Research on Abnormal Radio Detection Method Combining Local Outlier Factor and One-Class Support Vector Machine
Abstract
1. Introduction
2. Related Works
- (1)
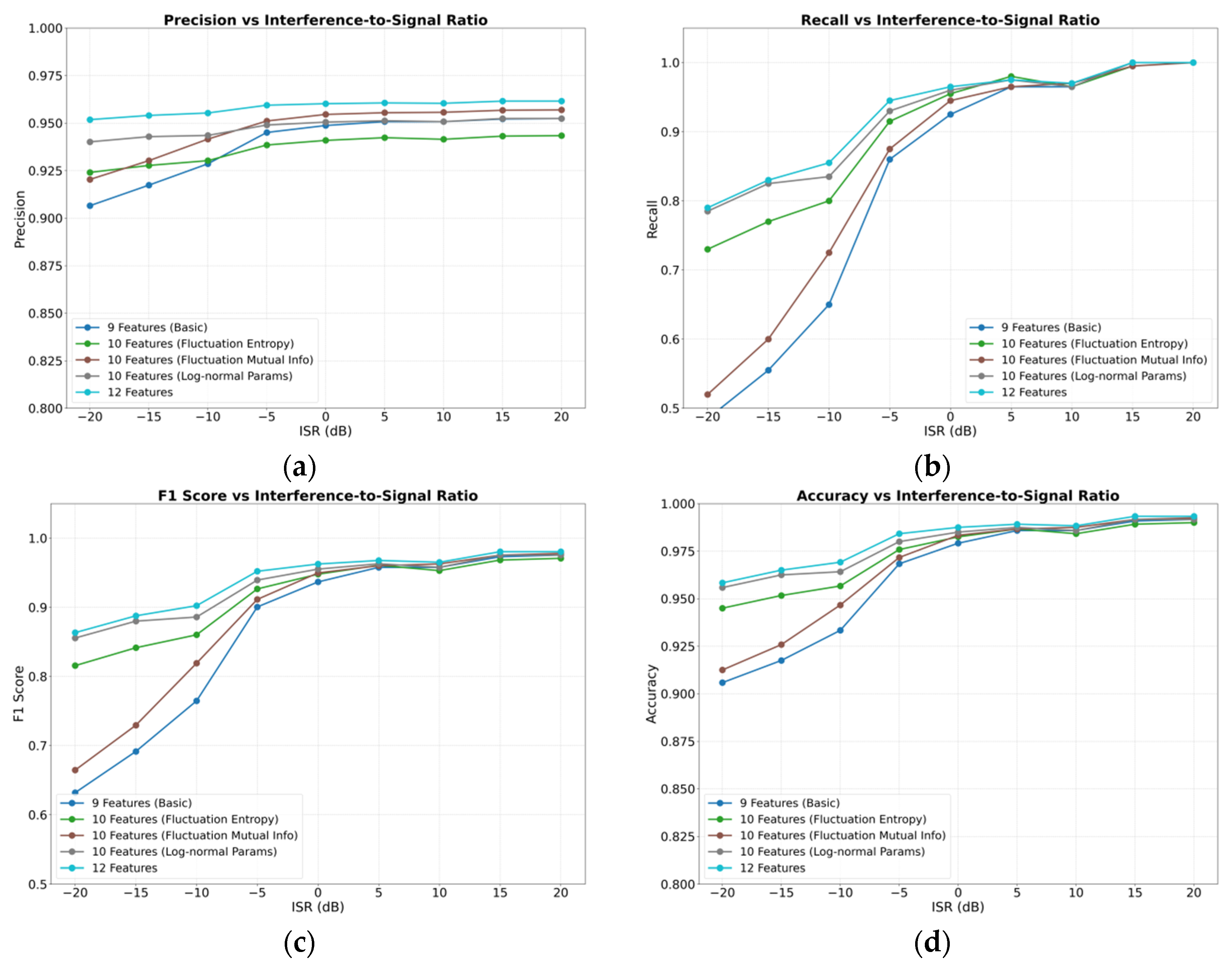
- To address the current challenge of poor radio anomaly detection performance under low ISRs, this paper proposes features based on signal fluctuation sequences, including fluctuation entropy (FE), fluctuation mutual information (FR-MI), and the lognormal distribution coefficient derived from fitting fluctuation sequences. By incorporating these fluctuation-based features alongside commonly used features, the detection performance under low ISRs is significantly enhanced.
- (2)
- To overcome the difficulty of balancing detection rate and false alarm rate with a single model, an ensemble learning algorithm named LOF-OCSVM is proposed, which integrates the LOF and OCSVM algorithms. The OCSVM algorithm constructs a global decision boundary in a high-dimensional feature space to distinguish normal data from anomalies, while the LOF algorithm identifies anomalies by comparing the local density deviation of a data point relative to its neighbors. LOF is sensitive to local density variations and does not require assumptions about global data distribution. By combining these two algorithms, the proposed method significantly improves the detection performance for both global and local anomalies.
- (3)
- Referring to the methodology in reference [18], simulated signals were generated and experiments were conducted on a simulated dataset. The results demonstrate that the proposed method exhibits outstanding overall performance and strong robustness, particularly under low ISRs. The F1-score improved by approximately 1 percentage point compared to the typical deep anomaly detection algorithm Deep SVDD at −20 dB ISR, and by approximately 5 percentage points compared to the innovative E-GAN algorithm proposed in the literature [18].
3. Fluctuation Sequence Features
3.1. Fluctuation Entropy
3.2. Fluctuation Mutual Information
3.3. Lognormal Distribution Fitting Parameters
4. Fusion Model
4.1. Introduction to Base Models
4.2. Fusion Model Design and Implementation
| Algorithm 1 LOF-OCSVM anomaly detection fusion algorithm |
| Input: spectrogram sample , pre-trained based models and , feature normalizer , thresholds , fusion weight , base model difference threshold Output: predicted label |
| 1: feature extraction and normalization: 2: base model scoring and standardization: , 3: weighted fusion: 4: hierarchical decision-making: 5: if : 6: y = 1 7: else: 8: y = 0 9: end if 10: low-confidence correction: 11: if : 12: 13: if >: 14: if >0: 15: 16: else 17: 18: end if 19: end if 20: end if |
5. Experimental Results and Analysis
5.1. Experimental Environment and Dataset
5.2. Feature Effectives Validation
5.3. Fusion Model Effectiveness Validation
5.4. Comparative Experiments on Performance of Different Models
5.5. Multiple Models Robustness Comparison Experiment
6. Conclusions
Author Contributions
Funding
Data Availability Statement
Conflicts of Interest
Abbreviations
| ISR | interference-to-signal ratio |
| LOF | local outlier factor |
| OCSVM | one-class support vector machine |
| FE | fluctuation entropy |
| FR-MI | fluctuation mutual information |
| Deep SVDD | deep support vector data description |
| CME | consecutive mean excision |
| FCME | forward consecutive mean excision |
| SNR | signal-to-noise ratio |
| SVM | support vector machine |
| DT | decision tree |
| IF | isolation forest |
| LSTM | long short-term memory |
| CNN | convolutional neural network |
| GAN | generative adversarial network |
| STFT | short-time fourier transform |
| OFDM | orthogonal frequency division multiplexing |
| QPSK | quadrature phase shift keying |
| CDF | cumulative distribution function |
| AINE | artificial immune network |
| ROC | receiver operating characteristic |
| AUC | area under curve |
References
- Urkowitz, H. Energy detection of unknown deterministic signals. Proc. IEEE 1967, 55, 523–531. [Google Scholar] [CrossRef]
- Henttu, P.; Aromaa, S. Consecutive mean excision algorithm. In Proceedings of the IEEE Seventh International Symposium on Spread Spectrum Techniques and Applications, Prague, Czech Republic, 2–5 September 2002; Volume 2, pp. 450–454. [Google Scholar] [CrossRef]
- Saamisaari, H.; Henttu, P. Impulse detection and rejection methods for radio systems. In Proceedings of the IEEE Military Communications Conference, Boston, MA, USA; 2003; Volume 2, pp. 1126–1131. [Google Scholar] [CrossRef]
- Sun, Q. Research and Implementation of Radio Signal Anomaly Detection Algorithm. Master’s Thesis, Beijing University of Posts and Telecommunications, Beijing, China, 2019. [Google Scholar]
- Wu, X. Research on Spectrum Anomaly Detection Technology for Management of Radio. Master’s Thesis, University of Electronic Science and Technology of China, Chengdu, China, 2021. [Google Scholar]
- Masari, A.O.; Ahmad, A.A.; Lawan, S.; Muhammad, B. Comparison Analysis of Static and Dynamic Thresholds for Conventional Cognitive Radio Spectrum Sensing Methods. In Proceedings of the 2024 IEEE 5th International Conference on Electro-Computing Technologies for Humanity (NIGERCON), Ado Ekiti, Nigeria, 26–28 November 2024; pp. 1–4. [Google Scholar] [CrossRef]
- Liang, X. Research on Interference Detection and Identification Technology of Beidou Civil Signal. Master’s Thesis, Civil Aviation University of China, Tianjin, China, 2020. [Google Scholar]
- Zhang, S. Research on Interference Detection and Direction Finding Technology of Beidou Civil Signal. Master’s Thesis, Civil Aviation University of China, Tianjin, China, 2021. [Google Scholar]
- Jiu, Y.; Liu, J.; Meng, J.; Yang, S.; Li, R.; Duan, H. Identification Method of Blocking Interference for Railway Wireless Communication Based on ACMD and Spectrum Sensing. J. China Railw. Soc. 2025, 47, 82–90. [Google Scholar] [CrossRef]
- Xiong, Y.; Wang, J. Application of Improved Ant Colony Algorithm in Automatic Recognition of Abnormal Signals in Wireless Communication Networks. In Proceedings of the 2023 International Conference on Data Science and Network Security (ICDSNS), Tiptur, India, 28–29 July 2023; pp. 1–5. [Google Scholar] [CrossRef]
- Ma, J.; Zhong, Z.F.; Zou, X.; Shi, Y.C. Anomalistic Electromagnetism Signal Detection Model Based on Immune Network. Appl. Res. Comput. 2011, 28, 2140–2143. [Google Scholar]
- Ma, J.; Zhong, Z.; Huang, G. An Adaptive Variable Weighting Immune Network Algorithm for Electromagnetism Signal Monitoring. J. Beijing Univ. Posts Telecommun. 2012, 35, 59–63. [Google Scholar]
- Ma, J.; Shi, Y.; Zhong, Z. An Anomalistic Electromagnetism Signal Monitoring Based on Artificial Immune System. Fire Control Command Control 2012, 37, 89–92+95. [Google Scholar]
- Feng, B. Recognition Research of Abnormal Radio Signal Based on Support Vector Machine. Master’s Thesis, Xihua University, Chengdu, China, 2014. [Google Scholar] [CrossRef]
- Yu, F.; Yue, W.; Chen, Z. Single User Spectrum Sensing Algorithm Based on Kernel Space Optimization SVM. Comput. Technol. Dev. 2023, 33, 180–186. [Google Scholar] [CrossRef]
- Pang, J.; Pu, X.; Li, C. A Hybrid Algorithm Incorporating Vector Quantization and One-Class Support Vector Machine for Industrial Anomaly Detection. IEEE Trans. Ind. Inform. 2022, 18, 8786–8796. [Google Scholar] [CrossRef]
- Qi, Y. Electromagnetic Frequency Spectrum Monitoring System Design and Implementation. Master’s Thesis, University of Electronic Science and Technology of China, Chengdu, China, 2019. [Google Scholar]
- Feng, X. Research on Eletromagnetic Spectrum Intrusive Signal Detection Technology. Master’s Thesis, Beijing University of Posts and Telecommunications, Beijing, China, 2019. [Google Scholar]
- Wang, Y. Research on Multi-interference Detection and Recognition Method Based on Feature Extraction. Master’s Thesis, University of Electronic Science and Technology of China, Chengdu, China, 2022. [Google Scholar]
- Yengi, Y.; Kavak, A.; Arslan, H. Physical Layer Detection of Malicious Relays in LTE-A Network Using Unsupervised Learning. IEEE Access 2020, 8, 154713–154726. [Google Scholar] [CrossRef]
- Hong, S.; Kim, K.; Lee, S.-H. A Hybrid Jamming Detection Algorithm for Wireless Communications: Simultaneous Classification of Known Attacks and Detection of Unknown Attacks. IEEE Commun. Lett. 2023, 27, 1769–1773. [Google Scholar] [CrossRef]
- Ford, G.; Foster, B.J.; Braun, S.A.; Kam, M. Unknown Signal Detection in Switching Linear Dynamical System Noise. IEEE Trans. Signal Process. 2023, 71, 2220–2234. [Google Scholar] [CrossRef]
- Rajendran, S.; Meert, W.; Lenders, V.; Pollin, S. Unsupervised Wireless Spectrum Anomaly Detection with Interpretable Features. IEEE Trans. Cogn. Commun. Netw. 2019, 5, 637–647. [Google Scholar] [CrossRef]
- Kulin, M.; Kazaz, T.; Moerman, I.; De Poorter, E. End-to-End Learning from Spectrum Data: A Deep Learning Approach for Wireless Signal Identification in Spectrum Monitoring Applications. IEEE Access 2018, 6, 18484–18501. [Google Scholar] [CrossRef]
- Zhou, X.; Xiong, J.; Zhang, X.; Liu, X.; Wei, J. A Radio Anomaly Detection Algorithm Based on Modified Generative Adversarial Network. IEEE Wirel. Commun. Lett. 2021, 10, 1552–1556. [Google Scholar] [CrossRef]
- Sun, D.; Lu, S.; Wang, W. CAAE: A Novel Wireless Spectrum Anomaly Detection Method with Multiple Scoring Criterion. In Proceedings of the 2021 28th International Conference on Telecommunications (ICT), London, UK, 1–3 June 2021; pp. 1–5. [Google Scholar] [CrossRef]
- Zeng, J.; Liu, X.; Li, Z. Radio Anomaly Detection Based on Improved Denoising Diffusion Probabilistic Models. IEEE Commun. Lett. 2023, 27, 1979–1983. [Google Scholar] [CrossRef]
- Li, Y.; Li, X.; Lv, S.; Chen, Y.; Zhang, W.; Ding, Y. Unsupervised Anomaly Detection for IoT Time Series Signals with GANs. In Proceedings of the 2024 IEEE International Conference on Signal, Information and Data Processing (ICSIDP), Zhuhai, China, 22–24 November 2024; pp. 1–6. [Google Scholar] [CrossRef]
- O’Shea, T.J.; Corgan, J.; Clancy, T.C. Convolutional radio modulation recognition networks. In Proceedings of the International Conference on Engineering Applications of Neural Networks, Aberdeen, UK, 2–5 September 2016; Springer International Publishing: Cham, Switerland, 2016; pp. 213–226. [Google Scholar]











| −20 dB | −15 dB | −10 dB | −5 dB | |||||
|---|---|---|---|---|---|---|---|---|
| Recall | F1-Score | Recall | F1-Score | Recall | F1-Score | Recall | F1-Score | |
| 9 features | 0.4850 | 0.6319 | 0.5550 | 0.6916 | 0.6500 | 0.7647 | 0.8600 | 0.9005 |
| 10 (FE) | 0.7300 | 0.8156 | 0.7700 | 0.8415 | 0.8000 | 0.8602 | 0.9150 | 0.9266 |
| 10 (FR_MI) | 0.5200 | 0.6645 | 0.6000 | 0.7295 | 0.7250 | 0.8192 | 0.8750 | 0.9115 |
| 10 (lognormal) | 0.7850 | 0.8556 | 0.8250 | 0.8800 | 0.8350 | 0.8859 | 0.9300 | 0.9394 |
| 12 features | 0.7900 | 0.8634 | 0.8300 | 0.8877 | 0.8550 | 0.9024 | 0.9450 | 0.9521 |
| −20 dB | −15 dB | −10 dB | −5 dB | 0 dB | 5 dB | 10 dB | 15 dB | 20 dB | |
|---|---|---|---|---|---|---|---|---|---|
| Features | 0.3333 | 0.3673 | 0.4190 | 0.3607 | 0.4615 | 0.5560 | 0.5663 | 0.6532 | 0.8304 |
| Spectrograms | 0.8539 | 0.8669 | 0.9071 | 0.9333 | 0.9744 | 0.9744 | 0.9873 | 0.9899 | 1.0000 |
| AINE | Deep SVDD | E-GAN | LOF-OCSVM | IF | |
|---|---|---|---|---|---|
| Total Processing Time | 47.78 | 105.55 | 181.59 | 76.68 | 49.02 |
| Per-Signal Processing Time Analysis | 2.88 × 10−5 | 1.3 × 10−4 | 5.26 × 10−4 | 5.93 × 10−5 | 1.6 × 10−5 |
| −20 dB | −15 dB | −10 dB | −5 dB | |||||
|---|---|---|---|---|---|---|---|---|
| Recall | F1-Score | Recall | F1-Score | Recall | F1-Score | Recall | F1-Score | |
| LOF | 0.87 ± 0.02 | 0.81 ± 0.02 | 0.89 ± 0.02 | 0.83 ± 0.02 | 0.93 ± 0.02 | 0.85 ± 0.02 | 0.97 ± 0.01 | 0.86 ± 0.02 |
| OCSVM | 0.80 ± 0.02 | 0.85 ± 0.01 | 0.83 ± 0.03 | 0.87 ± 0.02 | 0.88 ± 0.02 | 0.89 ± 0.02 | 0.94 ± 0.01 | 0.93 ± 0.01 |
| Aggressive Model | 0.87 ± 0.02 | 0.80 ± 0.02 | 0.89 ± 0.02 | 0.82 ± 0.02 | 0.93 ± 0.02 | 0.84 ± 0.02 | 0.97 ± 0.01 | 0.86 ± 0.02 |
| Conservative Model | 0.80 ± 0.02 | 0.86 ± 0.01 | 0.83 ± 0.03 | 0.87 ± 0.02 | 0.88 ± 0.02 | 0.90 ± 0.02 | 0.94 ± 0.01 | 0.94 ± 0.01 |
| IF | 0.50 ± 0.11 | 0.56 ± 0.10 | 0.50 ± 0.11 | 0.57 ± 0.09 | 0.52 ± 0.14 | 0.57 ± 0.11 | 0.61 ± 0.12 | 0.65 ± 0.09 |
| AINE | 0.66 ± 0.02 | 0.70 ± 0.01 | 0.68 ± 0.03 | 0.70 ± 0.02 | 0.70 ± 0.02 | 0.72 ± 0.02 | 0.76 ± 0.02 | 0.76 ± 0.02 |
| Deep SVDD | 0.57 ± 0.09 | 0.72 ± 0.07 | 0.62 ± 0.08 | 0.76 ± 0.06 | 0.70 ± 0.07 | 0.82 ± 0.05 | 0.80 ± 0.07 | 0.89 ± 0.04 |
| E-GAN | 0.65 ± 0.13 | 0.75 ± 0.09 | 0.68 ± 0.14 | 0.77 ± 0.10 | 0.73 ± 0.14 | 0.81 ± 0.09 | 0.79 ± 0.15 | 0.84 ± 0.10 |
| LOF-OCSVM | 0.81 ± 0.03 | 0.86 ± 0.02 | 0.83 ± 0.02 | 0.88 ± 0.02 | 0.89 ± 0.02 | 0.91 ± 0.02 | 0.95 ± 0.00 | 0.94 ± 0.01 |
Disclaimer/Publisher’s Note: The statements, opinions and data contained in all publications are solely those of the individual author(s) and contributor(s) and not of MDPI and/or the editor(s). MDPI and/or the editor(s) disclaim responsibility for any injury to people or property resulting from any ideas, methods, instructions or products referred to in the content. |
© 2025 by the authors. Licensee MDPI, Basel, Switzerland. This article is an open access article distributed under the terms and conditions of the Creative Commons Attribution (CC BY) license (https://creativecommons.org/licenses/by/4.0/).
Share and Cite
Zhao, Y.; Zhou, X.; Chen, L.; Mao, Y.; Yan, M. Research on Abnormal Radio Detection Method Combining Local Outlier Factor and One-Class Support Vector Machine. Electronics 2025, 14, 4055. https://doi.org/10.3390/electronics14204055
Zhao Y, Zhou X, Chen L, Mao Y, Yan M. Research on Abnormal Radio Detection Method Combining Local Outlier Factor and One-Class Support Vector Machine. Electronics. 2025; 14(20):4055. https://doi.org/10.3390/electronics14204055
Chicago/Turabian StyleZhao, Yue, Xueguang Zhou, Lu Chen, Yihuan Mao, and Meishuang Yan. 2025. "Research on Abnormal Radio Detection Method Combining Local Outlier Factor and One-Class Support Vector Machine" Electronics 14, no. 20: 4055. https://doi.org/10.3390/electronics14204055
APA StyleZhao, Y., Zhou, X., Chen, L., Mao, Y., & Yan, M. (2025). Research on Abnormal Radio Detection Method Combining Local Outlier Factor and One-Class Support Vector Machine. Electronics, 14(20), 4055. https://doi.org/10.3390/electronics14204055

