A Novel Modular Sigma DC/DC Converter with a Wide Input Voltage Range
Abstract
1. Introduction
2. Topology of Proposed Modular Sigma DC/DC Converter
2.1. LLC–DCX Converter
2.2. Multi-Resonant Converter
3. Operating Principle of Sigma Converter
3.1. Mode 1
3.2. Mode 2
3.3. Relationship between Each Modular Input Voltage and Total Input Voltage in Different Modes
4. Key Parameter Design
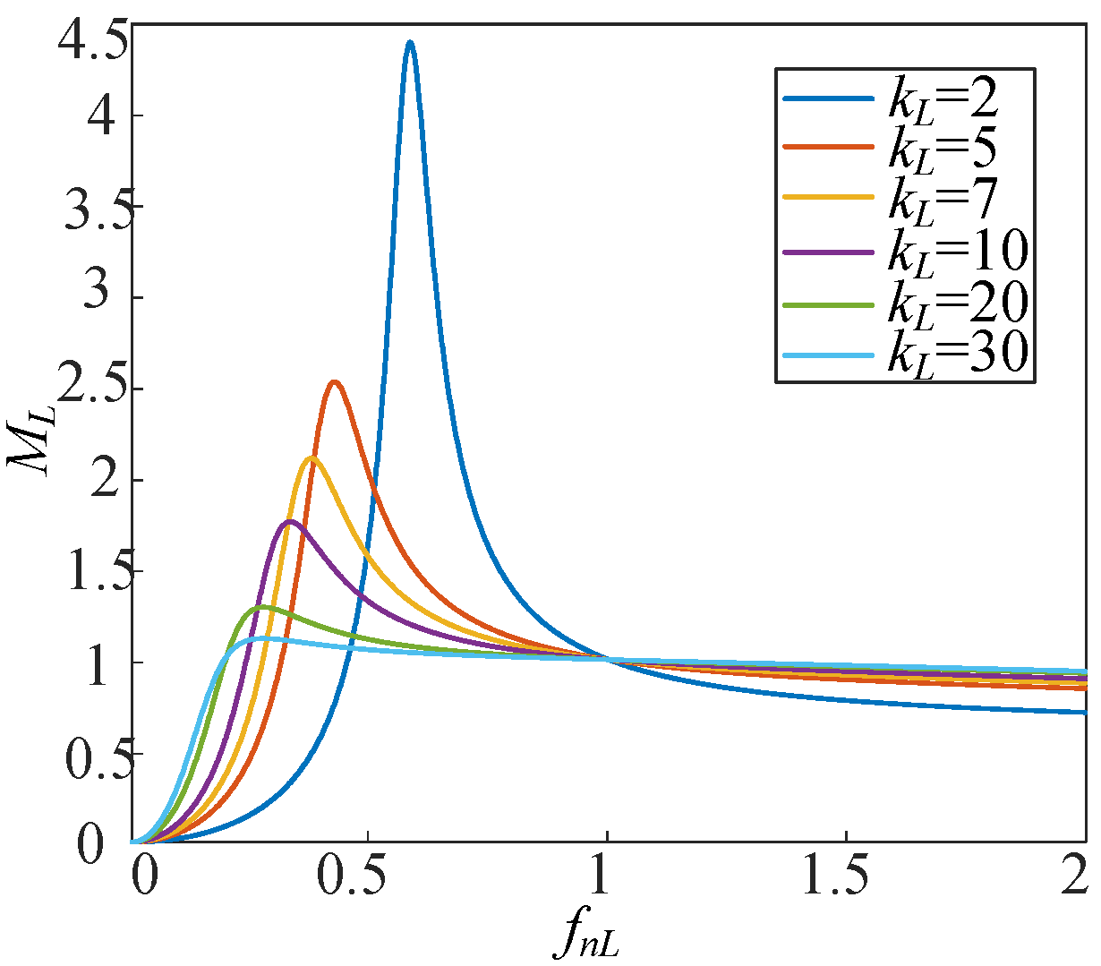
4.1. Resonant Inductance of LLC–DCX Converter
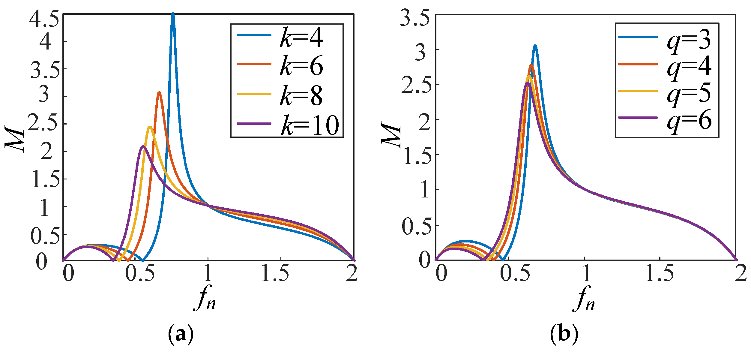
4.2. Design of k, q, and Q of Multi-Resonant Converter
5. Experimental Results
5.1. Experimental Results of Multi-Resonant Converter
5.2. Experimental Results of Sigma Converter
6. Conclusions
Author Contributions
Funding
Data Availability Statement
Conflicts of Interest
References
- Grazian, F.; Soeiro, T.B.; Bauer, P. Voltage/Current Doubler Converter for an Efficient Wireless Charging of Electric Vehicles With 400-V and 800-V Battery Voltages. IEEE Trans. Ind. Electron. 2023, 70, 7891–7903. [Google Scholar] [CrossRef]
- Kim, J.; Ryu, S.W.; Kim, M.; Jung, J.W. Triple-Mode Isolated Resonant Buck–Boost Converter Over Wide Input Voltage Range for Residential Applications. IEEE Trans. Ind. Electron. 2021, 68, 11087–11099. [Google Scholar] [CrossRef]
- Wang, W.; Liu, Y.; Zhao, J.; Zhang, P.; Loh, P.C. A Dynamic Control Method for Buck + LLC Cascaded Converter with a Wide Input Voltage Range. IEEE Trans. Power Electron. 2023, 38, 1522–1534. [Google Scholar] [CrossRef]
- Heydari-doostabad, H.; O’Donnell, T. A Wide-Range High-Voltage-Gain Bidirectional DC–DC Converter for V2G and G2V Hybrid EV Charger. IEEE Trans. Ind. Electron. 2022, 69, 4718–4729. [Google Scholar] [CrossRef]
- Li, W.; Luo, Q.; Mei, Y.; Zong, S.; He, X.; Xia, C. Flying-Capacitor-Based Hybrid LLC Converters with Input Voltage Autobalance Ability for High Voltage Applications. IEEE Trans. Power Electron. 2016, 31, 1908–1920. [Google Scholar] [CrossRef]
- Zhang, F.; Yang, X.; Ren, Y.; Feng, L.; Chen, W.; Pei, Y. A hybrid active gate drive for switching loss reduction and voltage balancing of series-connected IGBTs. IEEE Trans. Power Electron. 2017, 32, 7469–7481. [Google Scholar] [CrossRef]
- Hou, N.; Gunawardena, P.; Wu, X.; Ding, L.; Zhang, Y.; Li, Y. An input-oriented power sharing control scheme with fast-dynamic response for ISOP DAB dc-dc converter. IEEE Trans. Power Electron. 2021, 37, 6501–6510. [Google Scholar] [CrossRef]
- Wang, Y.; Guan, Y.; Fosso, O.B.; Molinas, M.; Chen, S.Z.; Zhang, Y. An Input-Voltage-Sharing Control Strategy of Input-Series-Output-Parallel Isolated Bidirectional DC/DC Converter for DC Distribution Network. IEEE Trans. Power Electron. 2022, 37, 1592–1604. [Google Scholar] [CrossRef]
- Liu, F.; Zhou, G.; Ruan, X.; Ji, S.; Zhao, Q.; Zhang, X. An Input-Series-Output-Parallel Converter System Exhibiting Natural Input-Voltage Sharing and Output-Current Sharing. IEEE Trans. Ind. Electron. 2021, 68, 1166–1177. [Google Scholar] [CrossRef]
- Liu, Y.; Wu, H.; Ge, Z.; Ji, G. Magnetic Integration for Multiple Resonant Converters. IEEE Trans. Ind. Electron. 2023, 70, 7604–7614. [Google Scholar] [CrossRef]
- Sun, J.; Xu, M.; Reusch, D.; Lee, F.C. High efficiency quasi-parallel voltage regulators. In Proceedings of the 2008 Twenty-Third Annual IEEE Applied Power Electronics Conference and Exposition, Austin, TX, USA, 24–28 February 2008. [Google Scholar]
- Yao, J.; Chen, W.; Xue, C.; Yuan, Y.; Wang, T. An ISOP Hybrid DC Transformer Combining Multiple SRCs and DAB Converters to Interconnect MVDC and LVDC Distribution Networks. IEEE Trans. Power Electron. 2020, 35, 11442–11452. [Google Scholar] [CrossRef]
- Liao, Y.; Xu, G.; Sun, Y.; Peng, T.; Su, M.; Guo, B.; Xiong, W. Single-Stage DAB-LLC Hybrid Bidirectional Converter with Tight Voltage Regulation Under DCX Operation. IEEE Trans. Ind. Electron. 2021, 68, 293–303. [Google Scholar] [CrossRef]
- Liao, Y.; Xu, G.; Peng, T.; Sun, Y.; Liu, D.; Yang, Y.; Su, M. An LLC-DAB Bidirectional DCX Converter with Wide Load Range ZVS and Reduced Switch Count. IEEE Trans. Power Electron. 2022, 37, 2250–2263. [Google Scholar] [CrossRef]
- Mustafa, A.; Mekhilef, S. Dual phase LLC resonant converter with variable frequency zero circulating current phase-shift modulation for wide input voltage range applications. IEEE Trans. Power Electron. 2021, 36, 2793–2807. [Google Scholar] [CrossRef]
- Awasthi, A.; Bagawade, S.; Jain, P.K. Analysis of a Hybrid Variable-Frequency-Duty-Cycle-Modulated Low-Q LLC Resonant Converter for Improving the Light-Load Efficiency for a Wide Input Voltage Range. IEEE Trans. Power Electron. 2021, 36, 8476–8493. [Google Scholar] [CrossRef]
- Jovanović, M.M.; Irving, B.T. On-the-Fly Topology-Morphing Control—Efficiency Optimization Method for LLC Resonant Converters Operating in Wide Input- and/or Output-Voltage Range. IEEE Trans. Power Electron. 2016, 31, 2596–2608. [Google Scholar] [CrossRef]
- Sun, X.; Li, X.; Shen, Y.; Wang, B.; Guo, X. Dual-Bridge LLC Resonant Converter with Fixed-Frequency PWM Control for Wide Input Applications. IEEE Trans. Power Electron. 2017, 32, 69–80. [Google Scholar] [CrossRef]
- Wu, X.; Li, R.; Cai, X. Modified LLC Resonant Converter with LC Antiresonant Circuit in Parallel Branch for Wide Voltage Range Application. IEEE Trans. Power Electron. 2022, 37, 7387–7399. [Google Scholar] [CrossRef]
- Sun, W.; Xing, Y.; Wu, H.; Ding, J. Modified high-efficiency LLC converters with two split resonant branches for wide input-voltage range applications. IEEE Trans. Power Electron. 2018, 33, 7867–7879. [Google Scholar] [CrossRef]
- Zhang, X.; Jing, J.; Guan, Y.; Dai, M.; Wang, Y.; Xu, D. High-Efficiency High-Order CL-LLC DC/DC Converter with Wide Input Voltage Range. IEEE Trans. Power Electron. 2021, 36, 10383–10394. [Google Scholar] [CrossRef]
- Zhao, Q.; Liu, W.; Wang, Y.; Wang, D.; Wu, N. A Novel Multiresonant DC–DC Converter with Wide Output-Voltage Range. IEEE Trans. Power Electron. 2020, 35, 5625–5638. [Google Scholar] [CrossRef]
- Wu, H.; Jin, X.; Hu, H.; Xing, Y. Multielement Resonant Converters with a Notch Filter on Secondary Side. IEEE Trans. Power Electron. 2016, 31, 3999–4004. [Google Scholar] [CrossRef]
- Jung, J.-H.; Kim, H.-S.; Ryu, M.-H.; Baek, J.-W. Design Methodology of Bidirectional CLLC Resonant Converter for High-Frequency Isolation of DC Distribution Systems. IEEE Trans. Power Electron. 2013, 28, 1741–1755. [Google Scholar] [CrossRef]




















| kL | fnL = 0.9 | Error1 | fnL = 1.1 | Error2 |
|---|---|---|---|---|
| kL = 2 | 1.132 | 0.132 | 0.9196 | 0.0804 |
| kL = 5 | 1.048 | 0.048 | 0.9664 | 0.0336 |
| kL = 7 | 1.033 | 0.033 | 0.9751 | 0.0249 |
| kL = 10 | 1.023 | 0.023 | 0.9826 | 0.0174 |
| kL = 20 | 1.011 | 0.011 | 0.9909 | 0.0091 |
| kL = 30 | 1.007 | 0.007 | 0.9935 | 0.0065 |
| Symbol | Parameter | Value (k = 6, q = 3, Q = 0.3) | Value (k = 7, q = 5.5, Q = 0.5) |
|---|---|---|---|
| Vin | Input voltage | 135–415 V | 135–415 V |
| Vo | Output voltage | 48 V | 48 V |
| Po | Output power | 500 W | 500 W |
| nM | Turn ratio | 6:1 | 6:1 |
| fr1 | Resonant frequency | 80 kHz | 80 kHz |
| Lr | Resonant inductance | 29.4 μH | 43 μH |
| Lp | Resonant inductance | 70.6 μH | 103.2 μH |
| Lm | Magnetizing inductance | 176.4 μH | 301 μH |
| Cr | Resonant capacitor | 37.4 nF | 26 nF |
| Cp | Resonant capacitor | 22.4 nF | 15.6 nF |
| Cm | Capacitor | 112.2 nF | 143 nF |
| Value | Value | Value | Value | Value | Value | Value | Value | |
|---|---|---|---|---|---|---|---|---|
| fn | 0.82 | 0.85 | 0.9 | 0.925 | 0.95 | 0.975 | 1 | 1.038 |
| M | 1.32 | 1.16 | 1.04 | 0.98 | 0.96 | 0.93 | 0.91 | 0.88 |
| fn | 1.0625 | 1.125 | 1.1875 | 1.25 | 1.3 | 1.37 | 1.45 | 1.5 |
| M | 0.868 | 0.85 | 0.81 | 0.8 | 0.78 | 0.74 | 0.68 | 0.67 |
| Symbol | Parameter | Value |
|---|---|---|
| Vin | Input voltage | 540~1100 V |
| Vo | Output voltage | 48 V |
| Po | Output power | 1500 W |
| nM | Turns ratio | 26:5 |
| nL | Turns ratio | 22:4 |
| fr1 | Resonant frequency | 80 kHz |
| frL | Resonant frequency | 150 kHz |
| LrL | Resonant inductance | 13 μH |
| LmL | Magnetizing inductance | 260 μH |
| CrL | Resonant capacitor | 89.8 nF |
| Lr | Resonant inductance | 29.4 μH |
| Lp | Resonant inductance | 70.6 μH |
| Lm | Magnetizing inductance | 176.4 μH |
| Cr | Resonant capacitor | 37.4 nF |
| Cp | Resonant capacitor | 22.4 nF |
| Cm | Capacitor | 112.2 nF |
Disclaimer/Publisher’s Note: The statements, opinions and data contained in all publications are solely those of the individual author(s) and contributor(s) and not of MDPI and/or the editor(s). MDPI and/or the editor(s) disclaim responsibility for any injury to people or property resulting from any ideas, methods, instructions or products referred to in the content. |
© 2024 by the authors. Licensee MDPI, Basel, Switzerland. This article is an open access article distributed under the terms and conditions of the Creative Commons Attribution (CC BY) license (https://creativecommons.org/licenses/by/4.0/).
Share and Cite
Ren, C.; He, Y.; Qin, Y.; Hui, Y.; Li, X.; Han, X.; He, X. A Novel Modular Sigma DC/DC Converter with a Wide Input Voltage Range. Electronics 2024, 13, 995. https://doi.org/10.3390/electronics13050995
Ren C, He Y, Qin Y, Hui Y, Li X, Han X, He X. A Novel Modular Sigma DC/DC Converter with a Wide Input Voltage Range. Electronics. 2024; 13(5):995. https://doi.org/10.3390/electronics13050995
Chicago/Turabian StyleRen, Chunguang, Yapeng He, Yue Qin, Yue Hui, Xinqi Li, Xiaoqing Han, and Xiangning He. 2024. "A Novel Modular Sigma DC/DC Converter with a Wide Input Voltage Range" Electronics 13, no. 5: 995. https://doi.org/10.3390/electronics13050995
APA StyleRen, C., He, Y., Qin, Y., Hui, Y., Li, X., Han, X., & He, X. (2024). A Novel Modular Sigma DC/DC Converter with a Wide Input Voltage Range. Electronics, 13(5), 995. https://doi.org/10.3390/electronics13050995

