Simple Summary
Soccer performance is complex, requiring mastery of sport specific technical and tactical skills with ideal physical fitness (i.e., includes sprints, hops, accelerations, changes of directions, and so on) and body composition (i.e., increase lean muscle mass and decrease fat mass). In the last decades, performance models have helped to understand the multifactorial mechanisms involved in physical performance in sports. Hence, we tested the hypothesis that a neuromuscular training (NMT) program has an effect on body composition parameters in elite female soccer players. The result showed that implementation of 10-week with thrice-weekly NMT program improves body composition in elite female soccer players.
Abstract
(1) Background: This study was conducted to investigate the effects of a 10-week neuromuscular training program (NMT) on the sum of six skinfolds (Σ6S) and body composition variables in elite female soccer players. (2) Methods: Forty-four Spanish elite female soccer players (age: 24.0 ± 4.2 years; height: 164.3 ± 5.5 cm; body mass: 60.4 ± 5.5 kg; body mass index (BMI): 22.4 ± 2.2 kg/m2) were randomly assigned to a control group (CG) or to an experimental group (EG). Participants in the EG completed a specific NMT program of 24 min, three times per week, which included exercises from six different categories (mobility, dynamic stability, anterior chain strength, lumbopelvic control, posterior chain strength, and change of direction). The CG followed their normal strength and conditioning program. Pre- and post-intervention assessments included anthropometric measurements (weight, height, limb circumferences, and bone breadths), and subsequently, body composition factors BMI, Σ6S, body mass, muscle mass, and lean body mass were calculated. Nutrition was standardized by a nutritionist and also load monitored. (3) Results: A two-way mixed analysis of variance (group × time) revealed that there was a significant (p ≤ 0.001) group × time interaction between body mass, fat mass, and Σ6S in favor of NMT. A significant interaction was also observed for body skeletal muscle mass and lean body mass favoring NMT. (4) Conclusions: The application of an NMT program seems to be a useful strategy to improve body composition in elite female soccer players.
1. Introduction
Soccer is arguably the most popular team sport today, and it is played by more than one billion people worldwide [1]. In 2020, the number of federated female soccer players in Spain reached 77,461 [2]. That year, FIFA’s Women’s Football Strategy set out its goals of doubling the number of participants by 2026 [3].
Soccer performance is multifactorial and requires mastery of both sport-specific technical–tactical skills and optimal physical fitness. As an intermittent high-intensity sport, soccer involves activities such as sprints, jumps, accelerations, and changes of direction (COD), among others [4,5]. Of note, these high-intensity actions, coupled with the ability to repeat them without fatigue and the somatotype, also account for most actions that cause injury [6]. In addition, the somatotype of the players has shown to be relevant for this purpose [7]. Therefore, the link between anthropometry, muscle performance, and soccer-specific physical performance has been studied extensively (i.e., sprint, repeated sprint ability, vertical jump, etc.). Previous investigations found a strong link between body composition (high levels of lean mass and low levels of fat mass) and vertical jump performance and repeated sprint ability [8,9,10]. In addition, for leaner body compositions, lower body strength measurements are closely linked to soccer players’ acceleration, sprinting, and leaping performance [11,12]. Given these correlations, training methods, such as neuromuscular training (NMT), that increase lower body strength and/or reduce body fat, enhancing the power-to-mass ratio, should result in significant increases in the physical performance parameters of female soccer players [13,14].
In this direction, the relationship between running performance (i.e., aerobic capacity) and body composition has been evaluated in elite males [15], youths [16], and elite females [17], showing high-speed actions and longer distances covered in players with greater lean body mass percentages as a marker of the muscle-to-fat ratio. In addition, previous published kinanthropometric studies in soccer showed different profiles as a function of age, sex, and playing position, and some of them have specifically analyzed the anthropometric profile of female soccer players [18,19,20,21].
The research working group on the body composition health and performance of athletes states that low body fat and high lean body mass are strongly correlated with higher levels of performance, especially in weight-sensitive sports such as soccer [22]. However, this relationship should be handled with caution because each sport has its own body composition (i.e., somatotype) that is considered ideal for success [23], and players with low body fat mass do not follow this general rule. A recently published review included kinanthropometric data of elite female soccer players from 2000 to 2020, showing a fat mass percentage between 14.5% to 22% [24]. In addition to the above, it is also important to analyze other performance factors that affect this sport, such as adequate nutritional intake [25] and genetics [26]. A few studies looked at the relationship between different endocrine parameters, such as IGFBP-3, erythropoietin, or estrogen, in female athletes. Additionally, genes related to performance and body composition, such as angiotensin-1 converting enzyme insertion/deletion (ACE I/D) polymorphism or α-actinin-3 (ACTN3) R577X polymorphism, have been studied [11].
In the last two decades, novel training approaches have been developed aiming to improve performance and body composition in female soccer players [17,18,19,22,23,24,27,28]. Interestingly, Myer et al. [29] suggested an integrative NMT program including mobility, dynamic stability, core strength, plyometric, agility, and fundamental strength exercises, showing it could improve sport-specific skills and minimize the risk of injuries.
With this rationale, some standardized neuromuscular protocols, such as FIFA11+, SportsmetricsTM, or Harmoknee, were developed and demonstrated to reduce injury risk [30,31,32,33,34,35] and improve performance [31,36] in female soccer players. Despite the effects of these training protocols on performance, the effect on body composition remains unknown. Rohmansyah et al. [37] found a reduction in body mass index (BMI), fat mass, and waist circumference in obese young-adult females after a 6-week FIFA 11+ program. Simões et al. analyzed the effects of NMT on body composition in volleyball athletes, finding improvements in body composition [38]. With respect to each of the interventions included in an NMT program, there is some research on the effects of body-weight resistance training [39], eccentric [40], and plyometric-based programs [41] on the body composition of female soccer players. However, the evidence is very scarce regarding the effects of a multicomponent program that combines all of them. Due to this, in the present study we hypothesized that an NMT program can be used to increase the lean body mass and body skeletal muscle mass or reduce the body mass, BMI, fat mass, and skinfold measurements in female soccer players. Thus, the main aim of this study was to evaluate the effects of an NMT program on the body composition of elite female soccer players.
2. Materials and Methods
2.1. Participants
Forty-four Spanish, highly-trained female soccer players voluntarily participated in the study (Table 1).
Table 1.
Descriptive data of the participants.
Data collection took place during the competitive period (i.e., seventh month of the season). All the participants played for soccer teams in the Spanish Women’s Second Division and completed a similar weekly soccer training regarding volume and methodology (i.e., five 90 min sessions per week and 1 game/week). All the participants met the following inclusion criteria: (i) at least 6 years of experience in soccer training and competition; (ii) participation in regular soccer training and competition for 6 months before data collection; (iii) free from injuries, and iv) refrained from other NMT programs or diets outside this study. Furthermore, participants were excluded if: (i) they missed three or more NMT sessions or (ii) they missed a testing day. The participants were randomly assigned (ABBA distribution) to a control group (CG, n = 22) or to an experimental group (EG, n = 22). Nevertheless, due to NMT attendance and testing days, the final sample was n = 22 for CG and n = 18 for EG (Figure 1). Prior to data collection, written informed consent was obtained from all the participants. The study was developed following the ethical standards of the Declaration of Helsinki and was approved by the Local Ethics Committee of Clinical Research (PI21/011, CEICA, Spain).
Figure 1.
Participant recruitment, allocation, follow-up, and analysis are depicted in a CONSORT diagram. NMT: neuromuscular training; EG: experimental group; CG: control group.
2.2. Measurement of Body Composition
The participants were tested according to the guidelines of the International Society of the Advancement of Kinanthropometry (ISAK) at the beginning (i.e., 1 week before) and the end of the intervention (i.e., 1 week after). The instruments were adjusted before their use and data were collected in duplicate [42]. To minimize measurement variation, the same experienced researcher examined all the subjects on the right side of the body during the same time of the day (i.e., 08:00 a.m.–10:00 a.m.). Participants were asked to avoid vigorous activities for at least 48 h before data collection and consumption of large volumes of water 2 h before as well as to follow their ordinary diet. Furthermore, to avoid any possible dietary confounding effects on body-composition assessment, in the pre- and post-test sessions, a 24-h food recall was collected by a registered dietician to check average macronutrient and energy intake (DAPA Measurement Toolkit, Cambridge, UK). After obtaining the players’ data, the Spanish Food Composition Database (BEDCA) was used to calculate kilocalories and macronutrient intake. This database includes a compilation of nutritional data from various publications and food composition tables [43]. The results are shown in Table 2.
Table 2.
Average macronutrient and energy intake.
Anthropometric measurements included: body mass in kilograms (kg) using a digital scale (BC-601, Tanita, IL, USA), height in centimeters (cm) employing a stadiometer (SECA 214, SECA, Hamburg, Germany), limb girths in cm using an anthropometric tape (Lufkin W606PM, Lufkin, NC, USA), bone breadths in cm utilizing a bone caliper (Campbell 10, Rosscraft, CA, USA), and skinfolds in millimeters (mm) using a slim guide skinfold caliper (Harpenden, West Sussex, UK). Specifically, 8 point skinfolds (e.g., triceps, biceps, abdominal, iliac crest, supraspinal, subscapular, front thigh, and medial calf), 4 limb girths (e.g., arm relaxed, arm tensed, mid-thigh, and calf), and 3 bone breadths (e.g., biepicondylar humerus, biepicondylar femur, and bi-styloid diameter of the wrist) were measured. The inter- and intra-observer technical error of measurement was less than 5.5% for skinfolds and less than 1.5% for the other variables.
BMI was calculated as body mass (in kg) divided by height in meters squared (kg/m2) [44]. The sum of six skinfolds (Σ6S) was obtained as the addition in mm of the standardized 6 skinfolds (triceps, subscapular, supraspinal, abdominal, front thigh, and medial calf) [21]. Body density (BD) was calculated using the equation proposed by Withers et al. (1987) for female athletes [45] (Equation (1)). When BD was calculated, the Siri equation [46] was used to estimate fat mass percentage (Equation (2)). Lean body mass percentage was calculated as the difference between total body mass percentage and fat mass percentage. The body skeletal muscle mass was estimated with the equation of Lee et al. (2000) [47], and once this result was obtained, we converted it to a percentage (Equation (3)).
Ht: height (m); CAG: corrected arm girth (cm); CTG: corrected thigh girth (cm); CCG: corrected calf girth (cm); Sex (1 for male and 0 for female); Race (−2 for Asian, 1.1 for African American and 0 for white or Hispanic)
2.3. Exercise Protocol
Participants in the EG completed a rise, activate, mobilize, and potentiate (RAMP) system warm-up protocol [48] followed by a 24 min NMT program, three times per week, for 10 weeks. Participants in the CG followed the same warm-up protocol. Then, they completed their normal strength and conditioning program for 24 min (Table 3). Both groups were exercised equally and there was no significant difference between groups. Two weeks before the beginning of the intervention, four familiarization sessions were executed in the EG to get to know the exercises included in the NMT program (Figure 2).
Table 3.
Training intervention details.
Figure 2.
Project design timeline. NMT: neuromuscular training; RAMP: rise, activate, mobilize, and potentiate.
The intensity of the CG and EG training sessions was recorded using the modified Borg scale (0–10 rating), which is valid to control the training intensity and is commonly used by these players in their physical preparation [49,50]. At the end of the physical preparation, the players individually indicated their level of perceived exertion. The average for each of the sessions is shown in Figure 3.
Figure 3.
Average intensity (mean and standard deviation) using the modified Borg scale over the thirty training sessions. EG: experimental group; CG: control group.
The NMT program (Figure 4) included exercises from six different categories: (1) mobility, (2) dynamic stability, (3) anterior chain strength, (4) lumbopelvic control, (5) posterior chain strength, and (6) COD and was carried out in 4 sets of the 6-exercise circuit (40 s of work and 20 s of gentle running to change to the next exercise). Level 1 exercises were performed during the first 2 weeks, whereas levels 2 and 3 were performed during weeks 3–6 and 7–10, respectively. For unilateral exercises, the working leg changed between series.
Figure 4.
Neuromuscular training protocol.
2.4. Statistical Analysis
Data analysis of the present study was carried out as both descriptive and inferential. Normality was inspected for all variables using a Shapiro-Wilk test. Macronutrient and energy intake, descriptive data, and possible differences pre-training were analyzed with independent group t-student. Within-group comparisons (Student paired t-test) were carried out to detect significant differences between the pre-test and post-test in all variables in both groups. A 2 (group) × 2 (time) repeated measures ANOVA with Bonferroni post hoc analysis was calculated for each parameter. Hedges’ g effect size with a 95% confidence interval was also calculated to determine the magnitude of pairwise comparisons for pre- and post-test and was defined as trivial (<0.2), small (>0.2), moderate (>0.5), and large (>0.8). If the results of the independent sample t-test and effect sizes were similar for each group, then the percentage changes were computed and assessed. The significance of statistical analysis was used at the level of p < 0.05. All statistical calculations were performed using SPSS (Version 28.0, IBM SPSS Inc., Chicago, IL, USA).
3. Results
The descriptive characteristics of the players of both groups are shown in Table 1. The results of the analysis showed that there were no significant differences between the two groups in these variables. The average intakes of macronutrients and energy are shown in the Table 2. The results of the analysis showed that there were no significant differences in diet during the intervention in either group.
Table 4 shows the mean and SD of the changes in skinfold variables. At the baseline, there were no differences observed between groups in the above variables, except subscapular skinfold (f = 4.91; p = 0.033) and sum of six skinfolds (Σ6S) (f = 4.43; p = 0.04).
Table 4.
Summary results of skinfold variables within the control group and neuromuscular training group.
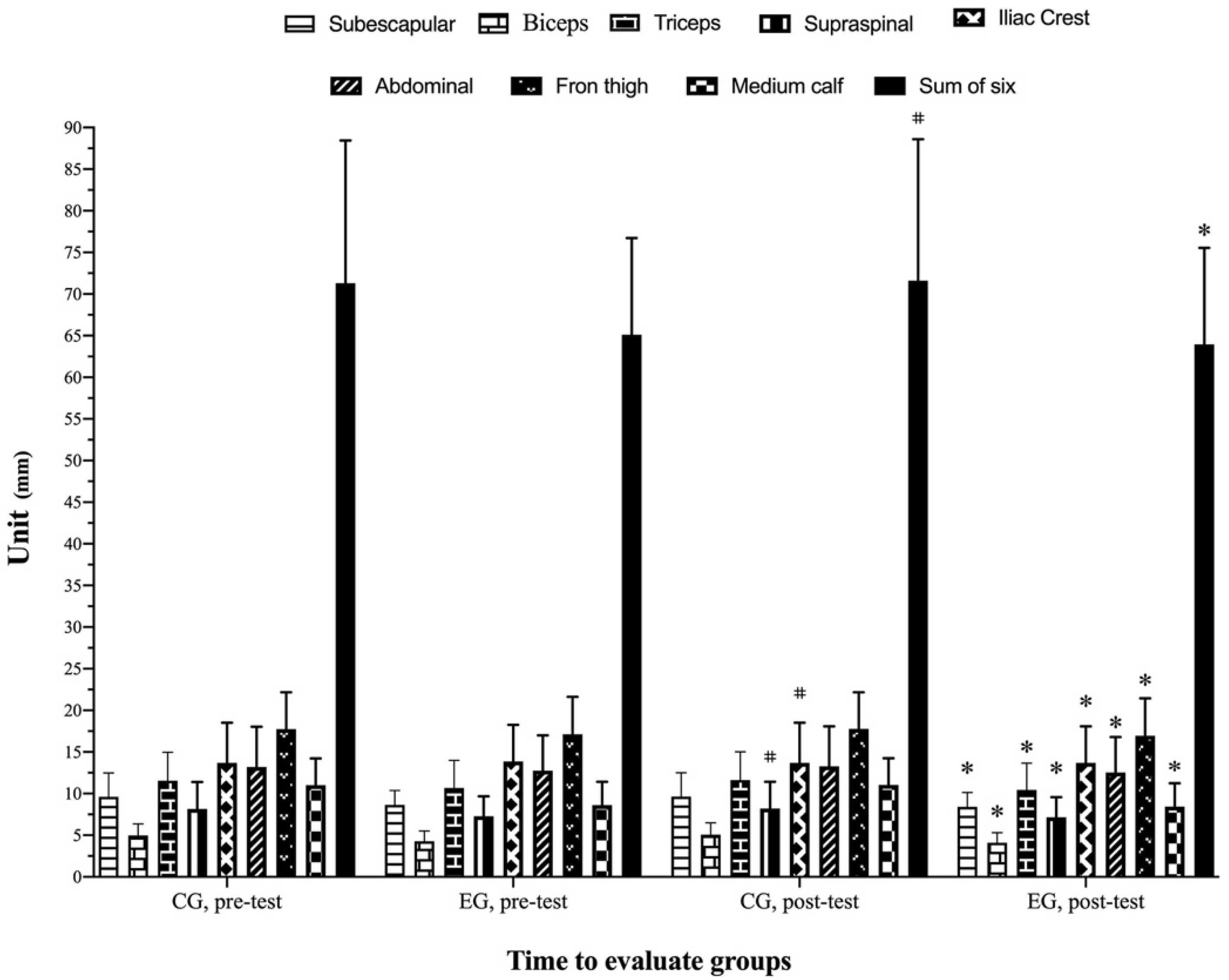
There were significant main effects of time (p ≤ 0.001, f = 24.52, ηp2 = 0.39; p ≤ 0.001, f = 25.46, ηp2 = 0.40; p ≤ 0.001, f = 19.81, ηp2 = 0.34; p = 0.009, f = 7.49, ηp2 = 0.16; p = 0.007, f = 8.00, ηp2 = 0.17; p ≤ 0.001, f = 24.98, ηp2 = 0.39) and a group by time interaction (p ≤ 0.001, f = 29.73, ηp2 = 0.44; p ≤ 0.001, f = 47.25, ηp2 = 0.55; p ≤ 0.001, f = 41.72, ηp2 = 0.52; p ≤ 0.001, f = 51.08, ηp2 = 0.57; p ≤ 0.001, f = 25.22, ηp2 = 0.41; p ≤ 0.001, f = 68.87, ηp2 = 0.64) for front thigh, medial calf, subscapular, iliac crest, abdominal, and Σ6S, respectively. The post hoc analysis indicated that front thigh (EG, p ≤ 0.01, g = −0.09), medial calf (EG, p ≤ 0.001, f = 24.99, ηp2 = 0.40), subscapular (EG, p ≤ 0.01, g = −0.12), iliac crest (CG, p = 0.02, g = 0.02, EG, p ≤ 0.01, g = −0.04), abdominal (EG, p ≤ 0.01, g = −0.06) and Σ6S (CG, p = 0.019, g = 0.01 and EG, p ≤ 0.01, g = −0.09) skinfolds were significantly reduced. Percent changes of skinfold variables between pre- and post-test are shown in Table 4 and Figure 5.
Figure 5.
Change in skinfold variables assessment for each group and assessment stage. * Represents a statistically significant difference compared to the pre-test with the superiority of the EG (p < 0.05). # Represents a statistically significant difference compared to the pre-test with the superiority of the CG (p < 0.05). EG: experimental group; CG: control group.
Table 5 shows the mean and standard deviation in body mass, BMI, fat mass, body skeletal muscle mass, and lean body mass. At the baseline, there were no differences observed between groups in the above variables, except the body skeletal muscle mass Lee (f = 16.71; p ≤ 0.001). There were significant (p = 0.071, f = 8.17, ηp2 = 0.18; p = 0.006, f = 8.50, ηp2 = 0.18; p ≤ 0.001, f = 16.39, ηp2 = 0.30; p ≤ 0.001, f = 32.85, ηp2 = 0.46; p ≤ 0.001, f = 16.39, ηp2 = 0.30) main effects of time and a group by time interaction (p ≤ 0.001, f = 14.77, ηp2 = 0.28; p ≤ 0.001, f = 14.72, ηp2 = 0.28; p ≤ 0.001, f = 50.19, ηp2 = 0.57; p ≤ 0.001, f = 50.61, ηp2 = 0.57; p ≤ 0.001, f = 50.19, ηp2 = 0.56) for the body mass, BMI, fat mass Withers, body skeletal muscle Lee, and lean body mass, respectively. Post hoc analysis found that the body mass (EG, p ≤ 0.001, g = −0.04), the BMI (EG, p ≤ 0.001, g = −0.04), fat mass Withers (CG, p = 0.029, g = 0.02, EG, p ≤ 0.01, g = −0.10), the body skeletal muscle mass Lee (EG, p ≤ 0.001, g = 0.23), and lean body mass (CG, p = 0.03, g = −0.02, EG, p ≤ 0.001, g = 0.45) were significantly reduced post-test vs. pre-test. Percent changes of all body composition variables between pre- and post-test, as shown in Table 5 and Figure 6 and Figure 7.
Table 5.
Summary results of other body composition variables within the control group and neuromuscular training group.
Figure 6.
Change in body mass and body mass index variables assessment for each group and assessment stage. * Represents a statistically significant difference compared to the pre-test with the superiority of the EG (p < 0.05). # Represents a statistically significant difference compared to the pre-test with the superiority of the CG (p < 0.05). EG: experimental group; CG: control group.
Figure 7.
Change in body composition variables assessment for each group and assessment stage. * Represents a statistically significant difference compared to the pre-test with the superiority of the EG (p < 0.05). # Represents a statistically significant difference compared to the pre-test with the superiority of the CG (p < 0.05). EG: experimental group; CG: control group.
The average intensity registered using the modified Borg’s scale (0–10) was recorded over the 30 sessions for both groups (Figure 3). Small magnitudes of differences were found between the average of intensities (g = 0.20) between CG and EG.
4. Discussion
The aim of the study was to investigate the effects of a 10-week NMT program on skinfold and body composition variables in highly trained female soccer players. We hypothesized that GE would reduce skinfold values, fat mass, and body mass and increase muscle mass and lean body mass, improving overall body composition.
The main findings of the current work were that 10 weeks of NMT significantly reduced body mass (−0.34%, g = −0.04), fat mass (−1.94%, g = −0.10), and Σ6S (−1.79%, g = −0.09) compared with the CG (0.05%, g = 0.01, 0.52%, g = 0.02 and 0.4%, g = 0.01, respectively). EG and CG were exercised equally, and no significant work intensity was observed between the groups. In addition, body skeletal muscle mass and lean body mass increased in the EG (body skeletal muscle mass: 1.10%, g = 0.23; lean body mass: 1.53%, g = 0.45) and slightly decreased in the CG (body skeletal muscle mass: −0.10%, p = 0.3, lean body mass: −0.10%, g = 0.02, respectively).
Previous research in soccer players reported changes in body composition after different resistance training programs [38,40,51,52,53,54,55,56,57,58,59]. However, no study has been conducted regarding the effects of an NMT program. Of note, the NMT battery applied in the current work includes exercises from six categories: (1) mobility, (2) dynamic stability, (3) anterior chain strength, (4) lumbopelvic control, (5) posterior chain strength, and (6) the ability to COD in this regard, and the effectiveness of each or a combination of these training methods to improve body composition has been considered as a reference for comparing the results of the present study.
Arguably, strength exercises are an effective way to stimulate muscle hypertrophy along with improvements in body composition [60]. Particularly, Falces et al. [55] applied a 16-week strength training program with calisthenics and observed a significant decrease in body mass (ES = −0.08) and fat mass (ES = −0.41) and a significant increase in lean mass (ES = 0.17) in a group of male U17 soccer players. Furthermore, Sánchez-Pérez et al. [54] studied the effects of an 8-week high intensity interval training (i.e., a Tabata workout including calisthenics, plyometrics, and COD ability) in a similar population, showing a reduction in body fat (−1.38%, ES = 0.42) and an increase in lean body mass (1.38%, ES = 0.44), and Suárez-Arrones [40,56] also found differences in the body composition (body fat: ES = −0.99 ± 0.54 and lean body mass percentage: ES = 0.25 ± 0.10) of young male soccer players during a 24-week intervention that included circuit training with some exercises comparable to ours (i.e., posterior chain eccentrics, core stability, and plyometrics). It should be noted that in these last two studies the CG slightly worsened their body composition, just as in the present research.
On the contrary, several studies [58,59,61] assessed training programs that include at least one of the exercise categories applied in the current study in adult soccer players showing no differences in changes in body fat percentage (ES = −0.10) and fat-free mass percentage (ES = 0.09) after 8 weeks or less of intervention. Unfortunately, female soccer players were not included in these works, preventing an accurate comparison with the current data.
Focusing on female soccer players, the study from Polman [52] analyzed the effect of a 12-week physical conditioning program on physical fitness and anthropometric parameters of adult highly trained female soccer players. After the intervention, decreases in body mass (ES = −0.24), BMI (ES = −0.28) and fat mass (ES = −0.16) were found. Although the exercise program in Polman’s study is similar to the one included in our study (e.g., balance, jumps, and COD ability), their athletes showed greater improvements than the athletes in the present study. A possible explanation for this little discrepancy could be the longer duration of their intervention and/or the higher body fat percentage of their players at baseline. Remarkably, the mean values for body mass and fat percentage at baseline in the current work fall within the values reported in a review of international female soccer players (56.8–64.9 kg and 14.6–20.1%, respectively) [5], whereas those from the aforementioned study do not.
In contrast, to the best of our knowledge, this is one of the first studies to assess the effects of 12-week plyometric training on body composition, explosive strength, and kicking speed of 20 female soccer players [53]. The results showed an improvement in performance variables but no significant changes in body composition However, changes in muscle strength through plyometric training produce adaptations of the neuromuscular system rather than muscle hypertrophy [62]. Therefore, with unique plyometric training, body composition can be expected to remain unchanged.
Of note, one study [38] analyzed the effects of a 12-week NMT program on the body composition of female volleyball athletes. Though the sports have different metabolic requirements, (football and volleyball), Simões et al. showed an increase in body mass (ES = 0.08) and lean body mass (ES = 0.36) and a reduction in fat mass (ES = −0.50) [38]). In the same direction, the study by Sudha and Dharuman, which evaluated the effects of a 12-week circuit training program combined with different neuromuscular activities in schoolgirls, observed a decrease in BMI (ES = −0.49) [51]. This data, although from a different sample, contribute to reinforcing the results obtained in the present research and highlight that the assessment of body composition is closely related to performance and helps to confirm the training effect [62,63].
Some limitations need to be acknowledged for a correct interpretation of the results. Firstly, it should be mentioned that the sample used is small and the data is limited to a certain group of soccer players, so it would be interesting to carry out further studies to confirm the present results. Female soccer players have characteristics that do not allow us to extrapolate our results directly to other sports. This study did not take into account variables related to the genotype of the female athletes and protein intake above the recommended dietary allowance was not controlled. We recommend that future research examines the relationship between different endocrine parameters (i.e., IGFBP-3, erythropoietin, or estrogen for female athletes) and genes related to performance and body composition, such as angiotensin-1 converting enzyme insertion/deletion (ACE I/D) polymorphism or α-actinin-3 (ACTN3) R577X polymorphism. Future studies should extend these observations to other age groups, competitive levels, and larger samples in order to analyze whether the results are similar. Furthermore, it would be beneficial to observe different intensities and volumes in the NMT program to determine the optimal regimen for this training method as well as observing whether this program can improve body composition in female soccer players.
5. Conclusions
The present study suggests that the implementation of a 10-week NMT program of just 24 min, three times a week improves body composition in highly trained female soccer players compared to a regular physical preparation training. In this regard, the soccer-specific NMT protocol proposed in this study improved female soccer players´ body composition by reducing fat mass and increasing muscle mass. Therefore, female soccer coaches and physical trainers should be aware that combining strength, mobility, lumbopelvic control, dynamic stability, and change of direction exercises based on soccer-specific requirements may also improve the body composition of their female players.
Author Contributions
Conceptualization, A.R.-M., A.C.-L., J.L.A.-S. and D.L.; methodology, A.R.-M., H.N. and A.C.-L.; formal analysis, A.R.-M. and D.L.; investigation, A.R.-M., E.M.-P. and D.L.; data curation, A.R.-M. and D.L.; writing—original draft preparation, A.R.-M., A.C.-L., H.N., E.M.-P. and D.L.; writing—review and editing, D.L., H.N., J.L.A.-S., E.M.-P. and A.C.-L.; supervision, E.M.-P., D.L. and J.L.A.-S.; project administration, A.R.-M. and E.M.-P. All authors have read and agreed to the published version of the manuscript.
Funding
This work was supported by Universidad San Jorge (Internal Research Project 2021–2022) and Departamento de Ciencia, Universidad y Sociedad del Conocimiento from the Gobierno de Aragon (Spain) (Research Group ValorA No. S08_20R).
Institutional Review Board Statement
The study was conducted in accordance with the Declaration of Helsinki, and approved by the local Ethics Committee of CEICA (protocol code PI21/011, 10/02/2021).
Informed Consent Statement
Informed consent was obtained from all subjects involved in the study. Written informed consent has been obtained from the patients to publish this paper.
Data Availability Statement
The data presented in this study are available on reasonable request from the corresponding author. The data are not publicly available due to privacy reasons.
Acknowledgments
The authors thank all the subjects who participated in this study.
Conflicts of Interest
The authors declare no conflict of interest.
References
- Federation Internationale de Football Association. FIFA Big Count 2006: 270 Million People Active in Football. Available online: https://resources.fifa.com/image/upload/big-count-estadisticas-520058.pdf?cloudid=mzid0qmguixkcmruvema (accessed on 2 March 2022).
- Consejo Superior de Deportes. Estadística de Deporte Federado 2020. Available online: https://www.culturaydeporte.gob.es/dam/jcr:6b7e9a1a-e3e5-4b45-8ae5-6f187b50235f/estadistica-de-deporte-federado.pdf (accessed on 5 March 2022).
- Federation Internationale de Football Association. Estrategia de Fútbol Femenino. Available online: https://www.fifa.com/es/womens-football/strategy/strategy-details (accessed on 24 April 2022).
- Datson, N.; Drust, B.; Weston, M.; Jarman, I.H.; Lisboa, P.J.; Gregson, W. Match Physical Performance of Elite Female Soccer Players during International Competition. J. Strength Cond. Res. 2017, 31, 2379–2387. [Google Scholar] [CrossRef]
- Datson, N.; Hulton, A.; Andersson, H.; Lewis, T.; Weston, M.; Drust, B.; Gregson, W. Applied physiology of female soccer: An update. Sports Med. 2014, 44, 1225–1240. [Google Scholar] [CrossRef] [PubMed] [Green Version]
- Faude, O.; Koch, T.; Meyer, T. Straight sprinting is the most frequent action in goal situations in professional football. J. Sports Sci. 2012, 30, 625–631. [Google Scholar] [CrossRef] [PubMed]
- Salokun, S.O. Minimizing injury rates in soccer through preselection of players by somatotypes. J. Sports Med. Phys. Fit. 1994, 34, 64–69. [Google Scholar]
- Brocherie, F.; Girard, O.; Forchino, F.; Al Haddad, H.; Dos Santos, G.A.; Millet, G.P. Relationships between anthropometric measures and athletic performance, with special reference to repeated-sprint ability, in the Qatar national soccer team. J. Sports Sci. 2014, 32, 1243–1254. [Google Scholar] [CrossRef] [PubMed]
- Rebelo, A.; Brito, J.; Maia, J.; Coelho-e-Silva, M.J.; Figueiredo, A.J.; Bangsbo, J.; Malina, R.M.; Seabra, A. Anthropometric characteristics, physical fitness and technical performance of under-19 soccer players by competitive level and field position. Int. J. Sports Med. 2013, 34, 312–317. [Google Scholar] [CrossRef] [Green Version]
- Nobari, H.; Kargarfard, M.; Minasian, V.; Cholewa, J.M.; Pérez-Gómez, J. The effects of 14-week betaine supplementation on endocrine markers, body composition and anthropometrics in professional youth soccer players: A double blind, randomized, placebo-controlled trial. J. Int. Soc. Sports Nutr. 2021, 18, 20. [Google Scholar] [CrossRef]
- Nobari, H.; Pardos, E.M.; Adsuar, J.C.; García, J.M.F.; Ramos, J.R.; Bolaños, M.A.C.; Alul, L.U.; Gómez, J.P. Association between Endocrine Markers, Accumulated Workload, and Fitness Parameters during a Season in Elite Young Soccer Players. Front. Psychol. 2021, 12, 702454. [Google Scholar] [CrossRef]
- Comfort, P.; Stewart, A.; Bloom, L.; Clarkson, B. Relationships between strength, sprint, and jump performance in well-trained youth soccer players. J. Strength Cond. Res. 2014, 28, 173–177. [Google Scholar] [CrossRef]
- Oliveira, R.; Francisco, R.; Fernandes, R.; Martins, A.; Nobari, H.; Clemente, F.M.; Brito, J.P. In-Season Body Composition Effects in Professional Women Soccer Players. Int. J. Environ. Res. Public Health 2021, 18, 12023. [Google Scholar] [CrossRef]
- Slimani, M.; Nikolaidis, P.T. Anthropometric and physiological characteristics of male soccer players according to their competitive level, playing position and age group: A systematic review. J. Sports Med. Phys. Fit. 2019, 59, 141–163. [Google Scholar] [CrossRef] [PubMed]
- Radzimiński, Ł.; Szwarc, A.; Cabo, A.P.; Jastrzębski, Z. Correlations between body composition, aerobic capacity, speed and distance covered among professional soccer players during official matches. J. Sports Med. Phys. Fit. 2020, 60, 257–262. [Google Scholar] [CrossRef]
- Nobari, H.; Oliveira, R.; Clemente, F.M.; Pérez-Gómez, J.; Pardos-Mainer, E.; Ardigò, L.P. Somatotype, Accumulated Workload, and Fitness Parameters in Elite Youth Players: Associations with Playing Position. Children 2021, 8, 375. [Google Scholar] [CrossRef] [PubMed]
- Gonçalves, L.; Clemente, F.M.; Barrera, J.I.; Sarmento, H.; Fernández, F.T.G.; Vieira, L.H.P.; Figueiredo, A.J.; Clark, C.C.T.; Carral, J.M.C. Relationships between Fitness Status and Match Running Performance in Adult Women Soccer Players: A Cohort Study. Medicina 2021, 57, 617. [Google Scholar] [CrossRef] [PubMed]
- Villa-Vicente, J.G.; García - López, J.; Moreno-Pascual, C. Influence of a Preparation Period in the Kinantropometry Profile of Soccer-Players. Arch Med Deporte 2000, 17, 9–20. [Google Scholar]
- Chamari, K.; Hachana, Y.; Ahmed, Y.B.; Galy, O.; Sghaïer, F.; Chatard, J.C.; Hue, O.; Wisløff, U. Field and laboratory testing in young elite soccer players. Br. J. Sports Med. 2004, 38, 191–196. [Google Scholar] [CrossRef]
- Mujika, I.; Santisteban, J.; Impellizzeri, F.; Castagna, C. Fitness determinants of success in men’s and women’s football. J. Sports Sci. 2009, 27, 107–114. [Google Scholar] [CrossRef]
- Canda, A.S. Variables Antropométricas de la Población Deportista Española; Consejo Superior de Deportes, Servicio de Documentación y Publicaciones: Madrid, Spain, 2012. [Google Scholar]
- Meyer, N.L.; Borgen, J.S.; Lohman, T.G.; Ackland, T.R.; Stewart, A.D.; Maughan, R.J.; Smith, S.; Müller, W. Body composition for health and performance: A survey of body composition assessment practice carried out by the Ad Hoc Research Working Group on Body Composition, Health and Performance under the auspices of the IOC Medical Commission. Br. J. Sports Med. 2013, 47, 1044–1053. [Google Scholar] [CrossRef]
- Casajús, J.A.; Aragonés, M.T. Estudio morfológico del futbolista de alto nivel. Composición corporal y somatotipo (Parte 1). Arch Med Deporte. 1991, 8, 147–151. [Google Scholar]
- Randell, R.K.; Clifford, T.; Drust, B.; Moss, S.L.; Unnithan, V.B.; Croix, M.B.A.D.S.; Datson, N.; Martin, D.; Mayho, H.; Carter, J.M.; et al. Physiological Characteristics of Female Soccer Players and Health and Performance Considerations: A Narrative Review. Sports Med. 2021, 51, 1377–1399. [Google Scholar] [CrossRef]
- Steffl, M.; Kinkorova, I.; Kokstejn, J.; Petr, M. Macronutrient Intake in Soccer Players—A Meta-Analysis. Nutrients 2019, 11, 1305. [Google Scholar] [CrossRef] [PubMed] [Green Version]
- Rasulovna, R.M. The Effectiveness of the Program for Determining the Composition of the Body and Neurophysiological Characteristics of Athletes Juniors and Cadets. Am. J. Med. Med. Sci. 2021, 11, 665–668. [Google Scholar]
- Sánchez, M.; Sanchez, J.S.; Nakamura, F.Y.; Clemente, F.M.; Moraleda, B.R.; Campillo, R.R. Effects of Plyometric Jump Training in Female Soccer Player’s Physical Fitness: A Systematic Review with Meta-Analysis. Int. J. Environ. Res. Public Health 2020, 17, 8911. [Google Scholar] [CrossRef] [PubMed]
- Mainer, E.P.; Casajús, J.A.; Skok, O.G. Adolescent female soccer players’ soccer-specific warm-up effects on performance and inter-limb asymmetries. Biol. Sport 2019, 36, 199–207. [Google Scholar] [CrossRef]
- Myer, G.D.; Faigenbaum, A.D.; Ford, K.R.; Best, T.M.; Bergeron, M.F.; Hewett, T.E. When to initiate integrative neuromuscular training to reduce sports-related injuries and enhance health in youth? Curr. Sports Med. Rep. 2011, 10, 155–166. [Google Scholar] [CrossRef] [PubMed]
- Grandstrand, S.L.; Pfeiffer, R.P.; Sabick, M.B.; DeBeliso, M.; Shea, K.G. The effects of a commercially available warm-up program on landing mechanics in female youth soccer players. J. Strength Cond. Res. 2006, 20, 331–335. [Google Scholar] [PubMed]
- Noyes, F.R.; Westin, S.D.B.; Smith, S.T.T.; Campbell, T. A training program to improve neuromuscular and performance indices in female high school soccer players. J. Strength Cond. Res. 2013, 27, 340–351. [Google Scholar] [CrossRef] [Green Version]
- Gilchrist, J.; Mandelbaum, B.R.; Melancon, H.; Ryan, G.W.; Silvers, H.J.; Griffin, L.Y.; Watanabe, D.S.; Dick, R.W.; Dvorak, J. A randomized controlled trial to prevent noncontact anterior cruciate ligament injury in female collegiate soccer players. Am. J. Sports Med. 2008, 36, 1476–1483. [Google Scholar] [CrossRef]
- Mandelbaum, B.R.; Silvers, H.J.; Watanabe, D.S.; Knarr, J.F.; Thomas, S.D.; Griffin, L.Y.; Kirkendall, D.T.; Garrett, W., Jr. Effectiveness of a neuromuscular and proprioceptive training program in preventing anterior cruciate ligament injuries in female athletes: 2-year follow-up. Am. J. Sports Med. 2005, 33, 1003–1010. [Google Scholar] [CrossRef]
- Bizzini, M.; Dvorak, J. FIFA 11+: An effective programme to prevent football injuries in various player groups worldwide—A narrative review. Br. J. Sports Med. 2015, 49, 577–579. [Google Scholar] [CrossRef]
- Kiani, A.; Hellquist, E.; Ahlqvist, K.; Gedeborg, R.; Michaëlsson, K.; Byberg, L. Prevention of soccer-related knee injuries in teenaged girls. Arch. Intern. Med. 2010, 170, 43–49. [Google Scholar] [CrossRef] [PubMed] [Green Version]
- Liu, R.; Liu, J.; Ma, X.; Li, Q.; An, R. Effect of FIFA 11+ intervention on change of direction performance in soccer and futsal players: A systematic review and meta-analysis. Int. J. Sports Sci. Coach. 2021, 16, 862–872. [Google Scholar] [CrossRef]
- Rohmansyah, N.A.; Hiruntrakul, A.J.S.M. Do Lipid Profiles, Body Composition, and Physical Fitness Improve after a FIFA 11+ Training Programme from Obese Women? Sport Mont 2021, 19, 51–57. [Google Scholar]
- Simões, R.; Salles, G.; Gonelli, P.; Leite, G.; Dias, R.; Cavaglieri, C.; Pellegrinotti, Í.; Borin, J.; Verlengia, R.; Alves, S.; et al. Effects of the Neuromuscular Training in the Cardiorespiratory Fitness and Body Composition of Female Volleyball Athletes. Rev. Bras. Med. Esporte 2009, 15, 295–298. [Google Scholar] [CrossRef]
- Falces-Prieto, M.; de Villarreal-Sáez, E.S.; Raya-González, J.; González-Fernández, F.T.; Clemente, F.M.; Badicu, G.; Murawska-Ciałowicz, E. The Differentiate Effects of Resistance Training with or without External Load on Young Soccer Players’ Performance and Body Composition. Front. Physiol. 2021, 12, 771684. [Google Scholar] [CrossRef]
- Suarez-Arrones, L.; de Villarreal, E.S.; Núñez, F.J.; Di Salvo, V.; Petri, C.; Buccolini, A.; Maldonado, R.A.; Torreno, N.; Mendez-Villanueva, A. In-season eccentric-overload training in elite soccer players: Effects on body composition, strength and sprint performance. PLoS ONE 2018, 13, e0205332. [Google Scholar] [CrossRef]
- Peitz, M.; Behringer, M.; Granacher, U. A systematic review on the effects of resistance and plyometric training on physical fitness in youth—What do comparative studies tell us? PLoS ONE 2018, 13, e0205525. [Google Scholar]
- Ros, F.E.; Cristóbal, R.V.; Marfell-Jones, M. Protocolo Internacional para la Valoración Antropométrica; Universidad Católica de Murcia Ed.; Univ, U., Ed.; Publicado por Sociedad Internacional para el Avance de la Cineantropometría: Murcia, Spain, 2019. [Google Scholar]
- Burgos, M.A.M.; Martínez-Victoria, I.; Milá, R.; Farrán, A.; Farré, R.; Ros, G.; Yago, M.D.; Audi, N.; Santana, C.; Millán, M.B.L.; et al. Building a unified Spanish food database according to EuroFIR specifications. Food Chem. 2009, 113, 784–788. [Google Scholar] [CrossRef]
- Keys, A.; Fidanza, F.; Karvonen, M.J.; Kimura, N.; Taylor, H.L. Indices of relative weight and obesity. J. Chronic Dis. 1972, 25, 329–343. [Google Scholar] [CrossRef]
- Withers, R.T.; Whittingham, N.O.; Norton, K.I.; La Forgia, J.; Ellis, M.W.; Crockett, A. Relative body fat and anthropometric prediction of body density of female athletes. Eur. J. Appl. Physiol. Occup. Physiol. 1987, 56, 169–180. [Google Scholar] [CrossRef]
- Siri, W.E. The gross composition of the body. Adv. Biol. Med. Phys. 1956, 4, 239–280. [Google Scholar] [PubMed]
- Lee, R.C.; Wang, Z.; Heo, M.; Ross, R.; Janssen, I.; Heymsfield, S.B. Total-body skeletal muscle mass: Development and cross-validation of anthropometric prediction models. Am. J. Clin. Nutr. 2000, 72, 796–803. [Google Scholar] [CrossRef] [PubMed]
- Jeffreys, I.J.U.J. Warm up revisited—the ‘ramp’method of optimising performance preparation. UKSCA J. 2006, 6, 15–19. [Google Scholar]
- Zamunér, A.R.; Moreno, M.A.; Camargo, T.M.; Graetz, J.P.; Rebelo, A.C.; Tamburús, N.Y.; da Silva, E. Assessment of Subjective Perceived Exertion at the Anaerobic Threshold with the Borg CR-10 Scale. J. Sports Sci. Med. 2011, 10, 130–136. [Google Scholar] [PubMed]
- Haddad, M.; Stylianides, G.; Djaoui, L.; Dellal, A.; Chamari, K. Session-RPE Method for Training Load Monitoring: Validity, Ecological Usefulness, and Influencing Factors. Front. Neurosci. 2017, 11, 612. [Google Scholar] [CrossRef] [Green Version]
- Sudha, K.; Maniazhagu, D. Effects of Circuit Training Combined with Different Neuromuscular Activities on Muscular Endurance and Body Composition of School Girls. Indian J. Public Health Res. Dev. 2019, 10, 30. [Google Scholar] [CrossRef]
- Polman, R.; Walsh, D.; Bloomfield, J.; Nesti, M. Effective conditioning of female soccer players. J. Sports Sci. 2004, 22, 191–203. [Google Scholar] [CrossRef]
- Campo, S.S.; Vaeyens, R.; Philippaerts, R.; Redondo, J.C.; de Benito, A.T.; Cuadrado, G. Effects of Lower-Limb Plyometric Training on Body Composition, Explosive Strength, and Kicking Speed in Female Soccer Players. J. Strength Cond. Res. 2009, 23, 1714–1722. [Google Scholar] [CrossRef]
- Sánchez Pérez, F.J.; Carranque Chaves, G.Á. Efectos del entrenamiento Tabata en la composición corporal del futbolista. Kronos 2015, 14, 7. [Google Scholar]
- Falces, M.; Fernández, F.T.G.; Morales, S.B.; Jiménez, A.B.; Barrero, A.; Conde, L.; Arronez, L.S.; de Villarreal, E.S. Effects of a strength training program with self loading on countermovement jump performance and body composition in young soccer players. J. Sport Health Res. 2020, 1, 112–125. [Google Scholar]
- Suarez-Arrones, L.; Lara-Lopez, P.; Torreño, N.; de Villarreal, E.S.; Di Salvo, V.; Mendez-Villanueva, A. Effects of Strength Training on Body Composition in Young Male Professional Soccer Players. Sports 2019, 7, 104. [Google Scholar] [CrossRef] [PubMed] [Green Version]
- Haghighi, A.; Moghadasi, M.; Nikseresht, A.; Torkfar, A.; Haghighi, M. Effects of plyometric versus resistance training on sprint and skill performance in young soccer players. Eur. J. Exp. Biol. 2012, 2, 2348–2351. [Google Scholar]
- Perez-Gomez, J.; Olmedillas, H.; Delgado-Guerra, S.; Ara, I.; Vicente-Rodríguez, G.; Arteaga-Ortiz, R.; Javier, C.; Calbet, J. Effects of weight lifting training combined with plyometric exercises on physical fitness, body composition, and knee extension velocity during kicking in football. Appl. Physiol. Nutr. Metab. 2008, 33, 501–510. [Google Scholar] [CrossRef] [PubMed]
- Cigerci, A.E.; Genc, H. The Effect of Calisthenics Exercises on Body Composition in Soccer Players. Prog. Nutr. 2020, 22, 94–102. [Google Scholar]
- Staron, R.S.; Leonardi, M.J.; Karapondo, D.L.; Malicky, E.S.; Falkel, J.E.; Hagerman, F.C.; Hikida, R.S. Strength and skeletal muscle adaptations in heavy-resistance-trained women after detraining and retraining. J. Appl. Physiol. 1991, 70, 631–640. [Google Scholar] [CrossRef]
- Sánchez, J.; Pérez, S.; Yagüe, J.M.; Royo, J.M.; Martín, J.L. Aplicación de un programa de entrenamiento de fuerza en futbolistas jóvenes. Rev. Int. Med. Cienc. Act. Fis. Deporte 2015, 15, 45–59. [Google Scholar]
- Häkkinen, K.; Pakarinen, A.; Kallinen, M. Neuromuscular adaptations and serum hormones in women during short-term intensive strength training. Eur. J. Appl. Physiol. Occup. Physiol. 1992, 64, 106–111. [Google Scholar] [CrossRef]
- Stanforth, P.R.; Crim, B.N.; Stanforth, D.; Stults-Kolehmainen, M.A. Body composition changes among female NCAA division 1 athletes across the competitive season and over a multiyear time frame. J. Strength Cond. Res. 2014, 28, 300–307. [Google Scholar] [CrossRef] [Green Version]
Publisher’s Note: MDPI stays neutral with regard to jurisdictional claims in published maps and institutional affiliations. |
© 2022 by the authors. Licensee MDPI, Basel, Switzerland. This article is an open access article distributed under the terms and conditions of the Creative Commons Attribution (CC BY) license (https://creativecommons.org/licenses/by/4.0/).






