Abstract
Candida species cause an opportunistic yeast infection called Candidiasis, which is responsible for more than 50,000 deaths every year around the world. Effective treatments against candidiasis caused by non-albicans Candida species such as C. glabrata, C. parapsilosis, C. aureus, and C. krusei are limited due to severe resistance to conventional antifungal drugs. Natural drimane sesquiterpenoids have shown promising antifungal properties against Candida yeast and have emerged as valuable candidates for developing new candidiasis therapies. In this work, we isolated isodrimeninol (C1) from barks of Drimys winteri and used it as starting material for the hemi-synthesis of four sesquiterpenoids by oxidation with pyridinium chlorochromate (PCC). The structure of the products (C2, C3, C4, and C5) was elucidated by 1D and 2D NMR spectroscopy resulting in C4 being a novel compound. Antifungal activity assays against C. albicans, C. glabrata, and C. krusei revealed that C4 exhibited an increased activity (IC50 of 75 μg/mL) compared to C1 (IC50 of 125 μg/mL) in all yeast strains. The antifungal activity of C1 and C4 was rationalized in terms of their capability to inhibit lanosterol 14-alpha demethylase using molecular docking, molecular dynamics simulations, and MM/GBSA binding free energy calculations. In silico analysis revealed that C1 and C4 bind to the outermost region of the catalytic site of 14-alpha demethylase and block the entrance of lanosterol (LAN) to the catalytic pocket. Binding free energy estimates suggested that C4 forms a more stable complex with the enzyme than C1, in agreement with the experimental evidence. Based on this new approach it is possible to design new drimane-type sesquiterpenoids for the control of Candida species as inhibitors of 14-alpha demethylase.
1. Introduction
Candidiasis is a common opportunistic yeast infection caused by Candida species that affects more than 250,000 people and causes more than 50,000 deaths every year [1]. Candida albicans is the leading cause of candidemia, but other species such as C. glabrata, C. parapsilosis, C. aureus, and C. krusei are also relevant for the development of these diseases [2]. Four types of drug are in use for the treatment of Candida infections, namely azoles (fluconazole, itraconazole, voriconazole), polyenes (amphotericin B), echinocandins (anidulafungin, caspofungin, and micafungin), and the pyrimidine flucytosine, but only fluconazole and echinocandins are recommended as first-line agents for invasive candidiasis [3]. Fluconazole is the most widely prescribed antifungal agent. This compound inhibits the enzyme lanosterol-C14α-demethylase (CYP51) responsible for ergosterol biosynthesis by lanosterol demethylation [4]. Ergosterol is a critical steroidal component of the fungal cell membranes. Inhibition of ergosterol synthesis creates an accumulation of 14-methyl sterols, leading to a fungistatic effect instead of a fungicide action. Several non-albicans Candida species show resistance to antifungal drugs, for instance Candida krusei is intrinsically resistant to antifungals, whereas Candida glabrata acquires resistance after exposure to antifungal agents by the overexpression of multidrug transporters [5,6]. These undesired effects highlight the relevance of discovering novel antifungal agents against yeast infections caused by Candida species.
Natural compounds are a valuable source of antifungals and have been traditionally used by First Nations people for the treatment of diverse diseases. For example, the Mapuche people in Chile use barks and leaves of the tree Drimys winteri for the treatment of skin injuries. Drimys winteri is rich in bioactive drimane sesquiterpenoids such as polygodial, which is a 1,4-dialdehyde with potent antifungal activity against Candida albicans and other fungal strains [7], as well as trypanocidal [8] and insecticidal properties [9]. Polygodial has a minimum inhibitory concentration (MIC) of 3 μg/mL against C. albicans which is around three times stronger than fluconazole [10,11]. Its activity is potentiated by combination with miconazole or anetole [10,11]. The antifungal properties of polygodial have been attributed to the reactivity of dialdehydes to amines, forming a pyrrole moiety that causes a covalent interaction with proteins. This, together with the hydrophobic interaction, can disrupt the membrane by a nonionic surface-active action [12]. Despite its antifungal activity, polygodial has a pungent flavor due to activation of transient receptor potential channels (TRP) [13], together with irritant properties in eyes and soft skin, that make the use of polygodial unviable.
Drimane sesquiterpenoids share a common structural core with lanosterol in the first two rings, thus they could reach the catalytic pocket of the enzyme lanosterol-C14α-demethylase and interfere with its functional activity, preventing ergosterol biosynthesis. This hypothesis opens new possibilities for the discovery and optimization of novel antifungal agents targeting lanosterol-C14α-demethylase starting from natural drimane sesquiterpenoids obtained from traditional Mapuche medicine sources such as Drimys winteri.
The phytochemical richness and pharmacological potential of Drimys winteri is remarkable. For example, bioactive sesquiterpene lactones such as cinnamolide and drimenin have been isolated from this source showing potent inhibitory activity against the human α4β2 nicotinic acetylcholine receptors that are involved in drug addiction [14]. Also, alcohols such as drimendiol have shown antibacterial quorum sensing activity [15,16] and they have been used as a scaffold for the hemisynthesis of nitrogenated derivatives with antifungal activity against Candida albicans [17]. In this work, we aim at obtaining novel drimane sesquiterpenoids from the partial oxidation of isodrimeninol (C1) isolated from barks of Drimys winteri. Our goal is to obtain hemi-synthetic derivatives with enhanced antifungal properties that can be used as novel molecular scaffolds to develop new drugs against Candida species.
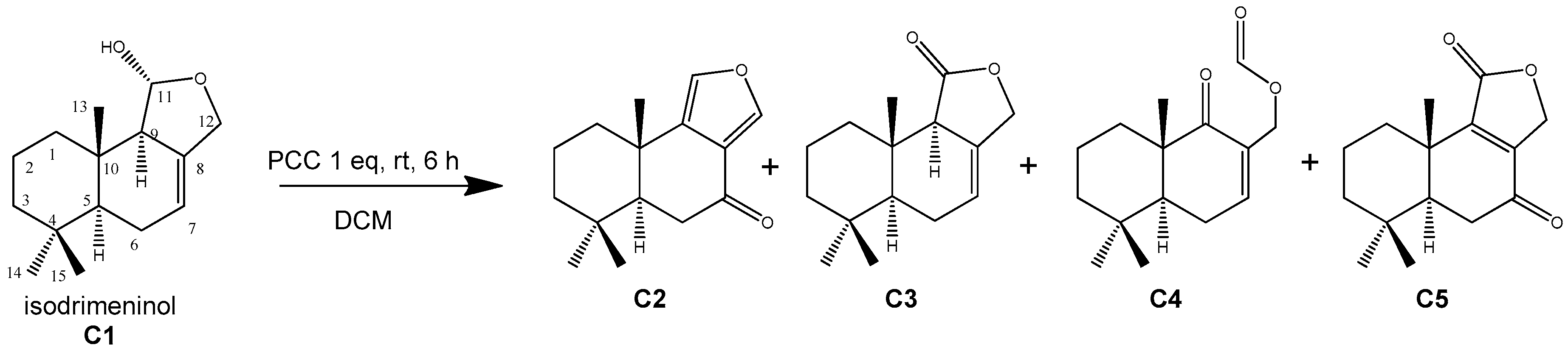
Here, we describe the isolation of isodrimeninol (C1) from barks of Drimys winteri by preparative column chromatography on silica gel and exclusion chromatography on sephadex Lh-20. C1 was partially oxidized by pyridinium chlorochromate (PCC) leading to four major products C2, C3, C4, and C5, which were fully elucidated by 1D and 2D NMR spectroscopic methods. In vitro antifungal activity of compounds C1–C5 was assessed in terms of their minimum inhibitory concentration (MIC) against C. albicans, C. glabrata and C. krusei. Our results revealed that C4 (IC50 of 75 μg/mL) exhibits an increased antifungal performance compared to C1 (IC50 of 125 μg/mL), whereas C2, C3, and C5 were inactive at concentrations lower than 200 μg/mL. The potential interaction of C4 and C1 drimane sesquiterpenoids with lanosterol-C14α-demethylase was investigated by molecular modelling methods such as molecular docking, molecular dynamics simulations and MM/GBSA binding free energy calculations. Molecular modelling suggests that C1 and C4 bind to the outermost region of the catalytic site of lanosterol 14-alpha demethylase in such a way that they block the entrance of lanosterol to the catalytic pocket. In silico analysis revealed that C4 exhibits a higher affinity toward the binding pocket compared to C1, in agreement with the experimental observations concerning their antifungal activity.
2. Materials and Methods
2.1. General Information
Analytical thin-layer chromatography (TLC) was carried out on Merck Silica Gel 60F254 sheets (Darmstadt, Germany). It was employed for monitoring the reaction progress and purification of the newly synthesized compounds, using an elution mixture of n-hexane: ethyl acetate = 9:1 and UV light (254 nm) together with molybdophosphoric acid and heating for visualization. Preparative chromatography was performed using Merck silica gel 60 and Sephadex LH-20 (25−100 μm; Aldrich, Santiago, Chile). Solvents and fractions were concentrated in a Büchi R100 rotavap. Solvents used in this study were distilled prior to use and dried over appropriate drying agents [18].
2.2. Purification of Isodrimeninol from Drimys Winteri
The purification of isodrimeninol (C1) was done by preparative column chromatography from a sub-fraction of Drimys winteri, previously extracted from barks of the tree macerated with ethyl acetate (EtOAc), which was kept at −80 °C with the code F5 [14]. In this work, the fraction F5 was further purified by Silica gel column chromatography. The compound eluted with a mixture of solvents at 4:1 hexane/EtOAc giving a concentrate rich in C1 together with the lignan sesamin. The mixture was once more eluted though sephadex Lh-20 with isopropanol as eluent to give a clear oil identified as C1 (isodrimeninol, 5.56 g, colorless oil, 0.059% yield).
2.3. Oxidation of C1 with Pyridinium Chlorochromate (PCC)
To a solution of C1 (236 g/mol, 0.424 mmol) in dichloromethane (20 mL) was added dropwise 1 equivalent of PCC (215.5 g/mol, 91.4 mg). Then, the reaction mixture was stirred at room temperature under nitrogen atmosphere for 6 h. The solvent was removed under vacuum and the gummy residue was further purified by silica gel column chromatography with hexane/EtOAc (9:1 v/v). The products were obtained in the following order: C2 (232 g/mol, 19.5 mg, 20% yield), C3 (234 g/mol, 9.8 mg, 10% yield), C4 (250 g/mol, 40.3 mg, 38% yield), C5 (248 g/mol, 21.0 mg, 20% yield).
2.4. Structural Identification of Compounds
The structures of compounds C1–C5 were elucidated by 1D and 2D NMR. The 1H- and 13C NMR spectra were recorded in CDCl3 solution in 5 mm tubes at RT on a Bruker Avance III 600 MHz spectrometer (Bruker Biospin GmbH, Rheinstetten, Germany) at 600.13 (1H) and 150.61 (13C) MHz, with the deuterium signal of the solvent as the lock and TMS (for 1H) or the solvent (for 13C) as internal standard. All spectra (1H, 13C, gs-H,H−COSY, edited HSQC, and gs-HMBC) were acquired and processed with the standard Bruker software.
2.5. Antifungal Assays against Candida Species
Yeast strains C. albicans ATCC 90028, C. glabrata ATCC 90,030 and C. krusei ATCC 6258 were acquired from the Laboratorio de Investigación en Agentes Antibacterianos (LIAA), Departamento de Microbiología, Universidad de Concepción. The in vitro antifungal assay was performed in triplicate by using the microdilution broth method in 96-well microplates according to the recommendations of the Clinical and Laboratory Standards Institute [CLSI 2018]. Briefly, samples were dissolved in dimethyl sulfoxide (DMSO) at 1 mg/mL, followed by dilution in culture media (RPMI) to achieve concentrations from 200 to 1 μg/mL. The inoculum was adjusted to yield cell concentration of 2.5 × 103 UFC/mL, the final DMSO content was 5% (v/v). One inoculated well was included as microorganism growth control. One non-inoculated well was included to ensure medium sterility. Fluconazole was used as a positive control at concentrations of 100, 75, 50, 25, 12, 8, and 4 μg/mL. Microplates were incubated at 37 °C for 48 h. The MIC values were determined in triplicate, at 24 h, as the lowest concentrations of each compound capable of inhibiting microorganism growth by visual inspection, compared to growth control.
2.6. Simulated Systems
The protein and LAN coordinates for LAN in complex with Saccharomyces cerevisiae lanosterol 14-alpha demethylase were retrieved from the crystallographic model with protein data bank PDB code 4LXJ. This structure was obtained from X-ray data with 1.90 Å resolution. Before simulation, the protein structure was checked to fix protein discontinuities considering the UNIPROT code P10614 and protonation states were set to pH 6.5 using the H++ web server [19,20]. The initial coordinates for compound C1 were retrieved from the ZINC database under the code ZINC15148130 [21]. The structure of compound C1 was employed as template to manually build the coordinates of compound C4 using the Molefacture Plugin V1.5 implemented in the Visual Molecular Dynamics (VMD) software [22].
2.7. Molecular Docking Calculations
Blind protein–ligand molecular docking calculations were carried out to obtain the initial guess structures for the 14-alpha demethylase complexes with compounds C1 and C4. To this aim the CB-Dock web server for cavity detection-guided protein–ligand blind docking calculations was employed [23]. CB-Dock predicts binding sites of a given protein, calculates the centers and sizes with a novel curvature-based cavity detection approach, and performs ligand docking with Autodock Vina [24]. The conformation with the highest rank according to docking score was selected to obtain equilibrated structures of the 14-alpha demethylase complexes using molecular dynamics simulations.
2.8. Molecular Dynamics Simulations
Fully atomistic molecular dynamics (MD) simulations on 14-alpha demethylase complexes with compounds C1 and C4 were carried out to retrieve information regarding the possible molecular mechanism of action of these ligands as antifungal agents. Additionally, MD simulations were carried out in the ligand free protein and in the lanosterol (LAN) complex with 14-alpha demethylase as reference systems. Protein structure parameters were retrieved from the ff14SB force field. Simulation parameters for C1, C4 and LAN consistent with the GAFF force field were obtained using the ANTECHAMBER module in the AMBER16 software with AM1-BCC atomic charges 25. Simulated systems were solvated in a cubic box of 10 Å length using a TIP3P explicit water model, adding Cl- ions to maintain charge neutrality. MD simulations were performed using the pmemd.cuda program implemented in the AMBER16 software. MD protocol consisted of: (a) 1500 steepest descent minimization steps followed by 3500 conjugate gradient minimization steps for water molecules relaxation, (b) 1500 steepest descent minimization steps followed by 6500 conjugate gradient minimization steps for the entire system, (c) 500 ps of progressive NVT heating from 0 to 300 K (d) 500 ps of NVT equilibrium at 300 K with restrains applied to protein backbone, (e) 20 ns of NVT equilibrium at 300 K, and finally (f) 150 ns of unrestrained NPT production dynamics at 300 K and 1 bar from which production data were collected. During MD simulations, the cutoff for non-bonded terms was 10 Å, long-range electrostatics were treated using the particle-mesh Ewald approach, and the SHAKE algorithm was employed to constrain all bonds involving hydrogen [25,26].
2.9. Trajectory Analysis
The last 50 ns of MD trajectories were used to retrieve structural and energetic information regarding the association of C1, C4, and LAN to 14-alpha demethylase. Trajectory alignment and root-mean-square deviation (RMSD) for Cα atoms were carried out using MDLovoFit functionalities [27]. MM/GBSA binding free energy calculations were carried out to estimate the strength of protein–ligand interactions using the MMPBSA.py module in Amber16, under a single trajectory approach [27]. GB calculations were carried out using the modified GB model (igb = 5) with mbondi2, and α, β, and γ values of 1.0, 0.8, and 4.85, respectively. Dielectric constants for the solvent and the protein were set to 80 and 1, respectively. A salt concentration of 0.15 mol L−1 was considered in this process to mimic physiological conditions for binding free energy estimates. The entropic term was not included in our calculations due to the size of the systems under study.
3. Results
3.1. Hemisynthetic Compounds by Oxidation of Isodrimeninol
The purification of the fraction F5 gave the drimane sesquiterpenoid isodrimeninol (C1) and the furofuran lignan sesamin. Oxidation of C1 with PCC furnished four products C2–C5. The structures of each compound are given in Scheme 1.
Scheme 1.
Molecular structures of drimane derivatives obtained by PCC oxidation of isodrimeninol.
Compounds C2, C3, C4, and C5 were characterized by 1D and 2D NMR spectroscopy. 1H-NMR and 13C-NMR results are summarized in the Table 1 and Table 2.
Table 1.
1H-NMR (600 MHz, in CDCl3.δ in ppm. J in Hz) results for sesquiterpenoids.
Table 2.
13C-NMR (150 MHz, CDCl3. δ in ppm) results for sesquiterpenoids.
C1, (1R,5aS,9aS,9bR)-6,6,9a-trimethyl-1,3,5,5a,6,7,8,9,9a,9b-decahydronaphtho [1 ,2-c]furan-1-ol), also called isodrimeninol, is an 11R-configured hemiacetal, while compound C2 is a furan obtained in a 20% yield, ((5aS,9aS)-6,6,9a-trimethyl-5a,6,7,8,9,9a-hexahydronaphtho[1,2-c]furan-4(5H)-one). Compound C3, (5aS,9aS,9bR)-6,6,9a-trimethyl-5,5a,6,7,8,9,9a,9b-octahydronaphtho[1,2-c]furan-1(3H)-one), also called drimenin, was purified by column chromatography in 10% yield after crystallization. C4, ((4aS,8aS)-5,5,8a-trimethyl-1-oxo-1,4,4a,5,6,7,8,8a-octahydronaphthalen-2-yl)methyl formate) was obtained in 38% yield, while compound C5, (7-ketoisodrimenine, (5aS,9aS)-6,6,9a-trimethyl-5a,6,7,8,9,9a-hexahydronaphtho[1,2-c]furan-1,4(3H,5H)-dione) was purified in 20% yield.
3.2. Anti-Candida Activity Assay
The broth microdilution method was employed for the determination of MIC values. Stock solutions (1 mg/mL) were prepared by dissolving the tested compounds and the reference antifungal drug, fluconazole, in sterile DMSO. The obtained values are presented in Table 3.
Table 3.
The minimum inhibitory concentration values (MIC, μg/mL) of the compounds C1-C4, n = 3.
3.3. In Silico Assay
Protein–ligand docking, and fully atomistic MD simulations were carried out to examine the molecular details of the association of 14-alpha demethylase complexes with compounds C1 and C4 as a molecular level approach to support the in vitro antifungal activity of these ligands. The structure of the LAN complex with 14-alpha demethylase was considered as a reference model for comparative purposes. Protein-ligand docking was carried out with the entire protein structure using the automated CB-Dock server. Blind docking was carried out to detect the suitable binding sites for each ligand followed by an automatic adjustment of cavity center and docking box size. A docking box size of 34 × 24 × 18 Å3 centered in the LAN binding cavity was chosen to conduct the ligand-protein protocol resulting in a series of bound poses for each compound. The best ranked poses for C1 and C4 are displayed in Figure 1.
Figure 1.
Best ranked binding poses for the association of C1 (purple) and C4 (green) to 14-alpha demethylase obtained from protein-ligand docking calculations with the CB-dock server. Structural superposition between the 14-alpha demethylase complexes with C1 (purple), C4 (green) and LAN (orange) obtained protein–ligand docking calculations.
The best ranked docked structures for 14-alpha demethylase complexes with C1 and C4 were subjected to 150 unrestrained MD simulations to examine the structural and energetic details related to their association to the target protein. MD trajectory analysis was carried out to verify the temporal stability of the docking predictions and to retrieve equilibrated structural and energetic information regarding the relative affinity of these ligands toward the target enzyme. Ligand RMSD plots for protein-aligned trajectories revealed that all systems reached equilibrium after the first 50 ns of MD simulations (Figure 2a). According to MD equilibrated trajectories, both compounds showed ability to block the entrance of the catalytic substrate to the reactive domain of the enzyme (Figure 2b). Time evolution plots for the binding poses of C1, C4, and LAN indicate that all ligands adopt a fixed location within the 14-alpha demethylase complexes with very small displacements in their binding poses along the simulation run (Figure 2c).
Figure 2.
(a) Ligand RMSD (Å) calculations for 14-alpha demethylase complexes with C1 (purple), C4 (green) and LAN (orange) obtained from protein-aligned trajectories during the last 50 ns out of 150 ns MD simulations. (b) Representative equilibrated structures for 14-alpha demethylase complexes with C1 (purple), C4 (green) and LAN (orange) obtained from the analysis of 50 ns out of 150 ns MD trajectories. (c) Time evolution of the binding poses of C1 (purple), C4 (green) and LAN (orange) in complex with 14-alpha demethylase during the last 50 ns out of 150 ns MD trajectories.
Trajectory analysis during the last 50 ns out of 150 ns MD runs was employed to identify the protein residues responsible for C1 and C4 association to 14-alpha demethylase, Figure 3. Our results revealed that both compounds exhibited similar interaction patterns with the LAN binding site with predominance of hydrophobic residues of the binding pocket. Common binding site residues are Tyr72, Leu95, Leu96, Arg98, Met100, Phe241, Phe384, and Met509.
Figure 3.
Binding site residues for C1 (purple) and C4 (green) complexes with 14-alpha demethylase predicted from the analysis of the last 50 ns out of 150 ns MD simulations. Common binding site residues are highlighted in the chart.
MM/GBSA binding free energy calculations were carried out to obtain a quantitative estimate of the strength of the intermolecular association in C1 (purple) and C4 (green) complexes with 14-alpha demethylase. Binding free energy estimates are reported in Table 4 and account for an enhanced affinity of C4 toward the binding cavity in the target protein compared to C1, in agreement with the results of our in vitro studies.
Table 4.
MM/GBSA binding free energy estimates for the association of C1, C4 and LAN to 14-alpha demethylase. Data was obtained from 1000 frames retrieved from the last 50 ns out of 150 ns MD trajectories. Data is reported as average ± standard error of the mean in kcal mol−1.
4. Discussion
Isodrimeninol, C1, was first isolated from Polygonum hydropiper [28] and later from the tree Drimys winteri [29]. This compound is also accessible in 11 steps from zamoranic acid [30]. Its oxidation with 1 equivalent of PCC for 6 h in dichloromethane at room temperature produced four compounds identified by 1D and 2D NMR and summarized in Scheme 1 and Table 1 and Table 2. The compound C2 was previously synthesized from a manool derived diene in a multiple step synthesis [31] and from a sclareol derived diene in four steps, involving unselective photooxygenation reactions [32]. Analytical data obtained by us match those reported in the literature. A plausible pathway for the formation of C2 involves allylic oxidation with double bond migration and elimination of water, which is facilitated by the well-known slightly acidic character of the PCC reagent [33]. Compound C3, also called drimenin, an annellated β-alkylidene-γ-lactone, was previously isolated from Drimys winteri [14], but has also been synthesized from racemic albicanol via lipase catalyzed kinetic resolution in a multiple step approach [34]. Analytical data obtained by us match those previously reported. The compound C4 has a decalinone skeleton and is the main product of the PCC oxidation of isodrimeninol, accounting for 38% of the total yield of oxidation products. This compound has not been described in the literature, but it presumably results from an acid catalyzed elimination of water from the hemiacetal structure of C1, followed by oxidative cleavage of the C-C-double bond of the newly formed enol ether. Precedence for the oxidative cleavage of enol ether double bonds exists in the literature [35]. Compound C5 is a 1,4-dicarbonyl compound with a keto group at position 7. It was first isolated from Porella cordeana [36], but has also been synthesized from the same manool derived diene as compound C2 [31]. Our analytical data agree with previously reported information for this compound.
The activity of synthetized compounds was evaluated in terms of the minimum inhibitory concentration values (MIC, μg/mL) against three Candidas yeast: C. albicans ATCC 90028; C. glabrata ATCC 90,030 and C. krusei ATCC 6258 by the broth microdilution method. Our results reveal that C1 and C4 show MIC values lower than 200 μg/mL, while C4 showed the highest activity for the three strains assayed in this work, with a MIC value of 75 μg/mL. its activity against C. krusei is comparable with fluconazole. Protein–ligand docking predicted that C1 and C4 bind to the outermost region of the catalytic site of 14-alpha demethylase in such a way that they are able to block the entrance of any substrate to the catalytic pocket (Figure 1). According to protein–ligand docking calculations, the bound structures of C1 and C4 partially overlap with the aliphatic region of bound LAN in the 4LXJ crystallographic model as revealed by the structural superposition of the binding poses predicted for C1 and C4 and the crystallographic model for 14-alpha demethylase-LAN complex. MD simulations and ligand RMSD plots for protein-aligned trajectories revealed that all systems reached equilibrium after the first 50 ns of MD simulations (Figure 2a). Representative equilibrated structures for the 14-alpha demethylase complexes with C1, C4, and LAN confirmed that these ligands adopt binding poses that block the entrance of the catalytic substrate to the reactive domain of the enzyme (Figure 2b). Time evolution plots for the binding poses of C1, C4, and LAN indicate that all ligands keep a fixed location within the 14-alpha demethylase complexes with very small displacements in their binding poses along the simulation run (Figure 2c). MD simulations revealed that both ligands share a common binding pocket that mostly composed by hydrophobic protein residues (Figure 3), thus suggesting the predominance of van der Waals and hydrophobic interactions as main driving forces for the intermolecular association of C1 and C4 with 14-alpha demethylase. Binding free energy estimates predicted an enhanced affinity of C4 toward the binding cavity in the target protein compared to C1, which is an auspicious result concerning the structural hypothesis that underlies this work. In this regard, the improved antifungal activity observed for C4 could be related to a strengthened binding to 14-alpha demethylase. Neither C1 nor C4 were predicted to have a higher binding affinity toward the enzyme compared to LAN, which can be attributed to the significantly larger molecular size and hydrophobic surface of this latter ligand compared with C1 and C4. Still, binding free energy estimates obtained for C1 and C4 association to 14-alpha demethylase suggest that both ligands act by forming stable complexes that block the entrance of the natural substrate leading to an inhibition of the enzymatic activity. The structural hypothesis that relates the antifungal activity of C1 and C4 with their association to the active site of 14-alpha demethylase is supported by extensive related experimental information showing the relationship between the inhibition of 14-alpha demethylase and the antifungal activity of ligands targeting this protein, such in the case of azole drugs [37]. However, no information is available about the inhibition of this key enzyme by related bicyclic natural compounds.
5. Conclusions
Candidiasis is the infection caused by the yeast Candida, among them Candida albicans is the most prevalent species. This infection can affect cutaneous, mucosal, and deep-seated organs, and in many developed countries, Candida spp. rank in the top three or four pathogens causing health-care-associated bloodstream infections [1]. Candidiasis caused by non-albicans Candida have a remarkable geographic variation. For instance, resistance in C. glabrata is more common in North America but was not detected in Asia-Pacific and Latin America, and C. parapsilosis with resistance to fluconazole was noted in Europe, but it was not detected in Asia-Pacific or Latin America, while Candida krusei resistance to azole have been observed only in North America [38].
The use of fluconazole as the first drug used in antifungal therapy has led to the development of resistance in Candida species emerging a new global concern, the non-albicans Candida resistance to drugs [39]. Drimane sesquiterpenoids have been an important source of drugs, among them polygodial, which displays a potent activity against many fungal strains. For instance, against C. albicans polygodial displays a MIC of 3 μg/mL, which is around three times stronger than fluconazole [10,11], but in spite of its antifungal activity polygodial has a pungent flavor due to activation of TRP channels, together with irritant properties in eyes and soft skin, that make the use of polygodial unviable. Its activity has been attributed to the reactivity of dialdehydes to amines, forming a pyrrole moiety that causes a covalent interaction with proteins. This, together with the hydrophobic interaction, can disrupt the membrane by a nonionic surface-active action. Here, we have shown that the drimane sesquiterpenoid moiety is similar to the first two cycles of lanosterol, then the drimane could also interact with the enzyme 14-alpha demethylase. In order to prove this idea, we have purified isodrimeninol from Drimys winteri which was used as a starting material for the synthesis of four new sesquiterpenoids, which revealed important differences in their structures, such as the activation of position 7 by a keto moiety in C2 and C5, the non-conjugated lactone C3, and cleavage of the third cycle in C4. The antifungal potential for the five compounds was evaluated in vitro against three pathogenic Candida strains in terms of MIC. The results show that C4, a hitherto unknown compound, displays better antifungal activity than the other compounds against the three Candida strains, with the same MIC of 75 μg/mL. Apparently the five membered ring decreases the inhibitory activity of the molecule. Further in silico studies were performed toward fungal lanosterol-C14α-demethylase (CYP51), with the objective to investigate the molecular mechanism of action of the synthesized compounds. The molecular docking study and molecular dynamics suggest that C1 and C4 bind almost in the same position to the enzyme in such a way, that they block the entrance of lanosterol to the catalytic pocket with a good free binding energy toward the target enzyme of −25.7 and −30.7 kcal mol−1, respectively. The suggestion that C4 displays a more stable complex with the enzyme is in accord with the inhibitory activity in vitro, where C4 has an IC50 value of 75 μg/mL, compared to 125 μg/mL for C1. In spite of the moderate activity of C4, this new evidence makes it possible to design new drimane-type sesquiterpenoids for the control of Candida yeast by inhibition of the synthesis of ergosterol.
Author Contributions
V.M. and A.I. purified the compounds; A.O. performed the experiments against Candida; B.S. and M.H. analyzed the NMR data; L.O. and C.P. designed the experiments; V.A.J. performed the analysis in silico. All authors have read and agreed to the published version of the manuscript.
Funding
This research was funded by ANID of Chilean Government with the grant number 11181076 to CP. Computational modelling resources were provided by FONDECYT Grant number 1160060 (V.A.J).
Conflicts of Interest
The authors declare no conflict of interest.
References
- Kullberg, B.J.; Arendrup, M.C. Invasive candidiasis. N. Eng. J. Med. 2015, 373, 1445–1456. [Google Scholar] [CrossRef]
- Silva, S.; Negri, M.; Henriques, M.; Oliveira, R.; Williams, D.W.; Azeredo, J. Candida glabrata, Candida parapsilosis and Candida tropicalis: Biology, epidemiology, pathogenicity and antifungal resistance. FEMS Microbiol. Rev. 2012, 36, 288–305. [Google Scholar] [CrossRef]
- Arendrup, M.C.; Patterson, T.F. Multidrug-resistant Candida: Epidemiology, molecular mechanisms, and treatment. Int. J. Infect. Dis. 2017, 216, S445–S451. [Google Scholar] [CrossRef]
- Spampinato, C.; Leonardi, D. Candida infections, causes, targets, and resistance mechanisms: Traditional and alternative antifungal agents. Biomed. Res. Int. 2013, 2013, 13. [Google Scholar] [CrossRef] [PubMed]
- Whaley, S.G.; Berkow, E.L.; Rybak, J.M.; Nishimoto, A.T.; Barker, K.S.; Rogers, P.D. Azole antifungal resistance in Candida albicans and emerging non-albicans Candida species. Front. Microbiol. 2017, 7, 2173. [Google Scholar] [CrossRef]
- Whaley, S.G.; Rogers, P.D. Azole resistance in Candida glabrata. Curr. Infect. Dis. Rep. 2016, 18, 41. [Google Scholar] [CrossRef] [PubMed]
- Lee, S.H.; Lee, J.R.; Lunde, C.S.; Kubo, I. In Vitro Anti-Fungal Susceptibilities of Candida albicans and Other Fungal Pathogens to Polygodial, a Sesquiterpene Dialdehyde. Planta Med. 1999, 65, 204–208. [Google Scholar] [CrossRef] [PubMed]
- Bombaça, A.C.S.; Von Dossow, D.; Barbosa, J.M.C.; Paz, C.; Burgos, V.; Menna-Barreto, R.F.S. TrypanocidalActivity of Natural Sesquiterpenoids Involves Mitochondrial Dysfunction, ROS Production and Autophagic Phenotype in Trypanosoma cruzi. Molecules 2018, 23, 2800. [Google Scholar] [CrossRef]
- Paz, C.; Burgos, V.; Iturra, A.; Rebolledo, R.; Ortiz, L.; Baggio, R.; Cespedes-Acuña, C.L. Assessment of insecticidal responses of extracts and compounds of Drimys winteri, Lobelia tupa, Viola portalesia and Vestia foetida against the granary weevil Sitophilus granarius. Ind. Crops Prod. 2018, 122, 232–238. [Google Scholar] [CrossRef]
- Kubo, I.; Lee, S.H.; Shimizu, K. Combination Effect of Miconazole with Polygodial against Candida albicans. J. Med. Microbiol. 2011, 1, 7–11. [Google Scholar]
- Kubo, I.; Himejima, M. Anethole, a Synergist of Polygodial against Filamentous Microorganisms. J. Agric. Food Chem. 1991, 39, 2290–2292. [Google Scholar] [CrossRef]
- Kubo, I.; Fujita, K.; Lee, S.H. Antifungal Mechanism of Polygodial. J. Agric. Food Chem. 2001, 49, 1607–1611. [Google Scholar] [CrossRef] [PubMed]
- Iwasaki, Y.; Tanabe, M.; Kayama, Y.; Abe, M.; Kashio, M.; Koizumi, K.; Okumura, Y.; Morimitsu, Y.; Tominaga, M.; Ozawa, Y.; et al. Miogadial and miogatrial with α,β-unsaturated 1,4-dialdehyde moieties—Novel and potent TRPA1 agonists. Life Sci. 2009, 85, 60–69. [Google Scholar] [CrossRef] [PubMed]
- Arias, H.R.; Feuerbach, D.; Schmidt, B.; Heydenreich, M.; Paz, C.; Ortells, M.O. Drimane sesquiterpenoids noncompetitively inhibit human α4β2 nicotinic acetylcholine receptors with higher potency compared to human α3β4 and α7 subtypes. J. Nat. Prod. 2018, 81, 811–817. [Google Scholar] [CrossRef] [PubMed]
- Carcamo, G.; Silva, M.; Becerra, J.; Urrutia, H.; Sossa, K.; Paz, C. Inhibition of quorum sensing by drimane lactones from Chilean flora. J. Chil. Chem. Soc. 2014, 59, 2622–2624. [Google Scholar] [CrossRef]
- Paz, C.; Cárcamo, G.; Silva, M.; Becerra, J.; Urrutia, H.; Sossa, K. Drimendiol, a drimane sesquiterpene with quorum sensing inhibition activity. Nat. Prod. Commun. 2013, 8, 1934578X1300800201. [Google Scholar] [CrossRef]
- Zárraga, M.; Zárraga, A.M.; Rodríguez, B.; Pérez, C.; Paz, C.; Paz, P.; Sanhueza, C. Synthesis of a new nitrogenated drimane derivative with antifungal activity. Tetrahedron Lett. 2008, 49, 4775–4776. [Google Scholar] [CrossRef]
- CLSI document M27-A3. Reference Method for Broth Dilution Antifungal Susceptibility Testing of Yeasts; Approved Standard–third edition; Clinical and Laboratory Standards Institute: Wayne, NJ, USA, 2008. [Google Scholar]
- Anandakrishnan, R.; Aguilar, B.; Onufriev, A.V. H++3.0: Automating pK prediction and the preparation of biomolecular structures for atomistic molecular modeling and simulations. Nucleic Acids Res. 2012, 40, W537–W541. [Google Scholar] [CrossRef]
- Gordon, J.C.; Myers, J.B.; Folta, T. H++: A server for estimating pK(a)s and adding missing hydrogens to macromolecules. Nucleic Acids Res. 2005, 33, W368–W371. [Google Scholar] [CrossRef] [PubMed]
- Sterling, T.; Irwin, J.J. ZINC 15 – Ligand Discovery for Everyone. J. Chem. Inf. Model. 2015, 55, 2324–2337. [Google Scholar] [CrossRef] [PubMed]
- Humphrey, W.; Dalke, A.; Schulten, K. VMD: Visual molecular dynamics. J. Mol. Graph. 1996, 14, 33–38. [Google Scholar] [CrossRef]
- Liu, Y.; Grimm, M.; Dai, W.T. CB-Dock: A web server for cavity detection-guided protein–ligand blind docking. Acta Pharmacol. Sin. 2020, 41, 138–144. [Google Scholar] [CrossRef] [PubMed]
- Trott, O.; Olson, A.J. AutoDock Vina: Improving the speed and accuracy of docking with a new scoring function, efficient optimization, and multithreading. J. Comput. Chem. 2010, 31, 455–461. [Google Scholar] [CrossRef]
- Jakalian, A.; Jack, D.B.; Bayly, C.I. Fast, efficient generation of high-quality atomic charges. AM1-BCC model: II. Parameterization and validation. J. Comput. Chem 2002, 23, 1624–1641. [Google Scholar] [CrossRef]
- Martínez, L. Automatic Identification of Mobile and Rigid Substructures in Molecular Dynamics Simulations and Fractional Structural Fluctuation Analysis. PLoS ONE 2015, 10, e0119264. [Google Scholar] [CrossRef] [PubMed]
- Miller, B.R.; McGee, T.D.; Swails, J.M. MMPBSA.py: An Efficient Program for End-State Free Energy Calculations. J. Chem. Theory Comput. 2012, 8, 3314–3321. [Google Scholar] [CrossRef]
- Fukuyama, Y.; Sato, T.; Asakawa, Y.; Takemoto, T. A potent cytotoxic warburganal and related drimane-type sesquiterpenoids from Polygonum hydropiper. Phytochemistry 1980, 21, 2895–2898. [Google Scholar] [CrossRef]
- Rodríguez, B.; Zapata, N.; Medina, P.; Viñuela, E. A complete 1H and 13C NMR data assignment for four drimane sesquiterpenoids isolated from Drimys winterii. Magn. Res. Chem. 2005, 43, 82–84. [Google Scholar] [CrossRef] [PubMed]
- Marcos, I.S.; Moro, R.F.; Carballares, M.S.; Urones, J.G. An Efficient Total Synthesis of Isodrimeninol from Zamoranic Acid. Synlett 2000, 2000, 541–543. [Google Scholar]
- Nakano, T.; Villamizar, J.; Maillo, M.A. Highly efficient synthesis of optically active drimanic sesquiterpenes, (+)-fuegin, (+)-epifutronolide (7β-hydroxyisodrimenin) and (+)-7-ketoisodrimenin. Tetrahedron 1999, 55, 1561–1568. [Google Scholar] [CrossRef]
- Vlad, P.F.; Ciocarlan, A.; Edu, C.; Aricu, A.; Biriiac, A.; Coltsa, M.; D’Ambrosio, M.; Deleanu, C.; Nicolescu, A.; Shova, S.; et al. Regio- and stereoselective synthesis of (+)-6-ketoeuryfuran, (+)-6-ketowinterin, and (−)-7-ketoeuryfuran from accessible labdane diterpenoids (+)-larixol and (−)-sclareol. Tetrahedron 2013, 69, 918–926. [Google Scholar] [CrossRef]
- Fernandes, R.A. PCC: Novel Oxidation Reactions. Synlett 2003, 2003, 741–742. [Google Scholar] [CrossRef][Green Version]
- Akita, H.; Nozawa, M.; Mitsuda, A.; Ohsawa, H. A convenient synthesis of (+)-albicanol based on enzymatic function: Total syntheses of (+)-albicanyl acetate, (−)-albicanyl 3,4-dihydroxycinnamate, (−)-drimenol, (−)-drimenin and (−)-ambrox. Tetrahedron Asymmetry 2000, 11, 1375–1388. [Google Scholar] [CrossRef]
- Fetizon, M.; Goulaouic, P.; Hanna, I. 1,4-dioxene in organic chemistry. Part VII regiospecific oxidative cleavage of 1,4-dioxenyl carbinols with pyridinium chlorochromate. A new method for the preparation of α-hydroxy acids and α-keto acids. Tetrahedron Lett. 1988, 29, 6261–6264. [Google Scholar] [CrossRef]
- Harrigan, G.G.; Ahmad, A.; Baj, N.; Glass, T.E.; Gunatilaka, A.A.L.; Kingston, D.G.I. Bioactive and Other Sesquiterpenoids from Porella cordeana. J. Nat. Prod. 1993, 56, 921–925. [Google Scholar] [CrossRef] [PubMed]
- Hargrove, T.Y.; Friggeri, L.; Wawrzak, Z.; Qi, A.; Hoekstra, W.J.; Schotzinger, R.J.; York, J.D.; Guengerich, F.P.; Lepesheva, G.I. Structural analyses of Candida albicans sterol 14α-demethylase complexed with azole drugs address the molecular basis of azole-mediated inhibition of fungal sterol biosynthesis. J. Biol. Chem. 2017, 292, 6728–6743. [Google Scholar] [CrossRef]
- Castanheira, M.; Deshpande, L.M.; Messer, S.A.; Rhomberg, P.R.; Pfaller, M.A. Analysis of global antifungal surveillance results reveals predominance of Erg11 Y132F alteration among azole-resistant Candida parapsilosis and Candida tropicalis and country-specific isolate dissemination. Int. J. Antimicrob. Agents 2020, 55, 105799. [Google Scholar] [CrossRef]
- Berkow, E.L.; Lockhart, S.R. Fluconazole resistance in Candida species: A current perspective. Infect. Drug Resist. 2017, 10, 237. [Google Scholar] [CrossRef]
© 2020 by the authors. Licensee MDPI, Basel, Switzerland. This article is an open access article distributed under the terms and conditions of the Creative Commons Attribution (CC BY) license (http://creativecommons.org/licenses/by/4.0/).



