective laser-melted AlSi10Mg alloy. Metals 2024, 14, 493. [Google Scholar] [CrossRef]
- Wang, X.; Zhao, Y.; Liu, Y.; Huang, Y. Influence of substructures on precipitation behavior and mechanical properties of cryogenic rolled Al-Mg-Si alloys during aging treatment. J. Mater. Res. Technol. 2023, 25, 946–959. [Google Scholar] [CrossRef]
- Franco Steier, V.; Ashiuchi, E.S.; Reißig, L.; Araújo, J.A. Effect of a deep cryogenic treatment on wear and microstructure of a 6101 aluminum alloy. Adv. Mater. Sci. Eng. 2016, 2016, 1582490. [Google Scholar] [CrossRef]
- Gruber, B.; Grabner, F.; Fragner, W.; Schökel, A.; Spieckermann, F.; Uggowitzer, P.J.; Pogatscher, S. Ageing behaviour of Al-Mg-Si alloys after cryogenic and room temperature deformation. Materials 2020, 13, 554. [Google Scholar] [CrossRef] [PubMed]
- Park, D.H.; Choi, S.W.; Kim, J.H.; Lee, J.M. Cryogenic mechanical behavior of 5000-and 6000-series aluminum alloys: Issues on application to offshore plants. Cryogenics 2015, 68, 44–58. [Google Scholar] [CrossRef]
- Xia, E.; Ye, T.; Qiu, S.; Liu, J.; Luo, J.; Sun, L.; Wu, Y. Mechanical Properties and Microstructural evolution of 6082 aluminum alloy with different heat treatment methods. Coatings 2024, 14, 602. [Google Scholar] [CrossRef]
- Huang, Y.; Li, Y.; Ren, X.; Xiao, Z. Effect of deep cryogenic treatment on aging processes of Al-Mg-Si alloy. Phys. Met. Metallogr. 2019, 120, 914–918. [Google Scholar] [CrossRef]
- Jovičević-Klug, M.; Jovičević-Klug, P.; Podgornik, B. Influence of deep cryogenic treatment on natural and artificial aging of Al-Mg-Si alloy EN AW 6026. J. Alloy Compd. 2022, 899, 163323. [Google Scholar] [CrossRef]
- Li, G.; Cao, Z.; Wang, H.; Ye, Y.; Xiong, M.; Dong, K.; Guo, S.; Zhou, P. Effect of deep cryogenic treatment on microstructures and mechanical properties of automotive 6063Al alloy. J. Mater. Sci. 2024, 59, 5558–5575. [Google Scholar] [CrossRef]
- Sonia, P.; Verma, V.; Saxena, K.K.; Kishore, N.; Rana, R.S. Effect of cryogenic treatment on mechanical properties and microstructure of aluminium 6082 alloy. J. Mater. Today Proc. 2020, 26, 2248–2253. [Google Scholar] [CrossRef]
- Mani, S.; Subramanian, R.K. Experimental investigation on the low cycle fatigue performance and fractographic analysis of deep cryogenic treated 6063 aluminium alloy. Structures 2023, 58, 105588. [Google Scholar] [CrossRef]
- Madhloom, M.A.; Ataiwi, A.H.; Dawood, J.J. Influence of cryogenic treatment on hardness, tensile properties, and microstructure of aluminum alloy AA6061. J. Mater. Today Proc. 2022, 60, 2157–2161. [Google Scholar] [CrossRef]
- Jovičević-Klug, M.; Tegg, L.; Jovičević-Klug, P.; Dražić, G.; Almásy, L.; Lim, B.; Cairney, J.M.; Podgornik, B. Multiscale modification of aluminum alloys with deep cryogenic treatment for advanced properties. J. Mater. Res. Technol. 2022, 21, 3062–3073. [Google Scholar] [CrossRef]
- Briseno, J.; Casanova-Del-Angel, F. Fracture Mechanics on Aluminum Specimens. World J. Mech. 2021, 12, 11. [Google Scholar] [CrossRef]
- Qiu, S.; Xia, E.; Liu, L.; Ye, T.; Liu, J.; Tang, J.; Liu, W.; Wu, Y. Tensile Behavior and Microstructure Evolution of an Extruded 6082 Aluminum Alloy Sheet at High Temperatures. J. Metals. 2023, 14, 7. [Google Scholar] [CrossRef]
- Zhao, N.; Sun, Q.; Pang, Q.; Hu, Z. Comprehensive study of hot compression behaviors and microstructure evolution of solutionized 6082 aluminum alloy extruded bar. J. Alloy Compd. 2023, 931, 167541. [Google Scholar] [CrossRef]
- Yao, E.; Zhang, H.; Ma, K.; Ai, C.; Gao, Q.; Lin, X. Effect of deep cryogenic treatment on microstructures and performances of aluminum alloys: A review. J. Mater. Res. Technol. 2023, 26, 3661–3675. [Google Scholar] [CrossRef]
- Mavi, A.; Kaplan, Y.; Aksoz, S. Effects of aging and deep cryogenic treatment on wear behavior of Al7075 Alloy. J. Tribol. 2021, 143, 121702. [Google Scholar] [CrossRef]
- Chrominski, W.; Lewandowska, M. Influence of dislocation structures on precipitation phenomena in rolled Al–Mg–Si alloy. Mat. Sci. Eng. A 2020, 793, 139903. [Google Scholar] [CrossRef]
- Trink, B.; Weißensteiner, I.; Uggowitzer, P.J.; Strobel, K.; Hofer-Roblyek, A.; Pogatscher, S. Processing and microstructure–property relations of Al-Mg-Si-Fe crossover alloys. Acta Mater. 2023, 257, 119160. [Google Scholar] [CrossRef]
- Weng, Y.; Ding, L.; Zhang, Z.; Jia, Z.; Wen, B.; Liu, Y.; Muraishi, S.; Li, Y.; Liu, Q. Effect of Ag addition on the precipitation evolution and interfacial segregation for Al–Mg–Si alloy. J. Acta Mater. 2019, 180, 301–316. [Google Scholar] [CrossRef]
- Yang, M.; Chen, H.; Orekhov, A.; Lu, Q.; Lan, X.; Li, K.; Zhang, S.; Song, M.; Kong, Y.; Schryvers, D.; et al. Quantified contribution of β″ and β′ precipitates to the strengthening of an aged Al–Mg–Si alloy. J. Mat. Sci. Eng. A 2020, 774, 138776. [Google Scholar] [CrossRef]
- Yang, M.; Orekhov, A.; Hu, Z.Y.; Feng, M.; Jin, S.; Sha, G.; Li, K.; Samaee, V.; Song, M.; Du, Y.; et al. Shearing and rotation of β″ and βʹ precipitates in an Al-Mg-Si alloy under tensile deformation: In-situ and ex-situ studies. Acta Mater. 2021, 220, 117310. [Google Scholar] [CrossRef]










| Element | Fe | Cu | Si | Cr | Mg | Mn | Zn | Ti | Al | 
|---|---|---|---|---|---|---|---|---|---|
| wt.% | 0.2 | 0.1 | 0.89 | 0.1 | 0.75 | 0.43 | 0.02 | 0.09 | Balance | 
| Disclaimer/Publisher’s Note: The statements, opinions and data contained in all publications are solely those of the individual author(s) and contributor(s) and not of MDPI and/or the editor(s). MDPI and/or the editor(s) disclaim responsibility for any injury to people or property resulting from any ideas, methods, instructions or products referred to in the content. | 
© 2024 by the authors. Licensee MDPI, Basel, Switzerland. This article is an open access article distributed under the terms and conditions of the Creative Commons Attribution (CC BY) license (https://creativecommons.org/licenses/by/4.0/).
Share and Cite
Qiu, S.; Tang, J.; Tian, Y.; Wu, C.; Ye, T.; Xia, E.; Wu, Y. Effect of Deep Cryogenic Treatment on the Artificial Aging Behavior of 6082 Aluminum Alloy. Coatings 2024, 14, 755. https://doi.org/10.3390/coatings14060755
Qiu S, Tang J, Tian Y, Wu C, Ye T, Xia E, Wu Y. Effect of Deep Cryogenic Treatment on the Artificial Aging Behavior of 6082 Aluminum Alloy. Coatings. 2024; 14(6):755. https://doi.org/10.3390/coatings14060755
Chicago/Turabian StyleQiu, Sawei, Jian Tang, Yiran Tian, Changping Wu, Tuo Ye, Erli Xia, and Yuanzhi Wu. 2024. "Effect of Deep Cryogenic Treatment on the Artificial Aging Behavior of 6082 Aluminum Alloy" Coatings 14, no. 6: 755. https://doi.org/10.3390/coatings14060755
APA StyleQiu, S., Tang, J., Tian, Y., Wu, C., Ye, T., Xia, E., & Wu, Y. (2024). Effect of Deep Cryogenic Treatment on the Artificial Aging Behavior of 6082 Aluminum Alloy. Coatings, 14(6), 755. https://doi.org/10.3390/coatings14060755
 
        


 
       