Localization of Dirac Fermions in Finite-Temperature Gauge Theory
Abstract
1. Introduction
2. QCD at Finite Temperature
Finite-Temperature Transition, Dirac Spectrum, and Localization—An Overview
3. Localization and Anderson Transitions
3.1. The Anderson Model
3.2. Anderson Transitions
3.3. Detecting Localization: Eigenmode Observables
3.4. Detecting Localization: Eigenvalue Observables
3.5. Finite-Size Scaling at the Anderson Transition
3.6. Anderson Transitions in Specific Models: Analytic Predictions and Numerical Results
4. Localization and Deconfinement in QCD at Finite Temperature
4.1. The Dirac Operator as a Random Matrix
4.2. Numerical Results on the Lattice
4.3. Summary
- Low Dirac modes are localized in lattice QCD in the high-temperature phase. More precisely, a large amount of evidence indicates that the low Dirac modes are localized in lattice QCD, for temperatures above the finite-temperature transition, for more or less physical quark content and masses, and different fermion discretizations [28,33,38,39,40]. The available evidence suggests that localization is not a lattice artifact and survives the continuum limit: both the localization length and the renormalized mobility edge seem in fact to possess a continuum limit. Evidence is, however, limited to a single study, and at a single temperature [33].
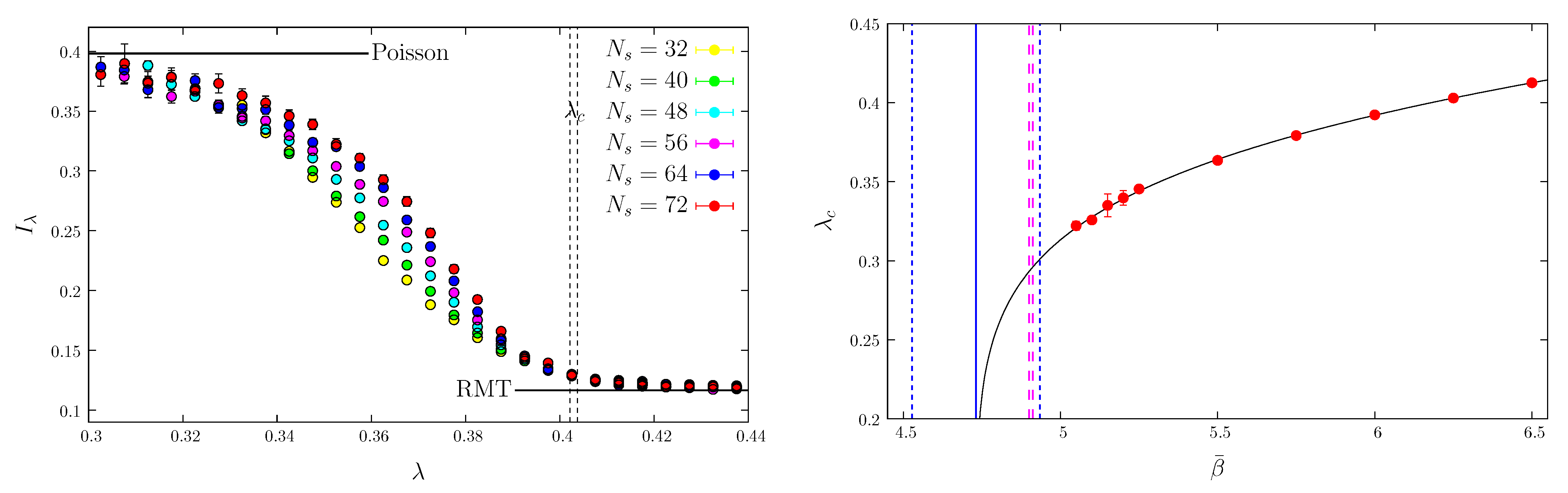
- An Anderson transition takes place in the Dirac spectrum in the high-temperature phase. More precisely, a mobility edge separating localized and delocalized modes in the spectrum is observed on the lattice [33,34,35,37,39,40]. For staggered fermions it has been shown that a genuine Anderson transition takes place at the mobility edge [34,35,37].
- Localized modes correlate with local fluctuations in the confining and topological properties of the configurations. More precisely, the spatial position of localized modes shows correlations with the local fluctuations of the Polyakov loop away from order [39,40], as well as with positive fluctuations of the action density and of the magnitude of the topological charge density, especially at (anti)self-dual points [39].
- As disordered systems, almost all the models discussed in this section are in the 3d chiral unitary class.20 The appearance of localized modes at the band center contrasts with the delocalized nature of the band center in the 3d chiral orthogonal Anderson model [166,167]. On the other hand, it agrees with what was found in the 3d chiral unitary Anderson model [184], and in the Anderson model with correlated disorder of Ref. [187] in the same class.
- The results of Refs. [34,35,37] indicate that a genuine second-order Anderson transition is present in the staggered Dirac spectrum in high-temperature QCD, in the universality class of the 3d unitary Anderson model. Since QCD is in the 3d chiral unitary class, this suggests that the Anderson transition at nonzero eigenvalue for the 3d chiral and non-chiral unitary classes belong to the same universality class. This is not surprising, as chiral symmetry is not expected to play an important role in the bulk of the spectrum, but only near the origin, around which the spectrum is symmetric precisely due to chiral symmetry. Further support to the lack of any differences in the transition of the chiral and non-chiral model is given by the findings of Ref. [27] concerning the multifractal exponents in the ILM model for QCD, and by the critical statistics found in the Anderson model with correlated disorder of Ref. [187]. A different critical behavior is found instead when the Anderson transition is at the origin in 3d chiral models [184,185,186].
- In the ILM model of Ref. [27], both in the quenched and unquenched cases, a second mobility edge was observed higher up in the spectrum, moving towards the high end as the temperature is decreased. While this part of the spectrum is not representative of real QCD, as the model neglects nonzero modes at the outset, it is nonetheless possible that a similar localization mechanism at the high end of the spectrum applies in QCD as well.21
- It is now clear that the Dirac spectral density does not vanish in the deconfined phase of pure gauge SU(3) theory, if one uses sufficiently fine lattices, or lattice discretizations of the Dirac operator with good chiral properties; instead, a peak is formed near the origin (see Refs. [51,57,59]). A sort of “chiral transition” still takes place at deconfinement, where the peak structure appears.
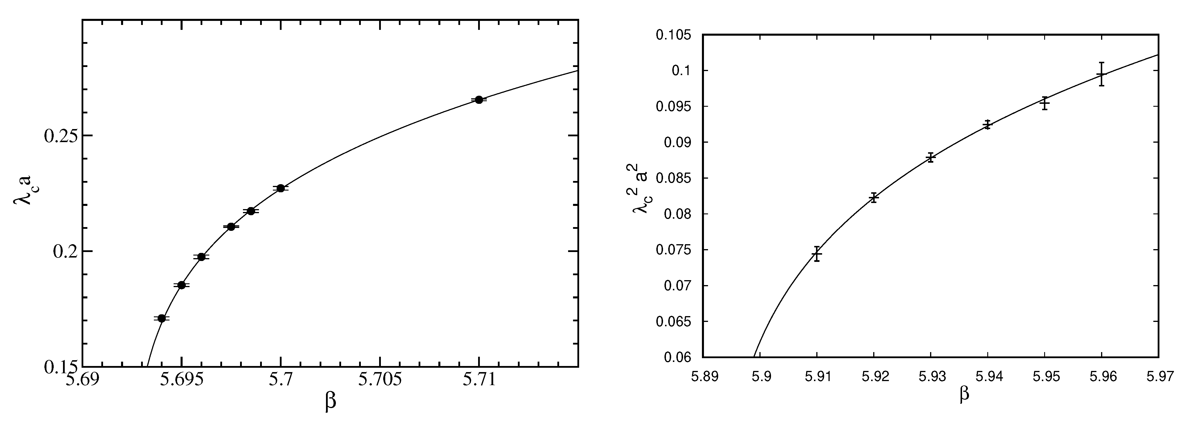
- The disordered medium scenario requires that the densities of instantons and of localized modes match in the high-temperature phase. As observed in Ref. [31] and, in the pure gauge case, in Ref. [86] (see Section 6), the instanton density, obtained assuming an ideal (non-interacting) instanton gas approximation, is lower than the density of localized modes (number of modes per unit spatial volume). Moreover, the latter is seen to increase with T [33], while the instanton density decreases. This indicates that topology can only partially explain the localization of the low Dirac modes.
- An alternative interpretation of localization in terms of topological objects was proposed in Ref. [39]. The authors suggest that localized modes favor regions where L-type (Kaluza-Klein) monopole-antimonopole pairs are located. These are one of the types of monopole constituents inside calorons [20]. This interpretation is supported by the correlation with Polyakov-loop fluctuations, action and topological density, and chirality. A direct identification of monopoles or a quantitative estimate of their density is, however, unavailable.
5. Mechanisms for Localization
5.1. The Disordered Medium Scenario
5.2. The Sea/Islands Picture
6. Localization in Other Gauge Theories
7. Conclusions and Outlook
Author Contributions
Funding
Acknowledgments
Conflicts of Interest
| 1. | In principle, there is also the gauge coupling, but it turns out not to be a freely adjustable parameter, instead it runs with the energy scale. See Ref. [75], ch. 18. |
| 2. | |
| 3. | |
| 4. | The conductance for a d-dimensional (hyper)cubic sample of linear size L equals where is the conductivity of the system. |
| 5. | The dimensionality and the symmetry class do not always determine uniquely the universality class of the Anderson transition: see Ref. [45]. |
| 6. | |
| 7. | Notice that by construction one has for a generic random matrix ensemble . This follows from the fact that the average spacing equals the inverse of the spectral density, which is 1 for the unfolded spectrum. |
| 8. | On the insulator side of the transition, can be identified with the localization length, while on the metallic side it can be related to the conductivity [44]. |
| 9. | |
| 10. | The possibility of localization taking place in QCD was mentioned in Ref. [188]. |
| 11. | Mott transitions are MITs driven by electron-electron interactions, in contrast to the disorder-driven Anderson transition. In Anderson-Mott transitions both interactions and disorder play an important role. |
| 12. | |
| 13. | Bulk statistics are not affected by the chiral symmetry, and should not be confused with the microscopic statistics near , which, in contrast, are affected if a nonzero density of modes is present. In the chirally broken phase, where , with V the volume, the statistical properties of the microscopic spectrum near are described by the microscopic correlations of the chGUE. See Ref. [115] for a detailed review. |
| 14. | RMT is expected to govern correlations up to some characteristic separation scale between eigenvalues (“Thouless energy”), both for microscopic and bulk statistics [13,14,194]. For the role played by fluctuations in the ensemble in determining this scale in the case of bulk statistics, see Ref. [195]. |
| 15. | The symmetry class of the staggered operator is actually independent of the spacetime dimension. |
| 16. | |
| 17. | From this observation, Ref. [25] concluded that modes are actually extended in the temporal direction. This is actually not necessary: localization in the temporal direction on a scale comparable with the temporal size is sufficient for modes to be sensitive to the boundary conditions. |
| 18. | |
| 19. | |
| 20. | |
| 21. | |
| 22. | |
| 23. | In a first approximation, the nonzero unperturbed modes associated with topological objects can be neglected. |
| 24. | Overlap integrals vanish for a pair of instantons or anti-instantons due the definite (and equal) chirality of the zero modes. |
| 25. | While the index theorem requires only , it is expected that only zero modes of one chirality appear in typical gauge configurations. |
| 26. | For example, modes are localized at the band center in the Anderson model above the critical disorder, but with finite spectral density; and in the near-zero spike found right above in QCD and pure gauge SU(3) theory. |
| 27. | The claim of Ref. [39] is actually stronger: localized low modes do localize on monopole-antimonopole pairs. We believe that this claim is not fully supported by the available evidence. On the one hand, while both selfdual and anti-selfdual points are clearly favored by localized modes, there is no clear evidence that these modes localize where selfdual and anti-selfdual points are spatially close. On the other hand, L-type anti(monopoles) are located at sites where a pair of the eigenvalues of the untraced Polyakov loop is nearly degenerate and close to (fluctuations of the degenerate pair around correspond to fluctuations of the Polyakov loop at spatial infinity around 1), and while these sites are among the favorable localization points, sites with but without eigenvalue degeneracy are at least equally (if not more) favorable, see Figure 12. |
| 28. | This observation applies also to the case in which the relevant objects are the L-type monopoles and antimonopoles, independently of them being part of calorons, as suggested in Ref. [39]. |
| 29. | Since is trivial in Dirac space in this case, the Dirac index is omitted. |
| 30. | Notice that the mobility edge is generally far from the near-zero zone where localized modes are of topological origin [86]. |
| 31. | Dimensionality should not matter as long as both deconfinement and localization are allowed. For example, no Anderson transition should be found in 1+1-dimensional gauge theories at finite temperature: no deconfinement transition is present there, and all modes are expected to be localized in one spatial dimension. |
References
- Greensite, J. The Confinement problem in lattice gauge theory. Prog. Part. Nucl. Phys. 2003, 51, 1. [Google Scholar] [CrossRef]
- Greensite, J. An Introduction to the Confinement Problem; Lecture Notes in Physics; Springer: Berlin/Heidelberg, Germany, 2011; Volume 821. [Google Scholar] [CrossRef]
- Chandrasekharan, S.; Wiese, U.J. An Introduction to chiral symmetry on the lattice. Prog. Part. Nucl. Phys. 2004, 53, 373. [Google Scholar] [CrossRef][Green Version]
- Faber, M.; Höllwieser, R. Chiral symmetry breaking on the lattice. Prog. Part. Nucl. Phys. 2017, 97, 312. [Google Scholar] [CrossRef]
- Borsányi, S.; Fodor, Z.; Hoelbling, C.; Katz, S.D.; Krieg, S.; Ratti, C.; Szabó, K.K. Is there still any Tc mystery in lattice QCD? Results with physical masses in the continuum limit III. J. High Energy Phys. 2010, 9, 73. [Google Scholar] [CrossRef]
- Bazavov, A.; Brambilla, N.; Ding, H.T.; Petreczky, P.; Schadler, H.P.; Vairo, A.; Weber, J.H. Polyakov loop in 2+1 flavor QCD from low to high temperatures. Phys. Rev. D 2016, 93, 114502. [Google Scholar] [CrossRef]
- Aoki, Y.; Endrődi, G.; Fodor, Z.; Katz, S.D.; Szabó, K.K. The Order of the quantum chromodynamics transition predicted by the standard model of particle physics. Nature 2006, 443, 675. [Google Scholar] [CrossRef]
- Diakonov, D.; Petrov, V.Y. Chiral condensate in the instanton vacuum. Phys. Lett. B 1984, 147, 351. [Google Scholar] [CrossRef]
- Diakonov, D.; Petrov, V.Y. A Theory of Light Quarks in the Instanton Vacuum. Nucl. Phys. B 1986, 272, 457. [Google Scholar] [CrossRef]
- Diakonov, D. Chiral symmetry breaking by instantons. Proc. Int. Sch. Phys. Fermi 1996, 130, 397. [Google Scholar] [CrossRef]
- Smilga, A.V. Vacuum fields in the Schwinger model. Phys. Rev. D 1992, 46, 5598. [Google Scholar] [CrossRef]
- Janik, R.A.; Nowak, M.A.; Papp, G.; Zahed, I. Chiral disorder in QCD. Phys. Rev. Lett. 1998, 81, 264. [Google Scholar] [CrossRef]
- Osborn, J.C.; Verbaarschot, J.J.M. Thouless energy and correlations of QCD Dirac eigenvalues. Phys. Rev. Lett. 1998, 81, 268. [Google Scholar] [CrossRef]
- Osborn, J.C.; Verbaarschot, J.J.M. Thouless energy and correlations of QCD Dirac eigenvalues. Nucl. Phys. B 1998, 525, 738. [Google Scholar] [CrossRef][Green Version]
- García-García, A.M.; Osborn, J.C. The QCD vacuum as a disordered medium: A Simplified model for the QCD Dirac operator. Phys. Rev. Lett. 2004, 93, 132002. [Google Scholar] [CrossRef] [PubMed]
- Harrington, B.J.; Shepard, H.K. Periodic Euclidean Solutions and the Finite Temperature Yang-Mills Gas. Phys. Rev. D 1978, 17, 2122. [Google Scholar] [CrossRef]
- Harrington, B.J.; Shepard, H.K. Thermodynamics of the Yang-Mills Gas. Phys. Rev. D 1978, 18, 2990. [Google Scholar] [CrossRef]
- Kraan, T.C.; van Baal, P. Exact T duality between calorons and Taub - NUT spaces. Phys. Lett. B 1998, 428, 268. [Google Scholar] [CrossRef]
- Kraan, T.C.; van Baal, P. Periodic instantons with nontrivial holonomy. Nucl. Phys. B 1998, 533, 627. [Google Scholar] [CrossRef]
- Kraan, T.C.; van Baal, P. Monopole constituents inside SU(n) calorons. Phys. Lett. B 1998, 435, 389. [Google Scholar] [CrossRef]
- Lee, K.M.; Yi, P. Monopoles and instantons on partially compactified D-branes. Phys. Rev. D 1997, 56, 3711. [Google Scholar] [CrossRef]
- Lee, K.M. Instantons and magnetic monopoles on with arbitrary simple gauge groups. Phys. Lett. B 1998, 426, 323. [Google Scholar] [CrossRef]
- Lee, K.M.; Lu, C.h. SU(2) calorons and magnetic monopoles. Phys. Rev. D 1998, 58, 025011. [Google Scholar] [CrossRef]
- Banks, T.; Casher, A. Chiral symmetry breaking in confining theories. Nucl. Phys. B 1980, 169, 103. [Google Scholar] [CrossRef]
- Göckeler, M.; Rakow, P.E.L.; Schäfer, A.; Söldner, W.; Wettig, T. Calorons and localization of quark eigenvectors in lattice QCD. Phys. Rev. Lett. 2001, 87, 042001. [Google Scholar] [CrossRef]
- Gattringer, C.; Göckeler, M.; Rakow, P.E.L.; Schaefer, S.; Schäfer, A. A Comprehensive picture of topological excitations in finite temperature lattice QCD. Nucl. Phys. B 2001, 618, 205. [Google Scholar] [CrossRef]
- García-García, A.M.; Osborn, J.C. Chiral phase transition and Anderson localization in the Instanton Liquid Model for QCD. Nucl. Phys. A 2006, 770, 141. [Google Scholar] [CrossRef]
- García-García, A.M.; Osborn, J.C. Chiral phase transition in lattice QCD as a metal-insulator transition. Phys. Rev. D 2007, 75, 034503. [Google Scholar] [CrossRef]
- Gavai, R.V.; Gupta, S.; Lacaze, R. Eigenvalues and Eigenvectors of the Staggered Dirac Operator at Finite Temperature. Phys. Rev. D 2008, 77, 114506. [Google Scholar] [CrossRef]
- Kovács, T.G. Absence of correlations in the QCD Dirac spectrum at high temperature. Phys. Rev. Lett. 2010, 104, 031601. [Google Scholar] [CrossRef] [PubMed]
- Bruckmann, F.; Kovács, T.G.; Schierenberg, S. Anderson localization through Polyakov loops: Lattice evidence and random matrix model. Phys. Rev. D 2011, 84, 034505. [Google Scholar] [CrossRef]
- Kovács, T.G.; Pittler, F. Anderson Localization in Quark-Gluon Plasma. Phys. Rev. Lett. 2010, 105, 192001. [Google Scholar] [CrossRef]
- Kovács, T.G.; Pittler, F. Poisson to Random Matrix Transition in the QCD Dirac Spectrum. Phys. Rev. D 2012, 86, 114515. [Google Scholar] [CrossRef]
- Giordano, M.; Kovács, T.G.; Pittler, F. Universality and the QCD Anderson Transition. Phys. Rev. Lett. 2014, 112, 102002. [Google Scholar] [CrossRef] [PubMed]
- Nishigaki, S.M.; Giordano, M.; Kovács, T.G.; Pittler, F. Critical statistics at the mobility edge of QCD Dirac spectra. PoS 2014, LATTICE2013, 018. [Google Scholar] [CrossRef]
- Giordano, M.; Kovács, T.G.; Pittler, F. Anderson localization in QCD-like theories. Int. J. Mod. Phys. A 2014, 29, 1445005. [Google Scholar] [CrossRef]
- Ujfalusi, L.; Giordano, M.; Pittler, F.; Kovács, T.G.; Varga, I. Anderson transition and multifractals in the spectrum of the Dirac operator of Quantum Chromodynamics at high temperature. Phys. Rev. D 2015, 92, 094513. [Google Scholar] [CrossRef]
- Dick, V.; Karsch, F.; Laermann, E.; Mukherjee, S.; Sharma, S. Microscopic origin of UA(1) symmetry violation in the high temperature phase of QCD. Phys. Rev. D 2015, 91, 094504. [Google Scholar] [CrossRef]
- Cossu, G.; Hashimoto, S. Anderson Localization in high temperature QCD: Background configuration properties and Dirac eigenmodes. J. High Energy Phys. 2016, 6, 56. [Google Scholar] [CrossRef]
- Holicki, L.; Ilgenfritz, E.M.; von Smekal, L. The Anderson transition in QCD with Nf = 2 + 1 + 1 twisted mass quarks: Overlap analysis. PoS 2018, LATTICE2018, 180. [Google Scholar] [CrossRef]
- Anderson, P.W. Absence of Diffusion in Certain Random Lattices. Phys. Rev. 1958, 109, 1492. [Google Scholar] [CrossRef]
- Thouless, D.J. Electrons in disordered systems and the theory of localization. Phys. Rep. 1974, 13, 93. [Google Scholar] [CrossRef]
- Lee, P.A.; Ramakrishnan, T.V. Disordered electronic systems. Rev. Mod. Phys. 1985, 57, 287. [Google Scholar] [CrossRef]
- Kramer, B.; MacKinnon, A. Localization: Theory and experiment. Rep. Prog. Phys. 1993, 56, 1469. [Google Scholar] [CrossRef]
- Evers, F.; Mirlin, A.D. Anderson transitions. Rev. Mod. Phys. 2008, 80, 1355. [Google Scholar] [CrossRef]
- Abrahams, E. (Ed.) 50 Years of Anderson Localization; World Scientific: Singapore, 2010. [Google Scholar] [CrossRef]
- Giordano, M.; Kovács, T.G.; Pittler, F. An Ising-Anderson model of localisation in high-temperature QCD. J. High Energy Phys. 2015, 4, 112. [Google Scholar] [CrossRef]
- Giordano, M.; Kovács, T.G.; Pittler, F. An Anderson-like model of the QCD chiral transition. J. High Energy Phys. 2016, 6, 7. [Google Scholar] [CrossRef]
- Giordano, M.; Kovács, T.G.; Pittler, F. Localization and chiral properties near the ordering transition of an Anderson-like toy model for QCD. Phys. Rev. D 2017, 95, 074503. [Google Scholar] [CrossRef]
- Giordano, M.; Katz, S.D.; Kovács, T.G.; Pittler, F. Deconfinement, chiral transition and localisation in a QCD-like model. J. High Energy Phys. 2017, 2, 55. [Google Scholar] [CrossRef]
- Kovács, T.G.; Vig, R.Á. Localization transition in SU(3) gauge theory. Phys. Rev. D 2018, 97, 014502. [Google Scholar] [CrossRef]
- Bruckmann, F.; Wellnhofer, J. Anderson localization in sigma models. EPJ Web Conf. 2018, 175, 07005. [Google Scholar] [CrossRef][Green Version]
- Giordano, M. Localisation in 2+1 dimensional SU(3) pure gauge theory at finite temperature. J. High Energy Phys. 2019, 05, 204. [Google Scholar] [CrossRef]
- Vig, R.Á.; Kovács, T.G. Localization with overlap fermions. Phys. Rev. D 2020, 101, 094511. [Google Scholar] [CrossRef]
- Bonati, C.; Cardinali, M.; D’Elia, M.; Giordano, M.; Mazziotti, F. Reconfinement, localization and thermal monopoles in SU(3) trace-deformed Yang-Mills theory. Phys. Rev. D 2021, 103, 034506. [Google Scholar] [CrossRef]
- Baranka, G.; Giordano, M. Localisation of Dirac modes in finite-temperature gauge theory on the lattice. arXiv 2021, arXiv:2104.03779. [Google Scholar]
- Edwards, R.G.; Heller, U.M.; Kiskis, J.E.; Narayanan, R. Chiral condensate in the deconfined phase of quenched gauge theories. Phys. Rev. D 2000, 61, 074504. [Google Scholar] [CrossRef]
- Vig, R.Á.; Kovács, T.G. Ideal topological gas in the high temperature phase of SU(3) gauge theory. arXiv 2021, arXiv:2101.01498. [Google Scholar]
- Alexandru, A.; Horváth, I. Phases of SU(3) Gauge Theories with Fundamental Quarks via Dirac Spectral Density. Phys. Rev. D 2015, 92, 045038. [Google Scholar] [CrossRef]
- Ding, H.T.; Li, S.T.; Mukherjee, S.; Tomiya, A.; Wang, X.D.; Zhang, Y. Correlated Dirac eigenvalues and axial anomaly in chiral symmetric QCD. Phys. Rev. Lett. 2021, 126, 082001. [Google Scholar] [CrossRef] [PubMed]
- Kaczmarek, O.; Mazur, L.; Sharma, S. Eigenvalue spectra of QCD and the fate of UA(1) breaking towards the chiral limit. arXiv 2021, arXiv:2102.06136. [Google Scholar]
- Giordano, M. Localised Dirac eigenmodes, chiral symmetry breaking and Goldstone’s theorem. arXiv 2020, arXiv:2009.00486. [Google Scholar]
- Giordano, M. Localisation, chiral symmetry and confinement in QCD and related theories. PoS 2019, Confinement2018, 045. [Google Scholar] [CrossRef]
- Zakharov, V.I. Matter of resolution: From quasiclassics to fine tuning. In Sense of Beauty in Physics: A Volume in Honour of Adriano Di Giacomo; D’Elia, M., Konishi, K., Meggiolaro, E., Rossi, P., Eds.; Edizioni Plus srl: Pisa, Italy, 2006. [Google Scholar]
- de Forcrand, P. Localization properties of fermions and bosons. AIP Conf. Proc. 2007, 892, 29. [Google Scholar] [CrossRef]
- Ilgenfritz, E.M.; Koller, K.; Koma, Y.; Schierholz, G.; Streuer, T.; Weinberg, V. Exploring the structure of the quenched QCD vacuum with overlap fermions. Phys. Rev. D 2007, 76, 034506. [Google Scholar] [CrossRef]
- Hollwieser, R.; Faber, M.; Heller, U.M. Intersections of thick Center Vortices, Dirac Eigenmodes and Fractional Topological Charge in SU(2) Lattice Gauge Theory. J. High Energy Phys. 2011, 6, 52. [Google Scholar] [CrossRef][Green Version]
- Ilgenfritz, E.M.; Martemyanov, B.V.; Müller-Preussker, M. Topology near the transition temperature in lattice gluodynamics analyzed by low lying modes of the overlap Dirac operator. Phys. Rev. D 2014, 89, 054503. [Google Scholar] [CrossRef]
- Golterman, M.; Shamir, Y. Localization in lattice QCD. Phys. Rev. D 2003, 68, 074501. [Google Scholar] [CrossRef]
- Golterman, M.; Shamir, Y.; Svetitsky, B. Localization properties of lattice fermions with plaquette and improved gauge actions. Phys. Rev. D 2005, 72, 034501. [Google Scholar] [CrossRef]
- Greensite, J.; Olejník, S.; Polikarpov, M.; Syritsyn, S.; Zakharov, V. Localized eigenmodes of covariant Laplacians in the Yang-Mills vacuum. Phys. Rev. D 2005, 71, 114507. [Google Scholar] [CrossRef]
- Greensite, J.; Kovalenko, A.V.; Olejník, S.; Polikarpov, M.I.; Syritsyn, S.N.; Zakharov, V.I. Peculiarities in the spectrum of the adjoint scalar kinetic operator in Yang-Mills theory. Phys. Rev. D 2006, 74, 094507. [Google Scholar] [CrossRef]
- Rothe, H.J. Lattice Gauge Theories: An Introduction; World Scientific: Singapore, 2012; Volume 82, pp. 1–606. [Google Scholar]
- Montvay, I.; Münster, G. Quantum Fields on a Lattice; Cambridge Monographs on Mathematical Physics; Cambridge University Press: Cambridge, UK, 1997. [Google Scholar] [CrossRef]
- Weinberg, S. The Quantum Theory of Fields. Vol. 2: Modern Applications; Cambridge University Press: Cambridge, UK, 2013. [Google Scholar] [CrossRef]
- Stephanov, M.A. Chiral symmetry at finite T, the phase of the Polyakov loop and the spectrum of the Dirac operator. Phys. Lett. B 1996, 375, 249. [Google Scholar] [CrossRef][Green Version]
- Chandrasekharan, S.; Christ, N.H. Dirac spectrum, axial anomaly and the QCD chiral phase transition. Nucl. Phys. B Proc. Suppl. 1996, 47, 527. [Google Scholar] [CrossRef]
- Francis, A.; Kaczmarek, O.; Laine, M.; Neuhaus, T.; Ohno, H. Critical point and scale setting in SU(3) plasma: An update. Phys. Rev. D 2015, 91, 096002. [Google Scholar] [CrossRef]
- Lucini, B.; Teper, M.; Wenger, U. The High temperature phase transition in SU(N) gauge theories. J. High Energy Phys. 2004, 01, 061. [Google Scholar] [CrossRef]
- Pisarski, R.D.; Wilczek, F. Remarks on the Chiral Phase Transition in Chromodynamics. Phys. Rev. D 1984, 29, 338. [Google Scholar] [CrossRef]
- Pelissetto, A.; Vicari, E. Relevance of the axial anomaly at the finite-temperature chiral transition in QCD. Phys. Rev. D 2013, 88, 105018. [Google Scholar] [CrossRef]
- Creutz, M. Quarks, Gluons and Lattices; Cambridge Monographs on Mathematical Physics; Cambridge University Press: Cambridge, UK, 1985. [Google Scholar]
- DeGrand, T.; DeTar, C. Lattice Methods for Quantum Chromodynamics; World Scientific: Singapore, 2006. [Google Scholar] [CrossRef]
- Gattringer, C.; Lang, C.B. Quantum Chromodynamics on the Lattice; Springer: Berlin/Heidelberg, Germany, 2010; Volume 788. [Google Scholar] [CrossRef]
- Wilson, K.G. Confinement of Quarks. Phys. Rev. D 1974, 10, 2445. [Google Scholar] [CrossRef]
- Kovács, T.G.; Vig, R.Á. Localization and topology in high temperature QCD. PoS 2019, LATTICE2018, 258. [Google Scholar] [CrossRef]
- Alexandru, A.; Horváth, I. Possible New Phase of Thermal QCD. Phys. Rev. D 2019, 100, 094507. [Google Scholar] [CrossRef]
- Alexandru, A.; Horváth, I. Unusual Features of QCD Low-Energy Modes in IR Phase. arXiv 2021, arXiv:2103.05607. [Google Scholar]
- Halperin, B.I. Properties of a particle in a one-dimensional random potential. Adv. Chem. Phys. 1967, 13, 123. [Google Scholar] [CrossRef]
- Mott, N.F. Electrons in disordered structures. Adv. Phys. 1967, 16, 49. [Google Scholar] [CrossRef]
- Ziman, J.M. Localization of electrons in ordered and disordered systems II. Bound bands. J. Phys. C Solid State Phys. 1969, 2, 1230. [Google Scholar] [CrossRef]
- Anderson, P.W. The Fermi Glass: Theory and Experiment. In A Career in Theoretical Physics; World Scientific: Singapore, 2005; pp. 353–359. [Google Scholar]
- Thouless, D.J. Anderson’s theory of localized states. J. Phys. C Solid State Phys. 1970, 3, 1559. [Google Scholar] [CrossRef]
- Mott, N. Conduction in non-crystalline systems IV. Anderson localization in a disordered lattice. Phil. Mag. 1970, 22, 7. [Google Scholar] [CrossRef]
- Economou, E.; Cohen, M. Localization in disordered materials: Existence of mobility edges. Phys. Rev. Lett. 1970, 25, 1445. [Google Scholar] [CrossRef]
- Economou, E.; Cohen, M. Existence of mobility edges in Anderson’s model for random lattices. Phys. Rev. B 1972, 5, 2931. [Google Scholar] [CrossRef]
- Abou-Chacra, R.; Anderson, P.W.; Thouless, D.J. A selfconsistent theory of localization. J. Phys. C Solid State Phys. 1973, 6, 1734. [Google Scholar] [CrossRef]
- Abrahams, E.; Anderson, P.W.; Licciardello, D.C.; Ramakrishnan, T.V. Scaling Theory of Localization: Absence of Quantum Diffusion in Two Dimensions. Phys. Rev. Lett. 1979, 42, 673. [Google Scholar] [CrossRef]
- Edwards, J.T.; Thouless, D.J. Numerical studies of localization in disordered systems. J. Phys. C Solid State Phys. 1972, 5, 807. [Google Scholar] [CrossRef]
- Licciardello, D.C.; Thouless, D.J. Conductivity and mobility edges for two-dimensional disordered systems. J. Phys. C Solid State Phys. 1975, 8, 4157. [Google Scholar] [CrossRef]
- Wegner, F.J. Electrons in disordered systems. Scaling near the mobility edge. Z. Physik B 1976, 25, 327. [Google Scholar] [CrossRef]
- Wegner, F. The mobility edge problem: Continuous symmetry and a conjecture. Z. Physik B 1979, 35, 207. [Google Scholar] [CrossRef]
- Efetov, K.B.; Larkin, A.I.; Kheml’nitskiĭ, D.E. Interaction of diffusion modes in the theory of localization. Sov. Phys. JETP 1980, 52, 568. [Google Scholar]
- Efetov, K.B. Supersymmetry and theory of disordered metals. Adv. Phys. 1983, 32, 53. [Google Scholar] [CrossRef]
- Mott, N.F.; Twose, W.D. The theory of impurity conduction. Adv. Phys. 1961, 10, 107. [Google Scholar] [CrossRef]
- Borland, R.E. The nature of the electronic states in disordered one-dimensional systems. Proc. R. Soc. Lond. A 1963, 274, 529. [Google Scholar] [CrossRef]
- Lloyd, P. Exactly solvable model of electronic states in a three-dimensional disordered Hamiltonian: Non-existence of localized states. J. Phys. C Solid State Phys. 1969, 2, 1717. [Google Scholar] [CrossRef]
- Theodorou, G.; Cohen, M.H. Extended states in a one-dimensional system with off-diagonal disorder. Phys. Rev. B 1976, 13, 4597. [Google Scholar] [CrossRef]
- Antoniou, P.D.; Economou, E.N. Absence of Anderson’s transition in random lattices with off-diagonal disorder. Phys. Rev. B 1977, 16, 3768. [Google Scholar] [CrossRef]
- Economou, E.N.; Antoniou, P.D. Localization and off-diagonal disorder. Solid State Commun. 1977, 21, 285. [Google Scholar] [CrossRef]
- Inui, M.; Trugman, S.A.; Abrahams, E. Unusual properties of midband states in systems with off-diagonal disorder. Phys. Rev. B 1994, 49, 3190. [Google Scholar] [CrossRef] [PubMed]
- Cardy, J. Scaling and Renormalization in Statistical Physics; Cambridge Lecture Notes in Physics; Cambridge University Press: Cambridge, UK, 1996. [Google Scholar] [CrossRef]
- Mehta, M.L. Random Matrices, 3rd ed.; Pure and Applied Mathematics; Academic Press: Cambridge, MA, USA, 2004; Volume 142. [Google Scholar]
- Guhr, T.; Müller-Groeling, A.; Weidenmüller, H.A. Random matrix theories in quantum physics: Common concepts. Phys. Rept. 1998, 299, 189. [Google Scholar] [CrossRef]
- Verbaarschot, J.J.M.; Wettig, T. Random matrix theory and chiral symmetry in QCD. Ann. Rev. Nucl. Part. Sci. 2000, 50, 343. [Google Scholar] [CrossRef]
- Dyson, F.J. The threefold way. Algebraic structure of symmetry groups and ensembles in quantum mechanics. J. Math. Phys. 1962, 3, 1199. [Google Scholar] [CrossRef]
- Verbaarschot, J.J.M. The Spectrum of the QCD Dirac operator and chiral random matrix theory: The Threefold way. Phys. Rev. Lett. 1994, 72, 2531. [Google Scholar] [CrossRef] [PubMed]
- Altland, A.; Zirnbauer, M.R. Random Matrix Theory of a Chaotic Andreev Quantum Dot. Phys. Rev. Lett. 1996, 76, 3420. [Google Scholar] [CrossRef] [PubMed]
- Altland, A.; Zirnbauer, M.R. Nonstandard symmetry classes in mesoscopic normal-superconducting hybrid structures. Phys. Rev. B 1997, 55, 1142. [Google Scholar] [CrossRef]
- Zirnbauer, M.R. Riemannian symmetric superspaces and their origin in random-matrix theory. J. Math. Phys. 1996, 37, 4986. [Google Scholar] [CrossRef]
- Zirnbauer, M.R. Symmetry Classes. In The Oxford Handbook of Random Matrix Theory; Akemann, G., Baik, J., Di Francesco, P., Eds.; Oxford University Press: Oxford, UK, 2015; Chapter 3. [Google Scholar] [CrossRef]
- Chiu, C.K.; Teo, J.C.; Schnyder, A.P.; Ryu, S. Classification of topological quantum matter with symmetries. Rev. Mod. Phys. 2016, 88, 035005. [Google Scholar] [CrossRef]
- Bell, R.J.; Dean, P. Atomic vibrations in vitreous silica. Disc. Faraday Soc. 1970, 50, 55. [Google Scholar] [CrossRef]
- Wegner, F. Inverse participation ratio in 2+ ε dimensions. Z. Physik B 1980, 36, 209. [Google Scholar] [CrossRef]
- Castellani, C.; Peliti, L. Multifractal wavefunction at the localisation threshold. J. Phys. A Math. Gen. 1986, 19, L429. [Google Scholar] [CrossRef]
- Al’tshuler, B.L.; Shklovskii, B.I. Repulsion of energy levels and conductivity of small metal samples. Sov. Phys. JETP 1986, 64, 127. [Google Scholar]
- Erdos, L.; Yau, H.T.; Yin, J. Bulk universality for generalized Wigner matrices. Probab. Theory Relat. Fields 2012, 154, 341. [Google Scholar] [CrossRef]
- Tao, T.; Vu, V. Random matrices: Universality of local eigenvalue statistics. Acta Math. 2011, 206, 127. [Google Scholar] [CrossRef]
- Al’tshuler, B.; Zharekeshev, I.K.; Kotochigova, S.A.; Shklovskii, B. Repulsion between energy levels and the metal-insulator transition. Zh. Eksp. Teor. Fiz 1988, 94, 343. [Google Scholar]
- Shklovskii, B.I.; Shapiro, B.; Sears, B.R.; Lambrianides, P.; Shore, H.B. Statistics of spectra of disordered systems near the metal-insulator transition. Phys. Rev. B 1993, 47, 11487. [Google Scholar] [CrossRef]
- Muttalib, K.A.; Chen, Y.; Ismail, M.E.H.; Nicopoulos, V.N. New family of unitary random matrices. Phys. Rev. Lett. 1993, 71, 471. [Google Scholar] [CrossRef] [PubMed]
- Moshe, M.; Neuberger, H.; Shapiro, B. A generalized ensemble of random matrices. Phys. Rev. Lett. 1994, 73, 1497. [Google Scholar] [CrossRef]
- Mirlin, A.D.; Fyodorov, Y.V.; Dittes, F.M.; Quezada, J.; Seligman, T.H. Transition from localized to extended eigenstates in the ensemble of power-law random banded matrices. Phys. Rev. E 1996, 54, 3221. [Google Scholar] [CrossRef]
- Canali, C.M. Model for a random-matrix description of the energy-level statistics of disordered systems at the Anderson transition. Phys. Rev. B 1996, 53, 3713. [Google Scholar] [CrossRef]
- Kravtsov, V.E.; Muttalib, K.A. New Class of Random Matrix Ensembles with Multifractal Eigenvectors. Phys. Rev. Lett. 1997, 79, 1913. [Google Scholar] [CrossRef]
- Nishigaki, S.M. Level spacing distribution of critical random matrix ensembles. Phys. Rev. E 1998, 58, R6915. [Google Scholar] [CrossRef]
- Nishigaki, S.M. Level spacings at the metal-insulator transition in the Anderson Hamiltonians and multifractal random matrix ensembles. Phys. Rev. E 1999, 59, 2853. [Google Scholar] [CrossRef]
- García-García, A.M.; Verbaarschot, J.J.M. Chiral random matrix model for critical statistics. Nucl. Phys. B 2000, 586, 668. [Google Scholar] [CrossRef][Green Version]
- Oganesyan, V.; Huse, D.A. Localization of interacting fermions at high temperature. Phys. Rev. B 2007, 75, 155111. [Google Scholar] [CrossRef]
- Atas, Y.Y.; Bogomolny, E.; Giraud, O.; Roux, G. Distribution of the Ratio of Consecutive Level Spacings in Random Matrix Ensembles. Phys. Rev. Lett. 2013, 110, 084101. [Google Scholar] [CrossRef]
- Slevin, K.; Ohtsuki, T. Corrections to Scaling at the Anderson Transition. Phys. Rev. Lett. 1999, 82, 382. [Google Scholar] [CrossRef]
- Kramer, B.; MacKinnon, A.; Ohtsuki, T.; Slevin, K. Finite size scaling analysis of the Anderson transition. Int. J. Mod. Phys. B 2010, 24, 1841. [Google Scholar] [CrossRef]
- Varga, I.; Hofstetter, E.; Schreiber, M.; Pipek, J. Shape analysis of the level-spacing distribution around the metal-insulator transition in the three-dimensional Anderson model. Phys. Rev. B 1995, 52, 7783. [Google Scholar] [CrossRef]
- Cuevas, E.; Kravtsov, V.E. Two-eigenfunction correlation in a multifractal metal and insulator. Phys. Rev. B 2007, 76, 235119. [Google Scholar] [CrossRef]
- Rodríguez, A.; Vasquez, L.J.; Römer, R.A. Multifractal Analysis with the Probability Density Function at the Three-Dimensional Anderson Transition. Phys. Rev. Lett. 2009, 102, 106406. [Google Scholar] [CrossRef]
- Rodríguez, A.; Vasquez, L.J.; Slevin, K.; Römer, R.A. Critical Parameters from a Generalized Multifractal Analysis at the Anderson Transition. Phys. Rev. Lett. 2010, 105, 046403. [Google Scholar] [CrossRef] [PubMed]
- Römer, R.A.; Schreiber, M. Numerical investigations of scaling at the Anderson transition. In Anderson Localization and Its Ramifications; Brandes, T., Kettemann, S., Eds.; Springer: Berlin/Heidelberg, Germany, 2003; pp. 3–19. [Google Scholar] [CrossRef]
- Ujfalusi, L.; Varga, I. Finite-size scaling and multifractality at the Anderson transition for the three Wigner-Dyson symmetry classes in three dimensions. Phys. Rev. B 2015, 91, 184206. [Google Scholar] [CrossRef]
- Slevin, K.; Ohtsuki, T. The Anderson transition: Time reversal symmetry and universality. Phys. Rev. Lett. 1997, 78, 4083. [Google Scholar] [CrossRef]
- Asada, Y.; Slevin, K.; Ohtsuki, T. Anderson transition in the three dimensional symplectic universality class. J. Phys. Soc. Jpn. 2005, 74, 238. [Google Scholar] [CrossRef][Green Version]
- Rodríguez, A.; Vasquez, L.J.; Slevin, K.; Römer, R.A. Multifractal finite-size scaling and universality at the Anderson transition. Phys. Rev. B 2011, 84, 134209. [Google Scholar] [CrossRef]
- Lindinger, J.; Rodríguez, A. Multifractal finite-size scaling at the Anderson transition in the unitary symmetry class. Phys. Rev. B 2017, 96, 134202. [Google Scholar] [CrossRef]
- Hikami, S.; Larkin, A.I.; Nagaoka, Y. Spin-Orbit Interaction and Magnetoresistance in the Two Dimensional Random System. Prog. Theor. Phys. 1980, 63, 707. [Google Scholar] [CrossRef]
- Wegner, F. Four-loop-order β-function of nonlinear σ-models in symmetric spaces. Nucl. Phys. B 1989, 316, 663. [Google Scholar] [CrossRef]
- Pruisken, A.M.M. On localization in the theory of the quantized Hall effect: A two-dimensional realization of the θ-vacuum. Nucl. Phys. B 1984, 235, 277. [Google Scholar] [CrossRef]
- Huckestein, B. Scaling theory of the integer quantum Hall effect. Rev. Mod. Phys. 1995, 67, 357. [Google Scholar] [CrossRef]
- Slevin, K.; Ohtsuki, T. Critical exponent for the quantum Hall transition. Phys. Rev. B 2009, 80, 041304. [Google Scholar] [CrossRef]
- Dresselhaus, E.J.; Sbierski, B.; Gruzberg, I.A. Numerical evidence for marginal scaling at the integer quantum Hall transition. arXiv 2021, arXiv:2101.01716. [Google Scholar]
- Zirnbauer, M.R. The integer quantum Hall plateau transition is a current algebra after all. Nucl. Phys. B 2019, 941, 458. [Google Scholar] [CrossRef]
- Xie, X.C.; Wang, X.; Liu, D. Kosterlitz-Thouless-type metal-insulator transition of a 2D electron gas in a random magnetic field. Phys. Rev. Lett. 1998, 80, 3563. [Google Scholar] [CrossRef]
- Berezinskiĭ, V.L. Destruction of long range order in one-dimensional and two-dimensional systems having a continuous symmetry group. I. Classical systems. Sov. Phys. JETP 1971, 32, 493. [Google Scholar]
- Berezinskiĭ, V.L. Destruction of long-range order in one-dimensional and two-dimensional systems possessing a continuous symmetry group. II. Quantum systems. Sov. Phys. JETP 1971, 34, 610. [Google Scholar]
- Kosterlitz, J.M.; Thouless, D.J. Ordering, metastability and phase transitions in two-dimensional systems. J. Phys. C Solid State Phys. 1973, 6, 1181. [Google Scholar] [CrossRef]
- Zhang, Y.Y.; Hu, J.; Bernevig, B.A.; Wang, X.R.; Xie, X.C.; Liu, W.M. Localization and the Kosterlitz-Thouless transition in disordered graphene. Phys. Rev. Lett. 2009, 102, 106401. [Google Scholar] [CrossRef] [PubMed]
- Weaire, D.; Srivastava, V. Numerical results for Anderson localisation in the presence of off-diagonal disorder. Solid State Commun. 1977, 23, 863. [Google Scholar] [CrossRef]
- Cain, P.; Römer, R.A.; Schreiber, M. Phase diagram of the three-dimensional Anderson model of localization with random hopping. Ann. Phys. (Leipzig) 1999, 8, 507. [Google Scholar]
- Biswas, P.; Cain, P.; Römer, R.A.; Schreiber, M. Off-Diagonal Disorder in the Anderson Model of Localization. Phys. Stat. Sol. 2000, 218, 205. [Google Scholar] [CrossRef]
- Evangelou, S.N.; Katsanos, D.E. Spectral statistics in chiral-orthogonal disordered systems. J. Phys. A 2003, 36, 3237. [Google Scholar] [CrossRef][Green Version]
- Wegner, F.J. Disordered system with n orbitals per site: n = ∞ limit. Phys. Rev. B 1979, 19, 783. [Google Scholar] [CrossRef]
- Oppermann, R.; Wegner, F. Disordered system with n orbitals per site: 1/n expansion. Z. Physik B 1979, 34, 327. [Google Scholar] [CrossRef]
- Gade, R.; Wegner, F. The n = 0 replica limit of U(n) and U(n)SO(n) models. Nucl. Phys. B 1991, 360, 213. [Google Scholar] [CrossRef]
- Gade, R. Anderson localization for sublattice models. Nucl. Phys. B 1993, 398, 499. [Google Scholar] [CrossRef]
- Fabrizio, M.; Castellani, C. Anderson localization in bipartite lattices. Nucl. Phys. B 2000, 583, 542. [Google Scholar] [CrossRef][Green Version]
- Motrunich, O.; Damle, K.; Huse, D.A. Particle-hole symmetric localization in two dimensions. Phys. Rev. B 2002, 65, 064206. [Google Scholar] [CrossRef]
- Mudry, C.; Ryu, S.; Furusaki, A. Density of states for the π-flux state with bipartite real random hopping only: A weak disorder approach. Phys. Rev. B 2003, 67, 064202. [Google Scholar] [CrossRef]
- Soukoulis, C.; Webman, I.; Grest, G.S.; Economou, E.N. Study of electronic states with off-diagonal disorder in two dimensions. Phys. Rev. B 1982, 26, 1838. [Google Scholar] [CrossRef]
- Eilmes, A.; Römer, R.A.; Schreiber, M. The two-dimensional Anderson model of localization with random hopping. Eur. Phys. J. B 1998, 1, 29. [Google Scholar] [CrossRef]
- Xiong, S.J.; Evangelou, S.N. Power-law localization in two and three dimensions with off-diagonal disorder. Phys. Rev. B 2001, 64, 113107. [Google Scholar] [CrossRef]
- Markoš, P.; Schweitzer, L. Critical conductance of two-dimensional chiral systems with random magnetic flux. Phys. Rev. B 2007, 76, 115318. [Google Scholar] [CrossRef]
- Schweitzer, L.; Markoš, P. Scaling at chiral quantum critical points in two dimensions. Phys. Rev. B 2012, 85, 195424. [Google Scholar] [CrossRef]
- Markoš, P.; Schweitzer, L. Logarithmic scaling of Lyapunov exponents in disordered chiral two-dimensional lattices. Phys. Rev. B 2010, 81, 205432. [Google Scholar] [CrossRef]
- Bocquet, M.; Chalker, J.T. Network models for localization problems belonging to the chiral symmetry classes. Phys. Rev. B 2003, 67, 054204. [Google Scholar] [CrossRef]
- König, E.J.; Ostrovsky, P.M.; Protopopov, I.V.; Mirlin, A.D. Metal-insulator transition in two-dimensional random fermion systems of chiral symmetry classes. Phys. Rev. B 2012, 85, 195130. [Google Scholar] [CrossRef]
- García-García, A.M.; Cuevas, E. Anderson transition in systems with chiral symmetry. Phys. Rev. B 2006, 74, 113101. [Google Scholar] [CrossRef]
- Luo, X.; Xu, B.; Ohtsuki, T.; Shindou, R. Critical behavior of Anderson transitions in three-dimensional orthogonal classes with particle-hole symmetries. Phys. Rev. B 2020, 101. [Google Scholar] [CrossRef]
- Wang, T.; Ohtsuki, T.; Shindou, R. Universality classes of the Anderson transition in three-dimensional symmetry classes AIII, BDI, C, D and CI. arXiv 2021, arXiv:2105.02500. [Google Scholar]
- Takaishi, T.; Sakakibara, K.; Ichinose, I.; Matsui, T. Localization and delocalization of fermions in a background of correlated spins. Phys. Rev. B 2018, 98, 184204. [Google Scholar] [CrossRef]
- Halász, Á.M.; Verbaarschot, J.J.M. Universal fluctuations in spectra of the lattice Dirac operator. Phys. Rev. Lett. 1995, 74, 3920. [Google Scholar] [CrossRef]
- Zvyagin, I. Charge Transport via Delocalized States in Disordered Materials. In Charge Transport in Disordered Solids with Applications in Electronics; John Wiley & Sons, Ltd.: Hoboken, NJ, USA, 2006; Chapter 1; pp. 1–47. [Google Scholar] [CrossRef]
- Verbaarschot, J.J.M.; Zahed, I. Random matrix theory and QCD in three-dimensions. Phys. Rev. Lett. 1994, 73, 2288. [Google Scholar] [CrossRef] [PubMed]
- Magnea, U. The Orthogonal ensemble of random matrices and QCD in three-dimensions. Phys. Rev. D 2000, 61, 056005. [Google Scholar] [CrossRef]
- Magnea, U. Three-dimensional QCD in the adjoint representation and random matrix theory. Phys. Rev. D 2000, 62, 016005. [Google Scholar] [CrossRef]
- Kieburg, M.; Verbaarschot, J.J.M.; Zafeiropoulos, S. Dirac spectra of two-dimensional QCD-like theories. Phys. Rev. D 2014, 90, 085013. [Google Scholar] [CrossRef]
- Verbaarschot, J.J.M. Universal scaling of the valence quark mass dependence of the chiral condensate. Phys. Lett. B 1996, 368, 137. [Google Scholar] [CrossRef][Green Version]
- Guhr, T.; Ma, J.Z.; Meyer, S.; Wilke, T. Statistical analysis and the equivalent of a Thouless energy in lattice QCD Dirac spectra. Phys. Rev. D 1999, 59, 054501. [Google Scholar] [CrossRef]
- Kogut, J.B.; Susskind, L. Hamiltonian Formulation of Wilson’s Lattice Gauge Theories. Phys. Rev. D 1975, 11, 395. [Google Scholar] [CrossRef]
- Banks, T.; Susskind, L.; Kogut, J.B. Strong Coupling Calculations of Lattice Gauge Theories: (1+1)-Dimensional Exercises. Phys. Rev. D 1976, 13, 1043. [Google Scholar] [CrossRef]
- Susskind, L. Lattice Fermions. Phys. Rev. D 1977, 16, 3031. [Google Scholar] [CrossRef]
- Narayanan, R.; Neuberger, H. Chiral determinant as an overlap of two vacua. Nucl. Phys. 1994, B412, 574. [Google Scholar] [CrossRef]
- Narayanan, R.; Neuberger, H. Chiral fermions on the lattice. Phys. Rev. Lett. 1993, 71, 3251. [Google Scholar] [CrossRef]
- Neuberger, H. Exactly massless quarks on the lattice. Phys. Lett. B 1998, 417, 141. [Google Scholar] [CrossRef]
- Neuberger, H. More about exactly massless quarks on the lattice. Phys. Lett. B 1998, 427, 353. [Google Scholar] [CrossRef]
- Bruckmann, F.; Keppeler, S.; Panero, M.; Wettig, T. Polyakov loops and spectral properties of the staggered Dirac operator. Phys. Rev. D 2008, 78, 034503. [Google Scholar] [CrossRef]
- Schäfer, T.; Shuryak, E.V. Instantons in QCD. Rev. Mod. Phys. 1998, 70, 323. [Google Scholar] [CrossRef]
- Bernard, C.; Burch, T.; DeTar, C.; Gottlieb, S.; Heller, U.M.; Hetrick, J.E.; Levkova, L.; Maresca, F.; Renner, D.B.; Sugar, R.; et al. The equation of state for QCD with 2+1 flavors of quarks. PoS 2006, LAT2005, 156. [Google Scholar] [CrossRef]
- Aubin, C.; Bernard, C.; DeTar, C.; Osborn, J.; Gottlieb, S.; Gregory, E.B.; Toussaint, D.; Heller, U.M.; Hetrick, J.E.; Sugar, R. Light hadrons with improved staggered quarks: Approaching the continuum limit. Phys. Rev. D 2004, 70, 094505. [Google Scholar] [CrossRef]
- Orginos, K.; Toussaint, D. Testing improved actions for dynamical Kogut-Susskind quarks. Phys. Rev. D 1999, 59, 014501. [Google Scholar] [CrossRef]
- Toussaint, D.; Orginos, K. Tests of improved Kogut-Susskind fermion actions. Nucl. Phys. B Proc. Suppl. 1999, 73, 909. [Google Scholar] [CrossRef]
- Lepage, P. Perturbative improvement for lattice QCD: An Update. Nucl. Phys. B Proc. Suppl. 1998, 60, 267. [Google Scholar] [CrossRef]
- Lepage, G.P. Flavor symmetry restoration and Symanzik improvement for staggered quarks. Phys. Rev. D 1999, 59, 074502. [Google Scholar] [CrossRef]
- Morningstar, C.; Peardon, M.J. Analytic smearing of SU(3) link variables in lattice QCD. Phys. Rev. D 2004, 69, 054501. [Google Scholar] [CrossRef]
- Aoki, Y.; Fodor, Z.; Katz, S.D.; Szabó, K.K. The Equation of state in lattice QCD: With physical quark masses towards the continuum limit. J. High Energy Phys. 2006, 1, 89. [Google Scholar] [CrossRef]
- Follana, E.; Mason, Q.; Davies, C.; Hornbostel, K.; Lepage, G.P.; Shigemitsu, J.; Trottier, H.; Wong, K. Highly improved staggered quarks on the lattice, with applications to charm physics. Phys. Rev. D 2007, 75, 054502. [Google Scholar] [CrossRef]
- Brower, R.C.; Neff, H.; Orginos, K. Möbius fermions: Improved domain wall chiral fermions. Nucl. Phys. B Proc. Suppl. 2005, 140, 686. [Google Scholar] [CrossRef]
- Brower, R.C.; Neff, H.; Orginos, K. Möbius fermions. Nucl. Phys. B Proc. Suppl. 2006, 153, 191. [Google Scholar] [CrossRef]
- Brower, R.C.; Neff, H.; Orginos, K. The Möbius domain wall fermion algorithm. Comput. Phys. Commun. 2017, 220, 1. [Google Scholar] [CrossRef]
- Holicki, L. Quark Localization and the Anderson Transition in Lattice Quantum Chromodynamics. Ph.D. Thesis, Giessen University, Giessen, Germany, 2019. [Google Scholar]
- Burger, F.; Hotzel, G.; Müller-Preussker, M.; Ilgenfritz, E.M.; Lombardo, M.P. Towards thermodynamics with Nf = 2 + 1 + 1 twisted mass quarks. PoS 2013, LATTICE2013, 153. [Google Scholar] [CrossRef][Green Version]
- Burger, F.; Ilgenfritz, E.M.; Lombardo, M.P.; Müller-Preussker, M.; Trunin, A. Towards the quark–gluon plasma Equation of State with dynamical strange and charm quarks. J. Phys. Conf. Ser. 2016, 668, 012092. [Google Scholar] [CrossRef]
- Burger, F.; Ilgenfritz, E.M.; Lombardo, M.P.; Müller-Preussker, M.; Trunin, A. Topology (and axion’s properties) from lattice QCD with a dynamical charm. Nucl. Phys. A 2017, 967, 880. [Google Scholar] [CrossRef]
- Diakonov, D. Topology and confinement. Nucl. Phys. B Proc. Suppl. 2009, 195, 5. [Google Scholar] [CrossRef]
- García Pérez, M.; González-Arroyo, A.; Pena, C.; van Baal, P. Weyl-Dirac zero mode for calorons. Phys. Rev. D 1999, 60, 031901. [Google Scholar] [CrossRef]
- Chernodub, M.N.; Kraan, T.C.; van Baal, P. Exact fermion zero mode for the new calorons. Nucl. Phys. B Proc. Suppl. 2000, 83, 556. [Google Scholar] [CrossRef]
- Lucini, B.; Teper, M.; Wenger, U. Properties of the deconfining phase transition in SU(N) gauge theories. J. High Energy Phys. 2005, 2, 33. [Google Scholar] [CrossRef]
- Liddle, J.; Teper, M. The Deconfining phase transition in D=2+1 SU(N) gauge theories. arXiv 2008, arXiv:0803.2128. [Google Scholar]
- Capitani, S.; Dürr, S.; Hoelbling, C. Rationale for UV-filtered clover fermions. J. High Energy Phys. 2006, 11, 028. [Google Scholar] [CrossRef]
- Barber, M.N. Finite-size scaling. In Phase Transitions and Critical Phenomena; Domb, C., Lebowitz, J.L., Eds.; Academic Press: London, UK, 1983; Volume 8, pp. 146–266. [Google Scholar]
- Karsch, F.; Laermann, E.; Schmidt, C. The Chiral critical point in three-flavor QCD. Phys. Lett. B 2001, 520, 41. [Google Scholar] [CrossRef]
- de Forcrand, P.; Philipsen, O. The QCD phase diagram for three degenerate flavors and small baryon density. Nucl. Phys. B 2003, 673, 170. [Google Scholar] [CrossRef]
- de Forcrand, P.; Philipsen, O. The Chiral critical point of Nf = 3 QCD at finite density to the order (μ/T)4. J. High Energy Phys. 2008, 11, 012. [Google Scholar] [CrossRef]
- Myers, J.C.; Ogilvie, M.C. New phases of SU(3) and SU(4) at finite temperature. Phys. Rev. D 2008, 77, 125030. [Google Scholar] [CrossRef]
- Ünsal, M.; Yaffe, L.G. Center-stabilized Yang-Mills theory: Confinement and large N volume independence. Phys. Rev. D 2008, 78, 065035. [Google Scholar] [CrossRef]
- Karsch, F.; Lütgemeier, M. Deconfinement and chiral symmetry restoration in an SU(3) gauge theory with adjoint fermions. Nucl. Phys. B 1999, 550, 449. [Google Scholar] [CrossRef][Green Version]

















| T | C | Class | ||
|---|---|---|---|---|
| Wigner-Dyson classes | ||||
| 0 | 0 | 0 | A | (unitary) |
| + | 0 | 0 | AI | (orthogonal) |
| − | 0 | 0 | AII | (symplectic) |
| chiral classes | ||||
| 0 | 0 | 1 | AIII | (chiral unitary) |
| + | + | 1 | BDI | (chiral orthogonal) |
| − | − | 1 | CII | (chiral symplectic) |
| Bogoliubov-de Gennes classes | ||||
| 0 | − | 0 | C | |
| + | − | 1 | CI | |
| 0 | + | 0 | D | |
| − | + | 1 | DIII | |
| Symmetry Class | Method | Reference | |
|---|---|---|---|
| orthogonal | localization length of quasi-1d bar | [141] | |
| multifractal finite-size scaling | [151] | ||
| multifractal finite-size scaling | [148] | ||
| unitary | localization length of quasi-1d bar | [149] | |
| multifractal finite-size scaling | [148] | ||
| multifractal finite-size scaling | [152] | ||
| symplectic | localization length of quasi-1d bar | [150] | |
| multifractal finite-size scaling | [148] |
Publisher’s Note: MDPI stays neutral with regard to jurisdictional claims in published maps and institutional affiliations. |
© 2021 by the authors. Licensee MDPI, Basel, Switzerland. This article is an open access article distributed under the terms and conditions of the Creative Commons Attribution (CC BY) license (https://creativecommons.org/licenses/by/4.0/).
Share and Cite
Giordano, M.; Kovács, T.G. Localization of Dirac Fermions in Finite-Temperature Gauge Theory. Universe 2021, 7, 194. https://doi.org/10.3390/universe7060194
Giordano M, Kovács TG. Localization of Dirac Fermions in Finite-Temperature Gauge Theory. Universe. 2021; 7(6):194. https://doi.org/10.3390/universe7060194
Chicago/Turabian StyleGiordano, Matteo, and Tamás G. Kovács. 2021. "Localization of Dirac Fermions in Finite-Temperature Gauge Theory" Universe 7, no. 6: 194. https://doi.org/10.3390/universe7060194
APA StyleGiordano, M., & Kovács, T. G. (2021). Localization of Dirac Fermions in Finite-Temperature Gauge Theory. Universe, 7(6), 194. https://doi.org/10.3390/universe7060194

