Æther as an Inevitable Consequence of Quantum Gravity
Abstract
1. Introduction
2. Vacuum State and QG
2.1. Quasi-Heisenberg Quantization and a Region of Small Scale Factor: Absence of Vacuum State
2.2. String-like Quantization within the Intermediate Region
2.3. Towards a Classical Background
3. Vacuum Energy Problem as a Criterion for Finding the Preferred Reference Frame
4. Cosmological Consequences of Residual Vacuum Energy
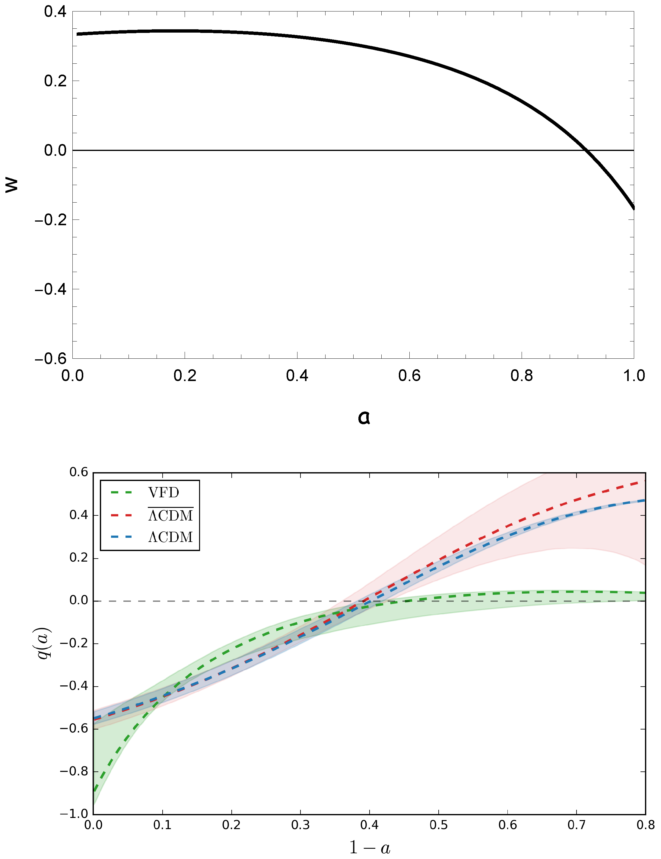
4.1. Nucleosynthesis in the Milne-like universe
4.2. Notes about Cosmic Microwave Background in the Slowly Expanding Cosmological Models
5. Size of Eicheon
6. Decoherence of the Particles Due to Gravitational Potential Fluctuations
7. Conclusions
Author Contributions
Funding
Data Availability Statement
Conflicts of Interest
Appendix A. Quasi-Heisenberg Quantization
| 1 | |
| 2 | It should be noted that a mutual cancellation of the bosonic and fermionic degrees of freedom removes all the vacuum energy but demands exact supersymmetry, which was not observed to date [33]. |
| 3 | However, when one compares from nucleosynthesis with from cosmological observations, the result could depend on the possible renormalization of the gravitational constant [56]. Then, the gravitational constant measured on the Earth or the solar system can differ from the constant used in cosmology for the uniform universe. |
| 4 | In CDM, the recombination turns out to be almost instantaneous, i.e., the last scattering surface is very thin. |
| 5 | The event horizon is a region of space-time that is causality disjointed from the rest of space-time. |
| 6 | The observations revealed the phenomena such as ultra-speed star motion, accretion disks around the super-massive and extremely compact objects (e.g., see [68,69]), and gravitational waves from colliding compact objects of stellar mass [70], which fit well in the black hole concept. However, the claims about “black hole discovery” should be treated with caution because these observations do not rule out completely the alternative theories (e.g., see [71]), which also admit the existence of extremely compact massive objects with the exterior mimicking a black hole. |
| 7 | Here, we obtain primitive geometrical formulas connecting the radius of a compact astrophysical object with its mass and density. To obtain nontrivial formulas expressing the radius of the object through its mass only, using the physical equation of state is needed, e.g., nucleonic matter or strange quark matter as it was done in the neutron star physics [73]. |
| 8 | It could be compared with properties of neutron and exotic stars [75]. |
References
- Schaffner, K.F. Nineteenth-Century Aether Theories; Pergamon: New York, NY, USA, 1972. [Google Scholar]
- Berestetskii, V.B.; Landau, L.; Lifshitz, E.; Pitaevskii, L.P. Quantum Electrodynamics; Butterworth-Heinemann: Oxford, UK, 1982. [Google Scholar]
- Klimchitskaya, G.L.; Mostepanenko, V.M. Experiment and theory in the Casimir effect. Contemp. Phys. 2006, 47, 131–144. [Google Scholar] [CrossRef]
- Mattingly, D. Modern tests of Lorentz invariance. Liv. Rev. Rel. 2005, 8, 1–84. [Google Scholar] [CrossRef] [PubMed]
- Dirac, P.A.M. Is there an Æther? Nature 1951, 168, 906–907. [Google Scholar] [CrossRef]
- Collins, J.; Perez, A.; Sudarsky, D. Lorentz invariance violation and its role in quantum gravity phenomenology. arXiv 2006, arXiv:hep-th/0603002. [Google Scholar]
- Jacobson, T. Einstein-Aether gravity: A status report. Proc. Sci. 2008, QG-Ph, 20. [Google Scholar] [CrossRef]
- Horava, P. Quantum gravity at a Lifshitz point. Phys. Rev. D 2009, 79, 084008. [Google Scholar] [CrossRef]
- Nilsson, N.A.; Czuchry, E. Horava-Lifshitz cosmology in light of new data. Phys. Dark Univ. 2019, 23, 100253. [Google Scholar] [CrossRef]
- Nilsson, N.A. Aspects of Lorentz and CPT Violation in Cosmology. Ph.D. Thesis, National Centre for Nuclear Research, Otwock-Świerk, Poland, 2020. [Google Scholar]
- Tureanu, A. CPT and Lorentz Invariance: Their Relation and Violation. J. Phys. Conf. Ser. 2013, 474, 012031. [Google Scholar] [CrossRef]
- Cherkas, S.L.; Batrakov, K.G.; Matsukevich, D. Testing of CP, CPT, and causality violation with light propagation in vacuum in the presence of uniform electric and magnetic fields. Phys. Rev. D 2002, 66, 065011. [Google Scholar] [CrossRef]
- Kostelecky, V.A.; Russell, N. Data tables for Lorentz and CPT violation. Rev. Mod. Phys. 2011, 83, 11–31. [Google Scholar] [CrossRef]
- Kostelecky, V.A.; Mewes, M. Lorentz and diffeomorphism violations in linearized gravity. Phys. Lett. B 2018, 779, 136–142. [Google Scholar] [CrossRef]
- Cherkas, S.L.; Kalashnikov, V.L. An approach to the theory of gravity with an arbitrary reference level of energy density. Proc. Natl. Acad. Sci. Belarus Ser. Phys.-Math. 2019, 55, 83–96. [Google Scholar] [CrossRef]
- Amelino-Camelia, G.; Ellis, J.; Mavromatos, N.; Nanopoulos, D.V.; Sarkar, S. Tests of quantum gravity from observations of γ-ray bursts. Nature 1998, 393, 763–765. [Google Scholar] [CrossRef]
- Cherkas, S.L.; Kalashnikov, V.L. An inhomogeneous toy model of the quantum gravity with the explicitly evolvable observables. Gen. Rel. Grav. 2012, 44, 3081–3102. [Google Scholar] [CrossRef][Green Version]
- Cherkas, S.L.; Kalashnikov, V.L. Quantum evolution of the Universe in the constrained quasi-Heisenberg picture: From quanta to classics? Grav. Cosmol. 2006, 12, 126–129. [Google Scholar]
- Mizner, C.W. A minisuperspace Example: The Gowdy T3 Cosmology. Phys. Rev. D 1973, 8, 3271–3285. [Google Scholar] [CrossRef]
- Green, M.B.; Schwarz, J.; Witten, E. Superstring Theory; Cambridge University Press: Cambridge, UK, 1987; Volume 1. [Google Scholar]
- Kaku, M. Introduction to Superstrings; Springer: New York, NY, USA, 2012. [Google Scholar]
- Kiritsis, E. String Theory in a Nutshell; Princeton University Press: Princeton, NJ, USA, 2019. [Google Scholar]
- Anischenko, S.; Cherkas, S.; Kalashnikov, V. Functional minimization method addressed to the vacuum finding for an arbitrary driven quantum oscillator. Nonlin. Phenom. Compl. Syst. 2009, 12, 16–26. [Google Scholar]
- Unruh, W.G. Notes on black-hole evaporation. Phys. Rev. D 1976, 14, 870–892. [Google Scholar] [CrossRef]
- Akhmedov, E.T.; Singleton, D. On the physical meaning of the Unruh effect. JETP Lett. 2008, 86, 615–619. [Google Scholar] [CrossRef]
- Arnowitt, R.; Deser, S.; Misner, C.W. Republication of: The dynamics of general relativity. Gen. Rel. Grav. 2008, 40, 1997–2027. [Google Scholar] [CrossRef]
- Lehmkuhl, D. The Equivalence Principle(s). 2019. Available online: http://philsci-archive.pitt.edu/17709/ (accessed on 12 August 2021).
- Knox, E. Effective spacetime geometry. Stud. Hist. Philos. Mod. Phys. 2013, 44, 346–356. [Google Scholar] [CrossRef]
- Shalyt-Margolin, A. The Quantum Field Theory Boundaries Applicability and Black Holes Thermodynamics. Int. J. Theor. Phys. 2021, 60, 1858–1869. [Google Scholar] [CrossRef]
- Pauli, W. Pauli Lectures on Physics: Vol 6, Selected Topics in Field Quantization; MIT Press: Cambridge, MA, USA, 1971. [Google Scholar]
- Visser, M. Lorentz Invariance and the Zero-Point Stress-Energy Tensor. Particles 2018, 1, 138–154. [Google Scholar] [CrossRef]
- Blinnikov, S.I.; Dolgov, A.D. Cosmological acceleration. Phys. Usp. 2019, 62, 529. [Google Scholar] [CrossRef]
- Autermann, C. Experimental status of supersymmetry after the LHC Run-I. Progr. Part Nucl. Phys. 2016, 90, 125–155. [Google Scholar] [CrossRef]
- Cherkas, S.; Kalashnikov, V. Dark-Energy-Matter from Vacuum owing to the General Covariance Violation. Nonlin. Phenom. Complex Syst. 2020, 23, 332–337. [Google Scholar] [CrossRef]
- Kowalski-Glikman, J.; Nowak, S. Non-commutative space-time of Doubly Special Relativity theories. Int. J. Mod. Phys. D 2003, 12, 299–315. [Google Scholar] [CrossRef]
- Pachol, A. Short review on noncommutative spacetimes. J. Phys. Conf. Ser. 2013, 442, 012039. [Google Scholar] [CrossRef]
- Mir-Kasimov, R.M. Noncommutative space-time and relativistic dynamics. Phys. Part. Nucl. 2017, 48, 309–318. [Google Scholar] [CrossRef]
- Dodelson, S. Modern Cosmology; Elsevier: Amsterdam, The Netherlands, 2003. [Google Scholar]
- Consoli, M.; Pluchino, A. The CMB, Preferred Reference System, and Dragging of Light in the Earth Frame. Universe 2021, 7. [Google Scholar] [CrossRef]
- Cherkas, S.L.; Kalashnikov, V.L. Determination of the UV cut-off from the observed value of the Universe acceleration. JCAP 2007, 1, 28. [Google Scholar] [CrossRef][Green Version]
- Cherkas, S.L.; Kalashnikov, V.L. Universe driven by the vacuum of scalar field: VFD model. In Proceedings of the International Conference “Problems of Practical Cosmology”, Saint Petersburg, Russia, 23–27 June 2008; pp. 135–140. [Google Scholar]
- Haridasu, B.S.; Cherkas, S.L.; Kalashnikov, V.L. A reference level of the Universe vacuum energy density and the astrophysical data. Fortschr. Phys. 2020, 68, 2000047. [Google Scholar] [CrossRef]
- Perlmutter, S. Supernovae, Dark Energy, and the Accelerating Universe. Phys. Today 2003, 56, 53. [Google Scholar] [CrossRef]
- Sultana, J. The Rh=ct universe and quintessence. MNRAS 2016, 457, 212–216. [Google Scholar] [CrossRef][Green Version]
- Klinkhamer, F.R.; Wang, Z.L. Instability of the big bang coordinate singularity in a Milne-like universe. arXiv 2019, arXiv:gr-qc/1911.11116. [Google Scholar]
- Wan, H.Y.; Cao, S.L.; Melia, F.; Zhang, T.J. Testing the Rh=ct universe jointly with the redshift-dependent expansion rate and angular-diameter and luminosity distances. Phys. Dark Univ. 2019, 26, 100405. [Google Scholar] [CrossRef]
- John, M.V. Rh=ct and the eternal coasting cosmological model. MNRAS Lett. 2019, 484, L35–L37. [Google Scholar] [CrossRef]
- Manfredi, G.; Rouet, J.L.; Miller, B.N.; Chardin, G. Structure formation in a Dirac-Milne universe: Comparison with the standard cosmological model. Phys. Rev. D 2020, 102, 103518. [Google Scholar] [CrossRef]
- Lewis, G.F.; Barnes, L.A. The one-way speed of light and the Milne universe. Publ. Astron. Soc. Aust. 2021, 38, e007. [Google Scholar] [CrossRef]
- Chardin, G.; Dubois, Y.; Manfredi, G.; Miller, B.; Stahl, C. MOND-like behavior in the Dirac–Milne universe. Astron. Astrophys. 2021, 652, A91. [Google Scholar] [CrossRef]
- Batra, A.; Lohiya, D.; Mahajan, S.; Mukherjee, A.; Ashtekar, A. Nucleosynthesis in a Universe with a Linearly Evolving Scale Factor. Int. J. Mod. Phys. D 2000, 9, 757–773. [Google Scholar] [CrossRef]
- Singh, G.; Lohiya, D. Inhomogeneous nucleosynthesis in linearly coasting cosmology. MNRAS 2018, 473, 14–19. [Google Scholar] [CrossRef]
- Lewis, G.; Barnes, L.; Kaushik, R. Primordial Nucleosynthesis in the Rh=ct cosmology: Pouring cold water on the Simmering Universe. MNRAS 2016, 460, stw1003. [Google Scholar] [CrossRef]
- Pitrou, C.; Coc, A.; Uzan, J.P.; Vangioni, E. Precision Big Bang Nucleosynthesis with the New Code PRIMAT. In Proceedings of the 15th International Symposium on Origin of Matter and Evolution of Galaxies, Kyoto University, Kyoto, Japan, 2–5 July 2019; p. 011034. [Google Scholar] [CrossRef]
- Pitrou, C.; Coc, A.; Uzan, J.P.; Vangioni, E. A new tension in the cosmological model from primordial deuterium? MNRAS 2021, 502, 2474–2481. [Google Scholar] [CrossRef]
- Cherkas, S.L.; Kalashnikov, V.L. Vacuum Polarization Instead of Dark Matter in a Galaxy. Universe 2022, 8, 456. [Google Scholar] [CrossRef]
- Cherkas, S.L.; Kalashnikov, V.L. The equation of vacuum state and the structure formation in universe. Vestnik Brest Univ. Ser. Fiz.-Mat. 2021, 1, 41–59. [Google Scholar]
- Cherkas, S.L.; Kalashnikov, V.L. Eicheons instead of Black holes. Phys. Scr. 2020, 95, 085009. [Google Scholar] [CrossRef]
- Carr, B.; Kuhnel, F. Primordial black holes as dark matter candidates. SciPost Phys. Lect. Notes 2022. [Google Scholar] [CrossRef]
- Cassisi, S.; Castellani, V. An Evolutionary Scenario for Primeval Stellar Populations. Astrophys. J. Suppl. 1993, 88, 509. [Google Scholar] [CrossRef]
- Coc, A.; Uzan, J.P.; Vangioni, E. Standard big bang nucleosynthesis and primordial CNO abundances after Planck. JCAP 2014, 2014, 050. [Google Scholar] [CrossRef]
- Woosley, S. Neutrino-induced nucleosynthesis and deuterium. Nature 1977, 269, 42–44. [Google Scholar] [CrossRef]
- Jedamzik, K. Cosmological deuterium production in non-standard scenarios. Planet. Space Sci. 2002, 50, 1239–1244. [Google Scholar] [CrossRef][Green Version]
- Cherkas, S.L.; Kalashnikov, V.L. Plasma perturbations and cosmic microwave background anisotropy in the linearly expanding Milne-like universe. In Fractional Dynamics, Anomalous Transport and Plasma Science; Skiadas, C.H., Ed.; Springer: Cham, Switzerland, 2018. [Google Scholar] [CrossRef]
- Fujii, H. Inconsistency of the Rh = ct Cosmology from the Viewpoint of the Redshift of the Cosmic Microwave Background Radiation. Res. Notes AAS 2020, 4, 72. [Google Scholar] [CrossRef]
- Tutusaus, I.; Lamine, B.; Blanchard, A.; Dupays, A.; Zolnierowski, Y.; Cohen-Tanugi, J.; Ealet, A.; Escoffier, S.; Le Fèvre, O.; Ilic, S.; et al. Power law cosmology model comparison with CMB scale information. Phys. Rev. D 2016, 94, 103511. [Google Scholar] [CrossRef]
- Lewis, A. Linear effects of perturbed recombination. Phys. Rev. D 2007, 76, 063001. [Google Scholar] [CrossRef]
- Gillessen, S.; Eisenhauer, F.; Trippe, S.; Alexander, T.; Genzel, R.; Martins, F.; Ott, T. Monitoring stellar orbits around the Massive Black Hole in the Galactic Center. Astrophys. J. 2009, 692, 1075. [Google Scholar] [CrossRef]
- Akiyama, K.; Algaba, J.C.; Alberdi, A.; Alef, W.; Anantua, R.; Asada, K.; Azulay, R.; Baczko, A.K.; Ball, D.; Balokovic, M.; et al. First M87 event horizon telescope results. VII. Polarization of the ring. Astrophys. J. Lett. 2021, 910, L12. [Google Scholar] [CrossRef]
- Abbott, B.P.; Abbott, R.; Abbott, T.D.; Abernathy, M.R.; Acernese, F.; Ackley, K.; Adams, C.; Adams, T.; Addesso, P.; Adhikari, R.X.; et al. Properties of the binary black hole merger GW150914. Phys. Rev. Lett. 2016, 116, 241102. [Google Scholar] [CrossRef] [PubMed]
- Konoplya, R.; Zhidenko, A. Detection of gravitational waves from black holes: Is there a window for alternative theories? Phys. Lett. B 2016, 756, 350–353. [Google Scholar] [CrossRef]
- Weinberg, S. Gravitation and Cosmology: Principles and Applications of the General Theory of Relativity; John Wiley & Sons: New York, NY, USA, 1972. [Google Scholar]
- Lattimer, J.M.; Prakash, M. Neutron Star Structure and the Equation of State. Astrophys. J. 2001, 550, 426–442. [Google Scholar] [CrossRef]
- Barrau, A.; Rovelli, C. Planck star phenomenology. Phys. Lett. B 2014, 739, 405–409. [Google Scholar] [CrossRef]
- Sandin, F. Compact stars in the standard model-and beyond. In How and Where to Go beyond the Standard Model; World Scientific: Singapore, 2007; pp. 411–420. [Google Scholar]
- Bambi, C.; Cárdenas-Avendaño, A.; Dauser, T.; García, J.A.; Nampalliwar, S. Testing the Kerr Black Hole Hypothesis Using X-ray Reflection Spectroscopy. Astrophys. J. 2017, 842, 76. [Google Scholar] [CrossRef]
- Agullo, I.; Cardoso, V.; del Rio, A.; Maggiore, M.; Pullin, J. Potential Gravitational Wave Signatures of Quantum Gravity. Phys. Rev. Lett. 2021, 126, 041302. [Google Scholar] [CrossRef] [PubMed]
- Dong, R.; Stojkovic, D. Gravitational wave echoes from black holes in massive gravity. Phys. Rev. D 2021, 103, 024058. [Google Scholar] [CrossRef]
- Cherkas, S.L.; Kalashnikov, V.L. Wave optics of quantum gravity for massive particles. Phys. Scr. 2021, 96, 115001. [Google Scholar] [CrossRef]
- Petruzziello, L.; Illuminati, F. Quantum gravitational decoherence from fluctuating minimal length and deformation parameter at the Planck scale. Nat. Commun. 2021, 12, 4449. [Google Scholar] [CrossRef]
- Belenchia, A.; Wald, R.M.; Giacomini, F.; Castro-Ruiz, E.; Brukner, C.; Aspelmeyer, M. Quantum superposition of massive objects and the quantization of gravity. Phys. Rev. D 2018, 98, 126009. [Google Scholar] [CrossRef]
- Carney, D. Newton, entanglement, and the graviton. Phys. Rev. D 2022, 105, 024029. [Google Scholar] [CrossRef]
- Danielson, D.L.; Satishchandran, G.; Wald, R.M. Gravitationally mediated entanglement: Newtonian field versus gravitons. Phys. Rev. D 2022, 105, 086001. [Google Scholar] [CrossRef]
- Christodoulou, M.; Di Biagio, A.; Aspelmeyer, M.; Brukner, C.; Rovelli, C.; Howl, R. Locally mediated entanglement through gravity from first principles. arXiv 2022, arXiv:quant-ph/2202.03368. [Google Scholar]
- Krisnanda, T.; Tham, G.Y.; Paternostro, M.; Paterek, T. Observable quantum entanglement due to gravity. NPJ Quantum Inf. 2020, 6, 1–6. [Google Scholar] [CrossRef]
- Gorbatsievich, A.K. Quantum Mechanics in General Relativity Theory: Basic Principles and Elementary Applications; BSU: Minsk, Belarus, 1985; Available online: https://scholar.google.ru/citations?view_op=view_citation&hl=ru&user=RTFZL9sAAAAJ&citation_for_view=RTFZL9sAAAAJ:u-x6o8ySG0sC (accessed on 3 November 2021).
- Martinez-Huerta, H.; Lang, R.G.; de Souza, V. Lorentz Invariance Violation Tests in Astroparticle Physics. Symmetry 2020, 12, 1232. [Google Scholar] [CrossRef]
- Wei, J.J.; Wu, X.F. Tests of Lorentz Invariance. arXiv 2021, arXiv:astro-ph/2111.02029. Available online: https://arxiv.org/abs/2111.02029 (accessed on 3 November 2021).
- Gonzalez-Diaz, P.; Garay, L. Quantum Closed Timelike Curves in General Relativity. In Recent Developments in General Relativity; Cianci, R., Collina, R., Francaviglia, M., Fre, P., Eds.; Springer: Genoa, Italy, 2002; pp. 459–463. [Google Scholar] [CrossRef]
- Bini, D.; Geralico, A. On the occurrence of Closed Timelike Curves and the observer’s point of view. Eur. Phys. J. Web Conf. 2013, 58, 01002. [Google Scholar] [CrossRef]
- Faizuddin, A. Type III spacetime with closed timelike curves. Progr. Phys. 2016, 12, 329–331. [Google Scholar]
- Novikov, I. An analysis of the operation of a time machine. JETP 1989, 95, 439–443. [Google Scholar]
- Wuthrich, C. Time travelling in emergent spacetime. arXiv 2019, arXiv:arXiv:1907.11167. [Google Scholar]
- Teo, E. Rotating traversable wormholes. Phys. Rev. D 1998, 58, 024014. [Google Scholar] [CrossRef]
- Herrero-Valea, M.; Liberati, S.; Santos-Garcia, R. Hawking radiation from universal horizons. JHEP 2021, 2021, 1–32. [Google Scholar] [CrossRef]
- Coogan, A.; Morrison, L.; Profumo, S. Direct Detection of Hawking Radiation from Asteroid-Mass Primordial Black Holes. Phys. Rev. Lett. 2021, 126, 171101. [Google Scholar] [CrossRef]
- Saraswat, K.; Afshordi, N. Extracting Hawking radiation near the horizon of AdS black holes. JHEP 2021, 2021, 1–47. [Google Scholar] [CrossRef]
- Cherkas, S.L.; Kalashnikov, V.L. Cosmological singularity as an informational seed for Everything. Nonlin. Phenom. Complex Syst. 2022, 25, 266–275. [Google Scholar] [CrossRef]
- Burdík, Č; Navrátil, O. Dirac formulation of free open string. Univ. J. Phys. Appl. 2007, 4, 487–506. [Google Scholar] [CrossRef]
- Cherkas, S.L.; Kalashnikov, V.L. Quantization of the inhomogeneous Bianchi I model: Quasi-Heisenberg picture. Nonlin. Phenom. Complex Syst. 2015, 18, 1–14. [Google Scholar]
- Cherkas, S.L.; Kalashnikov, V.L. Quantum evolution of the Universe from τ=0 in the constrained quasi-Heisenberg picture. In Proceedings of the VIIIth International School-seminar “The Actual Problems of Microworld Physics”, Gomel, Belarus, 25 July–5 August 2007; JINR: Dubna, Russia, 2007; Volume 1, p. 208. [Google Scholar]





| CDM | VFD | |
|---|---|---|
| H | 0.75 | |
| 2.6 | < | |
| 1.1 | < | |
| 7.9 | < | |
| 5.7 | ||
| 1.2 | < | |
| 9.2 | < | |
| 2.9 | < | |
| 3.3 | < | |
| 8.0 |
Publisher’s Note: MDPI stays neutral with regard to jurisdictional claims in published maps and institutional affiliations. |
© 2022 by the authors. Licensee MDPI, Basel, Switzerland. This article is an open access article distributed under the terms and conditions of the Creative Commons Attribution (CC BY) license (https://creativecommons.org/licenses/by/4.0/).
Share and Cite
Cherkas, S.; Kalashnikov, V. Æther as an Inevitable Consequence of Quantum Gravity. Universe 2022, 8, 626. https://doi.org/10.3390/universe8120626
Cherkas S, Kalashnikov V. Æther as an Inevitable Consequence of Quantum Gravity. Universe. 2022; 8(12):626. https://doi.org/10.3390/universe8120626
Chicago/Turabian StyleCherkas, Sergey, and Vladimir Kalashnikov. 2022. "Æther as an Inevitable Consequence of Quantum Gravity" Universe 8, no. 12: 626. https://doi.org/10.3390/universe8120626
APA StyleCherkas, S., & Kalashnikov, V. (2022). Æther as an Inevitable Consequence of Quantum Gravity. Universe, 8(12), 626. https://doi.org/10.3390/universe8120626

